Services on Demand
Journal
Article
Indicators
-
Cited by SciELO -
Access statistics
Related links
-
Cited by Google -
Similars in
SciELO -
Similars in Google
Share
Momento
Print version ISSN 0121-4470
Momento no.51 Bogotá July/Dec. 2015
SIMULACIÓN EN FDFD PARA DESCRIBIR EL FENÓMENO DE IRIDISCENCIA EN LOS ÉLITROS DEL Euchroma gigantea
FDFD SIMULATION TO DESCRIBE IRIDESCENCE PHENOMENA ON Euchroma gigantea 's ELYTRA
Raúl L. Rincón-Celis1, Diego Bernal-García1, Herbert Vinck-Posada1, Gabriel Colorado2
1 Universidad Nacional de Colombia, Sede Bogotá, Colombia.
2 Universidad Nacional de Colombia, Sede Amazonia, Colombia
Raul L. Rincon-Celis: rlrinconc@unal.edu.co
(Recibido: Marzo/2015. Aceptado: Julio/2015)
Resumen
Se presenta una discusión acerca del fenómeno de iridiscencia presente en los élitros del Euchroma gigantea, insecto que pertenece a la familia Buprestidae, los denominados escarabajos joya. Las ondas reflejadas sugieren que el fenómeno de iridiscencia es estructural, justo como se manifiesta en las mariposas Morpho o en los escarabajos Hoplia coerulea. Las imágenes obtenidas por SEM muestran la estructura superficial de los élitros como un arreglo aleatorio de defectos en un sustrato dieléctrico orgánico. Como el componente principal del exoesqueleto de los artrópodos es la quitina, se hace la suposición que el sustrato es completamente quitina y también se asume que los defectos son columnas de aire. Es así como el sistema es modelado como un cristal fotonico dos-dimensional. Debido a que las energías características obtenidas para los modos activos de la estructura no pertenecen al rango visible, se concluye que el fenómeno de iridiscencia no es causado por la estructura superficial del élitro.
Palabras clave: Iridiscencia, Euchroma gigantea, Cristal fotónicos, elitro, FDFD.
Abstract
In this work we present a discussion about the iridescence phenomena exhibited on Euchroma gigantea 's elytra (1), a beetle which belongs to the family of Buprestidae, the jewel beetles. The reflectance suggest that iridescence phenomena is structural, the same as Morpho butterflies or the Hoplia coerulea beetles. The SEM images reveals a superficial structure of the elytra, as an aleatory arrange of defects in a dielectric organic substrate. As the main component on exoskeletons of arthropods is the chitin, we suppose the elytra are completely made of chitin and also is assumed the defects are air columns. That is how the system is modeled as a two dimensional photonic crystal. Because of the characteristics energies of each active mode calculated for the estructure doesn't belong to visible range, is concluded that the iridiscence phenomena is not caused by its superficial structure.
Keywords: Iridescence, Euchroma gigantea, photonic crystal, elytron, FDFD.
Introducción
Las estructuras de algunas especies dan cuenta de las presiones de selección que actúan sobre ellas y, en particular, la coloración que pueden exhibir es una muestra fehaciente de adaptación de dichas presiones. La coloración puede ser generada por dos mecanismos, el primero a través de colores pigmentarios y el segundo por la estructura de su recubrimiento, los denominados colores estructurales. Este segundo mecanismo es generado por la dispersión de la luz sobre nano estructuras dispuestas en la superficie de algunos seres vivos tales como mariposas, escarabajos, algunas plantas, peces, entre otros [1]; de forma general, al fenómeno en el cual para cada ángulo de incidencia de la luz, cambia la longitud de la onda reflejada se le denomina iridiscencia. Estas estructuras de la naturaleza están diseñadas de forma tal que se observa una periodicidad en la distribución de sus materiales lo que permite modelarlas como cristales fotónicos.
En este trabajo se hace una primera aproximación teórica al problema de la iridiscencia, presentando un estudio de la periodicidad superficial de los élitros (alas anteriores esclerotizadas) del Euchroma gigantea (Linnaeus 1758)(Figura 1)1. Este escarabajo pertenece a la familia Buprestidae, y se distribuye en toda la región neotropical principalmente en zonas bajas. Presenta iridiscencia en la mayor parte de su cuerpo, incluido su abdomen y élitros, los cuales, a diferencia de otras partes del cuerpo, presentan una textura rugosa. La muestra recolectada, fue analizada por medio de microscopia de barrido electrónico (SEM)2 de la estructura superficial del élitro del escarabajo (figura 2); la muestra se ha modelado como un cristal fotónico dos-dimensional y se estudia a través del método numérico de Diferencias Finitas en el Dominio de las Frecuencias (FDFD). Se han encontrado las energías de los modos extendidos dentro de la muestra y los perfiles de intensidad para cada modo.
