AUTORITARISMOS SUBNACIONALES O DOMINIOS ELECTORALES: UNA INTRODUCCIÓN AL PROBLEMA
Los primeros estudios sobre democracia subnacional en América Latina y Europa del Este tradicionalmente clasificaron los Estados y las provincias como autoritarismos, o bien, democracias, con base en el desempeño de los actores políticos subnacionales, en los grados de competencia y alternancia y en cuanto a la protección de los derechos civiles y políticos de los ciudadanos; no obstante, en la última década del siglo XX y en las primeras del siglo XXI, la utilidad de esta clasificación dicotómica de la política territorial se ha visto superada por una multiplicidad de escenarios subnacionales, en los cuales conviven prácticas autoritarias e instituciones democráticas. Esto ha incidido en el desarrollo de una diversidad de conceptos intermedios que se engloban en la categoría general de regímenes híbridos para clasificar analíticamente estas borrosas situaciones; todas ellas, presentadas en regiones que no se pueden clasificar como tipos ideales de autoritarismos o regímenes democráticos.
Esta última discusión sobre la forma de clasificar regiones políticamente cerradas dentro de países que, desde una perspectiva nacional son considerados democracias, adquiere particular importancia, ya que la categoría de regímenes híbridos ha permitido detectar y explicar situaciones en los órdenes nacional y subnacional, donde conviven prácticas autoritarias e instituciones democráticas en un espectro gris entre un régimen democrático y uno autoritario (Gervasoni, 2010; Hnatiuk, 2019; Schedler, 2002).
El presente artículo se enmarca en esta discusión, y contribuye a la literatura al proponer una nueva forma de categorizar dichos regímenes híbridos a escala subnacional y los dominios electorales, así como explorar las causas que permiten su continuidad o su fin.
Para testear empíricamente este concepto, se utiliza el caso de Colombia. Este país se caracterizó en la primera mitad del siglo XX por tener una democracia restringida (Bejarano & Pizarro, 2002), como producto de la larga tradición bipartidista y de los acuerdos consocionalistas1 del Frente Nacional. Se intentó modificar el carácter restringido de la democracia colombiana mediante reformas de descentralización política y apertura electoral, que tuvieron como principal objetivo profundizar la democracia colombiana; específicamente, al permitir la elección de autoridades subnacionales: alcaldes (1986) y gobernadores (1991) y, ante todo, con una apuesta por hacer más pluralista el sistema político, para que la representación de la ciudadanía no estuviera, principalmente, encauzada por vínculos clientelares en la escena regional. Más de treinta años después de estas reformas, los resultados sobre la democracia subnacional son diversos. Si bien en todo el país se ha presentado un aumento de la competencia y la alternancia en departamentos y municipios (Abadía, 2016; Pino, 2018), también se observan la consolidación y la continuidad de estructuras políticas, que más allá de la etiqueta partidista, tienen un poder continuo en las gobernaciones y en las burocracias departamentales en varios departamentos de Colombia.
Distintas investigaciones (Ávila Martínez, 2012; Osorio Pérez, 2015; Romero et al., 2007; Trejos & Guzmán, 2018; Valencia, 2020) han identificado esta situación de inercia en el control del poder político a escala regional y, sobre todo, han utilizado el concepto autoritarismo subnacional, desarrollado por Gibson (2005), para referirse a situaciones en las cuales los políticos han tomado el poder del Estado y perseguido a la oposición política; en el caso colombiano, con cooperación de actores armados ilegales.
Si bien se comparte con estas investigaciones la apreciación de que la democracia colombiana tiene serios déficits territoriales en las regiones señaladas como autoritarias, también se propone que una categoría tan taxativa como la del autoritarismo subnacional no permite comprender ciertas interacciones políticas que se presentan en el plano subnacional, más cercanas a la hibridación, como lo expone Gervasoni (2010), que a un régimen completamente autoritario. En primer lugar, es importante entender el carácter heterogéneo de las prácticas políticas que se utilizan en estas regiones y se consideran autoritarismos subnacionales, pues, como lo propone Dávila Ladrón de Guevara (2020), estas corresponden a la forma como
[ … ] los operadores políticos establecen sus dinámicas y estrategias de coyuntura. Y estas se entretejen diferencialmente según partidos, regiones, clanes y familias políticas, cacicazgos y maquinarias clientelares tradicionales, innovadoras, modernizadas. Obviamente, estos procesos se mueven dentro de los límites, muy en la frontera con las reglas formales y bajo mecanismos y prácticas informales que hunden sus raíces en la centenaria tradición clientelar. Claramente, de lo único que no se trata es de variantes personalistas o caudillistas de la política, incluso en el caso emblemático de Álvaro Uribe Vélez y, mucho menos, de la ficción interesada en torno a autoritarismos subnacionales. (p. 42)
Y como se ha evidenciado en otros países, también puede corresponder a prácticas más iliberales que autoritarias, por lo cual este último adjetivo puede resultar limitado, analíticamente hablando, para entender su diversidad y su complejidad y, ante todo, su capacidad de adaptación a contextos democráticos, tal como lo señalan Behrend y Whitehead (2016). En segundo lugar, Ávila (2012) plantea que estos “autoritarismos subnacionales”, curiosamente, “no destruyen (las instituciones democráticas) ni persiguen sistemáticamente a sus funcionarios, sino que, por el contrario, han establecido un paralelismo institucional” (p. 3), lo que configura una “una paradoja de paradojas”, donde estos gobernantes subnacionales “consolidan su control territorial, pero, respetan las reglas e instituciones del juego democráticas, en muchas ocasiones” (Dávila Ladrón de Guevara, 2020, p. 32).
Dicho lo anterior, este artículo argumenta que la mayoría de unidades de gobierno subnacional con bajos niveles de alternancia —específicamente, las gobernaciones departamentales en Colombia—, aunque tengan conexiones con grupos al margen de la ley y prácticas autoritarias (Trejos & Cantillo, 2018), no en todos los casos encajan dentro de la definición formal de autoritarismo subnacional, porque nunca logran establecer un estadio último de autonomía para diferenciarse del régimen democrático e imponer reglas electorales formales o informales con el objetivo de configurar un régimen completamente autoritario y paralelo al nacional.
Con base en estas limitaciones, se propone el concepto dominio electoral para analizar una situación en la cual una estructura política dominante coopta el poder ejecutivo regional mediante el establecimiento de mecanismos de intermediación estratégicos, económicos y contextuales, sin que estos sean necesariamente autoritarios. En el marco de dicho problema, el presente artículo busca responder los siguientes interrogantes: ¿cómo se pueden identificar estos dominios electorales en las gobernaciones colombianas?, y ¿cuáles son los factores que determinaron la supervivencia de los dominios electorales en Colombia durante el periodo objeto de estudio, de 1997 a 2015?
