Introduction
Plantain is one of the most important crops in the world, after rice, wheat and corn. Besides being considered a basic and export product, it is an important source of employment and income in many developing countries. In Colombia plantain is positioned as the third most cultivated product under sugar cane and whole milk (fresh) respectively. Regarding the average plantain production during 2003 and 2013, Colombia is considered the third largest producer with 3,090,700 tonnes per year, below Uganda (9.3523 million tons) and Ghana (3,174,980 tons). ()
Plantain is the most widely grown tropical fruit and one of the top four overall, just behind citrus, grape and apple. Latin American and Caribbean countries produce the bulk of plantains entering international trade. The main importers are Europe, the US, Japan and Canada. ( ).
In Colombia the cultivation of plantain is traditional in the economy of rural areas across the country, it is estimated that in Colombia the cultivation of plantain is approximately divided into 87% as cultivation associated with coffee, cocoa, cassava and fruit, and the remaining 13% is as technical monoculture.( ). 4% of the national plantain production is destined for export market, 7% is used as raw material for the national agribusiness and the rest is consumed fresh on the domestic market. ( ).
The deep-frying process is a unit operation widely used in the food industry, where the food is dipped in an oil bath at a temperature above the boiling point of water, generating an oil-water exchange ( ), producing organoleptic properties (color, texture and taste) that in the majority of cases are desired and appreciated by consumers. In deep frying heat and mass transfer occur simultaneously; the heat is transferred from the food to the oil, the water evaporates from the food and oil is absorbed therein; the factors affecting heat and mass transfer are the thermal and physicochemical properties of the oil and food, the geometry of the food and the oil temperature ( ). An alternative to reduce the undesirable effects is to modify the process conditions, such as reducing pressure working under vacuum reducing the boiling point of water to remove it at low temperatures, so as to decrease the oil content which in turn depends on the characteristics of the matrix or food to be processed ( ).
Its use has spread globally thanks to the particular characteristics conferred to fried products, since it prolongs their life, seeing as high temperatures decrease water activity, acts on microorganisms causing deterioration and on enzyme systems that accelerate oxidative processes in plant materials ( ).
During deep frying a large amount of reactions causing physical and chemical changes to occur, in the presence of oxygen (from air or the product), food moisture and high operating temperatures, the oil undergoes three degradation reactions: hydrolysis caused by water, oxidation caused by the presence of oxygen and thermal alteration caused by heat ( ).
The times of deep-frying depend on the degree of maturity of the plantain, for green plantains times vary between 3-5 minutes, usually obtaining products with a slightly sweet flavor, crunchy texture on the surface, golden color and lower fat content ( ).
Materials and methods
Raw Materials
The variety of plantain used was Dominico Harton harvested between 8 and 9 weeks after flowering, harvest gathered in the Montelindo farm belonging to the University of Caldas (located in Santágueda, municipality of Palestina, 22.8ºC, 2200 mm/year, relative humidity of 76%, 1010 m.a.s.l.) Department of Caldas, Colombia. ( ). Plantain samples were manually peeled and cut into sheets of 3 mm ± 0.2 thickness in a manual slicer, the brand was Omega, with the aid of a stainless steel punch with an inner diameter of 29.4 mm. For physicochemical characterization of samples of plantain, the percentage of acidity (% acidity) was determined according to AOAC 942.05 official method, Brix degrees (ºBrix) as per AOAC 932.12 Official Method and moisture content according to AOAC 930.15 Official Method which were performed in triplicate.
fiDeep-Frying
The deep-frying process was performed on a prototype which has a capacity of 7 liters of oil, also, it consists of three Type K thermocouples, automated control board, a vacuum pump and variables logging and control software. The product / oil ratio was 6.67 g/L (). The oil used was a blend of refined vegetable oils from soybeans and palm olein with tertiary butyl hydroquinone antioxidant (TBHQ). The protocol used for the deep-frying process, is described in the following diagram.
Some parameters were measured and determined from the products obtained from the deep-fry process like moisture content and fat content (both measured in triplicate) also, analysis of texture (hardness) (10 measurements for each product). The moisture content was performed according to AOAC 930.15 Official Method, fat content according to AOAC 920.39 Official Method and analysis of texture (hardness) were made in a SHIDMAZU EZ-S texture analyzer with a load cell of 500N, a tooth shaped probe of 30 mm width and an angle of 60°, a base with two support points and a separation of 20 mm between them and a probe speed of 20 mm/min ( ).
