INTRODUCCIÓN
En el contexto rural colombiano, caracterizado por la falta de oportunidades económicas y sociales -menor acceso a educación y otros servicios públicos, restricciones a crédito, poco acceso a activos productivos, bajos retornos de las actividades agropecuarias y violencia armada- las mujeres rurales se ven a sí mismas como “las grandes olvidadas de la historia”. Si bien las desigualdades en la distribución de recursos perjudican a la población rural en general -que se estima en al menos un 23 % de la población total del país (Dane, 2018)-, las mujeres son las más afectadas por esta situación.
Durante décadas las mujeres campesinas, indígenas y afrodescendientes han reclamado que se reconozca su participación dentro de las economías agrarias, más allá de los roles de cuidado que tradicionalmente ejercen. Estas demandas ocurren por cuenta de que habitualmente para los Estados los hombres campesinos son los “agentes con quienes en general se deben concertar los asuntos relativos a la tenencia de la tierra [y a la] productividad” (Sañudo-Pazos, 2015, p. 16). Según la Mesa de Incidencia Política de las Mujeres Rurales Colombianas (2015) la política estatal “ha dado prioridad y especial atención a las necesidades y requisitos de los hombres y sus familias, sin tener en cuenta lo que deseamos y queremos las mujeres” (véase Parada Hernández, 2019).
Una de cada tres mujeres en el mundo trabaja en el sector agrícola. Las mujeres constituyen el 43 % de la mano de obra agrícola (Organización Internacional del Trabajo, 2017), pero tienden a experimentar más pobreza que los hombres rurales y las mujeres en el área urbana. Por ejemplo, menos del 13 % de ellas son dueñas de la tierra y alrededor de la mitad no tienen competencias de alfabetización básicas, lo que se constata en menor seguridad en los ingresos y mayores dificultades en el acceso a créditos (ONU Mujeres, 2018).
En Colombia, las brechas de género en el sector agropecuario son evidentes: las mujeres experimentan un acceso desigual a la propiedad de la tierra, están excluidas del sistema de crédito, reciben menos asistencia técnica y tienen una tasa de desempleo mayor que la de los hombres (Dane, 2019). Incluso para las economías más incluyentes, como es el caso del café (se estima que una de cada cinco mujeres está involucrada con este sector), persisten fuertes barreras para el acceso a créditos e insumos productivos (Uribe, 2018).
Sumado a esto, las actividades del cuidado, llamadas también trabajo reproductivo (Federici, 2013) o economía del cuidado1, por regla general no son remuneradas. Estas actividades implican tiempo y fuerza de trabajo en el cuidado de huertas caseras y semillas, de los hijos y los adultos mayores; en la alimentación de la familia y de los trabajadores agrícolas, y en los cultivos familiares. Sin embargo, no se les reconoce como parte de las actividades agrícolas propiamente dichas (el trabajo productivo), a pesar de que contribuyen con el sostenimiento de la familia (Mesa de Incidencia Política de las Mujeres Rurales Colombianas, 2015)2 y con la seguridad alimentaria (Brito Bruno e Ivanovic Willumsen, 2019).
En este panorama, que fácilmente puede considerarse desolador, la economía cocalera -aunque ilícita- destaca por superar algunas de las barreras que impiden la inserción de las mujeres en las actividades agrícolas remuneradas. En este artículo mostramos que, a diferencia de otras economías rurales, la cadena productiva de la coca facilita el acceso de las mujeres a recursos productivos (como la tierra y el crédito) y al mercado laboral agrario, en condiciones análogas a las de los hombres y a las de otras mujeres rurales. La lectura que hacemos de esto es que la economía cocalera permite a las mujeres campesinas una mayor autonomía económica que, a su vez, se traduce en posibilidades de movilidad social.
En el marco de nuestra investigación sobre economías ilícitas en Colombia, encontramos que las economías cocaleras tienen dos condiciones que facilitan la inclusión de las mujeres: (i) las características productivas de la hoja de coca se ajustan a los sistemas de agricultura familiar, lo que posibilita a las mujeres ser dueñas de sus propios cultivos y generar ingresos individuales de ello, sin renunciar a las actividades reproductivas y de cuidado que tradicionalmente ejercen; y (ii) la economía cocalera tiene una alta demanda de bienes primarios (hoja de coca) y mano de obra, lo que explica que la condición de género no sea una barrera tan alta para el ingreso de las mujeres a la cadena productiva.
Para soportar nuestro argumento adoptamos una metodología mixta con la cual hacer un uso planificado de diferentes tipos de métodos -cualitativos y cuantitativos- y fuentes de información para proporcionar una mejor comprensión sobre el fenómeno de estudio y el contexto en el que se desenvuelve (Greene, Caracelli y Graham, 1989; Johnson y Onwuegbuzie, 2007. En nuestro caso esta metodología nos ayudó a analizar la división sexual del trabajo de la cadena productiva de la coca, develar las condiciones que favorecen la inserción de las mujeres dentro de esta economía e identificar el impacto que tiene en la autonomía económica de las mujeres campesinas. Tomamos como caso de estudio el municipio de Puerto Asís, en el departamento del Putumayo, al ser una de las principales zonas de producción de cultivos de uso ilícito con alrededor del 4,5 % de los cultivos de coca en el país y del 29 % de los cultivos del departamento (UNODC, 2019).
La recolección de información cualitativa se realizó a través de ocho visitas de campo entre mayo de 2018 y agosto de 2019, periodo en el cual pudimos hacer ejercicios de observación etnográfica y entrevistas semiestructuradas con mujeres y hombres de la región del Putumayo involucrados en el primer eslabón de la cadena productiva de la coca. Para el trabajo cuantitativo se aplicó una encuesta con los usuarios del Programa Nacional Integral de Sustitución de Cultivos de Uso Ilícito (PNIS)3 entre los meses de junio y julio de 20194. En el diseño de esta encuesta se incluyeron preguntas sobre condiciones socioeconómicas, uso de tiempo, toma de decisiones productivas, participación política, percepción del PNIS y otras variables que consideramos fundamentales para que el instrumento pudiera analizarse desde una perspectiva de género5.