El artículo está organizado en cinco secciones. En la primera se conceptualiza qué se entiende por dominios electorales. A continuación, a través de fuentes secundarias y primarias, se identifican los departamentos y, específicamente, las gobernaciones en las que se han desarrollado dominios electorales. En tercer lugar se analizan exploratoriamente las causas que pueden explicar su supervivencia en el tiempo y, posteriormente, en el cuarto acápite, se exploran los mecanismos causales que pueden explicar su supervivencia, por medio de dos estudios de caso: los de Atlántico y Putumayo. Finalmente, en la quinta sección se presentan las conclusiones.
¿QUÉ ES UN DOMINIO ELECTORAL?
Uno de los principales problemas que ha habido para analizar la variación democrática subnacional es que existe un vasto número de conceptualizaciones que describen fenómenos distintos en Estados con estructuras territoriales diferentes, sin tener en cuenta los niveles diferenciados de autonomía que se dan entre los Estados unitarios y los federales (Eaton, 2020; Pino, 2017). La mayoría de dichas conceptualizaciones se han centrado en definir las distintas formas como puede variar la democracia en el ámbito subnacional en Estados federales como México, Argentina y Estados Unidos. Dentro de esos estudios, Gibson (2005) utiliza el término “autoritarismo subnacional” para referirse a unidades territoriales donde existe una interferencia jurisdiccional constante a la competencia y a la alternancia, lo cual tiene como consecuencia el desarrollo de un régimen subnacional, casi alterno al nacional.
Los mencionados aspectos teóricos presentan limitaciones para entender el desarrollo de la democracia subnacional. Limitaciones retomadas por Pino (2018) quien argumenta que estos pueden ser demasiado específicos y apuntan a fenómenos que, si bien pueden existir dentro de un contexto federal, no necesariamente aplican para Estados con una organización unitaria. Por tal motivo, es preciso desarrollar conceptos para estudiar las configuraciones políticas, y aunque puedan tener rasgos autoritarios, estas hacen parte del proceso de desarrollo de la democracia, y no son excepciones a dicho proceso en un marco unitario.
El dominio electoral supone como requisito un nivel mínimo de institucionalidad democrática, mediante el cual el Estado logra instituir un marco legal para el desarrollo de las elecciones locales y regionales, aunque no logra articular, a partir de ese marco, unas condiciones equitativas de competencia que permitan una mayor alternancia política de las personas y los partidos en los cargos de elección popular en todo el territorio. Ello tiene como consecuencia que se perfilan escenarios en los cuales los actores políticos pertenecientes a estructuras políticas dominantes —más allá de etiquetas partidistas— pueden utilizar su poder económico o su influencia nacional para captar la mayoría de los votos y hacer predominante su propia posición política y electoral en las gobernaciones departamentales. Así, dichas estructuras aseguran de forma democrática su permanencia en el poder, sin eliminar completamente la competencia real, al mismo tiempo que van supeditando la alternancia al apoyo de la estructura política dominante.
La competencia, la alternancia y la participación, al ser dimensiones de la democracia, cohabitan con el dominio electoral, por lo que este control político no se expresa en una eliminación de la competencia, como en el caso de los autoritarismos subnacionales, pero sí, en una reducción de la alternancia; es decir, va más allá de los partidos que controlan el Estado, con una lógica de control más similar a la de un partido dominante que a la de partido único, en términos sartorianos, sin que necesariamente los actores que mantienen ese control deban adscribirse y ser fieles una sola etiqueta partidista para mantener el dominio departamental de la gobernación.
Esta paradoja de mantener un dominio electoral bajo distintas adscripciones partidistas se explica, principalmente, por tres dinámicas. En primer lugar, por “la deslegitimación y pérdida de credibilidad >[ … ] y de respaldo social derivado de la ambigüedad ideológica y escándalos de corrupción” (Duque, 2014, p. 316) por parte de los partidos. Ello tiene como consecuencia que la fidelidad a una etiqueta partidista no llega a ser muy rentable. En segundo lugar, como lo han mostrado diversos autores (Dargent & Muñoz, 2011; Duque, 2014), la descentralización fiscal y política les dio mayores recursos a los políticos regionales y locales, lo cual posibilitó que estos no necesariamente tuvieran que recurrir a partidos nacionales para conseguirlos, y eso debilitó los incentivos de fidelidad a una etiqueta partidista y disminuyó la capacidad de los políticos nacionales para exigirla a los políticos locales y regionales. Finalmente, si bien los costos de creación de partidos políticos aumentaron con el Acto Legislativo 01 de 2003 —el cual estableció un umbral electoral y una fórmula repartidora de Hond’t que favorece a los grandes partidos—, la pervivencia de figuras tales como los movimientos por firmas (que les permite acceder al sistema político sin el aval de un partido) y las coaliciones partidistas debilitaron el valor de la adscripción estable a un partido (Naranjo, 2019; Uribe et al., 2022). Estas tres dinámicas y su interacción llevaron a que dichas estructuras políticas no tuvieran que depender de su fidelidad a un partido; asimismo, el cambio de etiquetas partidista se convirtió en una herramienta más para mantener su dominio electoral.
Es por lo anterior por lo que el aumento de la competencia y la alternancia en los partidos que compiten en el poder electoral regional no equivalen a que haya una verdadera alternancia política, cuando lo que puede estar pasando es que, en realidad, el liderazgo y el control político sigan proviniendo de los mismos actores políticos y de sus estructuras políticas. Tales estructuras políticas dominantes son definidas, siguiendo a Duque (2015), como las que
>[ … ] han manejado con criterio patrimonial la política local, se han apropiado de los recursos públicos, han manejado la contratación del departamento favoreciendo a sus socios políticos y a sus allegados, se han distribuido los cargos públicos y han asumido la gestión pública como si se tratara de un asunto privado. (p. 182)
Identificar esas estructuras políticas dominantes permite comprender, a su vez, las dinámicas de permanencia y continuidad de los actores políticos que han tenido predominancia histórica en los cargos de toma de decisiones públicas. Con base en lo anterior, se propone entender dominio electoral como un proceso de control electoral de las instituciones regionales —específicamente, las gobernaciones—, mediante el cual las estructuras políticas dominantes logran imponer a sus propios candidatos en cargos públicos a través de las elecciones, y más allá de los partidos, y sin recurrir, necesaria y exclusivamente, a estrategias autoritarias sistemáticas2, para mantener su dominio electoral. Este no se desarrolla bajo una lógica donde las unidades territoriales buscan retar la democracia nacional o a los políticos nacionales, sino que, más bien, se desarrolla bajo una lógica “mutualista y parasitaria”, donde dichos dominios electorales funcionan bajo las reglas de juego electoral impuestas en todo el territorio nacional y, muchas veces, se ven beneficiados por tales reglas, al intercambiar votos por favores e influencia política nacional.
