Services on Demand
Journal
Article
Indicators
-
Cited by SciELO -
Access statistics
Related links
-
Cited by Google -
Similars in
SciELO -
Similars in Google
Share
Tecné, Episteme y Didaxis: TED
Print version ISSN 0121-3814
Rev. Fac. Cienc. Tecnol. no.39 Bogotá June 2016
Diseño de un programa en python para la enseñanza de la transferencia de órbita de Hohmann1
Designing a Python program for teaching Hohmann Transfer Orbit
Néstor Fernando Méndez Hincapié2
Ignacio Alberto Monroy Cañón3
1 Los autores agradecen al Centro de Investigaciones de la Universidad Pedagógica Nacional CIUP por el apoyo al proyecto de investigación DFI-357-13 "Enseñanza de mecánica celeste en torno al sistema solar: Diseño de un programa en Python para el viaje de una nave espacial de la Tierra a un planeta", del cual este artículo es resultado.
2 Departamento de Física, Universidad Pedagógica Nacional, Bogotá, Colombia. Correo electrónico: nmendez@pedagogica.edu.co.
3 Departamento de Física, Universidad Pedagógica Nacional, Bogotá, Colombia. Correo electrónico: imonroy@pedagogica.edu.co.
Fecha de recepción: 30/09/2015 Fecha de aceptación: 13/01/2016
Resumen
En este estudio se presenta una simulación realizada en Python como herramienta didáctica para la enseñanza de la mecánica celeste. El programa que hace la simulación se diseñó para que los estudiantes de cursos introductorios de astronomía visualicen las posibles trayectorias y comprendan las características principales de transferencias orbitales usando como ejemplo el viaje de una nave espacial de la Tierra a Marte y a Júpiter. Se encuentra que el programa también puede utilizarse para determinar las características principales de las órbitas planetarias y relacionar los parámetros de las elipses con la energía y el momentum angular de los planetas, y en general con las leyes de Kepler.
Palabras clave: Órbitas, transferencia de órbitas, simulación, Python.
Abstract
This study presents a simulation in Python created as a didactic tool for studying celestial mechanics. The program that runs the simulation is designed for students to visualize all possible orbital trajectories as well as understanding principal transfer orbit´s characteristics using as an example the journey of a space ship from Earth to Mars and Jupiter. Additionally, the program can be used to determine the principal characteristics of the planetary orbits. In addition, the program can relate elliptical parameters to energy and angular momentum of the planets and in general with Kepler´s Laws.
Key Words: Orbits, Transfer Orbits, Simulation, Python.
Resumo
Neste artigo é apresentada uma simulação feita no Python como um recurso didático para o ensino da mecânica celeste. O programa da simulação foi feito pra que os estudantes dos cursos introdutórios de astronomia possam ter a visualização das possíveis trajetórias e compreendam as características principais de transferências orbitais usando como exemplo a viagem de uma nave espacial da Terra a Marte e a Júpiter. O programa também pode ser usado para determinar as principais características das órbitas planetárias e relacionar os parâmetros das elipses com energia e momento angular dos planetas, e em geral com as leis de Kepler.
Palavras-chave: Órbitas, transferência de órbitas, simulação, python.
Introducción
La mecánica celeste es una rama de las ciencias que se encarga de estudiar el movimiento de los cuerpos celestes. Fue desarrollada a lo largo del siglo XVII por el estudio y la observación del sistema solar. En los siglos XVII y XVIII, cuando se hablaba de astronomía se hablaba de mecánica celeste, gracias a los trabajos observacionales de Kepler, el soporte teórico de la teoría gravitacional de Newton y los trabajos de Laplace y Lagrange. Sin embargo, a comienzos del siglo XX la mecánica celeste fue abandonada por el interés en consolidar las bases teóricas de las nuevas teorías físicas: la relatividad, la física cuántica y otras, todas enmarcadas en lo que se conoce hoy como la física moderna (Alfven, 1967). No obstante, se retomó su estudio a mediados del siglo, gracias al desarrollo de las herramientas computacionales y al interés por la conquista del espacio.
