Services on Demand
Journal
Article
Indicators
-
Cited by SciELO -
Access statistics
Related links
-
Cited by Google -
Similars in
SciELO -
Similars in Google
Share
Momento
Print version ISSN 0121-4470
Momento no.53 Bogotá Jul./Dec. 2016
LOS TRIPLETES DEL LHC Y LA MEJOR COMBINACIÓN A1.B1.B1 PARA CORRECCIONES DE ERRORES MAGNÉTICOS EN LAS REGIONES IR5 E IR1
LHC TRIPLETS AND THE BEST A1.B1.B1 COMBINATION FOR MAGNETIC ERRORS CORRECTIONS AT IR5 AND IR1
Carolina García, Javier F. Cardona
Grupo Física de Aceleradores, Departamento de Física Universidad Nacional de Colombia, Sede Bogotá, Colombia
acgarciab@unal.edu.co
(Recibido: Noviembre/2015. Aceptado: Mayo/2016)
Resumen
En esta presentación se describen los imanes que componen los denominados tripletes que hacen parte del acelerador LHC y se discute cómo todos los errores magnéticos en dos tripletes se resumen en cierta combinación. El LHC es el acelerador, ubicado en el Laboratorio Europeo para la Física de Partículas del CERN, construido para operar a altas energías, de hasta 14 TeV para colisiones protón-protón. En la primera parte de esta presentación, se resumen los diseños, materiales y dimensiones presentes en la bibliografía para los imanes que componen un triplete del LHC, estos son principalmente cuadrupolos que están localizados cerca del punto de colisión (IP). En el LHC para las regiones de interacción (IR) alrededor de los IP 5 y 1 se tienen dos tripletes, uno a cada lado del IP. Para obtener un haz más fino se hacen correcciones de los errores magnéticos presentes, por ejemplo usando el método de Acción y Fase, y en este proceso no es conveniente mover todos los imanes. Por esto hemos estudiado cuál es la combinación de imanes que mejor sustituye todos los errores magnéticos, al menos a nivel lineal, usando únicamente dos correctores de cuadrupolo normal (Bl) y un corrector cuadrupolo normal rotado (Al) con el método de Acción y Fase. Este estudio es desarrollado usando el simulador del LHC en MAD-X. Los resultados principales que muestran la efectividad de las correcciones son explicados en la segunda parte de esta presentación.
Palabras clave: Haces de partículas cargadas en aceleradores, LHC, óptica del haz en aceleradores.
Abstract
A description of the magnets which compose the arrangements called triplets in the LHC is presented and it is discussed how the magnetic errors from two triplets can be summarize in certain combination. The LHC is the accelerator located at the European Laboratory for the Particle Physics at CERN, it is builded to opérate at high energies, up to 14 TeV for proton-proton collisions. In the first part of this presentation, a summary, from the bibliography, of the design, materials and dimensions of the triplet magnets, is given; these are mainly quadrupoles which are located cióse to the collision point (IP). In the LHC for the Insertion Regions (IR) around IPs 5 and 1, there are two triplets, one at each IP side. To obtain a more fine beam, magnetic error corrections are done, for instance using the Action and Phase method, and in this process is not convenient to move all magnets. Because of this last we studied what is the combination of magnets which account best for all the magnetic errors, at least to a linear level, using just two normal quadrupole correctors (Bl) and one skew quadrupole corrector (Al) with the Action and Phase Jump Method. This study is developed using the LHC simulator in MAD-X. The main results which shows the effectivity of the corrections are explained in the second part of this presentation.
Keywords: Beams, charged-particle in accelerators, LHC, Beam optics (charged-particle beams).
Introducción
El LHC (the Large Hadron Collider) es el acelerador capaz de producir colisiones de partículas elementales con las mas altas energías en un laboratorio, desde el 2008 hasta la actualidad. Para esto, en su anillo de aproximadamente 27 KM de diámetro se han instalado los más recientes avances en detectores de partículas en cuatro puntos a lo largo del mismo. En estos están ubicados los experimentos ALICE, CMS, ATLAS y LHCb que pretenden entre otros, el estudio de la partícula Higgs, de la materia oscura y de la energía oscura. [1]
Para que lo anterior sea posible el diseño del acelerador involucra los principios de un sincrotrón. Campos eléctricos se usan para acelerar las partículas, mientras que campos magnéticos son utilizados para guiar las partículas en trayectoria circular a lo largo del acelerador. [2]
Los haces de protones que viajan en el LHC alcanzarán energías de 14 TeV para colisiones protón-protón, de modo que debe tenerse un control de los haces. Parte del proceso de control incluye la corrección de errores magnéticos que se realiza una vez se ha instalado todo en el acelerador. [3]
A continuación se describen los imanes que componen los denominados tripletes que hacen parte del acelerador LHC y se discuten cómo todos los errores magnéticos en dos tripletes pueden resumirse en cierta combinación que a su vez es más efectiva para un determinado conjunto de imanes.