IDENTIFICACIÓN DE LOS DOMINIOS ELECTORALES
En la presente sección se describen los datos y los análisis llevados a cabo para identificar y caracterizar los dominios electores regionales, así como la evolución de las dinámicas de estos a lo largo de las elecciones para gobernaciones desde 1997 a 2015. En primer lugar, se presenta la medición utilizada para la identificación del dominio electoral a partir de una crítica a los índices democráticos clásicos, como el margen de victoria, el número efectivo de partidos y la participación. Y en segundo lugar, se exponen tanto la configuración del dominio electoral en los departamentos de Colombia como su evolución y los tipos de dominio electoral identificados a partir de la continuidad de su supervivencia.
OPERACIONALIZACIÓN DEL DOMINIO ELECTORAL
Los índices utilizados para medir la evolución de las características democráticas en el plano regional, como la competencia y la alternancia, no permiten identificar las dinámicas ni las características de los dominios electorales, más allá de los partidos o las coaliciones políticas. Por ejemplo, Abadía et al. (2016) muestran cómo la competencia ha aumentado en el ámbito regional, mientras que, según Albarracín y Milanese (2021), los sistemas de partidos en la escena local presentan “un aumento de la fragmentación del sistema de partidos y de la intensidad de la competencia personalista en las elecciones para los concejos municipales” (p. 2). Incluso, cabe afirmar que se ha venido presentando un proceso de apertura política ligado a un aumento de la competencia interpartidista y la participación política; sin embargo, en varios departamentos, a pesar de ese desfile interminable de etiquetas partidistas, varios autores han mostrado, a través de estudios de caso, que el acceso al poder político se restringe a unos cuantos grupos regionales (Barrero, 2016; Botero et al., 2022; Ocampo, 2014).
Tomando en cuenta lo anterior, el artículo propone utilizar una aproximación que no se centra en los partidos, sino, a cambio, en las personas y sus conexiones regionales. De esta manera, el dominio electoral implica un conjunto de redes y conexiones de poder que son identificables por medio de lazos familiares y apoyos, entre otras cosas. En la mayoría de los departamentos analizados, estas redes y conexiones se dan de manera interna y externa a los partidos políticos, por lo que no necesariamente dependen de los partidos para su reproducción; más aún, dichas estructuras políticas dominantes son trasversales a varios partidos para mantener su dominio. De esa manera, es posible identificar las dinámicas de continuidad de estructuras políticas dominantes mediante la evolución histórica de tales conexiones, y mediante el establecimiento de un criterio de pertenencia del gobernador electo en cada periodo a esas estructuras en los departamentos.
Este criterio de pertenencia se construyó a partir de la revisión de artículos de prensa y monografías que recopilan datos históricos de los departamentos en el periodo que va de 1997 a 2015. La razón para escoger dicha temporalidad obedeció a dos razones: la primera es que la base de datos de resultados electorales para gobernaciones del Centro de Estudios para el Desarrollo Económico (CEDE) solo tenía los desagregados a partir de 1997. La segunda es que desde ese año se establecieron periodos de tres años para las elecciones locales, que difieren de los actuales en un año, por lo cual podía mantenerse una lógica de continuidad que no se podía establecer con los periodos anteriores a 1997.
Las categorías que se retomaron anteriormente no garantizan por sí solas la existencia del dominio electoral en una gobernación, pero vistas dentro una definición operacional, son indicadores importantes en el momento de analizar la existencia de dominio electoral, a fin de establecer criterios de inclusión y exclusión del concepto. Así, las conexiones se definen como vínculos de consanguinidad o de afinidad entre funcionarios públicos y miembros de la estructura política dominante. La sola existencia de una conexión familiar o de afinidad no garantiza la existencia de dominio electoral, pero eso sí lo hace la relación de un funcionario con algún grado de consanguinidad o de afinidad con una persona perteneciente a una estructura política dominante materializada en un apoyo expreso e identificable. Estos apoyos se identifican en la prensa y en los discursos cuando los integrantes de la estructura dominante soportan y respaldan explícitamente a uno o varios candidatos a la gobernación.
Los anteriores criterios implican la existencia del dominio electoral, aunque lo central de las conexiones es que permiten observar la relación entre los ganadores de las elecciones regionales y las estructuras políticas dominantes, más allá del variado uso instrumental de diversas etiquetas partidistas que dificulta el análisis y la identificación de la estabilidad en el dominio del poder, y también, más allá del incremento de la alternancia partidista en el plano regional.
Ahora bien, la no existencia de dominio electoral se da cuando hay una oposición y la independencia expresa por parte del candidato respecto a la estructura política. A partir de estos criterios se construyó una variable dicotómica, donde el número 1 indicaba el apoyo, los lazos familiares o la herencia política de estructuras políticas dominantes del departamento hacia el gobernador electo, mientras el 0 indicaba la ausencia del apoyo al gobernador elegido de esas estructuras políticas durante su mandato. Los criterios de asignación de valores se encuentran en la tabla 1, junto con el porcentaje de dominios electorales durante el periodo objeto de estudio.
Tabla 1 Operacionalización del dominio electoral

Nota: la suma del promedio es 28, puesto que en varios años no se encontró información concluyente para algunos de los candidatos.
Fuente: Elaboración propia, con base en datos de “Los clanes políticos que mandan en Colombia” (2020), López (2008) y revisión de prensa.
En este sentido, la construcción del índice se hizo a partir del histórico de las conexiones entre ganadores a las elecciones de gobernadores y las estructuras políticas dominantes. De ese modo, se revisaron el origen y las conexiones de los 184 gobernadores electos, para buscar la presencia de algún criterio que pudiese indicar dominio electoral (de los señalados en la tabla 1). La no presencia de dichas categorías no necesariamente implicaba la ausencia de dominio electoral, por lo cual también debió comprobarse que el gobernador electo perteneciera a un partido independiente o se hubiera declarado en oposición a la estructura política, para asumir la inexistencia de dominio electoral. Por su parte, se asume como un valor vacío el caso de los candidatos sobre los cuales no se encontró información concluyente.
El índice permite evidenciar trayectorias de continuidad y discontinuidad mediante la identificación de las relaciones sociales que se establecen dentro de una población específica. Además de la identificación de estas relaciones, también se caracteriza a los protagonistas de dichas relaciones con el fin de evidenciar su pertenencia a estructuras políticas dominantes preexistentes. A continuación se muestra la presencia de dominios electorales en los gobernaciones departamentales de Colombia en virtud de la variación del índice mencionado.
CONFIGURACIÓN DEL DOMINIO ELECTORAL EN LOS DEPARTAMENTOS
Tal cual se observa seguidamente, la distribución del dominio electoral se ha mantenido constante a lo largo de las elecciones a gobernación analizadas. A partir de lo anterior, cabe argumentar que hubo una continuidad del dominio electoral en varias gobernaciones durante el periodo 1997-2015, pues se evidencia que en la totalidad de elecciones hay entre 20 y 25 departamentos en los cuales pueden identificarse dominios electorales. Asimismo, los departamentos que no tienen dominio electoral varían en virtud del aumento de los que sí lo presentan, lo cual permite identificar departamentos donde los dominios son más volátiles, y otros donde sobreviven a lo largo de las elecciones, como se observa en la figura 1.

