Services on Demand
Journal
Article
Indicators
-
Cited by SciELO -
Access statistics
Related links
-
Cited by Google -
Similars in
SciELO -
Similars in Google
Share
Vitae
Print version ISSN 0121-4004
Vitae vol.23 no.1 Medellín Jan./Apr. 2016
https://doi.org/10.17533/udea.vitae.v23n1a07
DOI: 10.17533/udea.vitae.v23n1a07
FOODS: SCIENCE, ENGINEERING AND TECHNOLOGY
CONSERVACIÓN DE MANGO TOMMY ATKINS MÍNIMAMENTE PROCESADO MEDIANTE LA APLICACIÓN DE UN RECUBRIMIENTO DE ALOE VERA (Aloe barbadensis MILLER)
CONSERVATION OF MINIMALLY PROCESSED MANGO TOMMY ATKINS BY APPLYING AN ALOE VERA (Aloe barbadensis MILLER) COATING
Andrés F. PÉREZ T. M.Sc.1, *, Iván D. ARISTIZÁBAL T. D.Sc.2, Jorge I. RESTREPO F. M.Sc.3
1 Químico, Magister en Ciencia y Tecnología de Alimentos, Universidad Nacional de Colombia Sede Medellín.
2 Profesor Asociado, Universidad Nacional de Colombia Sede Medellín. Facultad de Ciencias Agrarias, Departamento de Ingeniería Agrícola y Alimentos, Medellín-Colombia.
3 Magister en Ciencia y Tecnología de Alimentos, Universidad Nacional de Colombia Sede Medellín.
Corresponding author: afperezt@unal.edu.co
Recibido: Septiembre 01 de 2015. Aprobado: Mayo 31 de 2016.
RESUMEN
Antecedentes: El mango es una fruta climatérica que puede ver limitada su comercialización debido a la deficiencia en sistemas de procesamiento y conservación que ocasionan pérdidas poscosecha en la cadena agroindustrial. Los frutos mínimamente procesados y tratados con recubrimientos comestibles representan una alternativa para mitigar la perecibilidad del fruto, conservando sus atributos de calidad y ofreciendo al consumidor un producto de fácil consumo y almacenamiento. Objetivos: Conservar y prolongar la vida útil de mango Tommy Atkins mínimamente procesado con la aplicación de un recubrimiento comestible de Aloe vera, evaluando su efectividad mediante el análisis de parámetros físicos, fisicoquímicos, respiratorios, microbiológicos y sensoriales durante almacenamiento refrigerado. Métodos: El recubrimiento comestible fue preparado con gel mucilaginoso de aloe vera en una concetración de 50 % P/P en dilución y homogenizado con cera carnauba y glicerol, para luego ser aplicado por inmersión en los frutos previamente cortados y secados en estufa. Se diseñaron cuatro tratamientos experimentales: C, R, PreREC y CA, almacenados en refrigeración durante un periodo de 12 de días, en los que se evaluó parámetros como firmeza, color, porcentaje de pérdida de peso, pH, °Brix, acidez (%), tasas respiratorias, conteos microbiológicos y descriptores sensoriales por medio de un perfil de aproximación multidimensional. Los datos fueron procesados mediante ANOVA y por el método de comparaciones múltiples LSD. Resultados: Las muestras tratadas con el recubrimiento (R y PreREC) mostraron un retraso en la pérdida de la firmeza, menores cambios de color, una menor pérdida de peso, un aumento menos acelerado del pH y de °Brix y valores más elevados de acidez con respecto a los tratamientos control. Se lograron tasas bajas de consumo de O2 y una producción controlada de CO2 en comparación a las muestras sin tratar. A nivel microbiológico, el recubrimiento disminuyó el crecimiento de mesófilos, mohos y levaduras; mientras que sensorialmente, descriptores como la firmeza, calidad general, olor y sabor característico mostraron una mayor calificación por parte del panel sensorial. Conclusiones: El recubrimiento permitió conservar por 3 días más las muestras de mango mínimamente procesado respecto a los tratamientos control.
Palabras clave: aloe, mango, mínimamente procesado, recubrimiento comestible.
ABSTRACT
Background:Mango is a climacteric fruit which can limit its marketing due to some deficiencies in processing and preservation systems that cause postharvest losses in the agribusiness and value chain. Minimally processed fruits and edible coatings represent an alternative to decrease the perishability of fruits, preserving its quality attributes and offering to consumers an easy product to use and storage. Objectives: The aim of this study was to conserve and extend the shelf life of minimally processed 'Tommy Atkins' mango covered by an edible coating made of aloe vera mucilage, assessing its effectiveness by analyzing physical, physicochemical, respiratory, microbiological and sensory parameters during refrigerated storage. Methods: The edible coating was prepared with aloe vera, which is a mucilaginous gel, in a concentration of 50% w/w in dilution and homogenized with carnauba wax and glycerol. Then aloe vera was applied by immersion in the pre-cut fruits and dried in stove. Four experimental treatments were designed: C, R, PreREC and CA, stored under refrigeration for a period of 12 days, in which parameters such as strength, color, percentage weight loss, pH, °Brix, acidity (%), respiratory rates, microbiological counts, and sensory descriptors were evaluated by a multidimensional approach profile. Data were analyzed using ANOVA and the LSD multiple comparison method. Results: Samples treated with the edible coating (R y PreREC) showed a delay in the loss of firmness, less color changes, less loss of weight, a less increase in pH and °Brix values, and a higher acidity compared to the control treatments. Low rates of O2 consumption and controlled CO2 production compared to untreated samples were achieved. Coating decreased the growth of mesophilic, molds and yeasts; while sensory descriptors as firmness, overall quality, characteristic odor and taste showed a higher rating by the sensory panel. Conclusions: Edible coating made of aloe vera gel allowed to keep for 3 more days samples of minimally processed mango compared to control treatments.
Keywords: Aloe, mango, minimally processed, edible coating.