Imanes en los Tripletes para IR5 y IR1
El LHC es uno de los aceleradores del Laboratorio Europeo para la Física de Partículas del CERN. Su anillo de 27 Km, que se extiende tanto en territorio Francés como Suizo, se divide en ocho regiones y en cuatro de estas, se ubican los principales experimentos. Cada haz viaja dentro de tubos diferentes con una región común, principalmente en donde se ubican los principales experimentos, en donde ambos haces viajan dentro del mismo tubo y se encuentran en el punto de colisión ó IP.
La región en común para ambos haces es denotada por IR y en esta hay dos conjuntos de imanes. Cada conjunto de imanes junto con todo su sistema de criogenia conforman lo que se denomina triplete y hay dos tripletes por cada IR, uno a cada lado del IP de la región.
En general el campo magnético que produce los imanes se describe bajo la expansión multipolar correspondiente, como se enuncia a continuación.
En el acelerador los imanes están ubicados en un espacio libre de carga y sin corrientes, de manera que el rotacional del campo magnético se anula; esto implica que el campo de intensidad magnética (B) cumple con:
Por otro lado, en la naturaleza no hay monopolos magnéticos, de manera que para la intensidad magnética también se tiene que:
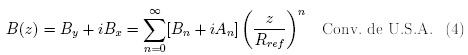
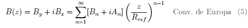
La solución planteada en el plano complejo, para el conjunto de ecuaciones 1 y 2, esta dada por la función analítica, ecuación (9) de [4]:
en donde C(n) y an son las constantes, z es la posición donde se mide la intensidad magnética y Rref es la distancia radial de referencia con respecto a la posición.
Las componentes principales del campo magnético, en física de aceleradores, se denominan: componentes normales y componentes rotadas; para el caso del campo dipolar, el campo magnético en dirección normal coincide con la dirección vertical del campo, mientras que la componente rotada del campo coincide con el campo en la dirección horizontal.
Adicionalmente, dado que en la ecuación anterior los índices para las constantes difieren de los índices para las variables de posición, se han adoptado dos convenciones:
En las expresiónes anteriores las componentes normales son Bn mientras que las componentes rotadas son las An.
En la tabla 1 se encuentra la secuencia de imanes cuadrupolares, correspondientes al orden n = 1 en la convención de U.S.A., que conforman los tripletes de las Regiones IR5 y IR1 del LHC. Para completar cada triplete adicionalmente a lo presentado en las tablas, hay sistema de criogenia y de potencia, junto con un dipolo en medio de cada pareja de cuadrupolos que conforma lo denotado por Q2. Los dipolos corresponden con el campo multipolar n = 0.
Cada fila de la tabla 1 corresponde a un imán cuadrupolar, pero hay imánes que van en conjunto como es el caso de los Q2 que operan como una única unidad. En la tabla, en la primera columna esta el nombre correspondiente con la nomenclatura del LHC. En la segunda columna esta la posición longitudinal referida al Haz 1 del LHC. En la tercera columna esta el tipo de imán cuadrupolar. En la última columna esta la etiqueta (Eti.) con la notación determinada en este estudio.
En resumen, por cada región se tienen principalmente, tres cuadrupolos normales por triplete, un cuadrupolo rotado y un imán corrector dipolar normal. De la tabla se determina que las distancias entre los cuadrupolos es mínima y se infiere a su vez que la longitud de los mismos puede aproximarse a casi nula si se tiene en cuenta que todo el acelerador es de 27 Km.
Todos los cuadrupolos presentes en los tripletes son imánes superconductores. Cada triplete se mantiene a una temperatura de 1.9 K. De acuerdo a sus parámetros de diseño, los cuadrupolos tiene una longitud magnética de 3.4 m con una apertura de 70 mm. Los cables que conforman las bobinas son de tipo Rutherford de NbTi, cuya parte principal esta echa de filamentos de 6 sobre una base de acero. Diversas capas para aislar las bobinas y las demás componentes son utilizadas, ver página 5 de [1]. Estos parámetros son los actuales registrados para el LHC, en [5] se registra que los cuadrupolos normales están caracterizados por producir un campo con intensidad máxima de 215 T/m, con la misma apertura y características establecidas en el diseño del acelerador.