La muestra se ha modelado como un cristal fotónico dos -dimensional, esto implica que si la muestra se replica en una red cuadrada se podrá reproducir el élitro en su totalidad. El exoesqueleto de los artrópodos, en particular de los Coleóptera esta compuesto en su mayoría de quitina así que aproximaremos todo el material de la estructura a quitina, a excepción de los defectos pues estos serán tratados como huecos de aire. También se considera que la quitina es un material isotrópico y los fenómenos que se pueden estudiar son todos macroscópicos, además como en general la permitividad depende de la frecuencia de la luz, tomaremos promedios para la relatividad relativa que corresponden a εrq = 2,43 [2] para la quitina, mientras que para el aire es εra = 1 y fijaremos la dirección de propagación solamente sobre el plano de la estructura [3].
Diferencias Finitas en el Dominio de las Frecuencias
Este método consiste en la discretización de las ecuaciones de Maxwell por medio de diferencias finitas, obteniendo un problema de auto valores por resolver. Presenta varias ventajas como la facilidad de implementación además que es muy útil cuando se quiere observar los perfiles de intensidad o cuando se quiere observar la respuesta de un sistema para una frecuencia determinada. Como se trabaja con la aproximación de diferencias finitas, el método puede ser utilizado para geometrías complejas[4] o para mallas irregulares [5].
La malla utilizada es una malla con simetría rectangular, denominada malla de Yee (figura 3) [6]. Se caracteriza porque en cada punto de la malla se define solamente uno de los dos campos, eléctrico o magnético, y alrededor de cada uno habría cuatro campos circundantes, magnético o eléctrico respectivamente. Este tipo de malla facilita la utilización de diferencias finitas y la solución de las ecuaciones rotacionales de Maxwell acopladas; debe tenerse en cuenta que en ausencia de cargas o de corrientes, las ecuaciones de divergencia de Maxwell son cero[7]. Cada punto de la malla representa un punto sobre el material, de donde se obtiene información de las propiedades del material tales como permitividad eléctrica, permeabilidad magnética o cualquier propiedad que se le pueda atribuir y sobre esos puntos se determinaran los campos.
La resolución del método hace referencia a la cantidad de puntos con que se barrerá solamente una fila y una columna o se puede entender como la distancia entre puntos donde una baja resolución significa que la distancia entre puntos es grande, luego habría menos puntos y el método no dará resultados siquiera aceptables. En el otro extremo, con resolución muy alta, el método presentara problemas de convergencia por tanto es necesario hacer una análisis de convergencia hasta encontrar la resolución óptima para el problema a resolver.
Formulación de las ecuaciones
Como solamente hay propagación sobre el plano definido por el élitro (x, y), puede suceder que el campo eléctrico sea perpendicular o paralelo al plano de propagación, lo que nos permite definir dos modos de oscilación. En caso de tener campo eléctrico perpendicular al plano de la propagación se le denomina modo transverso magnético (TM) y en caso de que sea paralelo se le denomina modo transverso eléctrico (TE) [3].
Modo TM Las ecuaciones rotacionales para el modo TM, escritas para cada componente son:
Utilizando diferencias finitas y teniendo en cuenta la discretización hecha mediante la malla de Yee, las ecuaciones 1 se reescriben como
La discretización hecha en la ecuacion 2 para las derivadas, se pueden reescribir en términos de operadores matriciales, dando como resultado las siguientes expresiones:
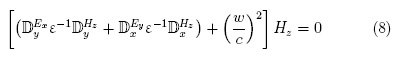
Como se busca obtener un problema de auto valores, se despejan las componentes del campo magnético Hx y Hy de las relaciones 3 y 4 y se reemplazan en la expresión 5. Además se considera que como c2 = 1/µ0ε0 entonces c = 1/µ0 y c = 1/ε0. Hecho esto, la ecuación de valores propios por resolver es la siguiente:
Donde ε-1 es la inversa de la matriz ε que es la matriz de permisividad relativa, (ω/c)2 es el auto valor, Ez es el autovector y
es el operador diferencial que resulta de utilizar diferencias finitas sea para el campo H o para E. El subíndice (r) del operador diferencial indica la dirección en que se realiza el barrido y el superíndice indica sobre qué campo está siendo aplicado el operador antes de utilizarlo en la ecuacion 5.