INTRODUCCIÓN
El consumo de frutas mínimamente procesadas que se enmarcan bajo la denominación de IV gama se presenta como una alternativa a las exigencias del consumidor actual por encontrar alimentos que sean fáciles de consumir, manipular y almacenar, con tiempos de preparación mínimos, con vida útil prolongada y con características de calidad similares a las de un producto fresco (1). Según la FAO, la poca demanda en el consumo de frutas por parte del consumidor por debajo de los límites estimados de la OMS (400g diarios por persona), que viene ligada a la deficiencia en sistemas de procesamiento y comercialización en países en vía de desarrollo, incentiva a la búsqueda de tecnologías para el aprovechamiento del material vegetal, que puedan aportar valor agregado, beneficio económico para los productores e intermediarios de la cadena agroindustrial y que eviten por tanto las pérdida del alimento por la senescencia natural o cuando ocurran sobreproducciones (1-3). El mango, Mangifera indica L, es una fruta de consumo masivo, con una importante fuente de vitaminas y minerales, pero que requiere de un especial cuidado en poscosecha debido a su carácter climatérico, que lo hace más susceptible al deterioro y a la pérdida de sus atributos de calidad durante su maduración (4, 5). A pesar de sus bondades, los frutos mínimamente procesados enfrentan una problemática en lo relacionado a su conservación, ya que los daños mecánicos infligidos durante su procesado promueven la aceleración de cambios metabólicos naturales como la respiración, que hacen que los frutos sean más vulnerables a la proliferación microbiana y a la pérdida de atributos de calidad (6). En la actualidad, los recubrimientos comestibles (RC) se presentan como una tecnología de conservación capaz prolongar la vida útil de estos alimentos, contrarrestando los efectos indeseables del procesado mínimo, actuando como una fina capa que se adhiere al alimento, permitiendo la formación de una barrera que tendrá como función permeabilizar adecuadamente los gases de la respiración, contrarrestar la pérdida de humedad y disminuir los cambios metabólicos en el fruto que causan su maduración (7). El gel mucilaginoso de aloe vera al ostentar propiedades biológicas, antimicrobianas y antivirales, ha llamado el interés de la agroindustria para ser utilizado como ingrediente funcional en productos de consumo masivo y últimamente ha sido parte de investigaciones en conservación de productos frescos o mínimamente procesados como recubrimiento comestible, conservando los atributos que calidad y prologando su vida útil (8-12). Hasta el momento, no se encuentran reportes de uso de aloe vera para la conservación de mango mínimamente procesado, pero los resultados promisorios de este mucílago como recubrimiento comestible en cuanto a conservación y prolongación de vita útil en fresas, uvas de mesa, moras, kiwis, o granadas mínimamente procesadas (2, 8, 11, 13, 14), conllevan a la investigación del aloe vera para esta clase de producto IV gama. En este contexto, esta investigación tuvo como objetivo conservar y prolongar la vida útil de mango variedad Tommy Atkins mínimamente procesado con la aplicación de un recubrimiento comestible de aloe vera, evaluando mediante parámetros físicos, fisicoquímicos, respiratorios, microbiológicos y sensoriales su efectividad en un período de almacenamiento refrigerado.
MATERIALES Y MÉTODOS
La investigación se llevó a cabo en los Laboratorios de Control de Calidad de Alimentos de la Universidad Nacional de Colombia Sede Medellín, en el Laboratorio de Empaque de la Fundación INTAL, en el Laboratorio de Análisis Microbiológico y Fisicoquímico de la Corporación Interactuar y en el Laboratorio de Análisis Sensorial de la Universidad de Antioquia.
Se utilizaron mangos (Mangifera indica L. var. Tommy Atkins) provenientes de cultivos comerciales de la zona productiva de Sopetrán-Antioquia, adquiridos en la Central Mayorista de Antioquia de la ciudad de Medellín, recién cosechados, con ausencia de daño mecánico, uniformes en tamaño y con grado de madurez 2 de acuerdo a la NTC 5210 (15), los cuales fueron transportados al laboratorio y fueron procesados siguiendo el diagrama de flujo para elaboración de mango mínimamente procesado propuesto por Siddiq et al., (2012) (16). El gel o mucílago de aloe vera 100% natural, se obtuvo de hojas de Aloe barbadensis Miller, cultivadas en la vereda El Carmelo, Medellín-Antioquia. La cera carnauba grado alimentario en escamas, glicerol (99,5%), polisorbato 80 (mono oleato de sorbitan), ácido ascórbico y ácido cítrico fueron adquiridos comercialmente. Como material de empaque se utilizaron cajas de poliestireno biorentado, BOPS de 350mL.
Preparación del recubrimiento comestibles
El cristal o mucílago de aloe vera se formuló a una concentración del 50% P/P, en dilución con agua destilada. Una porción de la de solución acuosa de aloe vera fue calentada con cera carnauba al 0,1% P/P que actuó como fase oleosa a 95°C por 5 min, y luego se adicionó la porción faltante de la solución de aloe con polisorbato 80 al 0,01% P/P, que actuó como emulsificante del sistema y glicerol al 1% P/P como plastificante. Por último, la formulación establecida fue homogenizada con un Ultraturrax, marca IKA, modelo T25, a 20.000 rpm por 4 min, y fue almacenada en refrigeración a 4° ± 0,5°C hasta el momento de su uso (2).
Aplicación del recubrimiento
Se utilizaron cubos de mango de aproximadamente 2,0 cm de lado; presentación comercial sugerida en la literatura (16-18). El recubrimiento fue aplicado a los cubos por inmersión durante un tiempo de 30 segundos y luego fueron secados a una temperatura de 20 ± 2°C en una estufa de aire forzado durante 1 hora (19). Se plantearon 4 tratamientos experimentales. El tratamiento C (control o blanco), en el cual se utilizaron mangos sumergidos en agua destilada; el tratamiento R, mangos con aplicación del RC formulado; el tratamiento PreREC, mangos con aplicación del mismo RC con previa inmersión en una solución de ácidos orgánicos (1% ácido cítrico + 1% ácido ascórbico) por 2 min; y el tratamiento CA (Control de ácidos), muestras de mango con solo inmersión en la solución de ácidos orgánicos (enunciada con anterioridad) por 2 min. La unidad experimental estuvo conformada por 100 g de cubos de mango mínimamente procesado empacados en una caja BOPS. Todas las unidades experimentales fueron sometidas a almacenamiento refrigerado en una vitrina vertical refrigeradora a una temperatura media de 4° ± 0,5°C y una humedad relativa del 89,6% ± 7% HR. Por tiempo de evaluación y tratamiento se utilizaron 6 réplicas para los análisis físicos, fisicoquímicos, respiratorios y de color, y 3 réplicas para los análisis microbiológicos y sensoriales, para un total de 252 unidades experimentales. El análisis respiratorio se realizó como una evaluación de réplicas independientes debido al método experimental utilizado.