Fuente: Elaboración propia, con datos de “Los clanes políticos que mandan en Colombia” (2020), López (2008) y revisión de prensa
Figura 1 Evolución del dominio electoral en las gobernaciones colombianas (1997-2015)
De la misma forma, a partir de la distribución del dominio electoral se puede identificar que los departamentos en los cuales hubo más dominios electorales fueron Atlántico, Caldas, Córdoba, La Guajira, Magdalena, Meta, Risaralda, Sucre y Tolima. Por su parte, los departamentos que tuvieron un menor dominio electoral acumulado fueron Nariño, Antioquia, Vichada y Guainía. Los que más tuvieron dominio electoral constatan un escenario reseñado por varias investigaciones. Estos se caracterizan por una heterogeneidad de partidos que compiten unos con otros a fin de acceder al poder ejecutivo mediante elecciones democráticas, pero, a su vez, conviven con estructuras políticas dominantes para posicionar a sus propios miembros en dichos cargos públicos y excluir a otros actores del poder político. A partir de esta observación se puede argumentar que existen distintas formas de desarrollo del dominio electoral en Colombia, y que se caracterizan por su reproducción y su permanencia, o bien, por la desestructuración de los dominios electorales identificados. A continuación se clasifican los tipos de dominios identificados.
Los primeros son los departamentos donde no se han desarrollado dominios (azul claro en el mapa). Los segundos son los dominios débiles, donde el poderío electoral de las mencionadas estructuras ha disminuido tanto que ya no son capaces de acceder efectivamente a cargos de autoridad regional (azul oscuro en el mapa). Mientras, los dominios plenos (en verde en el mapa) tienen como referencia estructuras políticas dominantes que logran mantenerse en el tiempo. En la siguiente sección se analizará qué factores inciden en su fin o su continuidad.
FACTORES QUE EXPLICAN LA SUPERVIVENCIA DE LOS DOMINIOS ELECTORALES EN LAS GOBERNACIONES COLOMBIANAS
En esta sección se exploran los factores que pueden afectar la supervivencia de los dominios electorales en los departamentos de Colombia, por lo cual se creó una variable que agrupó las categorías de no dominio y dominio débil (0) y dominios electorales sobrevivientes (1), para a partir de modelos de regresión logística, establecer qué factores aumentan o disminuyen la probabilidad de supervivencia de los dominios electorales. En la literatura se han identificado tres factores que explican la supervivencia de regímenes híbridos y autoritarismos subnacionales, por lo cual se los utilizan para construir las expectativas teóricas que expliquen la probabilidad de sobrevivencia de los dominios electorales.
En primer lugar, la teoría de la interacción estratégica muestra que los gobernantes regionales con más conexiones nacionales tienen mayor posibilidad de consolidar su poder local (Pino, 2022). Estas conexiones se midieron como el número de senadores que pertenecen a dichas estructuras. Con base en su distribución, se dicotomizó esa variable; se asignó un valor de 1 para mostrar ausencia de senadores, y de 2, para indicar que la estructura tenía uno o más senadores en su estructura. Así, se planteó que:
H1: Las estructuras políticas dominantes que tengan senadores tienen mayor probabilidad de supervivencia de los dominios electorales respecto a las que no los tienen.
En segundo lugar están los factores económicos que exponen cómo mayores niveles de pobreza y ruralidad inciden en que los gobernantes regionales sean más poderosos, en la medida en que la población depende más de los recursos del Estado para sobrevivir (Gervasoni, 2010). Dicha variable se midió con la pobreza estimada por el Departamento Administrativo Nacional de Estadística (DANE) a escala departamental, y por el nivel de ruralidad, el cual mide qué porcentaje de la población del departamento vive en el campo. Adicionalmente, se espera que el número de senadores potencie la probabilidad de que se desarrollen dominios electorales en departamentos con altos niveles de ruralidad. Estas expectativas teóricas se expresan en las siguientes hipótesis:
H2: Una mayor pobreza está asociada a una mayor probabilidad de supervivencia de los dominios electorales.
H3: El número de senadores pertenecientes a una estructura política dominante potencia el efecto positivo de la pobreza sobre la probabilidad de supervivencia de los dominios electorales.
Finalmente, se controló por desplazamiento como proxy de violencia política, ya que mayores niveles de violencia política pueden estar asociados a una mayor probabilidad de desarrollo de dominios electorales. tabla 2
Tabla 2 Estadísticos descriptivos

Nota: los datos de desplazamiento, ruralidad y pobreza son del Centro de Estudios sobre Desarrollo Económico (CEDE) y del DANE.
Fuente: Elaboración propia.
En el primer modelo se incorpora la variable de número de senadores; en el segundo, la pobreza a escala municipal; en el tercero, los controles, y en el cuarto, la interacción estadística. En la tabla 3 se presentan estos modelos.
Tabla 3 Modelos logísticos para explicar la dominancia electoral (1997-2015)

Errores robustos en paréntesis. *** p < 0,01; ** p < 0,05; * p < 0,1
Los resultados permiten argumentar que existe evidencia a favor de la hipótesis 1, pues la pertenencia de senadores a la estructura dominante se relaciona positiva y significativamente —y con un nivel de confianza del 99 %— con la probabilidad de supervivencia de los dominios electorales en todos los modelos. Tales resultados son congruentes con la teoría de la interacción estratégica, que señala la importancia de los actores nacionales en la continuidad de regímenes poco competitivos.
En el caso de la hipótesis 2, los resultados son contrarios a las expectativas teóricas, pues una mayor ruralidad disminuye la probabilidad que se establezca un dominio electoral, mientras que la pobreza no tiene una relación significativa. Esto, probablemente, se debe a que los dominios electorales pueden emerger con mayor facilidad en contextos más urbanos, donde una mayor cantidad de votos les permite consolidarse nacionalmente y, de esa forma, adquirir influencia nacional para sobrevivir en el tiempo.