El desarrollo de la mecánica celeste, apoyada en la tecnología y los métodos computacionales propició que los países desarrollados generaran proyectos que permitieron poner en órbita diferentes satélites en las décadas de los cincuenta y sesenta, los cuales al ser optimizados se convirtieron en la herramienta fundamental de las telecomunicaciones, el posicionamiento global y la cartografía, entre otros. Así mismo, los frutos de estos desarrollos dieron lugar a proyectos más ambiciosos, como el viaje a la Luna y el conocimiento de los planetas del sistema solar apoyado en el envío de sondas espaciales. El éxito de estos proyectos en gran medida se debe al desarrollo de simulaciones previas que permitieron identificar los posibles errores y riesgos que, al ser solucionados, llevaron a establecer las condiciones físicas óptimas. En la actualidad uno de los objetivos a largo plazo -quizás el más importante- es generar proyectos que delimiten las condiciones físicas de planetas posiblemente habitables y, en este mismo camino, llevar a cabo proyectos que, a partir de una estimación cuantitativa de las probabilidades de un viaje o una puesta en órbita, desarrollen dicha idea.
Hoy la mecánica celeste, unida a la astronáutica y al uso de sistemas y métodos computacionales permite el desarrollo y la investigación para cualquier país en este campo. En particular esto se evidencia en el interés de muchas naciones por desarrollar y poner en órbita satélites para diferentes usos, ya sea de manera particular o por medio de agencias internacionales. En Suramérica, países como Brasil y Argentina tienen diferentes satélites orbitando. En Colombia la universidad Sergio Arboleda puso en órbita un satélite modular de prueba en el año 2007 (Universidad Sergio Arboleda, 2007).
Este artículo presenta un programa en VPython para la obtención de posibles órbitas que tendría una nave espacial al ser lanzada desde la Tierra y lograr orbitas cerradas sobre un planeta del sistema solar. Se pretende desarrollar y diseñar un ambiente de programación interactivo orientado desde un enfoque de la enseñanza y el aprendizaje de la mecánica celeste, que constituya un espacio de educación en el que el usuario pueda poner a prueba su intuición física en el ajuste de parámetros, los cuales le permitirán establecer condiciones físicas apropiadas de un viaje espacial virtual, cuya situación simularía a una escala proporcionada el posible envío de una nave espacial tripulada o una sonda espacial a dicho planeta.
Antecedentes
En el ámbito disciplinar, los métodos numéricos se utilizan en el diseño y la optimización de las órbitas para diferentes sistemas en la mecánica celeste (Ocampo, 2016). A lo largo de la historia se han estudiado sistemas de este tipo, como las órbitas de una nave espacial que viaja hasta la Luna (sistema Sol-Tierra-Luna-nave), las sondas espaciales enviadas a Mercurio o Marte (sistema Sol-Tierra-Luna-Mercurio/Marte-nave), entre otros. El análisis y desarrollo teórico de estos estudios ha sucumbido en el éxito de diferentes proyectos, como el envío de sondas a diferentes planetas del sistema solar. Ejemplos de estos proyectos han sido el envío de varias sondas a Mercurio, como la sonda espacial Messenger (NASA, 2016), que fue lanzada en el 2004, y en el 2011 logró orbitar sobre ese planeta. Otro ejemplo es el caso de Marte, adonde desde 1963 se han enviado diferentes sondas espaciales para su estudio. Por mencionar unos casos conocidos, tenemos la sonda espacial Mars Odyssey (Mars Odyssey, 2016), que fue enviada por la NASA y orbita sobre Marte desde el 2001. Su objetivo principal era el de tomar imágenes con ayuda de un espectrómetro para determinar los posibles contenidos de agua sobre el ecuador de ese planeta. El proyecto más reciente es el Curiosity (NASA, 2016), que incluía un prototipo de un astromóvil que aterrizara en Marte. Fue lanzado en el 2011 y logró su objetivo de aterrizaje en el 2012.
El lenguaje de programación VPython es una plataforma didáctica bastante efectiva para los usuarios por su lenguaje orientado a objetos, su entorno de simulación y animación. Diferentes trabajos en el ámbito de las ciencias, y que han sido reconocidos en espacios de divulgación, han sido llevados a cabo en este lenguaje de programación. Uno de ellos fue realizado en la Universidad de Antioquia en Colombia por el profesor Jorge Zuluaga (2013), en la estimación de la posible órbita del meteorito que colisionó ese año en Chelyabinsk, Rusia. Otro, fue el trabajo publicado en la revista Nature (Ibata, 2013), en el cual se mostró que las galaxias enanas cercanas a Andrómeda se mueven rotando alrededor de la gran espiral en un mismo plano.