Evaluación de parámetros
Firmeza: La firmeza fue medida en un texturómetro TA.XT2 (Stable Micro System®) y el software Texture Expert Excced®, v 2.64 los días 0, 3, 6 ,9 y 12 de almacenamiento. Se utilizó una celda cilíndrica de 5mm (P/5), a una velocidad de 2mm/s y una deformación hasta del 50% del material. Las pruebas de textura se realizaron sobre 5 cubos de mango al azar por unidad experimental de cada tratamiento. De la curva fuerza-deformación, se determinó la fuerza máxima de ruptura del tejido expresada en Newton (N) (2).
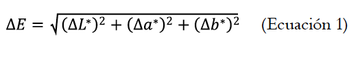
Color: El color de los cubos de mango mínimamente procesado fue medido por reflectancia en un espectrocolorímetro X-Rite®, modelo SP-64, con observador a 10° e iluminante D65 los días 0, 3 ,6 ,9 y 12 de almacenamiento. Se realizaron mediciones sobre 10 cubos de mango MP seleccionados aleatoriamente por unidad experimental y se obtuvieron las coordenadas L*, a*, b* utilizando el sistema uniforme de espacio de color Hunter; en donde L* representa la luminosidad, a* la variación verde-rojo y b* la variación azul-amarillo. Con estas coordenadas se calculó la diferencia de color (ΔE) utilizando la ecuación 1:
Donde ΔL*,Δa* y Δb*, representan las diferencias entre los parámetros de color de los cubos para cada tratamiento, respecto a las coordenadas medias del tratamiento control en el día cero (inicio del almacenamiento) (20).
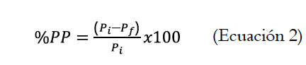
% Pérdida de peso: Las pérdidas de peso (%PP) se determinaron por gravimetría sobre las unidades experimentales los días 0, 3 ,6 ,9 y 12 de almacenamiento, mediante la diferencia entre pesos, tomando como base el peso inicial (Pi) menos los pesos en las diferentes fechas de muestreo del almacenamiento (Pf). Se expresaron los resultados como porcentaje de pérdida de peso (%) mediante la ecuación 2 (20):
Análisis fisicoquímicos: El % de acidez por unidad experimental se cuantificó por volumetría. El jugo extraído de 2g de mango se homogenizó en 100 mL de agua destilada y se tituló el sobrenadante con NaOH 0,1N y fenoltaleína como indicador. La acidez titulable de la muestra se expresó como el porcentaje en peso del ácido predominante (ácido cítrico) según la NTC 5210 (15). El contenido de sólidos solubles, se determinó empleando un refractómetro Hanna® modelo HI 96801, con previa calibración empleando agua destilada. Posteriormente se ubicó una porción del jugo extraído de 10g de mango sobre el prisma del refractómetro. Se expresó el porcentaje de sólidos solubles como °Brix de los cubos de mango de cada tratamiento por unidad experimental (15). Para el pH, se pesaron 10 g de la fruta por unidad experimental de cada tratamiento, que fueron homogenizados en 100 mL de agua destilada. Se realizó la lectura directa de la solución con un pHmetro marca Hanna® modelo Session1, para cada tratamiento por unidad experimental (15). Los análisis fisicoquímicos fueron realizados los días 0, 3, 6, 9 y 12 de almacenamiento.
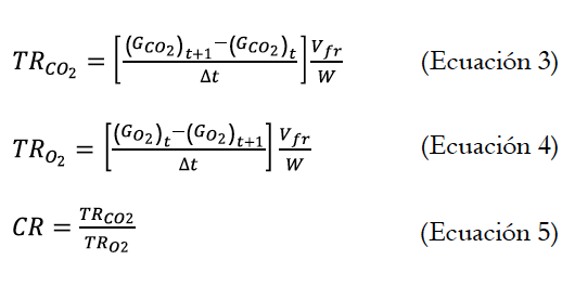
Tasas de respiración (TR) de CO2, O2 y coeficiente respiratorio (CR): Se determinaron con la evaluación del porcentaje de CO2 producido y el O2 consumido de una muestra de mango de 150 g, en el espacio de cabeza de un sistema estático completamente hermético (Recipiente de cristal de 600mL, con un septum en la superficie de la tapa) con un analizador de gases marca PBI Dansensor®, con sensibilidad de 0,1% para CO2 durante 7 días con un seguimiento de evaluación cada 24 horas. Las tasas respiratorias y el CR fueron calculados de acuerdo a las ecuaciones 3, 4 y 5 (21,22):
Donde: TRCO2 es la tasa de respiración de CO2 (mL [CO2] kg-1h-1); TRO2 es la tasa de respiración de O2 (mL [O2] kg-1h-1); GCO2 y GO2 es la concentración de CO2 y O2 en el espacio de cabeza, respectivamente; t es el tiempo de almacenamiento, h; Δt es la diferencia de tiempo entre dos mediciones de gas; Vfr es el volumen libre o de cabeza de la cámara de respiración, mL; y W es el peso de la fruta, kg.
Análisis microbiológicos
El recuento de bacterias mesófilas se realizó de acuerdo a la NTC 4519 (23) por la técnica de recuento de colonias en placa a 35 °C, norma equivalente a la ISO 4833. Los resultados se reportaron como UFC (unidades formadoras de colonias) de bacterias mesófilas (2). El recuento de mohos y levaduras se realizó de acuerdo a la NTC 4132 (24), con base en la técnica de recuento de colonias en placa a 25 °C, norma equivalente a la ISO 7954. Los resultados se reportaron como UFC de mohos y levaduras (2). La detección de Salmonella spp se realizó de acuerdo a la NTC 4574 (25) y el número más probable (NMP) de coliformes totales y fecales se realizó de acuerdo a la metodología planteada en el Manual de técnicas de análisis para control de calidad microbiológico de alimentos para consumo humano (26). Todas las pruebas microbiológicas para cada tratamiento se realizaron por triplicado, los días 0, 6 y 12 del almacenamiento refrigerado. Cabe resaltar que todos los ensayos microbiológicos son acreditados en NTC-ISO/IEC 17025.
Análisis sensorial
La evaluación se llevó a cabo en el Laboratorio de Análisis Sensorial de la Universidad de Antioquia por un panel compuesto por 5 jueces entrenados, el cual tiene implementado el Sistema de Gestión de Calidad de acuerdo a la NTC-ISO/IEC 17025. La prueba utilizada fue un perfil sensorial por aproximación multidimensional, donde se evaluaron los descriptores de sabor característico, sabor fresco, olor característico, firmeza y calidad general, teniendo en cuenta una escala de calificación 0 a 5, donde 0 es ausente y 5 muy intenso, definiendo 2,5 como límite inferior de aceptación de los frutos evaluados. Para el descriptor Calidad general se tuvo un escala de aceptación de 0 a 3, donde 1 es Baja, 2 Media y 3 es alta calidad, definiendo 2 como límite de aceptabilidad. Se realizó el análisis de acuerdo a la metodología planteada en la NTC 3932 (27), los días 0, 6, 9 y 12 del almacenamiento refrigerado.