Sensory Analysis
For sensory analysis, 6 of 20 treatments of the matrix resulting from the experimental design were selected, taking into account that this selection would result in acceptable sensory characteristics in fried slices; the sensory evaluation of these treatments was carried out by a total of 34 judges at the level of consumers, which were given three samples per treatment (labeled with random codes) for them to rank them in a global hedonic scale, coded as follows: 1 I really like, 2 I like slightly, 3 nor like nor dislike, 4 disgusts me slightly and 5 very disgusting.
Statistical Analysis
Answer surface: for the design of experiments, we worked with the response surface methodology, with rotating central composite design that included three factors or independent variables driving force (AT) in ° C, system pressure (P) in kPa and time (t) in seconds as shown in Table 1. The proposed design resulted in a total of 20 treatments.
The driving force (∆T), corresponding to the difference between the oil temperature (To) and the boiling temperature of water (Te) corresponding to a given pressure ( , ).
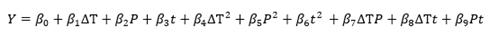
The dependent or response variables (y): moisture content, fat content and texture (hardness) are generally estimated by Equation 2.
Where: ßi, i: 1-9 are the coefficients estimated for each variable response, according to the driving force, pressure and time.
Sensory Analysis: For sensory analysis an analysis of variance with a confidence level of 95% was applied and in order to make comparisons between the means a contrasts test of multiple range was conducted.
Results
Raw materials
A fruit used are determined by the percentage of acid (0.2105 ± 0.0003), Brix (7.3 ± 0.057) and moisture content (60.3 ± 0.0067).
Optimization in the process of deep friying
Using the technique of response surface and regression models optimum process conditions were identified, the average values of the response variables for each of the 20 treatments are shown in Table 2.
The coefficients of the regression equations of second order polynomials adjusted for each of the response variables, are shown in Table 3, these models were also used in ( ) and ( ). Moreover, in ( ) a mathematical model capable of analyzing the effects of different frying conditions in moisture, oil and temperature profiles was developed.
Discussion
Raw materials
These values are compared to the study in the process of maturation in some varieties of banana by 16, where the variety Dominico Harton and report Brix values lower than or equal to 11 for a state of "immature" maturity for the first nine days storage.
Optimization in the process of deep friying
It should be noted in Table 3 that the moisture content is not affected by pressure, and that only the driving force and time are the process variables having significant impact on it. In regard to the fat content, it appears that it does not depend linearly or quadratically on the driving force, nor quadratically on time, or the time-pressure and time-driving force interactions. Finally with regard to hardness or fracture force it follows that this variable is not linearly dependent on the driving force and time or quadratically on the process variables, nor the interaction of the pressure and time. For the three response variables saddle points were obtained, that is, from the second derivative test for extreme values no local extremes were found.
Moisture content
Figure 2 shows the volumes of response obtained by the central composite rotatable design used. In Figure 2 (A), the change in moisture content is observed for all three axes (∆T, P and t), which, is among the intense blue (low values) and intense red (higher values). In Figure 2 (B), the variation of moisture content in function of cuts in the variables ∆T, 15, 40, 65 and 90°C and time 180, 230, 310 and 470 seconds is presented, which shows that for values above ∆T of 80°C and times between 200 and 400 seconds, a relatively low moisture content begins to be generated. Figure 2 (C) shows the cuts in the variable pressure, 35, 55 and 75 kPa, exhibiting a more accurate perspective of the nonsignificance of pressure, as indicated in Table 3. Some authors ( ) have reported a loss of water in frying of potatoes and relate it to the increased energy expenditure in this type of process, the remaining energy expenditure is attributed to the heating of the oil and of the air of the ventilation system, also, heat losses from the surfaces of the fryer wall by convection and radiation. Other authors ( ) reported moisture content decreases and increased oil absorption, hardness and color in potato chips, which were subjected to the Taguchi technique. Likewise ( ) in his study of deep-frying of potatos, concluded that the evaporation of surface water occurs at an increasing and unexpected pace and in this regard suggests a possible physical explanation attributed to the growing trend in the degassing of the water of samples, also finding that this phenomenon depends on the oil/product relation and the temperature of the medium, but not the type of oil tested.