La organización de cada matriz se hace de acuerdo al barrido que se haga sobre las columnas y las filas de la malla de Yee. En el caso de la permisividad dieléctrica, cada punto de la malla corresponde a un valor de permisividad del material que se organiza sobre la diagonal de una matriz, la matriz de permisividad dieléctrica. Entonces si se elige una resolución de 9 puntos habrá 81 puntos en la malla y que la matriz de permisividad tendrá un tamaño de 81 χ 81 pues tendrá 81 valores en la diagonal. Si la organización de las matrices es correcta, la matriz de permisividad deberá ser del mismo tamaño que las matrices de diferencias finitas. Además deben tenerse en cuenta las condiciones de frontera sobre los campos, es decir, al considerar la muestra como un cristal fotónico dos-dimensional, esta se replica en una red cuadrada y los campos del final de la muestra deben ser iguales a los campos iniciales; con final e inicial se hace referencia a los bordes superior e inferior de la muestra. Estas condiciones se denominan condiciones de Bloch [3].
Modo TE Para el modo TE las ecuaciones sincretizadas son muy similares a las anteriores como se muestra en las expresiones 7.
Con un proceso similar al anterior se llega nuevamente a otra ecuación de valores propios para la componente z de campo magnético.
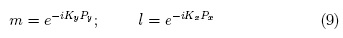
Como ejemplo se mostraron las matrices de diferencias para el modo TE para una malla de tamaño 3 χ 3.

donde m y l son las condiciones de Bloch.
Py y Px son las longitudes de la muestra en dirección y y x respectivamente que dan la periodicidad trasnacional característica del cristal 2D y Ky y Kx son los vectores de la red recíproca para la primera zona de Brillouin [8].
Muestra
Para hacer el tratamiento computacional la muestra se binarizó, negro para la quitina, blanco para el aire. Cada color tiene asociada alguna propiedad del material y en este caso solamente se asocian valores de permitividad dieléctrica. Esta bancarización fue hecha haciendo uso del programa Adobe Photoshop [9], detectando los bordes de cada defecto que una vez seleccionados, permite aumentar o disminuir el contraste de lo que está dentro de la selección y de lo que está fuera de esta.
La figura 4 es el resultado de la bancarización de la imagen muestra. Como se había indicado, cada punto de la red tendrá información de la permitividad. Es de esperar que esta matriz de permitividad tenga demasiados puntos con permitividad igual al valor asociado a la quitina pues es la que tiene mayor área en la imagen. Se muestra un ejemplo de la matriz de permisividad ε, para una malla de 9 x 9.

Los valores de la diagonal corresponden a los valores de la permitividad sobre cada punto de la muestra y estarán organizados de acuerdo a la forma en que se haga el barrido de la malla; los subíndices hacen referencia a la position de cada valor en la matriz. En la diagonal se hace énfasis en las posiciones en que sale el valor de la permitividad del aire puesto que los otros términos corresponden a la permitividad de la quitina.
Resultados
Para tener una idea a priori de los resultados que se iban a encontrar, se realizó un primer modelo pensando cada defecto como un círculo cuyo radio corresponde al punto más lejano respecto al centro de masa de cada defecto (figura 5).
Para este primer caso se calculó el diagrama de bandas tanto para el modo TE como para el modo TM. En este primer análisis, no se encuentra band gap parcial en ningún modo para ninguna frecuencia y por lo tanto, ninguna onda incidente podrá quedar confinada dentro del élitro.
A continuación se muestran los resultados obtenidos del análisis de la figura 4. La distancia media entre defectos es de 3, 275µm, mientras que la longitud total de la muestra es de 10, 750µm. Esta distancia media indica que la periodicidad superficial del élitro no es la responsable del fenómeno de iridiscencia pues es varios órdenes de magnitud mayor que la longitud de onda del rango visible. El diagrama de bandas para esta configuración en ambos modos se muestra en la figura 8 y 9.