Análisis estadístico
El efecto de los tratamientos sobre las variables de respuesta descritas previamente se evaluó mediante un análisis de varianza (ANOVA) y por el método de comparaciones múltiples LSD (mínimas diferencias significativas), con un nivel de confianza del 95% utilizando el paquete estadístico SAS® versión 9.0.
RESULTADOS
Firmeza
Se presenta una disminución gradual de los valores de firmeza para todos los tratamientos a medida que transcurre el tiempo de almacenamiento. A partir del día 6 y hasta el final del almacenamiento, los tratamientos R y PreREC forman un grupo homogéneo en cuanto a la estabilización de los valores de firmeza que son significativamente mayores (p < 0,05), en comparación a los tratamientos que no poseen el recubrimiento, los cuales evidencian una disminución marcada en el periodo evaluado (Figura 1).
Color
Se puede observar claramente que para los días 0 y 3, los intervalos de confianza LSD no mostraron diferencias significativas de ΔE entre los tratamientos (Figura 2), indicando así que el uso del recubrimiento comestible de Aloe vera no alteró el color natural de la fruta, siendo esto una condición deseada cuando se utilizan tecnologías de conservación de este tipo (28). El cambio significativo del color se hace evidente para el tratamiento testigo C a partir del día 6 con respecto a los demás tratamientos, comportamiento que continua con aumentos significativos hasta el último día de análisis. Para el final del almacenamiento, con el grupo homogéneo conformado por los tratamientos R, PreREC y CA se logró un valor medio de 9,03 unidades de cambio de color con respecto al color de referencia del inicio del almacenamiento, mientras que el tratamiento C, cambió en promedio 17,48 unidades.
Porcentaje de pérdida de peso
Los intervalos de confianza de la prueba LSD para los días 0, 3 y 6, no mostraron diferencias significativas (p > 0,05) entre los cuatro tratamientos, sin embargo a partir del día 9 y hasta el final del almacenamiento, el uso del recubrimiento de aloe vera y cera carnauba contribuyó a la reducción significativa (p < 0,05) de la pérdida de peso en las muestras de los tratamientos R y PreREC con respecto al control C y al tratamiento CA (Figura 3).
Análisis Fisicoquímicos
En general, se puede apreciar una tendencia significativa de aumento en los valores de pH y °Brix, así como una tendencia a la disminución de los porcentajes de acidez independientemente del tratamiento utilizado durante el almacenamiento (Figura 4).
En la evaluación de la acidez titulable se encontraron porcentajes significativamente mayores en las muestras tratadas con el recubrimiento comestible (R y PreREC) a partir del día 3 con respecto al control (C) y a partir del día 6 en relación al tratamiento CA hasta el final del almacenamiento (Figura 4a).
En cuanto a los sólidos solubles, se puede apreciar el efecto significativo (p < 0,05) del recubrimiento comestible tanto del tratamiento R como PreREC con valores menores de °Brix con respecto al tratamiento control (C) desde el día 6 hasta el último día de almacenamiento, logrando además diferencia significativa con respecto a CA, en el día 12 (Figura 4b). Finalmente, para el comportamiento del pH se evidencian diferencias significativas desde el día 6 (p < 0,05) para los tratamientos con recubrimiento comestible (R y PreREC), con valores menores de pH comparados con las muestras del tratamiento C; dicho comportamiento permaneció hasta el último día de almacenamiento. Caso similar ocurre al comparar R y PreREC con CA, pero solo se evidenciaron diferencias estadísticas (p < 0,05) a partir del día 9 (Figura 4c).
Tasas de respiración (TR) de CO2, O22 y coeficiente respiratorio (CR)
Las tasas respiratorias de O2 (Figura 5a) y de CO2 (Figura 5b), se comportaron de manera similar durante todo el tiempo de almacenamiento, mostrando valores significativamente mayores (p < 0,05) para los tratamientos C y CA con unas tasas elevadas para las primeras 48 horas del experimento, seguido por un descenso gradual hasta el final del tiempo de almacenamiento. Los tratamientos con recubrimiento (R y PreREC) mostraron una disminución uniforme a lo largo del almacenamiento con unas tasas significativamente menores (p < 0,05) a las reportadas para las muestras sin recubrir. En la Figura 5c, el CR, definido como la relación entre la tasa de CO2 producido y la de O2 consumido, presentó valores entre 0,87 y 1,1, con diferencias significativas (p < 0,05), dependiendo del tratamiento y del tiempo transcurrido de almacenamiento.
Análisis microbiológicos
El análisis de varianza ANOVA, no mostró efectos significativos (p < 0,05) con respecto al tratamiento utilizado, pero si por el tiempo de almacenamiento. Para todos los tratamientos se evidenció un incremento durante los días de evaluaciÓn en los conteos de mesófilos aerobios y de mohos y levaduras presentándose diferencia significativa el día 12 de almacenamiento como se aprecia en la Tabla 1. Para el último día de almacenamiento, se observa que los valores promedio de las muestras sin recubrimiento (C y CA) sobrepasan los límites máximos establecidos para el conteo de microrganismos deteriorantes, que según sugiere Torres (2007) (29) es de 1x104 Ufc/g [4 Log Ufc/g], mientras que las muestras con recubrimiento (R y PreREC) conservan valores más bajos al de referencia; caso similar ocurre con los valores promedio para hongos y levaduras siendo menores los conteos obtenidos para las muestras tratadas con el recubrimiento, sin embargo ningún valor sobrepasó el límite propuesto de deterioro. En lo referido a la evaluación de coliformes totales y fecales, y la detección de Salmonella se tuvo en cuenta los límites máximos o parámetros establecidos por normatividad INVIMA para ensaladas crudas de frutas y vegetales [150 NMP/g, < 3 NMP/g y Ausencia, respectivamente] (30). Como se observa en la Tabla 1, ninguno de los tiempos de evaluación sobrepasó los límites establecidos, independiente del tratamiento utilizado.