En el ámbito de la enseñanza de la física, una tendencia que se ha desarrollado con excelentes resultados se basa en la creación de tutoriales en ambientes virtuales. En ellos los estudiantes tienen una gran ganancia conceptual e interés por la temática, ya que se pueden generar problemas en los que pueden confrontar su grado de intuición y predicción física a partir del cambio de parámetros o condiciones iniciales (Hoeling, 2012; Moldenjauer, Engelhardt, Stone & Shuler, 2013; Zhu, 2010). Este proceso de confrontación de las predicciones físicas con el ambiente virtual es una ayuda significativa para la consolidación de una estructura robusta en su conocimiento.
La plataforma VPython centrada en un ambiente orientado a objetos ofrece muchas ventajas didácticas que la hace bastante versátil en el ambiente gráfico de las simulaciones y óptima para ambientes de enseñanza, como en la generación de estos tutoriales. Diferentes trabajos en el ámbito de las ciencias que han sido reconocidos en espacios de divulgación se han llevado a cabo en este lenguaje de programación. Uno de estos trabajos reconocido en la mecánica celeste fue mencionado anteriormente y corresponde al desarrollado por el profesor Jorge Zuluaga.
Marco de referencia
La temática del artículo se enmarca en primera instancia en el contexto del sistema solar y el movimiento planetario, sustentados en las leyes de Kepler y en la ley de gravitación universal de Newton.

En donde m1,m2 son las masas de los dos cuerpos,
es el vector unitario que se encuentra a lo largo de la recta que une las dos masas y d es la distancia de separación entre ellas.
Con la segunda ley de Newton, que relaciona la aceleración 

se puede determinar la dinámica planetaria del sistema solar. El problema es hallar la solución de esta ecuación diferencial vectorial, para lo que en general se requiere el uso de cálculos numéricos y computacionales.
El envío de una nave a un planeta en el sistema solar
El envío de una nave a un planeta en el sistema solar tiene cuatro etapas:
[t3] Etapa 1. La salida de la nave del planeta Tierra
La nave tiene que vencer el campo gravitacional de la Tierra para poder escapar de esta. En general la expresión de la velocidad de escape de un planeta es dada por

donde M y R son la masa y el radio del planeta, respectivamente. En el caso de la Tierra, la velocidad de escape es de 11.2 Km/s. Para que la nave alcance esta velocidad se requiere un mecanismo de propulsión, como cohetes, el cual es también de suma importancia para la transferencia de órbita de la nave en el proceso de lograr obtener una órbita estable sobre el planeta.
[t3] Etapa 2. Las condiciones dinámicas y orbitales del viaje de la nave al planeta
Cuando la nave sale del planeta a una cierta distancia por encima de este, experimenta diferentes interacciones debido a los cuerpos celestes que hay en el sistema solar. La problemática consiste en resolver un sistema dinámico, con la principal intención de determinar el movimiento de la nave desde la órbita de la Tierra hasta el planeta de interés bajo la influencia de estas interacciones. Esto se realiza a partir de la solución de un conjunto de ecuaciones descritas en un marco de referencia inercial, las cuales son:

donde
es el vector posición de la nave en este sistema de referencia,
es la aceleración debida a la suma de las fuerzas gravitacionales, y
es la aceleración debida a la suma de las fuerzas no gravitacionales. Presentamos a continuación una lista de estos tipos de fuerzas, basada en Verma (2013). En el caso más general de la situación real las fuerzas gravitacionales son:
- La fuerza gravitacional debida al planeta de viaje
- La fuerza gravitacional debida a las mareas planetarias
- Fuerzas gravitacionales debidas al Sol, lunas y planetas
La consideración de estas fuerzas gravitacionales se puede ajustar en una región interplanetaria llamada la esfera de influencia de los planetas. ]En su interior la atracción gravitacional del planeta es muy superior en comparación con la fuerza que ejerce el Sol; por el contrario, en su exterior predomina la fuerza del Sol. El radio de la esfera de influencia Re se obtiene a partir de la fórmula de Laplace (Stinner & Begoray, 2005)

donde d es la distancia media del Sol al planeta considerado, M es la masa del planeta y Ms la masa del Sol.