Del mismo modo, consultamos un conjunto de encuestas y censos de carácter nacional que permitieron comparar la situación de las mujeres en general, y de las mujeres rurales de las regiones Pacífica y Amazonía en particular. Utilizamos datos del Censo Nacional Agropecuario (CNA) de 2014, la Encuesta Nacional de Calidad de Vida de 2016-2017 y la Encuesta Nacional de Uso del Tiempo de 2018, todos del Departamento Administrativo Nacional de Estadística (Dane).
El análisis de los datos del Dane y la encuesta hecha por el equipo de investigación se procesaron a través de dos técnicas estadísticas: las pruebas de medias y la comparación de intervalos de confianza. Adicionalmente, recurrimos a un modelo de regresión lineal para evaluar si los ingresos de las mujeres eran estadísticamente diferentes a los de los hombres, controlando por diferentes factores6. Este trabajo facilitó la identificación de las diferencias significativas -dados los datos existentes- entre las mujeres cultivadoras de coca y algunos grupos de interés, tales como los hombres y las mujeres no cultivadoras.
Es importante aclarar que una de las grandes limitantes que tenemos en la información utilizada es que para todo el análisis recurrimos a información que proviene de encuestas de percepción, por lo que es una información que corresponde a las ideas y creencias que tienen los encuestados sobre su situación. Esto sucede en las encuestas de usuarios del PNIS -que aplicó nuestro grupo de investigación- y en las encuestas del Dane. Sin embargo, los datos y las perspectivas recogidos a través del trabajo de campo corroboran varias de las ideas fundamentales desarrolladas aquí.
También aclaramos que nuestra encuesta se circunscribe a municipios con características sociales, económicas y de violencia bastante disímiles al resto de Colombia, por lo que los resultados no son necesariamente extrapolables al resto de las regiones del país.
La estructura del texto es la siguiente. En la primera sección mostramos cuáles son los supuestos que existen en materia de acceso de las mujeres rurales a activos productivos y cómo estos supuestos alimentan nuestra investigación. Luego nos concentramos en los resultados del análisis estadístico que sugieren que las mujeres involucradas en la economía cocalera tienen, en general, una mejor condición económica con respecto de otras mujeres rurales, y condiciones similares respecto de los hombres en cuanto a acceso a bienes productivos. En el tercer aparte ofrecemos una explicación a este fenómeno a partir del análisis de la economía cocalera, en específico en los primeros eslabones de la cadena productiva que van desde el cultivo de la hoja de coca hasta la primera transformación de la materia prima (pasta base que aún no se convierte en cocaína). Por último, hacemos un recuento de los hallazgos y reflexionamos sobre la pertinencia de comprender mejor las relaciones de género en las zonas cocaleras para los diseños venideros de política pública sobre drogas.
LAS MUJERES RURALES Y EL ACCESO A RECURSOS PRODUCTIVOS
El acceso a activos rurales como tierra, crédito, asistencia técnica y tecnología ayuda a mejorar los ingresos y la calidad de vida de las familias campesinas (Berry, 2017; Farnworth, Sundell, Nzioki, Shivutse y Davi, 2013). Pero cuando estos recursos están disponibles, los principales beneficiarios son los hombres (Arya y Samar, 2001; Hiraway, 1996; Singh, 1996; Visaria, 1999). El problema con esta distribución inequitativa de los factores productivos es que se ha demostrado que restringir el acceso de las mujeres rurales a activos7 y recursos económicos8 se asocia a mayores niveles de pobreza rural, inseguridad alimentaria y violencia de género.
La evidencia disponible traza un vínculo positivo entre la eliminación de las barreras de acceso a activos como la tierra y el aumento de poder de agencia de las mujeres en sus relaciones interpersonales (Adato, Benedicte de la Briere y Quisumbing, 2000; Naved, 2000; Sraboni, Quisumbing y Ahmed, 2014), así como la disminución de las experiencias de violencia física y psicológica, especialmente dentro de sus hogares (Grabe, 2010, 2015; Panda y Agarwal, 2005). Además, el reconocimiento de derechos de propiedad podría ser un medio para el incremento de la eficiencia económica y productividad, para el empoderamiento femenino y para promover el bienestar y subsistencia de las mujeres (Agarwal, 1994). Por último, se ha probado que las mujeres a quienes se les reconocen oportunidades de acceso a recursos productivos y laborales, en condiciones similares a los hombres, pueden ser igual de productivas, lo cual representa una oportunidad para incrementar el ingreso de los hogares (Kinkingninhoun-Mêdagbé, Diagne, Simtowe, Agboh-Noameshie y Adégbola, 2008).
No obstante, el acceso a recursos no necesariamente implica la mejora en el estatus de las mujeres, pues este depende de las relaciones de poder de género no solo en el acceso sino también en el control de los activos productivos (sobre todo la tierra), el trabajo y los servicios (Abdelali-Martini y Dey de Pryck, 2014). En lo que incumbe a activos y recursos económicos, acceder a ellos no se traduce automáticamente en una mejora en el poder de negociación de las mujeres, toda vez que los sistemas de género en los que se mantienen los roles productivos en cabeza de los hombres y los reproductivos en cabeza de las mujeres, pueden afectar el control que en efecto tienen ellas sobre los recursos que son de su propiedad (Mwagiru, 2001; Pasura, 2010). El escenario deseado es aquel en el que el acceso a diferentes tipos de recursos productivos esté garantizado para las mujeres, y que por intermedio de este proceso de acceso se transformen las relaciones de género que impiden un control efectivo de los recursos.