Análisis sensorial
La evolución de los descriptores correspondientes a sabor característico, olor característico, y firmeza se pueden observar en la Figura 6. Para estos tres descriptores se observa una tendencia a la disminución de la intensidad percibida por los jueces a lo largo del almacenamiento. No se evidenciaron diferencias significativas (p < 0,05) entre los tratamientos hasta después del día 9 para estos descriptores, lo que induce a pensar que el recubrimiento no aportó sabores objetables a la percepción del sabor y olor característico en los primeros días del análisis, lo cual es una característica buscada al momento de formular un recubrimiento comestible (3). Para el final del almacenamiento los tratamientos R y Pre-REC se comportaron como un grupo homogéneo que se estabilizó mostrando valores de intensidad significativamente mayores a los mostrados por el grupo formado por C y CA, los cuales decayeron por debajo del límite propuesto de aceptación en sus valores de intensidad.
Para el descriptor Calidad General se observa que para el primer día de análisis todas las muestras presentan valores en un rango de 2 a 3, lo que sugiere una calidad media-alta, comportamiento que se mantiene hasta el día 9 para todos los tratamientos (Figura 7). Para el final del almacenamiento se muestra una diferencia significativa entre las muestras tratadas con el recubrimiento comestible (R y PreREC) las cuales conservan una apreciación de calidad media frente a las no tratadas (C y CA), las cuales decayeron por debajo del límite de aceptabilidad, lo que las hace muestras de baja calidad para el consumo.
DISCUSIÓN
La pérdida de la firmeza posiblemente se atribuye a la degradación o digestión de polisacáridos pécticos de la pared celular por actividad de enzimas como la pectinesterasa, poligalacturonasa y β-galactosidasa, como también a la pérdida de presión de turgencia celular durante la maduración en el almacenamiento (31-33). El comportamiento de la firmeza en las muestras recubiertas va ligado al efecto de las propiedades de barrera frente a las pérdidas de humedad que provee el componente lipídico en la formulación, retrasando la deshidratación de la muestra (1). Según Abassi et al., (2019) (31) los recubrimientos comestibles también disminuyen la disponibilidad de oxígeno en el fruto, lo que permitiría la reducción de la actividad de enzimas pécticas que producen la pérdida de la firmeza. Lo anterior ha sido sugerido por Navarro et al., (2011) (34), refiriéndose específicamente a un recubrimiento a base de aloe vera.
Los cambios en el color (ΔE) se deben a procesos bioquímicos ligados a la maduración natural del fruto que pueden causar el oscurecimiento de los tejidos celulares, al igual que la deshidratación superficial, provocando cambios en los parámetros de color del alimento (6, 35, 36). El menor cambio de color en los tratamientos R, PreREC y CA se debe al efecto benéfico que aporta el recubrimiento de Aloe y la acción antioxidante de los ácidos orgánicos sobre la disminución de los procesos respiratorios y enzimáticos que ocasionan el oscurecimiento del fruto (2,18). Lo anterior ha sido corroborado por Ramírez, (2012) (2), quien logró un menor cambio de color en el último día de almacenamiento para moras recubiertas con Aloe vera y cera carnauba con respecto al control.
Los menores porcentajes de pérdida de peso en muestras tratadas con el recubrimiento se podrían explicar debido al efecto conjunto de barrera contra la pérdida de agua y solutos de la pulpa exterior que proveen los polisacáridos del aloe vera con la acción hidrofóbica de la cera carnauba (2,12,35). Estos resultados en disminución de pérdida de peso por efecto de la utilización de un recubrimiento comestible a base de aloe vera y cera carnauba, coinciden con los presentados por Restrepo y Aristizábal, (2010) (19) y Ramírez (2012) (2) en fresas y moras, respectivamente. En el presente estudio se logró un valor promedio de porcentaje de pérdida de peso para el final del almacenamiento de alrededor del 1,29% para las muestras tratadas con el recubrimiento comestible a base de aloe vera (R y PreREC), siendo un valor menor comparado con otros estudios en mango mínimamente procesado, en los cuales reportan porcentajes promedio de 6%, 10,27% y 10,12% para un recubrimiento de almidón de yuca, quitosano y mucílago de opuntia, respectivamente, para el final del almacenamiento (18, 35, 37), lo que indica que el recubrimiento de aloe vera y cera carnauba representa una alternativa eficaz para disminuir la deshidratación de mango mínimamente procesado.
El comportamiento de los parámetros fisicoquímicos se debe al efecto de la maduración natural del fruto que promueve el gasto u oxidación de ácidos orgánicos internos disminuyendo la acidez e incrementando el pH y a otros procesos como la síntesis de sacarosa e hidrólisis de almidones que aumentan los sólidos solubles en el fruto (11, 13, 31, 38,39).
La menor tasa de disminución de la acidez titulable, los menores valores de °Brix y el comportamiento del pH de las muestras recubiertas en los últimos días de evaluación se le atribuye a la ralentización de la actividad metabólica y respiratoria que la fina capa de RC genera, evitando el consumo de ácidos orgánicos en especial de ácido cítrico (37, 40, 41, 42). Los resultados obtenidos con el recubrimiento de Aloe vera en los porcentajes de acidez se asemejan a lo reportado por Alikhani (2014) (37) para mangos mínimamente procesados recubiertos con mucilago de cactus y aceite de Rosemary y con lo mostrado por De Souza et al., (2011) (33) para mangos recubiertos con quitosano a diferentes concentraciones. En estudios de Sothornvit y Rodsamran (2008) (39), se reportó que mangos mínimamente procesados que no fueron recubiertos por una fina capa elaborada a base de puré mango aumentaron significativamente sus valores de °Brix con respecto a los recubiertos a partir del día 4 de almacenamiento. Por último, la tendencia en resultados de pH se asemeja a lo evidenciado por Dussán et al., (2014) (43) al reportar valores promedio de pH menores en mangos mínimamente procesados con recubrimientos de almidón de yuca y cera carnauba comparados con los frutos no tratados al final del almacenamiento, los cuales fueron 3,10 y 3,46 respectivamente, mientras que en el presente estudio se lograron valores medios de 3,27 para muestras recubiertas y de 3,35 para muestras no recubiertas para el final del almacenamiento.