Fat content
Figure 3 shows the volumes of response obtained by the central composite rotatable design used. In Figure 3 (A), the fat content variation is observed for all three axes (∆T, P t), which is among the intense blue (low values) and intense red (higher values). The fat content tends to have low values when the process is carried out at low pressures and higher values when the pressure is higher coinciding with the work of ( ); however, they clarify that the fat content depends largely on the porosity of the product and the aftertreatment performed to remove excess fat at the end of the process. In Figure 3 (B), the fat content variation depending on cuts of variables ∆T , 15, 40, 65 and 90°C and time 180, 230, 310 and 470 seconds is presented, which shows that for values below about 20°C ∆T and 200 s time and pressures greater than 55 kPa, relatively low fat content begins to be generated; in this case, pressure does play a significant role. Figure 3 (C) shows cuts in the variable pressure, 35, 55 and 75 kPa, exhibiting a more accurate perspective of the significance of pressure, concluding that lower levels of fat are achieved with ∆T between 0 and 40ºC, times between 100 and 200 seconds and pressures between 55 and 75 KPa, however, sensory analysis states that the treatments with greatest global acceptance have fat content between 31 and 36%. Some authors have reported in their research lower oil content in fried products in vacuum conditions compared with those obtained under atmospheric conditions, so, for example, ( ) studied the phenomenon of breaded shrimp, () and ( ) conducted the same study in sweet potato, ( ) meanwhile showed nterest in fillets (Sparus aurata), ( ) did it on carrot slices. On the other hand, ( ) used four different matrices of interest in the study, they worked with potato, green beans, mango (Tommy Atkins) and blue potatoes, finding similar results in reduction of oil in sweet potato and green beans after frying under vacuum, but in turn, they reported higher values in blue potatoes and mango, 6% and 5% respectively compared to traditional frying values..
Texture (hardness)
Figure 4 represents the volume of response obtained by the central composite rotatable design used. In Figure 4 (A), the variation of the texture (hardness) with respect to the three axes (∆T, P and t) is observed, which is between the intense blue (low values) and deep red (high values). The texture of the product, presented desirable values at low process pressures, coinciding with results of ( ). It also should be noted that the treatments evaluated and those with greater overall sensory acceptance recorded instrumental values between 6.4 and 9.2 N. In Figure 4 (B), the texture variation based on cuts in the variables ∆T, 15, 40, 65 and 90° C and time 180, 230, 310 and 470 seconds is presented, which shows that for values above about 90ºC ∆T and 310 s time relatively low values of texture (hardness) occurs, with pressure affecting these values in a very mild way. Moreover, Figure 4 (C) shows the variable pressure cuts, 35, 55 and 75 kPa, wherein the behavior described above is seen more clearly, but in addition, it can be seen that high values of texture (hardness), happen in ∆T between 15 and 40°C, pressures close to 75 kPa and times above 470 s.
Sensory Analysis
For the sensory analysis of the texture parameter (hardness) 6 treatments were selected, which are shown in Table 2, with their respective operating conditions, said selected treatments for this analysis were 1, 2, 3, 4, 7 and 11 . The results of sensory evaluation of the above treatments underwent a variance analysis, yielding a highly significant p-value (p-value <0.05), it was also found that the lowest averages correspond to treatments 2, 4, 7 and 11. Next, a multiple range contrast test, where it was statistically found that: treatment 2 is equal to treatment 4 and 11; Likewise, treatment 7 is the same as treatment 11 and in turn treatment 2 is different than treatment 7, however, since treatments 7 and 11 are on average more acceptable by the judges and in turn with higher yields, it is concluded that either of these two can be chosen.
As recommendations for future studies it is suggested to consider other varieties of banana and respective maturity stages, in addition, other types of oil, in addition other processing conditions, also, it is possible to consider pre and postrates to the process of frying by immersion.
Conclusions
In the process region we studied not local extreme values were identified for the response variables moisture content, fat content and texture (hardness), only saddle points. From the Sensory analysis it was concluded that the treatments that produced more sensory acceptable plantain slice were 7 and 11 (see Table 2). According to the coefficients found in the regression corresponding to moisture content, pressure does not play a significant role in the process of deep frying slices of green plantain. Given the acceptance of treatments 7 and 11, the range for acceptable fat content was between 31% to 36% and the values for texture (hardness) is between 6.4 N and 9.2 N.
Conflict of interest
There is no "Conflict of interest" of the authors, with the results of the investigation.






