En cuanto a la participación de las mujeres como mano de obra agrícola remunerada (Jiggins, 1998; Lastarria-Cornhiel, 2006)9, las mujeres están expuestas a la precarización laboral en los diferentes sectores de la economía agrícola, porque son socializadas para tener la flexibilidad para combinar las actividades productivas (que generan ingresos económicos) con las reproductivas (que no generan ingresos económicos) (Deere, 2005). Así, las mujeres participan principalmente en los trabajos que se estiman no calificados y los peor pagados (Lara Flores, 1998) y por eso se considera que el mercado laboral agrario es altamente segregado (Katz, 2003).
De lo anterior se concluye que las mujeres rurales no solo requieren facilidades en el acceso a activos productivos y oportunidades laborales en las economías agrícolas, sino que las condiciones en la que se materializa dicho acceso deben ser lo suficientemente flexibles para permitirles compaginar las labores productivas con las labores reproductivas. Esto está lejos de ser el escenario ideal, pues lo que se esperaría es que haya una distribución de los roles de género entre hombres y mujeres, al punto de que los hombres asuman también labores reproductivas que minimicen la carga de las mujeres en el hogar. No obstante, ese escenario implicaría una transformación de fondo de las relaciones de género en los escenarios rurales, una apuesta que, de ser posible, aún no se estudia con suficiencia (Balgah, Amungwa y Egwu, 2019)10.
Si bien es cierto que hay una gran cantidad de investigaciones que se preocupan por entender la participación de las mujeres en las economías agrarias, escasean aquellas que se concentran en las economías agrarias ilícitas, como es el caso de la producción de cultivos de coca u opio, materias primas que alimentan la producción y el mercado de las drogas. Una parte de los trabajos disponibles asume que la participación de las mujeres en dicha cadena productiva se reduce a los roles de cuidado que se mencionaron más arriba, al tráfico de drogas o a situaciones de violencia y explotación sexual (Cuesta Astroz, Mazzoldi Díaz y Díaz Durán, 2017; UN Women, 2014; Uprimny Yepes, Martínez Osorio, Cruz Olivera, Chaparro Hernández y Chaparro González, 2016).
Por el contrario, otros estudios reconocen que las mujeres participan en actividades productivas que están directamente ligadas a los cultivos de uso ilícito, en particular en la producción de hoja la coca. En consonancia con una de las conclusiones que se plantean en nuestra investigación, los estudios de Christian Aid, Dejusticia, Observatorio de Cultivos y Cultivadores Declarados Ilícitos y Fundación Ideas para la Paz reconocen los roles que las mujeres cumplen como llevar la contabilidad, hacer el pago a los obreros, administrar cultivos, realizar labores de transformación a la pasta base y otros (Arenas, Majbub y Bermúdez, 2018; Bautista et al., 2018; Christian Aid Colombia, 2019; Cuesta Astroz et al., 2017).
Nuestro estudio complementa algunos de los resultados anteriores a través del uso de metodologías mixtas que corroboran el trabajo puramente descriptivo de la situación de las mujeres en los territorios cocaleros. Además, este esfuerzo da cuenta del impacto de la economía de la coca en la autonomía económica individual y en las posibilidades de movilidad social de las mujeres rurales. Esta interpretación, sin pretender desconocer los riesgos y la violencia asociada a la economía cocalera, visibiliza la capacidad de agencia de las mujeres dentro de esta economía y las condiciones que la cadena productiva de la coca establece para garantizar el acceso a activos rurales, algo que no necesariamente sucede en otras economías agrarias.
A continuación, exploramos la situación de las mujeres rurales en Colombia y mostramos que aquellas que están involucradas en la economía cocalera tienen mayores posibilidades de acceder a bienes productivos y generar ingresos económicos individuales utilizados para beneficio de sus hogares. Posteriormente, brindamos una explicación a este fenómeno.
MUJERES RURALES Y ECONOMÍA COCALERA
En Colombia la inequidad en las relaciones de género también condiciona el acceso de las mujeres a recursos productivos, servicios y oportunidades económicas y laborales, a pesar de su aporte a las economías agrarias. Las mujeres rurales tienen en promedio menores ingresos, su tasa de participación en el mercado laboral es más baja y dedican un alto porcentaje de su tiempo a labores asociadas al cuidado que no son remuneradas (DNP, 2014). La tasa de desempleo de las mujeres es cercana al 13 %, mientras que la de los hombres es del 9 %; la tasa de ocupación es del 50,4 % para mujeres contra el 66,7 % de hombres. En el caso de las actividades de agricultura, pesca, ganadería, caza y silvicultura, hay 3 107 000 de empleados hombres contra 631 000 mujeres, es decir, que solo el 17 % de los empleados son mujeres (Dane, 2019).
El panorama anterior contrasta de forma notable con el análisis que realizamos a partir de la encuesta de usuarios del PNIS en Puerto Asís11. Los resultados generales muestran que las mujeres campesinas que participan en la cadena productiva de la coca tienen mayor acceso a recursos productivos en comparación con otras mujeres rurales. Además, las mujeres están en una situación más o menos equitativa respecto de los hombres, al menos en lo que se refiere a ingresos económicos. En la siguiente sección analizaremos algunos de los resultados de la encuesta para mostrar cómo se manifiesta lo que consideramos un avance social para las mujeres campesinas en Colombia en materia de ingresos y acceso a la propiedad de la tierra. Luego ofrecemos una explicación de por qué la economía cocalera genera este efecto.