La mayor velocidad de consumo de O2 y producción de CO2 reportada para los tratamientos sin recubrimiento (C y CA) podría estar relacionada con el estrés que sufre el tejido celular de los frutos causado por las operaciones de procesamiento mínimo como el corte y el pelado que causan una frecuencia respiratoria mayor (18,44), mientras que las tasas bajas reportadas para R y PreREC van ligadas posiblemente a la función que cumple el recubrimiento comestible en la modificación de la atmósfera interna del producto, actuando como capa semipermeable a la difusión controlada de gases y en la reducción de las reacciones de oxidación, mayoritariamente enzimáticas, que se dan en la superficie de la fruta luego del procesado mínimo (1,7). Autores como Restrepo y Aristizábal, (2010) (19) y RamÍrez (2012) (2) han reportado el efecto benéfico que puede proveer el aloe vera en conjunto con la cera carnauba y el glicerol en la disminución de las tasas de respiración, atribuyendo su eficacia a la barrera de intercambio gaseoso (O2 y CO2) que forman como RC (2,19). Los resultados del CR indicaron que en ninguno de los casos existió cambios en las rutas metabólicas y no hubo lugar para la presencia de respiración anaeróbica por efecto del recubrimiento o la preinmersión, que podrían generar reacciones fermentativas en los frutos, sabiendo de antemano que el rango de este coeficiente para una respiración aeróbica de oxidación de glucosa abarca un intervalo entre 0,7-1,3 (29,45).
El comportamiento del crecimiento microbiano para mesófilos y mohos y levaduras probablemente se deba a la disponibilidad de agua superficial que se pierde en el transcurso de la maduración natural del fruto (46). Lo mostrado para el último día de almacenamiento para estos microorganismos en las muestras recubiertas, probablemente se pueda explicar debido a la actividad antimicrobiana que ha sido atribuida al aloe vera y a su composición en antraquinonas, saponinas y acemananos que reducen el crecimiento de una gran variedad de bacterias gram-postivas y gram-negativas, además de proveer un mecanismo que inhibe el crecimiento miceliar y la germinación de ciertos tipos de hongos (2, 8, 10, 12). En lo referido para coliformes totales y fecales y la detección de Salmonella, los resultados indicaron un manejo adecuado de las Buenas Prácticas de Manufactura en cada una de las etapas del procesamiento mínimo de las muestras, tal como fue reportado por Chiumarelli et al., (2010) (46), quienes reportaron la no presencia de Salmonella spp. y conteos bajos de coliformes totales para muestras de mango Tommy Atkins mínimamente procesado sometido a diferentes tratamientos con recubrimientos comestibles (almidón de yuca - glicerol) y ácidos orgánicos, atribuyendo sus resultados al efectivo manejo de las prácticas de higiene y procesos de desinfección en las muestras precortadas.
En lo referente al análisis sensorial, el comportamiento del sabor característico probablemente se deba a la función del recubrimiento comestible de aloe vera en disminuir el deterioro del fruto controlando la respiración y procesos enzimáticos que pueden producir sabores indeseables (2). En el caso del olor característico, el recubrimiento posiblemente actuó como un encapsulador de compuestos aromáticos gracias a su baja permeabilidad al oxígeno o como una barrera semipermeable que reduce el tránsito de compuestos aromáticos hacia el exterior del fruto (2, 7, 47). Por último para el descriptor firmeza, el comportamiento se asemeja a lo reportado a nivel instrumental, donde el recubrimiento actuó como barrera contra la pérdida de humedad y como agente que ralentiza la actividad de algunas enzimas pécticas que causan el ablandamiento de la fruta (30, 45). La apreciación global del descriptor calidad general, podría indicar que el recubrimiento imparte una función de conservación sobre el mango mínimamente procesado aumentando su tiempo de duración 3 días más en comparación con las muestras sin recubrir, manteniendo las características de calidad que lo hacen apto para su consumo. Lo anterior es soportado con los análisis instrumentales realizados a las muestras de mango mínimamente procesado, pues el recubrimiento logró conservar los parámetros fisicoquímicos y de color, controlar la respiración, disminuir la pérdida de agua, y mantener la firmeza de las muestras, siendo perceptibles las diferencias con respecto a los controles generalmente a partir del día 6, lo que para los jueces entrenados fue logrado solo después del día 9.
Limitaciones
Luego de seguir la sugerencia del panel sensorial para evaluar hasta el día 15 de almacenamiento, se comprobó la imposibilidad de realizarlo, puesto que para este día ningún tratamiento se encontraba apto para el consumo debido a la evidente contaminación microbiológica.
CONCLUSIONES
El gel mucilaginoso de aloe vera es eficaz para la formulación de un recubrimiento comestible para la conservación de mango mínimamente procesado al no aportar olores o sabores objetables a los característicos del fruto. La acción conjunta de los componentes de la formulación del RC (Aloe Vera - Cera carnauba), permitió la formación de una barrera frente a la pérdida de humedad y una barrera semipermeable a los gases de la respiración, logrando un control en los procesos respiratorios de producción de CO2 y consumo de O2 y una menor pérdida de peso en los mangos recubiertos, características buscadas para contrarrestar los efectos de la maduración y el deterioro de la calidad del producto.
En condiciones de almacenamiento en refrigeración a 4° ± 0,5°C y una humedad relativa del 89,6% ± 7%HR, el recubrimiento comestible formulado conserva parámetros fisicoquímicos como el pH, sóidos solubles y porcentaje de acidez, mostrando así que los procesos naturales de maduración fueron menos acelerados en las muestras con el recubrimiento. Igualmente el recubrimiento retrasa el cambio en la diferencia de color (ΔE), así como también permite que las muestras conserven valores mayores de firmeza durante el tiempo de almacenamiento, comprobado tanto instrumental como sensorialmente. A nivel microbiológico se reportaron conteos mayores de mesófilos aerobios y hongos y levaduras en aquellas muestras que no se encontraban recubiertas, lo que se ve reflejado en la percepción sensorial. El análisis sensorial demostró que el recubrimiento no aporta olores o sabores indeseables y que conserva la firmeza de las muestras de mango mínimamente procesado.
El descriptor Calidad General permitió establecer que las muestras de mango mínimamente procesadas pueden tener un tiempo de duración o de vida útil en refrigeración hasta de 12 días en el almacenamiento, 3 días más que las muestras sin recubrir.
AGRADECIMIENTOS
A la Universidad Nacional de Colombia, a la Vicerrectoría de Investigación y a la DIME de la Universidad Nacional Sede Medellín, por la financiación que brindaron al proyecto titulado 'Conservación de mango Tommy Atkins mínimamente procesado mediante un recubrimiento comestible de Aloe Vera' a través de la convocatoria del Programa Nacional de Proyectos para el fortalecimiento de la investigación, la creación, la innovación en posgrados de la Universidad Nacional de Colombia 2013-2015, proyecto 19847, así mismo a la convocatoria del Programa Nacional de apoyo a estudiantes de posgrado para el fortalecimiento de la investigación, creación e innovación de la Universidad Nacional de Colombia 2013-2015, proyecto 21887.