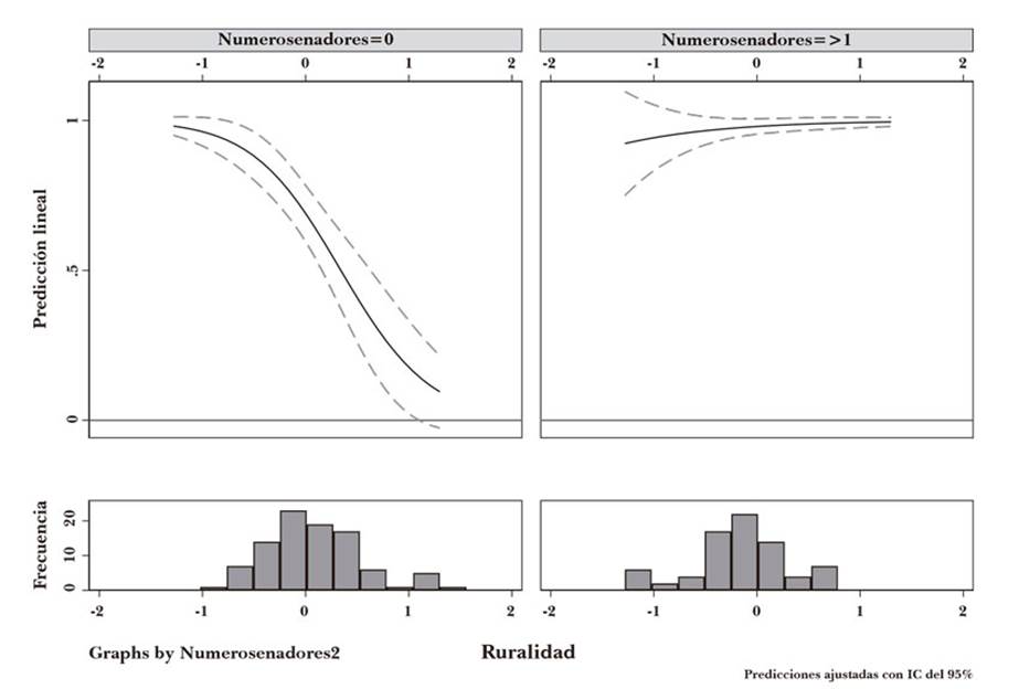
Finalmente, en la figura 3 se analiza la interacción entre la ruralidad y el número de senadores pertenecientes a la estructura política; se aprecia que el efecto de la ruralidad no tiene incidencia sobre la probabilidad de supervivencia de los dominios electorales cuando la estructura política tiene conexiones nacionales (medida en este caso como número de senadores), mientras que en los departamentos con mayor ruralidad y en los cuales las estructuras políticas no tienen senadores, la probabilidad de supervivencia de dominios electorales se reduce significativamente. Esos resultados se explorarán por medio de estudios de casos presentados en la siguiente sección.
SELECCIÓN DE ESTUDIOS DE CASO
Los estudios de caso fueron escogidos utilizando la selección de casos típicos. Esta selección se centra en exponer el funcionamiento de la relación entre las variables tomando en cuenta los casos más representativos que, siguiendo a Seawright y Gerring (2008), se encuentran identificando los casos que tienen los menores residuos; es decir, las observaciones cuyos valores reales se encuentran más cerca a los valores predichos en el análisis multivariado, ya presentado. Con base en dicho análisis, se identificó que los departamentos con menores residuales del modelo logístico multivariado desarrollado fueron Atlántico, Bolívar, Caldas, La Guajira, Norte de Santander, Quindío, Tolima, Valle del Cauca, Arauca, Tolima y Putumayo. Una vez identificados los casos representativos, se estableció un segundo criterio de selección a partir del análisis de la supervivencia del dominio electoral, y a partir de este se escogieron los casos con mayores y con menores niveles de supervivencia del dominio electoral: Atlántico y Putumayo.
En el primer caso, el dominio electoral se ha fortalecido desde 1997, y la estructura política que lo respalda se ha complejizado y fortalecido a través de su proyección y su influencia hacia el Estado nacional. En Putumayo, si bien se desarrolló un dominio electoral, este no mostró capacidad para persistir en el tiempo, y el poder de su estructura política se fragmentó en varias casas políticas que compiten por el poder regional. Esta variación permite explorar y ejemplificar los factores que inciden en la supervivencia de un dominio electoral en el ámbito regional, e identificados en el modelo inferencial.
Los mencionados estudios de caso fueron desarrollados a partir de la revisión de fuentes bibliografías, de prensa regional y de artículos académicos, por medio de los cuales se construyó una narrativa sobre el origen, la consolidación y los problemas que han tenido las estructuras políticas dominantes. Tomando eso en cuenta, se utilizó la herramienta online Onodo para graficar el mapa de conexiones identificadas en las dos estructuras políticas dominantes. Esa información muestra las conexiones entre dichas estructuras, los gobernadores electos, los alcaldes y los parlamentarios.
ATLÁNTICO: SUPERVIVENCIA PLENA DEL DOMINIO ELECTORAL
El desarrollo de la estructura política dominante de la familia Char se ha dado de la mano con el establecimiento de estrategias tanto políticas como económicas, las cuales han llevado a la familia a constituirse en una auténtica élite regional. El origen de dicha estructura comenzó en el departamento de Córdoba, a mediados de 1920, con el comerciante Ricardo Char Zaslaway, quien, después de probar suerte en el desarrollo de un negocio de orfebrería, decidió migrar hacia la ciudad de Barranquilla en 1954. Ahí adquirió el almacén El Olímpico. En esta ciudad conoció a quien sería su esposa: Herlinda Abdala; con ella tuvo siete hijos: Farid, Jabib, Simón, Ricardo, Miguel, Mary, y quien sería el creador y el cacique electoral de la estructura: Fuad Char. Debido a una calamidad familiar, Fuad tuvo que hacerse cargo de los negocios de la familia a la temprana edad de 17 años. Montó una droguería llamada Olímpica, negocio que se convertiría en el holding empresarial del grupo Olímpica.
Una vez constituida la familia como élite económica regional, Fuad Char decidió incursionar en la política en 1984. Fue designado gobernador por el entonces presidente de la República Belisario Betancur, lo cual lo llevó a él y a sus hermanos a deslindarse de la administración del grupo Olímpica en 1986. Esto sería el preludio de los planes que tenía a futuro la familia Char, y el comienzo de la estructuración de su dominio electoral con mayor predominio y supervivencia en el departamento de Atlántico y en Colombia.
A lo largo de los años siguientes, Fuad Char siguió expandiendo su poderío en el departamento. En 1991 consiguió entrar en el Senado, gracias al apoyo del presidente César Gaviria, a quien ayudó a conseguir votos en el departamento. El apoyo del primer mandatario fue decisivo para derrotar a Iván Name, quien representaba a los políticos que históricamente habían ostentado el poder en el departamento, y le permitió consolidar su poder como el nuevo cacique político de Atlántico. Esa primera elección parlamentaria significó para Fuad Char y su familia un primer estado de consolidación de su influencia nacional y de la continuidad de su domino, ya que logró elegirse de igual manera en los siguientes dos periodos (1998-2002 y 2002-2006).
En 2006 fue nombrado embajador en Portugal, mediante el apoyo que le dio el presidente Álvaro Uribe Vélez en las elecciones; además, expandió su estructura legando su capital político al menor de sus hijos: Arturo Char, quien heredó su curul en 2006 (Barros, 2016). De igual manera, Alejandro Char, el hijo mayor de Fuad, se convirtió en gobernador en 2003, cuando demandó las elecciones de 2000. Posteriormente, la estructura política de los Char ganó representación política e influencia tanto en el ámbito nacional como en el regional, con la alcaldía de Barranquilla de Alejandro Char (2008-2011 y 2016-2019), y la reelección de su padre en el senado para el periodo 2010-2014, y de su hijo menor Arturo, quien fue elegido senador en 2006, cargo en el que fue reelegido para el periodo 2018-2022.