Ingresos
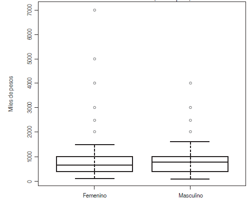
El primer resultado que arrojó la encuesta es que dentro de la economía cocalera las mujeres cocaleras (que tienen una relación directa con un cultivo de coca) tienen ingresos muy similares a los de los hombres cocaleros. En el gráfico 1 comparamos los ingresos de las mujeres usuarias del PNIS con su contrapartida masculina. La caja de la izquierda en el gráfico representa los ingresos femeninos, con la línea negra gruesa representando la media, la línea inferior de la caja representando el cuartil inferior (25 % inferior de los valores) y la línea superior de la caja representando el cuartil superior (75 % de los valores); lo mismo para los hombres. Como se observa, los ingresos percibidos por hombres y mujeres son muy similares. Para comprobar esto, aplicamos una prueba de medias con pesos para los ingresos reportados antes de la inclusión en el programa y encontramos que el ingreso promedio de los hombres es de $ 887 899 y el de las mujeres es de $ 899 385, lo que representa una diferencia estadísticamente no significativa de $ 11 486 a favor de las mujeres.

Fuente: elaboración propia con base en la encuesta del Observatorio de Restitución y Regulación de Derechos de Propiedad Agraria y Christian Aid Colombia (Proyecto Drugs & Disorder, 2019)
Gráfico 1 Ingreso de las mujeres vs. Ingreso de los hombres usuarios antes de la inscripción al Programa Nacional Integral de Sustitución de Cultivos de Uso Ilícito en Puerto Asís (miles de pesos)
En el gráfico 2 comparamos el ingreso de las mujeres cultivadoras de hoja de coca con el ingreso de las mujeres no cultivadoras. Al contrario del caso anterior, sí se observan diferencias significativas en la distribución de los ingresos entre los dos grupos. En particular, se aprecia que para las cultivadoras el ingreso es de $ 1 223 573 contra el de las no cultivadoras que es de $ 469 730. Esto implica una diferencia estadísticamente significativa de $ 753 843 a favor de quienes están insertas en la economía cocalera. Además, constatamos una mayor variabilidad del ingreso de las mujeres cultivadoras de coca -que pueden ganar hasta 5,7 veces más que el promedio- comparada con las no cultivadoras que pueden ganar hasta 2,1 veces más que el promedio.

Fuente: elaboración propia con base en la encuesta del Observatorio de Restitución y Regulación de Derechos de Propiedad Agraria y Christian Aid Colombia (Proyecto Drugs & Disorder, 2019)
Gráfico 2 Ingreso mujeres cultivadoras vs. Ingreso mujeres no cultivadoras antes de la inscripción al Programa Nacional Integral de Sustitución de Cultivos de Uso Ilícito en Puerto Asís (miles de pesos)
También realizamos una comparación de los ingresos percibidos una vez que el PNIS entró a operar y entregó los incentivos para garantizar la sustitución12. Con la encuesta observamos que el ingreso promedio de los hombres es de $ 799 374 y el de las mujeres de $ 866 994, lo que representa una diferencia estadísticamente no significativa de $ 67 620 a favor de las mujeres.
Sin embargo, cuando comparamos entre mujeres cultivadoras y no cultivadoras el ingreso promedio de las mujeres cultivadoras es de $ 733 728 y el de las no cultivadoras de $ 1 033 109, lo que representa una diferencia estadísticamente no significativa de $ 299 381 a favor de las mujeres no cultivadoras. Estas cifras nos dicen que el ingreso promedio de las mujeres cocaleras disminuyó con la entrada al programa de sustitución. En otras palabras, la economía cocalera representa mayores rentas que las alternativas ofrecidas por el Estado, al menos de manera inmediata.
Ahora bien, si comparamos estos datos con los que reporta la Encuesta Nacional de Calidad de Vida (Dane, 2018), hallamos que para la región de Orinoquía-Amazonas (grupo al que pertenece Putumayo para esta encuesta) el ingreso promedio de los hombres es de $ 777 977 y el de las mujeres de $ 562 700, lo que implica una diferencia significativa de alrededor de $ 215 000 a favor de los hombres. Por su parte, el ingreso nacional rural es en promedio de $ 768 184 para los hombres y de $ 700 175 para las mujeres, por lo que existe una diferencia significativa de $ 68 009 a favor de los hombres. Esto muestra que otras mujeres de la región están en situación de desventaja con respecto a los hombres, en lo que tiene que ver con sus ingresos individuales.
Al construir los intervalos de confianza del 95 % para los ingresos, tenemos que para las mujeres vinculadas a la actividad cocalera en Puerto Asís sus ingresos fluctúan entre $ 911 415 y $ 1 535 730, mientras que para el resto de las mujeres vinculadas a actividades rurales el ingreso oscila entre $ 486 965 y $ 638 436, una diferencia muy grande a favor de las primeras.
Por último, hicimos un análisis de los ingresos conjuntos de Puerto Asís y Tumaco mediante un modelo de regresión por mínimos cuadrados ponderados, usando como pesos la probabilidad de selección del individuo en la muestra, cuyos resultados se presentan en la tabla 1 13. Los resultados del modelo revelan que no existe correlación entre el ingreso y el sexo, es decir, que el sexo no parece ser una variable que afecte los ingresos de las personas insertas en la economía cocalera. No obstante, cuando consideramos en el análisis la variable étnica, teniendo en cuenta que Tumaco es un municipio con una alta concentración de población afrodescendiente, se advierte una asociación negativa entre el ingreso y el sexo. Esto es, la variable étnica influye en los ingresos de las mujeres que participan de esta economía. Sin embargo, el R cuadrado del modelo es del 38,52 % y el R cuadrado ajustado es de 27,67 %, por lo que existen aún varios factores no estimados que pueden influir en el ingreso de los usuarios del PNIS. Por tanto, es necesario un análisis más amplio sobre las posibles variables étnicas y geográficas asociadas al fenómeno.