CONFLICTO DE INTERESES
Los autores declaran que no existe conflicto de intereses en esta investigación.
REFERENCIAS
1. González-Aguilar G, Gardea A, Cuamea-Navarro F. Nuevas tecnologías de conservación de productos vegetales frescos cortados. Primera Edición. Guadalajara, México: Logiprint Digital S; 2005. 558p. [ Links ]
2. Ramírez J. Conservación de mora de Castilla (Rubus glaucus Benth) mediante la aplicación de un recubrimiento comestible de gel de mucílago de penca de sábila (Aloe barbadensis Miller). [Tesis de Maestría]. [Medellín, Colombia]: Universidad Nacional de Colombia: 2012. 111p. [ Links ]
3. Escobar A. Aplicación de la tecnología de barreras para la conservación individual y de mezclas de hortalizas mínimamente procesadas. [Tesis de Maestría]. [Medellín, Colombia]: Universidad Nacional de Colombia: 2013. 108 p. [ Links ]
4. Varela A, Materano W, Maffei M, Quintero I, Zambrano J. Uso de recubrimientos comestibles y baja temperatura para mantener la calidad de frutos de mango 'Bocado' durante el almacenamiento. Rev. Fac. Agron. 2011 Sep 5; 28(1): 600-608. [ Links ]
5. García J, Sandoval P, Forero F, Floriano J, Salamanca G, Bernal J, Atributos de calidad del mango criollo para la agroindustria. Espinal, Colombia: Produmedios; 2010. 48p. [ Links ]
6. Oms-Oliu G. Alternativas de envasado de peras y melón frescos cortados en atmósfera modificada. [Tesis Doctoral]. [Lleida, España]: Universidad de Lleida: 2008. 354p. [ Links ]
7. Lin D, Zhao Y. 2007. Innovations in the development and application of edible coatings for fresh and minimally processed fruits and vegetables. Comp Rev Food Sci Food Saf. 2007 Abr 20; 6(3): 60-75. [ Links ]
8. Valverde J, Valero D, Martínez-Romero D, Guillén F, Castillo S, Serrano M. 2005. Novel edible coating based on aloe vera gel to maintain table grape quality and safety. J Agr Food Chem. 2005 Oct 9; 53(20): 7807-7813. [ Links ]
9. Serrano M, Valverde J, Guillén F, Castillo S, Marínez-Romero D, Valero D. Use of Aloe vera gel coating preserves the functional properties of table grapes. J Agr Food Chem. 2006 Mar 5; 54(11): 3882-3886. [ Links ]
10. Martínez-Romero D, Alburquerque N, Valverde J, Guillén F, Castillo S, Valero D, Serrano M. Postharvest sweet cherry quality and safety maintenance by Aloe vera treatment: A new edible coating. Postharvest Biol Tec. 2006; 39(1): 93-100. [ Links ]
11. Restrepo J. Conservación de fresa (Fragaria X Ananassa Duch Cv. Camarosa) Mediante la aplicación de recubrimientos comestibles de gel de mucílago de penca de sábila (Aloe barbadensis Miller). [Tesis de Maestría]. [Medellín, Colombia]: Universidad Nacional de Colombia: 2009. 83p. [ Links ]
12. Chauhan O, Raju P, Singh A, Bawa A. Shellac and aloe-gel-based surface coatings for maintaining keeping quality of apple slices. Food Chem. 2011 Jun 1; 126(3): 961-966. [ Links ]
13. Benitez S, Achaerandio I, Sepulcre F, Pujola M. 2013. Aloe vera based edible coatings improve the quality of minimally processed 'Hayward' kiwifruit. Postharvest Biol Tec. 2013 Jul; 81(1): 29-36. [ Links ]
14. Martínez-Romero D, Castillo S, Guillén F, Díaz-Mula H, Zapata P, Valero D, Serrano M. Aloe vera gel coating maintains quality and safety of ready-to-eat pomegranate aril. Postharvest Biol Tec. 2013 Dic; 86(1): 107-112. [ Links ]
15. ICONTEC. Norma Técnica Colombiana. NTC 5210. Frutas Frescas. Mango. Variedades Mejoradas. Especificaciones. Bogotá, Colombia: ICONTEC; 2013. 31p. [ Links ]
16. Siddiq M, Akhtar S, Siddiq R. Mango processing, products, and nutrition. En: Siddiq M, editores. Tropical and subtropical fruit processing and packaging. Primera Edición. New Delhi, India: John Wiley & Sons, Inc; 2012. 277-297p. [ Links ]
17. Oliveira E, Gutiérrez M, Jacomino P, Puschmann R, Ferreira N, Elesbao R, Yaguiu P. Formas de presentación. En: González-Aguilar G, Gardea A, Cuamea-Navarro F, editores. Nuevas tecnologías de conservación de productos vegetales frescos cortados. Primera Edición. Guadalajara, México: Logiprint Digital S; 2005. 37-58p. [ Links ]
18. Chiumarelli M, Ferrari C, Sarant'opoulos C, Hubinger M. Fresh cut 'Tommy Atkins' mango pre-treated with citric acid and coated with cassava (Manihot esculenta Crantz) starch or sodium alginate. Innov. Food Sci. Emerg. Technol. 2011 Jul; 12(3): 381-387. [ Links ]
19. Restrepo J, Aristizábal I. Conservación de fresa (Fragaria x Ananassa Duch cv. Camarosa) mediante la aplicación de recubrimientos comestibles de gel mucilaginoso de penca sábila (Aloe Barbadensis Miller) y cera de carnauba. Vitae. 2010 Ago 19; 17(3): 252-263. [ Links ]
20. Ramírez J, Aristizábal I, Restrepo J. Conservación de mora de Castilla mediante la aplicación de un recubrimiento comestible de gel de mucílago de penca de sábila. Vitae. 2013 Nov 21; 20(3): 172-183. [ Links ]
21. Ravindra M, Goswami T. Modelling the respiration rate of green mature mango under aerobic conditions. Biosystems Engineering. 2008 Feb; 99(2): 239-248. [ Links ]
22. Brito A. Aplicación de recubrimientos a base de quitosano y aceite esencial de limón en el control de la poscosecha de la podredumbre azul de naranjas. [Tesis de Maestría]. [Valencia, España]: Universidad Politécnica de Valencia: 2012. 20p. [ Links ]