Las frecuencias están cercanas a 2,5 u.a. Se observa que la configuración de los defectos como círculos es un buen indicativo del sistema estudiado.
Se continúa con los perfiles de intensidad, solamente se muestran algunos de los obtenidos y se muestra una tabla con el número de la frecuencia y la energía asociada a la misma. Estos perfiles mostrados corresponden a aquellos que presentan el mayor número de zonas activas. Es necesario aclarar que los modos que se presentan son modos extendidos, que se propagan por la estructura de forma tal que, al llegar a la región específica donde aparecen graficados, se observaran máximos de intensidad.
Perfiles de intensidad modo TE
Se muestran algunos perfiles de intensidad para los modos transverso eléctrico, perfiles que entre los obtenidos presentan el mayor número de zonas activas. Cada figura indica la energía a la cual el perfil pertenece.
Perfiles de intensidades modo TM
Se presentan algunos de los perfiles de intensidad del modo transverso magnético que presentan mayor número de zonas activas.
La siguiente tabla muestra la position de la frecuencia con su respectiva energía, que corresponde a cada perfil graficado. Las posiciones se toman de acuerdo al diagrama de bandas, donde la primera position corresponde al primer autovalor encontrado.
Las frecuencias elegidas (Cuadro 1) que permiten observar los perfiles en donde son más notables las zonas activas, indican una longitud de onda fuera del rango óptico y se ubican en el rango infrarrojo, tal como se esperaba por la distancia media entre defectos.
Conclusiones
- El fenómeno de iridiscencia presente en el Euchroma gigantea no es causado por la estructura superficial del élitro ya que las energías características de los modos activos no pertenecen al rango visible. Descartar que la causa del fenómeno sea un efecto de la estructura superficial del élitro, sugiere mirar su estructura interna, obteniendo imágenes sobre una sección transversal del mismo que nos permitan asociar un modelo cristalfotónico tresdimensional para nuevamente llevar a cabo el estudio de la iridiscencia.
- Dado que el rango de energías de los modos activos está en el infrarrojo, podemos sugerir que la estructura superficial de los élitros tiene como función la regulación de la temperatura del abdomen del insecto. Un estudio en esa dirección podría determinar si esta idea es correcta o si la estructura superficial presenta otra funcionalidad.
Agradecimientos
Este trabajo ha sido financiado por Colciencias dentro del proyecto con código 110156933525, contrato número 026 - 2013 y código HERMES 17432. Por otra parte, reconocemos el apoyo técnico y computacional del Grupo de (Óptica e Información Cuántica de la Universidad Nacional de Colombia, Sede Bogotá. Finalmente agradecemos al profesor Gabriel Jaime Colorado y a su investigadora, Alejandra Clavijo por el suministro de las fotos del espécimen estudiado.
Notas
1 Foto tomada por el profesor Cornelio Bota, Universidad de Antioquia.
2 Muestra tomada por la Universidad Federal de Minas Gerais (Brasil).
Referencias
[1] S. Mouchet, J.-P. Vigneron, J.-F. Colomer, C. Vandenbem, and O. Deparis, SPIE 8480 (2012), 10.1117/12.928352. [ Links ]
[2] J. P. Vigneron, V. L., J. Colomer, and N. Vigneron, SPIE 6285 (2006), 10.1117/12.682239. [ Links ]
[3] J. Joannopoulos, S. Johnson, J. Winn, and R. Meade, Photonic crystals, modeling the flow of light (Princeton University Press, 2008). [ Links ]
[4] J. Hwang, IEEE, Transactions on microwave theory and thecniques 53, 653 (2005). [ Links ]
[5] C. M. Rappaport and B. J. McCartin, IEEE,Trans. Antennas and Propagation 39, 345 (1991). [ Links ]
[6] K. Yee, Antennas and Propagation, IEEE Transactions 6285, 302 (1966). [ Links ]
[7] A. Taflove and S. Hagness, Computational Electrodynamics, The Finite Difference Time Domain Method (Arthech House. Inc, 2005). [ Links ]
[8] C. Kittel, Introduction to Solid State Physics (John Wiley & Sons, Inc., 1996). [ Links ]
[9] Adobe, "http://helpx.adobe.com/pdf/photoshop_reference.pdf," (2013). [ Links ]