Derechos de propiedad
El segundo elemento que analizamos fue el acceso a la propiedad por parte de las mujeres cocaleras. En este caso deben entenderse los derechos de propiedad no como la facultad legal de usar, gozar y disponer de un inmueble (plena propiedad), sino como la tenencia efectiva del mismo. Es decir, que las relaciones con la tierra aquí descritas pueden ser de plena propiedad, de posesión o de ocupación.
En el caso de estudio el 63 % de los hombres y el 62 % de las mujeres consideran que son dueños del predio que inscribieron al programa (gráfico 3). Al compararlo con los resultados del CNA, encontramos que el 36 % de los hombres y el 34 % de las mujeres creen ser dueños de sus predios (gráfico 4). En este caso específico no observamos muchas diferencias entre hombres y mujeres14, pero podemos constatar diferencias importantes entre los usuarios del programa y la población en área rural dispersa de Puerto Asís, de manera que una mayor proporción de personas usuarias del PNIS consideran ser dueñas de su predio, en comparación con otros habitantes del sector rural disperso.

* Se eliminan las personas que respondieron en calidad de recolectoras. Fuente: elaboración propia con base en la encuesta del Observatorio de Restitución y Regulación de Derechos de Propiedad Agraria y Christian Aid Colombia (Proyecto Drugs & Disorder, 2019)
Gráfico 3 Porcentaje de personas según su relación con la propiedad autoidentificada

Fuente: CNA (2014)
Gráfico 4 Porcentaje de personas según su relación con la propiedad autoidentificada
Mediante la encuesta fue posible contrastar si los usuarios realmente eran propietarios formales de sus predios, al consultarles si conocen si su nombre aparece en el certificado de libertad y tradición (gráfico 5). Vemos que el (menor) porcentaje de personas que son propietarias de su predio cae a 39 % para los hombres y 26 % para las mujeres, lo que representa una brecha de 13 % a favor de las mujeres.

Fuente: elaboración propia con base en la encuesta del Observatorio de Restitución y Regulación de Derechos de Propiedad Agraria y Christian Aid Colombia (Proyecto Drugs & Disorder, 2019)
Gráfico 5 Porcentaje de personas que saben que su nombre aparece en el certificado de libertad y tradición del predio
En cuanto al tamaño del predio, en promedio los hombres tienen predios con una extensión cercana a las 13,2 hectáreas, mientras que este valor en las mujeres es cercano a 11,7 hectáreas. Esto significa que las mujeres son capaces de generar $ 104 579 por hectárea en nuestra zona de estudio. En contraste, los datos del CNA muestran que en promedio los hombres se relacionan con predios de alrededor de 24,18 hectáreas y las mujeres con predios de cerca de 24,08 hectáreas, lo cual constituye una diferencia no significativa de 0,1 hectáreas a favor de los hombres e implica que las mujeres son capaces de generar en promedio $ 29 077 por hectárea.
Para ilustrar lo que implica este ingreso con relación a otras economías legales, en el sector cafetero la cosecha de café generó ingresos de alrededor de $ 5,2 billones para 550 000 familias, lo que representa un ingreso promedio por familia de alrededor de $ 788 000. Adicionalmente, según el CNA en el café los hombres tienen en promedio 15,8 hectáreas contra 22,9 hectáreas para las mujeres. Si asumimos que las mujeres reciben el mismo ingreso promedio que las familias cafeteras, esto implica un ingreso promedio para las mujeres de $ 34 405 por hectárea (Muñoz, 2014). Así las cosas, en los cultivos de coca de nuestra área de estudio, las familias son capaces de generar un mayor ingreso promedio en menos áreas de cultivo, comparadas con otras actividades agropecuarias, en particular con la actividad caficultora.
En resumen, los hallazgos de la encuesta muestran que las mujeres en el Putumayo tienen mayores oportunidades de generar ingresos a través de actividades asociadas con la producción de coca. Además, se perciben como propietarias de cultivos, lo cual les permite tener una capacidad de agencia asociada a la administración de los cultivos y a la contratación de mano de obra para otras actividades ligadas a la producción. Como se sugirió al inicio, este resultado es muy positivo por la asociación que existe entre la autonomía económica, que presentamos aquí en forma de ingresos, y la transformación de las relaciones de poder al interior de los hogares campesinos, que se crea cuando las mujeres aumentan su capacidad de agencia y control sobre los recursos productivos que les son propios. Esta última relación requiere de estudios adicionales para una mayor comprensión. Lo que nuestros resultados sí sugieren es que la generación de ingresos y control sobre los recursos productivos representa para las mujeres una mayor autonomía económica que les permite acceder a otros bienes de consumo o incluso a servicios (salud y educación), lo que se traduce en la posibilidad de movilidad social de su familia y las generaciones venideras.
La investigación nos indica que el principal destino de los recursos provenientes de la coca es la educación y que las mujeres invierten hasta el 33 % de dichos recursos, mientras que los hombres invierten un 23 %. Para estas familias resulta una prioridad enviar a sus hijos a estudiar a universidades públicas y privadas en diferentes ciudades del país debido a que estos servicios no están disponibles en gran parte de los municipios rurales (entrevistas 21, 55 y 154). Asimismo, destinan recursos para la reinversión y equipamiento de la vivienda (mujeres 13 %; hombres 14 %), en actividades agropecuarias (mujeres 8 %; hombres 9 %) y en compras en general (mujeres 5 %; hombres 12 %). El 7 % de los hombres y el 6 % de las mujeres señalaron que podían utilizar sus ingresos para ahorrar (véase Gutiérrez en este dosier).