Aunque el desarrollo de la estructura política dominante de los Char en el departamento ha estado ligado a conseguir cargos públicos —mediante la administración de apoyos a candidatos con conexiones familiares notables y el apoyo a candidatos a gobernaciones, senado y cámara de representantes que hacen parte de la estructura, pero con quienes los Char no tienen una relación de consanguinidad—, también ha sido clave en la expansión y la supervivencia del dominio electoral de la estructura. Como ejemplo de lo anterior, en 1997 el candidato a gobernación elegido fue Rodolfo Espinosa Meola, sobre quien Fuad Char Abdala comentó en las elecciones de ese año:
>[ … ] a mí me gustaría muchísimo llevar como candidato a la Gobernación del Atlántico, para el próximo período, a Espinosa Meola, esa es una carta para apoyar. Manifestó que el movimiento Voluntad Popular está dispuesto a respaldar el nombre de Espinosa Meola aun cuando no cuente con el respaldo de otros sectores políticos. (s. d.)
En contraposición, el “charismo” perdió las elecciones en 2000, pero en 2003 volvió a ganar, con su candidato Carlos Enrique Rodado, quien, según el portal Colombia Check, fue apoyado por Fuad Char en las elecciones de ese año; además, recibió el aval del Partido Conservador en 2003. Con esa misma tendencia, en 2007 el candidato Eduardo Verano también fue apoyado por uno de los miembros de la estructura política dominante, pues “En efecto, convertido Char en líder del liberalismo, avala a Eduardo Ignacio Verano de la Rosa a la Gobernación y a David Ashton Cabrera a la Asamblea Departamental. Al tiempo, obtuvo tres alcaldías en las elecciones de 2007” (López et al., 2008, p. 30). Asimismo, en 2011 el candidato José Antonio Segebre fue el ganador del proceso electoral, y aunque Fuad Char “formalmente apoyó al perdedor Jorge Amín a la gobernación, varios observadores dicen que deslizó su apoyo al ganador” (Lewin, 2014). Finalmente, para 2015 el exgobernador charista Eduardo Verano fue reelegido a la gobernación.
Al igual que con los cargos ejecutivos, la estructura política de los Char no ha escatimado en influir sobre instituciones de representación nacional postulando a candidatos de su propia estructura política al Congreso de la República (Senado y Cámara). Dentro de los parlamentarios más conocidos está el senador Fuad Char, quien es la cabeza visible de la estructura política dominante. A la misma estructura pertenece Miguel Amin Escaf, quien “con una larga trayectoria en el congreso, ha sido uno de los aliados más importantes del clan Char” (Valencia, 2020, p. 28). También hacen parte de la maquinaria otros senadores, como Aida Merlano —quien recibió apoyo para las elecciones de senado de 2018—, y de igual manera, recibieron apoyo representantes a la Cámara como Cesar Lorduy Maldonado, Karina Rojano y José Gabriel Amar Sepúlveda.
En el periodo analizado puede identificarse que la estructura política dominante ha utilizado diversas etiquetas partidistas para acceder a la gobernación y mantenerse en esta, como ya se expuso. Por ejemplo, la estructura política dominante utilizó el aval del Partido Conservador en las elecciones de 1997, en las elecciones de 2000 empleó el aval del Movimiento Cívico Seriedad Colombia y después, en las elecciones de 2003 volvió a utilizar el aval del Partido Conservador, mientras que desde las elecciones de 2007 hasta las elecciones de 2015 recurrió al del Partido Liberal en todas las elecciones de este periodo. A su vez, los congresistas que pertenecieron a dicha estructura no tuvieron una única filiación partidista, sino que tenían el aval de los siguientes partidos: Cambio Radical, Partido de la U, Voluntad Popular, Partido Liberal y Partido Conservador. Lo anterior muestra el uso diverso y estratégico de distintas membresías partidistas; incluso, el de etiquetas con base en los movimientos por firmas, como en las elecciones de 2000; también, que los enlaces nacionales localizados3 proceden de diversos partidos. Ello muestra cómo, más que profesar fidelidad a una etiqueta partidista, lo clave es que la estructura política dominante mantiene de forma continua su dominio sobre la gobernación, más allá de la aparente alternancia partidista que se presenta en este periodo.
Si bien la imagen que se presenta de la estructura política dominante de los Char es una de consolidación en cargos locales, departamentales y nacionales, tal estructura también ha tenido problemas en el desarrollo de su propio dominio electoral; más que todo, por la relación de algunos de sus integrantes con actores ilegales, a raíz de lo cual cabe resaltar tres principales desafíos desde la institucionalidad nacional. El primero de ellos tiene que ver con el excongresista David Char, quien es sobrino de Fuad Char, patriarca de la estructura política dominante, y que, además, fue representante (2002) y senador (2006), y tuvo que renunciar a su curul en 2008, debido a presuntos vínculos con paramilitares como Carlos Mario García conocido como ‘El Médico’, y José Pablo Díaz; ambos, miembros de las Autodefensas Unidas de Colombia (AUC). Asimismo, David Char fue el primer parapolítico recibido en la Jurisdicción Especial para la Paz (JEP), y quien ha hablado acerca de “los mecanismos de corrupción asociados a la compra de votos, retención de cédulas, financiación ilegal de campañas y violación de topes de financiación. [ … ] y como se han favorecido las élites políticas departamentales de estos hechos” (Valencia, 2020).
El segundo tiene que ver con Katia Nule, esposa de Alejandro Char, y quien es hermana de los Nule, salpicados, a su vez, por el escándalo del “carrusel de la contratación”, donde se alega que hubo una adjudicación irregular de contratos, y tuvo como objetivo la desviación de dinero público que condujo a un detrimento patrimonial de aproximadamente 2,2 billones de pesos (Portafolio, 2011). Por dicho escándalo también fue cuestionada la estructura política dominante de los Char, desde el ámbito nacional, sin llegar a desarticular o medrar su poder político regional. Finalmente, el tercero y último desafío se debió a la presunta compra de votos ejercida por la excongresista Aida Merlano y su cercanía con esa estructura política. A la congresista se le descubrieron “260 millones de pesos en efectivo, material electoral, y cuatro armas de fuego que le habían ayudado a comprar su paso de la cámara del Atlántico al Senado de la República” (Valencia, 2020, p. 29).