Combinación de ImanesA1B1B1
En el LHC, para obtener un haz más fino, se hacen correcciones de los errores magnéticos presentes, por ejemplo usando el método de Acción y Fase, y en este proceso desde el punto de vista operativo no es conveniente mover todos los imanes.
Dada la naturaleza de los tripletes instalados en las regiones IR5 y IR1 del LHC, se asume que los errores de todos los cuadrupolos se pueden resumir en tener un único cuadrupolo normal a cada lado del IP correspondiente, y un sólo cuadrupolo rotado. Los errores producidos por los dipolos para las componentes n = 0 no se incluyen en el análisis, ya que estos no afectan los resultados que se presentan a continuación.
En las tablas 2 y 3 en las primeras cuatro columnas aparecen reportados los imánes que conforman las combinaciones posibles para la corrección de los errores A1B1B1 en los tripletes de las regiones IR5 y IR1, respectivamente. Las combinaciones totales son 30 por cada región, y vienen enumeradas de 1 a 15 para las que contienen el cuadrupolo rotado de la izquierda y las enumeradas de 16 a 30 para las que contienen el cuadrupolo rotado de la derecha. Para obtener los errores magnéticos correspondientes A1B1B1 en los cuadrupolos seleccionados, se aplica el método de salto de la Acción y la Fase. Esta técnica se basa en que las variables de acción y fase son constantes a lo largo del acelerador en ausencia de errores magnéticos y usando este principio los errores magnéticos se determinan a partir de las posiciones del haz a lo largo del acelerador. Este método ya ha sido probado en aceleradores reales como RHIC en el laboratorio Brookhaven. [6].
Análisis y Resultados
Utilizando el simulador del LHC en el paquete MAD-X [7], se han instalado pequeños errores en los imanes cuadrupolares normales y normales rotados que componen todos los imanes cuadrupolares de ambos tripletes de cada región. Las simulaciones son independientes de una región a otra, pero en cada una se instalaron las mismas cantidades de errores magnéticos: 4,0 x 105 m2 para los cuadrupolos normales y 2,0 x 104 m2 para los cuadrupolos rotados. En total por cada IR, se instalaron 8 errores magnéticos.
Estableciendo las correcciones de los errores magnéticos aplicando el método de Acción y Fase, según la combinación de imánes analizada, se efectuaron nuevas simulaciones en donde se instalaron los errores magnéticos más las correcciones obtenidas, en el haz 1. La óptica utilizada es la del LHC run I de inyección con β* = 2 m con tonos finales vx = 0,284 y vy = 0,274 luego de agregar los errores.
La variable de mérito para las correcciones magnéticas es el β-beating ó batido-β esto es una medida del error relativo presente punto por punto a lo largo del acelerador para la función β, dada por la diferencia entre el valor observado y el obtenido dividida por el valor esperado.
La función β es una cantidad relacionada con la amplitud que lleva la órbita del haz que se esta analizando. Esta hace parte de los llamados parámetros del haz, ver pags. 104-105 de [2] y tiene unidades de longitud, para el LHC se usa m.
El batido-β teóricamente también se relaciona con la cantidad de error magnético presente en el acelerador. Cuando se mide el RMS a lo largo del acelerador, se puede demostrar que [2]
en donde v es la parte decimal del tono del acelerador en el plano transversal que se esta analizando, mientras que las qi son las intensidades magnéticas de los imanes i con errores magnéticos presentes en el acelerador, y las βi sus correspondientes funciones β. En esta relación se asume que la longitud de los cuadrupolos es aproximadamente cero.
En las columnas 5 y 6 de las tablas 2 y 3 se reporta lo obtenido luego de instalar los errores magnéticos y hacer las correcciones respectivas en las regiones IR5 y IR1. Se observa que generalmente cada combinación implica un valor de RMS diferente y en algunas ocasiones con diferencias de hasta un orden de magnitud. Idealmente el batido-β (Δβ/β) es cero en cualquier punto del acelerador en ausencia de errores, y en la tabla de resultados hay varios resultados con RMS muy cercano a cero. En la figura 1 se presentan casos representativos del batido-β observado para IR5 cuando se aplican las correcciones obtenidas aplicando el método de salto de la Acción y la Fase.