Esto concuerda con la información recogida en el trabajo de campo en la que constatamos que para las mujeres involucrarse en la economía de la coca es una situación agridulce. Por un lado perciben que la coca conlleva riesgos relacionados con la violencia armada, la salud (por la exposición a químicos para el procesamiento y las aspersiones aéreas) y para la moral social (que se manifiesta en el consumo excesivo, drogadicción, en el derroche); pero a su vez, es la economía que les facilita acceder a bienes y servicios. Para ilustrar, una mujer campesina -beneficiaria del PNIS- relató cómo vivía cuando se dedicaba a la coca:
Mujer entrevistada: Teníamos plantas, podíamos ver televisión, comprar gasolina, podíamos salir al pueblo, comprar nuestra ropa, nuestros hijos estrenaban cada vez que podían, [en] cada cosecha estrenaban un par zapatos, un par de todo.
Entrevistador: ¿En algún momento pudieron ahorrar?
ME: Pues en sí ahorrar harto, no. Pero pues digamos, sí manteníamos nuestro dinero para decir una emergencia teníamos platica […] y la comida podíamos comer lo que queríamos, nos antojábamos. Allá usted puede comprar un kilo de carne, de pollo lo que usted quisiera comprar […] (entrevista 54).
Así las cosas, participar de la producción de la hoja de coca representa para las familias campesinas el acceso a bienes y servicios que, de otro modo, no podrían tener. De allí que varios, en especial las mujeres, manifiesten estar “agradecidos” con la coca:
Entrevistador: ¿En qué se lo gastaban? [el dinero de la coca]
Hombre: En trago y mujeres.
Mujer: En mi caso, no soy mal agradecida con la coca. Yo he tenido situaciones críticas. […] Cuando mi mamá se enfermó, yo ahí sí tenía como para comprar una casita. Me dejé sacar mucha plata de los médicos.
E: ¿Usted pagaba por todos los servicios médicos? ¿El Sisbén no le cubría?
M: Allá en el hospital departamental en Pasto le querían hacer las quimioterapias, yo no quise porque sabía que no era la solución. […]
E: ¿Esa plata que usted daba era del trabajo con la coca?
M: Sí, para qué va uno a decir de que [sic] no (entrevista 55).
A continuación, mostramos por qué la economía cocalera genera las condiciones para la inserción de las mujeres en la cadena productiva y, como consecuencia, permite ese acceso a recursos productivos que otras economías agrarias legales parecen no garantizar.
TIERRA, TRABAJO Y CAPITAL: OPORTUNIDADES AGRIDULCES PARA LAS MUJERES RURALES
Para explicar este fenómeno, necesitamos comprender cómo opera este primer eslabón de la cadena productiva. Para ello haremos uso de la información recolectada a través de entrevistas y notas de campo. Mostramos que la producción de coca tiene las condiciones necesarias para que una economía agraria sea productiva: facilidades de acceso a tierra; crédito de inversión para los insumos; una alta demanda de mano de obra; mercado laboral dinámico e incluyente; y redes de comercialización del producto.
La cadena productiva de la cocaína se descompone en cuatro procesos: (i) el cultivo de la hoja de coca; (ii) la transformación de la hoja en pasta de coca en laboratorios o “cambuches”; (iii) la compra de la pasta de coca por parte de comisionistas; y (iv) el procesamiento de la pasta para generar cocaína en laboratorios o cristalizaderos. La población campesina, por regla general, participa de los dos primeros momentos. Sin embargo, no todos se involucran en el procesamiento, pues esta actividad requiere de una infraestructura básica (laboratorios o cambuches) de la cual no todos disponen. Quienes no cuentan con los medios simplemente venden la hoja. En el tercer y cuarto momento la participación del campesinado es mucho menor por el control que los grupos armados y las mafias tienen sobre estos eslabones de la cadena. Por eso, nos concentramos en los dos primeros momentos.
El proceso que va desde el cultivo de la hoja de coca hasta la producción de pasta base (que aún no es cocaína) sea divide su vez en cuatro fases: cultivo, cosecha, transformación y venta (gráfico 6).
En este apartado mostramos cómo se desarrolla cada una de estas fases y hacemos un análisis de la división sexual del trabajo en la cadena productiva para identificar dos elementos: (i) los activos y la mano de obra que se requieren en cada uno de los eslabones de la cadena; y (ii) la vinculación de las mujeres en cada fase. Para ilustrar este argumento, construimos la tabla 2 en la que identificamos los roles que asumen las personas -hombres y mujeres- involucradas en los cultivos de coca y explicamos sus características y la división sexual que pueda presentarse.
Esta tabla también relaciona los roles identificados con cada una de las fases de la producción de coca. Estas se abordarán a continuación.
Fase de alistamiento y siembra del cultivo
Una primera característica de la producción de coca es que no requiere de grandes cantidades de tierra para disponer un cultivo rentable. Según algunas campesinas de la zona, para obtener ganancias individuales es necesario tener mínimo entre una y dos hectáreas15 de cultivo, una cantidad muy pequeña si se compara con la unidad agrícola familiar16 de Puerto Asís que está entre 70 y 90 hectáreas17. Además, el acceso a tierras para cultivos está prácticamente garantizado, al menos en lo que respecta a la región del Putumayo, por las razones siguientes.
El proceso de ocupación del departamento ocurrió mediante colonizaciones no dirigidas asociadas a la emergencia de diferentes booms económicos (quina, petróleo y coca) (Castillo y Cristancho, 2018). La instauración de estas economías extractivas atrajo a campesinos colonos de todas partes del país que se establecieron en predios que hoy consideran como propios y que utilizan para cultivar coca. Por otro lado, quienes no cuentan con derechos sobre los predios, disponen de figuras contractuales como la amediería en la que la cultivadora pacta con la persona dueña de la tierra para que esta le facilite una porción donde la amediera pueda levantar el cultivo. Una vez vendida la cosecha y recibido el dinero, se pagan las deudas y el excedente se divide por mitades entre el dueño de la tierra y el amediero.