Existen otras fuerzas no gravitacionales más generales que experimenta la nave en una situación real, las cuales se enumeran a continuación pero no se consideraron porque desbordan los propósitos de la investigación. Estas son:
- - Fuerza debida a la presión de radiación solar
- - Fuerza debida al arrastre atmosférico
- - Fuerza debida a la radiación térmica
- - Fuerzas debidas a la combustión en el motor de la nave
[t3] Etapa 3. La transferencia de órbita de la nave al planeta de interés
Una vez la nave ha salido del planeta Tierra, se plantean unas condiciones dinámicas tales que la nave salga alrededor de la órbita que describe la Tierra alrededor del Sol y genere una nueva órbita para alcanzar el planeta de interés en un tiempo posterior determinado. Este proceso se conoce como transferencia de órbita. Uno de los mecanismos más conocidos es la transferencia de órbita de Hohmann (Portilla, 2001), que emplea el menor gasto de energía posible por la nave para lograr dicho propósito. En la figura 1 se ilustra una situación en la que la nave se encuentra alrededor de la órbita de la Tierra (T) y está orbitando alrededor del Sol (S). La nave se envía a Marte (M) con una velocidad v1 siguiendo la trayectoria de color verde para alcanzar la órbita de Marte (M) con una velocidad v2.
Esta órbita se consigue a partir de la solución del problema de dinámica de la obtención de las ecuaciones de movimiento dadas en la sección anterior. La solución de estas ecuaciones requiere usualmente métodos computacionales y numéricos, dada la dificultad de los términos de las aceleraciones gravitacionales.
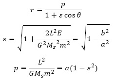
El ángulo θ que forma el radio vector Sol-planeta con el radio vector Sol-Tierra (las posiciones relativas entre la Tierra y el planeta) al inicio de la maniobra debe garantizar que la nave y el planeta se encuentren en el punto M al mismo tiempo. La figura 1 muestra esta situación. El planeta de llegada debe estar inicialmente en la posición c, que se calcula con la aproximación del movimiento circular uniforme del planeta alrededor del Sol, durante el tiempo que la nave recorre media órbita, desde A hasta M. Sea la velocidad la línea media del planeta VM y la distancia media al Sol rM. Entonces la velocidad angular del planeta es w = VM/rM. De la tercera ley de Kepler y con las unidades astronómicas, el cuadrado del período orbital T es igual numéricamente al cubo del semieje mayor a de la elipse que describe la nave T = a 1.5, donde a = dT + dM. Durante este tiempo T/2 el planeta se desplaza una distancia angular wT/2 y θ =π−wT/2.
Finalmente se debe calcular la velocidad que debe tener la nave v1 en el punto A para salir de la órbita de la Tierra y alcanzar la órbita del planeta de destino. Como el campo gravitacional es conservativo,
[t3] Etapa 4. Maniobras de vuelo planetarias
Una vez la nave espacial se encuentra inmersa alrededor de la órbita del planeta de interés, por propósitos específicos se aplican diferentes maniobras sobre la nave para cambiar la trayectoria de la nave. Como ejemplo de esto hay situaciones de sobrevuelo de los planetas. Esto se puede hacer dependiendo de la situación de interés, como adquirir asistencia gravitacional del planeta para que la nave obtenga una velocidad adicional sin gastar combustible. Hay situaciones contrarias en las que se requiere el uso de combustible para realizar una maniobra con la intención de obtener una órbita estable, por ejemplo circular o elíptica. Esto ocurrió con el proyecto Mars Global Surveyor, el cual llegó a orbitar Marte en septiembre de 1997; con una órbita elíptica pronunciada, pero realizando diferentes maniobras de aerofrenado, logró diferentes órbitas elípticas a diferentes altitudes sobre Marte, hasta que finalmente en marzo de 1999 logró una órbita casi circular a una altitud de 378 Km (Albee, 2013).
Metodología
La metodología que se propone es mixta, de corte cualitativo y cuantitativo. Empleamos una metodología de investigación cuantitativa porque se trata de un proceso secuencial (Aristizabal, 2008; Hernández, 2010; Sabino, 1992) en la construcción de un ambiente virtual; deductiva, porque partimos de unas hipótesis (leyes generales) para deducir el movimiento de los planetas en el sistema solar, y predictiva porque contrastaremos fenómenos particulares propios de la mecánica celeste, como los periodos orbitales de los planetas, entre otros. También la metodología tiene un componente cualitativo al generar el proceso de enseñanza y aprendizaje de la mecánica celeste mediante la elaboración de un módulo o unidad didáctica que indique una ruta explicativa sobre tópicos de la mecánica celeste, que estimule en los profesores en formación el desarrollo de su intuición física al solucionar diferentes situaciones planteadas.