A pesar de los desafíos que tuvo esa estructura política dominante a lo largo del periodo objeto de estudio, actualmente es una de las estructuras políticas más consolidadas en los ámbitos regional y nacional, con fuertes conexiones en el ejecutivo nacional, el Senado de la República y la Cámara de Representantes. Estos enlaces les permiten utilizar el poder nacional para seguir fortaleciendo su estructura subnacional, a fin de competir y obtener, por varios periodos, los cargos a la gobernación y las alcaldías en su departamento. De acuerdo con lo anterior, se entiende la dinámica de consolidación del dominio electoral de los Char en el departamento de Atlántico; además, se resalta un componente esencial para su supervivencia con la relación entre organismos legislativos de representación nacional y las estructuras políticas dominantes regionales. En este caso, se puede ver claramente el funcionamiento de esa relación de continuidad del dominio electoral que se da por parte del actor central de la estructura política dominante: Fuad Char figura 4.
PUTUMAYO: LA DECADENCIA DE LOS DOMINIOS ELECTORALES
En comparación con la estructura política dominante en Atlántico, la de Gilberto Flórez, en Putumayo, fue una estructura más personalista y menos familiar, edificada de la mano con políticos nacionales, pero que no tenía tantos integrantes como la estructura política de los Char, aunque sí, una red de apoyos fácilmente identificable.
La estructura putumayense tuvo su inicio con un político del Tolima llamado Gilberto Flórez, alias Platarina, quien se estableció en el departamento amazónico. Allí creció y estableció una microempresa de harina de plátano. Fue de la mano del congresista Carlos Villota como Flórez se hizo a un nombre en el escenario de la política regional; tiempo después, pudo acceder a cargos como la gerencia de la Licorería de Putumayo y la alcaldía de Mocoa. Ya con un poco más de experiencia y un electorado constituido, Flórez accedió por primera vez a la Cámara de Representantes de la República, en 1982, debido a que su mentor abandonó la curul al haber sido nombrado cónsul de Colombia en Manaos.
Adicionalmente, el establecimiento de esta estructura también se dio con la adhesión de Gilberto Flórez a las campañas presidenciales de Alberto Santofimio Botero y Alfonso López Michelsen. Apoyo que le sirvió para consolidar un electorado fijo, además de contar con “la capacidad de imponer el nombramiento del intendente y de los alcaldes de Putumayo al centro, en particular al Ministerio de Gobierno y a la Dirección Nacional de su partido” (Bustamante, 2012, p. 106). En 1994, Gilberto Flórez ya se consolidaba como un verdadero barón electoral; no tardaría en extender el poder de su estructura al órgano legislativo y a otros organismos ejecutivos, como la Gobernación de Putumayo. Figura 5

Fuente: Elaboración propia
Figura 5 Constitución del dominio electoral en el departamento de Putumayo
La facción del Partido Liberal de Gilberto Flórez era integrada por políticos de élites regionales con amplio historial político en el departamento, lo cual encaja dentro de la definición de estructura política dominante. La estructura inició con una presencia importante en los cargos ejecutivos del departamento al principio del periodo analizado (1997-2003), pero después, en el periodo restante, dejó de acceder a dichos cargos; un fenómeno que se dio de la mano con la desaparición del enlace nacional localizado de la estructura. A continuación se presenta evidencia documental que muestra cómo los candidatos elegidos en elecciones a gobernación hacen parte de dicha estructura.
En 1997 fue elegido a la gobernación Jorge Devia Murcia, del Partido Liberal, y sobre quien López et al. (2008) comentaba que
En medio de unas elecciones marcadas por la tensión que generó el paro armado de las Farc, el asesinato de varios dirigentes políticos y el anuncio de la renuncia a las candidaturas a gobernación resultó elegido Jorge Devia Murcia quien es ahijado político del líder liberal Gilberto Flórez. (p. 42)
De la misma forma, hacia 2000 “la gobernación estuvo disputada entre cuatro candidatos. Por el Partido Liberal tenemos al electo médico Iván Guerrero, hijo del exrepresentante Víctor Guerrero, líder político liberal quien hacía parte de la facción de Gilberto Flórez” (López et al., 2008, p. 48). Con igual tendencia, en 2003 fue elegido para el mismo cargo el sacerdote Carlos Alberto Palacio, quien contaba con el apoyo de Guillermo Rivera (sobrino de Gilberto Flórez).
A partir de los comicios de 2007, esa estructura política dominante comenzó a perder en las elecciones, pues aquel año su poder fue disputado por Felipe Alfonso Guzmán, quien, no obstante ser del Partido Liberal, no hacía parte del oficialismo, sino que se presentaba como una pequeña disidencia de la facción predominante del partido en el departamento. De igual forma, en 2011 fue elegido Jimmy Harold Díaz, por el Partido Conservador, miembro de una facción tradicional del partido, pero sin ninguna relación con Gilberto Flórez. Finalmente, en 2015 ganó por primera vez —en los 24 años analizados— una miembro del Partido Verde en Putumayo: Sorrel Parisa Aroca, a quien el portal “Las2orillas” catalogó como nueva e independiente (2015).
El declive político de la estructura política dominante de Gilberto Flórez comenzó en 1991, debido a la revocatoria de la curul que se dio ese año, por lo cual no puede ser elegido de nuevo. De ese año en adelante, la estrategia y los mecanismos de la estructura política dominante empezaron a desgastarse, por lo cual Flórez intentó retomar la influencia de la curul en la Cámara de Representantes: primero probó en 1997, con José Maya Burbano, y posteriormente, en los periodos electorales de 2000 y 2003, con su sobrino Guillermo Rivera. Asimismo, Flórez apoyó a los gobernadores que fueron elegidos en los periodos electorales entre 1997 y 2003; sin embargo, la caída definitiva de la estructura fue 2007, cuando Rivera, el sobrino de Flórez, perdió su curul en la Cámara de Representantes, y la estructura no pudo ganar ningún escaño en el Congreso de la República. Esto trajo como consecuencia la pérdida de influencia en las elecciones a la gobernación de 2007, donde, por primera vez en diez años, la estructura no logró acceder efectivamente a dicho cargo ejecutivo.
El caso de Gilberto Flórez permite identificar y comprobar la importancia de las conexiones nacionales y de una infraestructura económica que respalde la estructura política dominante, más allá de su domino del Estado. Respecto a la primera, se observó que la estructura política dominante de Gilberto Flórez era dependiente de su dominio de la burocracia y de su acceso al presupuesto nacional para permitir que Flórez se erigiera en barón electoral en el departamento. En segundo lugar, como consecuencia de la pérdida de su curul, Flórez logró mantenerla hasta 2007, por medio de su sobrino; sin embargo, una vez la estructura política dominante perdió el escaño, casi de manera inmediata perdió también su influencia electoral en la gobernación; influencia medida en las veces accedidas a ese cargo ejecutivo. Por lo tanto, este caso permite identificar perfectamente, cuán importantes son los enlaces nacionales localizados para las estructuras políticas dominantes desarrolladas en departamentos con alta ruralidad, como se describe en la figura 1, y donde se puede evidenciar cómo las estructuras políticas dominantes que cuentan con menos de dos enlaces nacionales localizados tienden a no sobrevivir en contextos rurales.