Con respecto a los insumos, las mujeres cuentan que el acceso a la semilla es muy fácil:
Eso se consigue libremente. Uno va y le dice al vecino, y él sabe que uno se quedó sin taja. Entonces dice “yo te regalo tanta, a dos mil, a tres mil”. A mí me arrancaron aquí esta vez, entonces uno va a donde están ellos y negocia con ellos […] la compra bien barata y vuelve y siembra (entrevista 24).
Incluso, les es posible comprar otras variedades de semilla: “[…] cuando se sabía que alguien tenía una variedad que era buena, uno iba y compraba la semilla” (entrevista 154). Por su parte, los insumos se consiguen mediante un sistema de crédito informal en el que las tiendas agropecuarias entregan los productos (“los fían”) y el pago se efectúa una vez vendida la cosecha: “Ellos [las tiendas agropecuarias] deben dar créditos para poder vender si no el negocio de ellos se cae” (entrevista 154).
Una vez conseguidas la tierra y los insumos, el proceso de alistamiento de la tierra y la siembra puede llevarlo a cabo la dueña del cultivo, la amediera o la mano de obra por jornal. Las características de la semilla y el terreno determinan el tiempo de crecimiento de la mata hasta lograr la primera cosecha, pero los datos disponibles muestran que en esta región se alcanzan a producir 4,2 cosechas al año (UNODC, 2019). Durante este periodo, las familias dependen de otras actividades que les generen ingresos o del sistema informal de créditos para acceder a bienes de consumo.
Fase de recolección
Esta fase requiere de la contratación de mano de obra, tanto femenina como masculina, para desempeñar esencialmente dos actividades. Por un lado, la recolección de la hoja de coca, una actividad que se ejecuta de forma manual y que no requiere conocimientos previos, pero sí práctica. Esta actividad se paga con base en la cantidad de arrobas que una persona recolecte, garantizando un mínimo diario de por lo menos veinte mil pesos (o el equivalente a un jornal). Esto les facilita a las mujeres participar de la actividad en condiciones análogas a las de cualquier hombre haciendo que la diferencia de ingresos dependa de la capacidad de recolección individual. Cabe aclarar que esta situación puede tener variaciones regionales en las que operen distintas estructuras de género, o en las que el componente étnico incida en la participación de las mujeres en las labores productivas (como sugerimos más arriba).
Los recolectores suelen permanecer largas temporadas en las fincas con cultivos más grandes (entre 20 y 30 hectáreas según los datos que se recogieron en campo), en particular cuando quedan alejados de los centros urbanos; de allí que los administradores o dueños de las fincas les provean los elementos para la cosecha (tulón y estopa para empacar la coca), techo (una estera para dormir) y comida durante el tiempo que permanezcan trabajando; los raspachines “no iba[n] sino a ganarse su plata y listo” (entrevista 6).
El trabajo de recolección lo realizan en su mayoría hombres, aunque las mujeres no están vetadas de la actividad. Esto se explica porque la población de recolectores o raspachines está compuesta en general por personas que migran desde y hacia diferentes zonas cocaleras para aprovechar los ciclos de cosecha: “[…] la mayoría del raspachín es ambulante; está en esta finca y bueno, yo me voy para allí o me voy para otro municipio, o sea, no tiene una estabilidad” (entrevista 6). Por el contrario, a las mujeres -sobre todo aquellas que tienen hijos- se les dificulta hacer estos desplazamientos o permanecer largas temporadas por fuera del hogar. Otras mujeres encontraron salidas más prácticas para no dejar a un lado las actividades de cuidado:
A [nombre del hijo] siempre me lo llevé. A la chiquita a veces la tenía aquí o la dejaba allá en la casa donde iba a raspar. […] Yo la envolvía en una cobija y la dejaba donde la vecina. Y como ella era tranquilita que ni comía, no había problema. Pero al niño sí tenía que llevarlo al tajo como diera lugar. […] Uy diosito santo. Me tocaba llevarme un toldillo y templarlo allá a la orilla del plástico, con un tajo, sus juguetes y llevarle galletas, jugo, pan. Lo que sea. Porque ese niñito dios mío bendito, si es terremoto completo (entrevista 54).
Por otro lado, quien administra el cultivo garantiza los alimentos de sus trabajadores. Esto implica que se deba contratar una persona para la preparación del desayuno, el almuerzo y la cena. Esta actividad sí es exclusiva de las mujeres, suponiendo que está asociada con los roles de cuidado femenino. Esta persona puede ser la misma administradora o dueña de la finca, la compañera de quien haga sus veces, o una tercera persona a quien contratan por un valor diario fijo (un jornal).
Fase de transformación
Para algunos cultivadores el proceso productivo termina con la recolección de hoja de coca, puesto que no cuentan con la infraestructura básica para su transformación. El cultivo cosechado lo compran los laboratorios -llamados también “cocinas” o “cambuches”- especializados en la extracción de la pasta base. Estos se ubican dentro de las fincas cocaleras más grandes. Deben distinguirse de los cristalizaderos, que son los laboratorios donde se transforma la pasta base en cocaína y cuyo control escapa al campesinado.
El proceso de transformación requiere de la presencia de “químicos” que son los que a través de un proceso que involucra materiales como cemento, gasolina y ácidos, transforman la hoja de coca en pasta de coca; y que se consiguen mediante el sistema de crédito que ya se explicó. Esta actividad sí requiere de un conocimiento especializado, pero dicho conocimiento puede aprenderse con facilidad a partir de la observación:
Yo me fui por allá a Puerto Ospina y allí aprendí viendo como la trabajaban. Cuando yo aprendí era con sal y le echaban soda y con eso lo trabajaban. Luego llegó otro con la idea de que con cemento era mejor, y después otro que con cal y así (entrevista 154).