Resultados
Órbitas planetarias
Se diseñó un programa en VPython que simula la trayectoria de un planeta alrededor del Sol. El programa simula el movimiento de un planeta bajo la fuerza de gravedad del Sol, solucionando numéricamente las ecuaciones de movimiento que se obtienen a partir de la segunda ley de Newton y la ley de la gravitación universal

donde
es el vector posición del planeta de masa m, Ms es la masa del Sol,
,
es el vector unitario en la dirección del vector posición y G es la constante de gravitación universal = 6.67259×10-11 m3 kg-1 s-2.
El programa tiene como entradas la posición inicial del planeta sobre el eje x positivo y la velocidad inicial en dirección del eje y positivo también, y permite observar cómo cambian las trayectorias, de acotadas a no acotadas, con los cambios de velocidad. Se encontró que para un planeta ubicado inicialmente a 1UA, tiene trayectoria cerrada para velocidades entre 2 y 8.8 UA/año. La figura 2 muestra dos casos particulares de órbitas que partiendo a una distancia de 1 UA tienen velocidades entre 4 UA/año (línea azul) y 6.4 UA/año (línea roja)
Transferencia de órbitas
Se diseñó un programa en Python que simula la trayectoria del viaje de una nave espacial de la Tierra a Marte. El programa necesita como parámetros de entrada la masa mM, el radio medio rM y la velocidad media de traslación de Marte alrededor del Sol VM. A partir de la ecuación de transferencia de Hohmann, se calcula la velocidad mínima de la nave necesaria para alcanzar la órbita de Marte Vship; además, se calcula la posición angular inicial de Marte θ, desde el sistema de referencia del Sol, exacta para que se encuentren la nave y el planeta. En la figura 3 se muestra el sistema de referencia centrado en el Sol con los datos iniciales de movimiento.
El sistema de referencia es el Sol y se utilizan las unidades astronómicas: unidad de masa 1 Ms = masa del Sol = 1.989×1030 kg, unidad de distancia 1 UA = distancia media Sol-Tierra = 1.495978×1011 m, y unidad de tiempo = 1 año = 31'558,118.4 s. Se restringe el movimiento a un plano. La Tierra y Marte se mueven bajo la influencia de la gravedad del Sol (no entre ellos) calculada por el método numérico de velocidad de Verlet. La Tierra siempre inicia en la posición
, y la nave en la posición
.
El movimiento de la nave desde el punto de partida hasta el encuentro con Marte se debe a la fuerza de gravedad del Sol, también calculada con el método de velocidad de Verlet. Una vez se acerca a Marte a una distancia inferior a su radio de influencia, sigue un movimiento circular uniforme alrededor de este con una velocidad, relativa a Marte, de
, donde M es la masa de marte y d la magnitud de la distancia de Marte a la nave. Esto simularía el proceso de una maniobra en el que se requiere combustible para cambiar la magnitud y dirección de la velocidad de la nave.
El ángulo θ que debe tener Marte inicialmente en la posición C se calcula con la aproximación del movimiento circular uniforme del planeta alrededor del Sol, durante el tiempo que recorre la nave media órbita, desde A hasta B. De la figura 3, la velocidad angular de Marte w = VM/rM, y de la tercera ley de Kepler y nuestras unidades astronómicas, el cuadrado del periodo orbital T es igual numéricamente al cubo del semieje mayor a de la elipse que describe la nave T = a1.5. De esta manera θ = π - wT/2.
Se persigue con esto que la nave y Marte lleguen al punto B al mismo tiempo, y cuando estén separados una distancia igual o menor al radio de influencia del planeta Rmin ≈0,0039 UA =583,431 km, la nave comience a girar alrededor de Marte con velocidad angular constante, lo que indica que ha logrado llegar allí.
Pero Rmin es muy pequeño y no se ve cómo la nave orbita alrededor de este planeta; solo parece que se mueven unidos. Por eso se escogió planear un lanzamiento de una nave a Júpiter, cuyo radio de influencia es de 0.323 UA, casi cien veces más grande que el de Marte, y la simulación muestra que una vez la nave está a una distancia menor que la del radio de influencia de Júpiter, se mantiene a esta distancia en una órbita circular alrededor del planeta. La figura 4 muestra que para que se encuentren en el punto B es necesario que Júpiter esté en la posición angular
. El tamaño de Júpiter que muestra la figura en realidad es el tamaño del radio de influencia del planeta. En la figura 5 se observa la trayectoria cerrada de la nave.