23. ICONTEC. Norma Técnica Colombiana. NTC 4519. Microbiología de los alimentos para consumo humano y animal. Método horizontal para el recuento de microorganismos. Técnica de recuento de colonias a 30 °C. Bogotá, Colombia: ICONTEC; 2009. 12p. [ Links ]
24. ICONTEC. Norma TÉcnica Colombiana. NTC 4132. Microbiología. Guía general para el recuento de mohos y levaduras. Técnica de recuento de colonias a 25 °C. Bogotá, Colombia: ICONTEC; 1997. 10p. [ Links ]
25. ICONTEC. Norma Técnica Colombiana. NTC 4574. Microbiología de alimentos y alimentos para animales. Método horizontal para Salmonella spp. Bogotá, Colombia: ICONTEC; 2007. 27 p. [ Links ]
26. INVIMA. Manual de técnicas de análisis para control de calidad microbiológico de alimentos para consumo humano. Bogotá, Colombia: INVIMA; 1998. [ Links ]
27. ICONTEC. Norma Técnica Colombiana. NTC 3932. Análisis sensorial. Identificación y selecciÓn de descriptores para establecer un perfil sensorial por una aproximación multidimensional. Bogotá, Colombia: ICONTEC; 1996. 20p. [ Links ]
28. Kester J, Fennema O. Edible films and coatings: a review. Food Technol. 1986 Dec; 40(12): 47-59. [ Links ]
29. Torres J. Optimización de las condiciones de operación de tratamientos osmóticos destinados al procesado mínimo de mango (Mangifera indica L.). [Tesis Doctoral]. [Valencia, España]: Universidad Politécnica de Valencia: 2007. 342p. [ Links ]
30. Carreño L, Nocua O. Efecto combinado de dos recubrimientos comestibles con atmósfera modificada en mango (Manguifera indica L.) variedad Tommy Atkins mínimamente procesado refrigerado. [Trabajo de grado]. [Bogotá, Colombia]: Universidad de La Salle: 2011. 97p. [ Links ]
31. Abbasi N, Iqbal Z, Maqbool M, Hafiz I. Postharvest quality of mango (Mangifera indica L.) fruit as affected by chitosan coating. Pak J Bot. 2009 Feb; 41(1): 343-357. [ Links ]
32. Sothornvit R, Rodsamran P. Mango film coated for fresh-cut mango in modified atmosphere packaging. Int J Food Sci Tech. 2010 Ago; 45(8): 1689-1695. [ Links ]
33. De Souza M, Ascari C, Magalhaes K, Machado C. Pós-colheita de mangas 'Tommy Atkins' Recobertas com quitosana. Rev Bras Frutic Jaboticabal-SP. 2011. Vol. Especial: 337-343p. [ Links ]
34. Navarro D, Díaz-Mula H, Guillén F, Zapata P, Castillo S, Serrano M, Valero D, Martínez-Romero D. Reduction of nectarine decay caused by Rhizopus stolonifer, Botrytis cinerea and Penicillium digitatum with Aloe vera gel alone or with the addition of thymol. Int J Food Microbiol. 2011 Dec 2; 151(1): 241-246. [ Links ]
35. Chien P, Sheu F, Yang F. Effects of edible chitosan coating on quality and shelf life of sliced mango fruit. J Food Eng. 2007 Ene; 78(1): 225-229. [ Links ]
36. Djioua T, Charles F, Freire M, Filgueiras H, Ducamp-Collin M, Sallanon H. Combined effects of postharvest heat treatment and chitosan coating on quality of fresh-cut mangoes (Mangifera indica L.). Int J Food Sci Tech. 2010 Abr; 45(4): 849-855. [ Links ]
37. Alikhani M. Enhancing safety and shelf life of freshcut mango by application of edible coatings and microencapsulation technique. Food Sci Nutr. 2014 May; 2(3): 210-217. [ Links ]
38. Figueroa J, Salcedo J, Narváez G. Efecto de recubrimientos comestibles a base de almidón nativo y oxidado de yuca sobre la calidad de mango (Tommy Atkins). Temas Agrarios. 2013 Jul-Dic; 18(2): 94-105. [ Links ]
39. Sothornvit R, Rodsamran P. Effect of a mango film on quality of whole and minimally processed mangoes. Postharvest Biol Tec. 2008 Mar; 47(1): 407-415. [ Links ]
40. Kays S. Postharvest physiology of perishable plant products. New York, USA: Van Nostrand Rehinhold; 1991. 532p. [ Links ]
41. Navarro C. Recubrimientos Comestibles A Base De Hidroxipropil Metilcelulosa: Caracterización Y Aplicación. [Tesis Doctoral]. [Valencia, España]: Universidad Politécnica De Valencia. 2010. 270p. [ Links ]
42. Jafarizadeh H, Osman A, Tan C, Abdul Rahman R. Evaluation of effectiveness of three cellulose derivative-based edible coatings on changes of physico-chemical characteristics of 'Berangan' banana (Musa sapientum cv. Berangan) during storage at ambient conditions. Int Food Res J. 2011 Ene; 18(4): 1381-1386. [ Links ]
43. Dussán S, Torres C, Reyes P. Efecto del recubrimiento comestible sobre los atributos fisicoquímicos de mango 'Tommy Atkins' mínimamente procesado y refrigerado. Acta Agronómica. 2014 May 19; 63(3): 1-11. [ Links ]
44. Fontes L, Sarmento S, Spoto M, Dias C. Conservação de maçã minimamente processada com o uso de películas comestíveis. Ciênc. Tecnol. Aliment. 2008 Oct-Dic; 28(4): 872-880. [ Links ]
45. Camañas C. Incorporación de aceites esenciales en la conservación del caqui 'rojo brillante' y melón 'piel de sapo' mínimamente procesados. [Tesis Doctoral]. [Valencia, España]: Universidad Politécnica De Valencia. 2012. 208p. [ Links ]
46. Chiumarelli M, Pereira M, Ferrari C, Sarant'opoulos C, Hubinger M. Cassava starch coating and citric acid to preserve quality parameters of fresh-cut 'Tommy Atkins' mango. J Food Sci. 2010 Jun; 75(5): 297-304. [ Links ]
47. Martin-Belloso O, Soliva- Fortuny R, Baldwin E. 2005. Conservación mediantes recubrimientos comestibles. En: González-Aguilar G, Gardea A, Cuamea-Navarro F, editores. Nuevas tecnologías de conservación de productos vegetales frescos cortados. Primera Edición. Guadalajara, México: Logiprint Digital S; 2005. 341-356p. [ Links ]