En esta fase las mujeres participan como quimiqueras o como cocineras de alimentos para los trabajadores del laboratorio, a cambio de un jornal. Estas labores también las desempeñan las mujeres en los cultivos familiares, o cuando son dueñas o administradoras de los cultivos.
Fase de comercialización
La pasta base es fácil de transportar gracias a su tamaño y peso. Así, los cultivadores pueden hacer uso de sus propios medios de transporte (usualmente motos) o del transporte público para entregarla a los “comisionistas”, quienes les pagarán el valor correspondiente al día de la venta. Algunos caseríos funcionan como “centros de acopio”, pues los cultivadores de las fincas más alejadas están obligados a desplazarse allí para reunirse con los comisionistas. Este producto, al estar asociado a la economía del narcotráfico que es altamente rentable, hace que su venta esté garantizada.
Ahora bien, la participación del campesinado en estos momentos de la cadena productiva no está exenta de riesgos. Los cultivadores están expuestos a ser erradicados forzosamente, ya sea por vía manual o por aspersión aérea, o a ser despojados de sus tierras mediante la figura de extinción de dominio18; a ser judicializados y encarcelados por delitos asociados con el cultivo, el procesamiento, el transporte de insumos y pasta base, entre otros; y a la violencia de los grupos armados que se disputan el control de los territorios cocaleros (incluyendo a la fuerza pública). Además, las mujeres corren riesgos específicos ligados a su condición de género que las deja expuestas a experimentar diversas formas de violencia sexual y de género perpetrada por los grupos armados estatales y no estatales.
No obstante, parte de la evidencia que se recogió sugiere que, para el caso de Putumayo, las mujeres contaban con una especie de protección brindada por las Farc que facilitaba su inserción en ambientes como el de los raspachines. Uno de los recolectores de la zona contó que las relaciones con las mujeres que se vinculaban a los cultivos eran de “respeto” porque las Farc eran muy estrictas a la hora de sancionar delitos como las violaciones19, o para hacer cumplir a los patrones con los pagos derivados de los trabajos agrícolas (entrevista 192). Sin embargo, este tema requiere de un mayor análisis que desborda el propósito de este texto.
Con base en lo expuesto es posible concluir que la economía cocalera, en las fases que aquí se analizaron, genera las condiciones deseables de una economía agraria legal que tenga en cuenta la inclusión de las mujeres en todas sus fases productivas. Primero, no requiere de la propiedad formal de la tierra, ni de grandes extensiones para los cultivos. Por el contrario, origina un sistema informal flexible a las condiciones de quienes tienen tierra y quienes no. Asimismo, las hectáreas necesarias para producir ingresos a partir de la coca se ajustan a la realidad sobre el tamaño de las tierras de los pequeños y medianos agricultores. Segundo, genera un sistema de créditos que permite a los cultivadores acceder a los insumos y a bienes de consumo. Tercero, el producto final, ya sea la hoja o la pasta base, tiene una alta demanda, es decir, que tiene garantizado el canal de comercialización. Finalmente, esta economía crea un mercado laboral incluyente con las mujeres, pues permite su inserción en varios de los roles productivos, en igualdad de condiciones “salariales” que los hombres.
CONCLUSIONES
En este artículo nos propusimos mostrar que la economía cocalera facilita el acceso de las mujeres a recursos productivos y al mercado laboral agrario, en condiciones muy similares a las de los hombres, y muy superiores a las de otras mujeres rurales. A partir del trabajo de campo y la encuesta hecha en Puerto Asís, constatamos que la economía cocalera ofrece a las mujeres participación en varios de los eslabones de la cadena productiva del cultivo y transformación de la hoja de coca. Esto tiene como resultado, primero, un aumento de los ingresos individuales de las mujeres que las ubica en una posición social más beneficiosa que otras mujeres rurales que se dedican a economías lícitas; y, segundo, la apertura de un mercado laboral que les produce ingresos en condiciones muy similares a las masculinas. Asimismo, identificamos elementos que evidencian la capacidad de agencia de las mujeres rurales, especialmente en lo que tiene que ver con el control de los recursos productivos.
No obstante, dicha participación tiene unos costos asociados a su condición de género y que le imprimen un carácter agridulce a este fenómeno. Las mujeres campesinas, como muchas otras mujeres colombianas, están socializadas sobre una división sexual del trabajo que les asigna en exclusiva las labores de cuidado del hogar, pero les concede una ventana de oportunidad para ampliar su autonomía productiva asumiendo, además, actividades productivas que reportan ingresos. Esto se muestra en un mayor aumento de los ingresos individuales de las mujeres y un mayor acceso a recursos productivos como tierra y crédito. Con todo, se necesitan más estudios que develen si los resultados que aquí presentamos a manera de avance social tienen una incidencia real en la transformación de las relaciones de género al interior de los hogares y se traducen efectivamente en una autonomía económica que les ayuda a las mujeres a hacer control directo de los recursos y mejorar su capacidad de negociación tanto en el escenario familiar como en el comunitario.
Así las cosas, a pesar de los riesgos y la ilicitud que cobija la economía cocalera, esta genera condiciones que, al parecer, otras economías legales no tienen: posibilidades de ser propietarias de un cultivo, obtener rentas a partir de sistemas de tenencia que no implican la propiedad formal de la tierra, trabajo remunerado en diversas actividades, acceso a un sistemas de crédito y posibilidades de acceder a bienes de consumo y servicios que pueden eventualmente mejorar la calidad de vida de ellas y sus familias. Para las mujeres, esto significa que pueden realizar un trabajo independiente, más flexible que un empleo asalariado propiamente dicho, y que les permite combinar las actividades de ingresos con sus responsabilidades domésticas.


