En el anexo se muestra el código fuente con el ejemplo de la transferencia de órbita entre la Tierra y Marte.
Conclusiones
Estos programas se empezarán a utilizar como apoyo en la enseñanza del curso electivo de Astronomía General que ofrece el Departamento de Física de la Universidad Pedagógica Nacional.
Con el programa de órbitas planetarias, el estudiante debe simular diferentes trayectorias cambiando la velocidad inicial y la posición inicial, y verificar las tres leyes de Kepler. Para las órbitas planetarias se puede calcular la excentricidad ε y a partir de esta se puede inferir el momentum angular L y la energía E del sistema con las ecuaciones:

donde a y b son los semiejes mayor y menor de la elipse, respectivamente.
Con el programa de transferencia de órbitas primero se debe hacer una aproximación de la velocidad inicial de la nave Vship y la posición angular inicial del planeta destino θ y luego construir una tabla con los valores Vship y θ de los encuentros. Posteriormente se verifican los resultados con las ecuaciones de Hohmann.
Referencias bibliográficas
Albee, A. L.; Arvidson, R. E.; Palluconi, F., & Thorpe, T. (2001). Overview of the Mars Global Surveyor mission. Journal of Geophysical Research, 106, 23291-23316. [ Links ]
Alfven, H. (1967). On the origin of the solar system. Royal Astronomical Society, 8, 215. [ Links ]
Aristizábal, C. (2008). Teoría y metodología de investigación. Guía didáctica y módulo. Fundación Universitaria Luis Amigó. Facultad de Ciencias Administrativas, Económicas y Contables. Bogotá [ Links ].
Hernández, R.; Fernández, C.; Baptista, M. (2010). Metodología de la investigación. 5.a ed. México: McGraw-Hill Interamericana. [ Links ]
Hoeling, M. (2012). Interactive online optics modules for the college physics course. American Journal of Physics, 80, 334. [ Links ]
Ibata, R. et ál. (2013). A vast, thin plane of coating dwarf galaxies orbiting the Andromeda galaxy. Nature, 493, 62-65. [ Links ]
Moldenjauer, J., Engelhardt, L; Stone, K. & Shuler, E. (2013). Modern cosmology: Interactive computer simulations that use recent observational surveys. American Journal of Physics, 81, 414. [ Links ]
National Aeronautics and Space Administration. (2016). 2001 Mars Odyssey. Disponible en: http://mars.jpl.nasa.gov/odyssey/. Recuperado el 1.o de marzo de 2016. [ Links ]
Stinner, A. & Begoray, J. (2005) Journey to Mars: The physics of travelling to the red planet. Physics Education, 40 (1), 35, 45. [ Links ]
Ocampo, C. A. Cesar Ocampo. Disponible en: http://www.engr.utexas.edu/147-donors/facultythanks/441-cesar-ocampo. Recuperado el 1.o de marzo de 2016. [ Links ]
Portilla J. G. (2001). Elementos de astronomía de posición. Bogotá: Universidad Nacional de Colombia. [ Links ]
Sabino, C. (1992). El proceso de investigación. Bogotá: Panamericana. [ Links ]
Universidad Sergio Arboleda. (2007). Misión Pico Satélite Libertad 1. Disponible en: http://www.usergioarboleda.edu.co/observatorio/Libertad-I-2010-2v2.pdf. [ Links ]
Verma, A. K. (2013). Improvement of the planetary ephemerides using spacecraft navigation data and its applications to fundamental physics (PhD Thesis), Université de Franche-Comté [ Links ].
Zhu, G. & Singh, C. (2010). Improving students' understanding of quantum mechanics via the Stern-Gerlach experiment, American Journal of Physics, 79, 5. [ Links ]
Zuluaga, J. & Ferrin I. (2013). The orbit of the Chelyabinsk event impactor as reconstructed from amateur and public footage. Arxiv e.prints. Disponible en: http://arxiv.org/abs/1303.1796. [ Links ]
Zuluaga, J. & Ferrin, I. (2013). A preliminary reconstruction of the orbit of the Chelyabinsk Meteoroid. Arxiv e.prints. Disponible en: http://arxiv.org/abs/1302.5377. [ Links ]



