El batido-β presentado en la figura 1, para la combinación 3 es mucho mayor al que se obtiene con las combinaciones 8 ó 14, de manera que aunque todos los cuadrupolos son iguales y tienen los mismos errores, debido a las posiciones en el LHC estos implican correcciones diferentes y por lo tanto hay unas combinaciones más efectivas para las correcciones que otras. En el plano Y, figura 1 (abajo), se observa claramente que las correcciones con tres cuadrupolos corrigen efectivamente a casi un nivel de cero, los errores producidos por todos los cuadrupolos en ambos tripletes. Esto también se ha observado para correcciones sin tener en cuenta los errores de tipo cuadrupolo rotado, ver [8] o [9].
Para determinar la mejor combinación se establece que las correcciones deben ser efectivas en ambos planos. Se ha calculado entonces la variable
en la última columna de las tablas 2 y 3, que es la suma del RMS en los planos X y Y. Una vez se han organizado los resultados de mayor a menor
se grafican con respecto a las combinaciones correspondientes.
En la figura 2 se presentan los resultados, en donde claramente se evidencia que la combinación de cuadrupolos para hacer la corrección, obteniendo la menor dispersión RMS, es la que contiene los cuadrupolos 2L5 y 2R5 con cualquiera de los cuadrupolos rotados, tanto para IR5 como IR1. El mínimo de
para IR5 es 0.4009 con la combinación 23, mientras que para IR1 el mínimo es 0.3676 con la combinación 8.
Conclusiones
Se ha descrito cómo se componen los tripletes del LHC y se ha encontrado la combinación con menor RMS (en el batido-β) para obtener los errores magnéticos producto de dos tripletes en las IR5 y IR1, independientemente. Hay pocas diferencias entre los resultados de las regiones estudiadas, en cuanto al comportamiento general de las combinaciones A1B1B1. Se ha observado que hay algunas combinaciones que son menos efectivas comparadas con las otras. Sin importar la región, las combinaciones obtenidas con el menor RMS son las que tienen los cuadrupolos normales del medio (Q2) junto con cualquier cuadrupolo rotado. Estrictamente, la mejor combinación para IR1 es con los Q2 y el cuadrupolo rotado de la izquierda, mientras que para IR5 la mejor es con los Q2 y el cuadrupolo rotado de la derecha. Esto es, estableciendo como mejor combinación aquella que implica la mayor reducción en el batido-β las correcciones de los errores magnéticos con los valores obtenidos usando el método de Acción y Fase, en el simulador del LHC.
Referencias
[1] LHC Design Report., Tech. Rep. (CERN, 2009). [ Links ]
[2] D. Edwards and M. Syphers., An Introduction to the Physics of High Energy Accelerators. (Wiley Vch. Verlag GmbH and Co. KGaA, 2004). [ Links ]
[3] M. Aiba, S. Fartoukh, A. Franchi, M. Giovannozzi, V. Kain, M. Lamont, R. Tomás, G. Vanbavinckhovea, J. Wenninger, F. Zimmermann, R. Calaga, and A. Morita, Phys. Rev. ST Accel. Beams (2009), http://dx.doi.org/10.1103/PhysRevSTAB.12.081002. [ Links ]
[4] A. K. Jain, in Proc. CERN Accelerator School on Measurement and Alignment of Accelerator and Detector Magnets (1997). [ Links ]
[5] R. Velev, G.V.and Bossert, R. Carcagno, J. DiMarco, S. Feher, V. Kashikhin, J. Kerby, M. Lamm, D. Orris, P. Schlabach, J. Strait, C. Sylvester, M. Tartaglia, J. Tompkins, and A. Zlobin, IEEE Transaetions on Applied Superconductivity 17, 1109 (2007). [ Links ]
[6] J. F. Cardona and S. G. Peggs, Phys. Rev. ST AB 12, 014002 (2009). [ Links ]
[7] CERN, MAD-X is the successor of MAD-8 and was first released in June 2002, Tech. Rep. (CERN-BE/ABP Accelerator Beam Physisc Group. MAI) - Methodical Accelerator Design). [ Links ]
[8] J. F. Cardona, "Optics measurements, corrections and modeling for high-performance storage rings," Action-Phase analysis (Talk) (2011). [ Links ]
[9] A. C. García B., Reformulacion of the Action and Phase Jump Method to Obtain Magnetic Errors at LHC, Ph.D. thesis, Universidad Nacional de Colombia (2016). [ Links ]
