ANÁLISIS COMPARADO DE LOS ESTUDIOS DE CASO
Al revisar la constitución y desarrollo de las estructuras políticas dominantes, se halló una coincidencia entre los factores identificados en el modelo inferencial, los cuales permiten la continuidad de los dominios electorales; específicamente, la pertenencia a la estructura política de congresistas. Asimismo, los estudios de caso permitieron identificar un factor que no se identificó en el modelo inferencial, por ausencia de información; pero en los casos y en la literatura se muestran como relevantes los recursos privados de la estructura subnacional.
Este segundo factor permite destacar la importancia del poder económico ligado a la estructura política dominante, pues le permite desarrollar y mantener redes de apoyo, más allá de su control político. Dicho factor es importante en el caso de la estructura política dominante de los Char, por cuanto es fundamental resaltar que esta familia se constituyó, en un primer momento, como una élite económica, lo que le permitió no solo desarrollar redes de apoyo que serían instrumentalizadas en el escenario político, sino que la habilitó para desarrollar los recursos suficientes a fin de asumir los costos ligados a las múltiples campañas políticas.
En contraposición, la estructura política dominante de Gilberto Flórez, aunque era predominante en Putumayo, basaba su poder en los recursos derivados de su actividad política; además, se debe tener en cuenta que dicha estructura se edificó a partir de la transferencia de poder de políticos nacionales, quienes la apoyaron públicamente en varias ocasiones. En esencia, la estructura política dominante de Gilberto Flórez nació de la política; y si bien tenía ciertos soportes económicos, como su empresa de Platarina y los auxilios parlamentarios relacionados a su cargo, su base era la relación de Gilberto Flórez con políticos nacionales. Ello se evidencia en las redes de las dos estructuras analizadas, pues se hace notorio cómo la estructura política dominante de Atlántico tuvo un mayor número de conexiones con el Estado nacional, en comparación con la de Gilberto Flórez en Putumayo.
El segundo factor para tener en cuenta es si los enlaces nacionales localizados de las estructuras políticas dominantes han sido edificados de manera externa o interna a la estructura. Eso quiere decir que es fundamental entender si las estructuras políticas dominantes desarrollan enlaces nacionales localizados como una extensión de la estructura, o si los desarrollan por medio de una alianza con políticos nacionales, todo lo cual adquiere importancia al revisar el caso de la estructura política dominante de los Char, pues Fuad Char desarrolló un enlace nacional localizado al pasar de la gobernación de Atlántico al Senado de la República, con lo cual no solo generó un canal para el desarrollo de futuros enlaces nacionales localizados, sino que pudo ejercer directamente transferencias de poder —como lo hizo con su hijo Arturo Char en el senado, o con Jaime Pumarejo y su otro hijo, Alejandro Char, en la gobernación de Atlántico y en la alcaldía de Barranquilla—.
En el caso de Gilberto Flórez, si bien intentó el mismo proceso ya descrito, al apoyar a su sobrino Guillermo Rivera en su curul en la Cámara de Representantes, no logró establecer enlaces nacionales localizados que le permitiera no solo seguir apoyando candidatos a la gobernación de Putumayo, sino también, expandir su poderío en el legislativo.
CONCLUSIONES
En este artículo se hicieron la identificación y la conceptualización del dominio electoral en las gobernaciones departamentales en Colombia como un fenómeno que se configura como una práctica política ejercida por estructuras políticas dominantes, que hace parte del régimen democrático y se caracteriza por la predominancia continua de estructuras políticas dominantes, que pueden controlar los votos y cargos públicos de un departamento sin recurrir sistemáticamente a prácticas autoritarias. Asimismo, el concepto estructuras políticas dominantes, desarrollado por Duque (2015), es central dentro de la configuración del dominio electoral, pues permitió encontrar que hay un conjunto de estructuras que se mantienen en el poder debido a los apoyos y las conexiones que son capaces de establecer con el ámbito nacional. Esta dinámica, al contrario de ser minoritaria, parece generalizada en la mayoría de los departamentos de Colombia, pues, en promedio, en 22 departamentos se identificó dominio electoral en alguno de los periodos analizados, o en todos.
De igual modo, en este artículo se criticó el uso descontextualizado del concepto autoritarismo subnacional; al tiempo, se demostró cuán necesaria es una categorización que permita capturar los diversos tipos de configuraciones políticas híbridas que pueden desarrollarse entre el autoritarismo y la democracia en los ámbitos local y regional. Si bien es cierto que el proceso de democratización ha involucrado una multiplicidad de actores ilegales, institucionales y políticos que han influido en la política regional, los dos casos mostraron cómo los dominios electorales desarrollados en Colombia difícilmente pueden considerarse un autoritarismo subnacional y, en términos de Sartori (1970), se estaría estirando ese concepto para aplicarlo a la realidad colombiana.
El concepto de dominio electoral también permite estudiar e identificar el desarrollo de la política regional en las gobernaciones, más allá de las etiquetas partidistas, que en algunos casos muestran un entorno político competitivo y con altos niveles de alternancia. Al centrarse en el estudio de los políticos y sus conexiones, se revela una serie de continuidades políticas y de estructuras dominantes que van cambiando de partido o están presentes de forma diferenciada en los partidos mayoritarios en los departamentos, lo cual muestra que el poder regional es ejercido por sectores muy específicos, y que los procesos de renovación política a través del surgimiento de nuevos actores es la excepción, y no la regla. También se demostró, por medio de los dos casos, que las mencionadas estructuras, más que destruir las instituciones democráticas, se adaptan a ellas para sobrevivir en una relación caracterizada más por la convivencia que por el antagonismo.
En tal sentido, se comparte lo propuesto por Basset et al. (2017), cuando expone que la violencia y las dinámicas de continuidad son insuficientes para argumentar la existencia de un autoritarismo subnacional, por lo que “hace falta un elemento clave sobre el cual Gibson llama correctamente la atención: la relación con el nivel nacional” (p. 79). Una relación que, como se expuso en ambos casos, puede darse de forma exógena, por medio de alianzas, o endógenamente, cuando la estructura política es lo suficientemente fuerte para proyectarse a escala nacional.
El dominio electoral es un fenómeno recurrente en la democracia subnacional en Colombia, y si bien en el presente artículo se exploraron algunos factores que pueden explicar su supervivencia, los factores explorados se centraron en la teoría de la interacción estratégica analizando cómo se conectaban con el Estado nacional, con base en sus congresistas. En posteriores investigaciones se puede indagar sobre la forma como dichas estructuras se relacionan con la burocracia regional y la nacional, así como las interacciones que establecen con las asambleas departamentales, como formas de consolidar su dominio local y regional; también, las implicaciones que los dominios electorales tienen en el desarrollo de la democracia subnacional.

















