SciELO - Scientific Electronic Library Online

 
vol.24 issue42CAN STRUCTURAL CHANGE ACCOMPANY EXOGENOUS GROWTH?IS INSTITUTIONAL EFFICIENCY IN INDEPENDENT CENTRAL BANKING A COMMUNICATIVE MATTER? author indexsubject indexarticles search
Home Pagealphabetic serial listing  

Services on Demand

Journal

Article

Indicators

Related links

Share


Cuadernos de Economía

Print version ISSN 0121-4772On-line version ISSN 2248-4337

Cuad. Econ. vol.24 no.42 Bogotá June 2005

 


INTERACCIONES SOCIALES Y DISTRIBUCIÓN DEL INGRESO


SOCIAL INTERACTION AND INCOME DISTRIBUTION



Gustavo Junca*

* Profesor Asistente de la Facultad de Ciencias Económicas de la Universidad Nacional de Colombia. El autor agradece los comentarios de Sergio Monsalve y Magda Manosalva, y también al programa “Jóvenes Investigadores en Economía” de la Pontificia Universidad Javeriana por la financiación de esta investigación. Cualquier error es responsabilidad única del autor. Enviar los comentarios al correo: gajuncar@unal.edu.co. Artículo recibido el 13 de enero de 2005, aprobada su publicación el 1 de junio.


Resumen
En este artículo utilizamos un mecanismo de interacción social directa –en contraste con las interacciones a través del mercado– para intentar explicar cómo las interacciones sociales afectan las decisiones sobre capital humano de los individuos y su posible impacto sobre la distribución del ingreso.

Palabras claves: interacciones sociales, capital humano. JEL: C69, D31, I20, H41.

Abstract
This article contrasts a direct social interaction mechanism with market interactions in an attempt to explain how social interactions affect decisions concerning individuals’ human capital and their possible impact on income distribution.

Key words: social interaction, human capital. JEL: C69, D31, I20, H41.

Résumé
Dans cet article nous utilisons un mécanisme d´interaction sociale direct -en contraste avec les interactions par l´intermédiaire du marché- pour tenter d´expliquer comment les interactions sociales affectent les décisions sur le capital humain des individus et leur impact possible sur la distribution du revenu.

Mots clés: interaction sociale, capital humain. JEL : C69, D31, I20, H41.


En los trabajos recientes sobre crecimiento endógeno y mercado laboral, el capital humano tiene un papel central. Para las nuevas teorías del crecimiento endógeno, en el modelo de dos sectores de Uzawa (1964) y Lucas (1988), los individuos deciden cuánto tiempo dedican a trabajar y cuánto tiempo dedican a la producción de capital humano (primer sector) mediante procesos de autoaprendizaje. El capital humano junto con el capital físico determinan la producción del bien de consumo en la economía (segundo sector). La principal conclusión del modelo de capital humano es que si la inversión bruta en capital físico y humano es no negativa, entonces la tasa de crecimiento de la producción agregada –incluye la producción de nuevo capital humano– aumentará en la medida en que mayor sea la proporción del capital humano con respecto al capital físico.

Entre los modelos de crecimiento endógeno, el trabajo de Galor y Zeira (1993) resalta el efecto de la inversión en capital humano individual sobre la distribución del ingreso a nivel agregado. Tal estudio muestra que en presencia de imperfecciones en el mercado de crédito, si hay indivisibilidad del capital humano –no convexidad tecnológica– los problemas de distribución del ingreso en el corto plazo persistirán en el largo plazo. En este modelo es claro que la distribución inicial de la riqueza afecta el crecimiento en la medida en que esa distribución inicial determina el porcentaje de individuos que reciben herencias, quienes a su vez tienen mayores posibilidades de invertir en capital humano. Por su parte, los trabajos de Persson y Tambellini (1990) muestran que no sólo existe una correlación positiva entre equidad y nivel de ingreso, sino que a mayor tasa de crecimiento habrá una mejor distribución del ingreso.

En los estudios sobre mercado laboral e inversión en capital humano (Becker 1964), la acumulación de capital humano es entendida como el proceso de entrenamiento y cualificación de la fuerza laboral que afecta la productividad y, por consiguiente, el salario real. La pregunta central allí es quién paga los costos educativos. Cuando los conocimientos adquiridos pueden ser empleados en cualquier proceso productivo (entrenamiento general), entonces el costo educativo es asumido por los trabajadores. Si los conocimientos adquiridos pueden ser utilizados de manera exclusiva en determinado proceso productivo (entrenamiento específico) entonces los costos corren por cuenta del empresario. De otra parte, se supone, exógenamente, salarios diferenciales a partir de la existencia de trabajo calificado y no calificado, de tal manera que los individuos con bajos niveles de educación ofrecerán trabajo no calificado y recibirán salarios menores que aquellos individuos con altos niveles de educación (trabajadores calificados).

En general, las investigaciones dirigidas explicar la relación entre el capital humano y la distribución del ingreso suponen que la decisión de inversión en capital humano por parte de los individuos depende de los ingresos netos esperados, y en menor medida de las habilidades y oportunidades para potenciar la inversión en capital humano.1 Además, los resultados de un aumento de la desigualdad en la distribución del ingreso en los modelos intergeneracionales, dependen de la distribución inicial de la riqueza, y el proceso de decisión individual sobre la inversión en capital humano, se lleva a cabo a través de las interacciones del mercado.2

En el presente artículo utilizamos un mecanismo de interacción social directa –en contraste con las interacciones a través del mercado– para explicar cómo las interacciones sociales afectan las decisiones sobre capital humano de los individuos y su posible impacto sobre la distribución del ingreso. La interacción social directa plantea que los individuos, al tomar sus decisiones, se ven afectados por las decisiones de un grupo de referencia.

Si bien la utilización de los métodos de mecánica estadística en el estudio de fenómenos económicos está en sus inicios, en la actualidad se presenta como un campo de investigación que puede arrojar luces sobre el comportamiento de poblaciones heterogéneas. Fenómenos que aparentemente están desconectados como comportamientos sociales, formación de expectativas, ciclos de negocios y preferencias endógenas, están ligados por la posibilidad de que cada uno esté determinado, al menos parcialmente, por interacciones directas entre los actores económicos. Es decir, las decisiones de unos individuos están fuertemente influenciadas por las decisiones de otros con los cuales interactúa. Esto puede llevar a que, en el agregado, se presenten comportamientos polarizados debidos únicamente a la interdependencia colectiva en la toma de decisiones.

Este trabajo está ordenado de la siguiente manera: primero exponemos el modelo básico en ausencia de mecanismos de cooperación y los determinantes de la estratificación, así como las implicaciones de política. Luego presentamos el modelo para una economía centralizada y analizamos las diferencias con respecto al modelo básico. Y por último planteamos algunas perspectivas de estimación econométrica.

INTERACCIONES SOCIALES EN AUSENCIA DE
MECANISMOS DE COOPERACIÓN

El modelo de interacciones sociales en ausencia de mecanismos de cooperación se basa en el modelo general sobre aplicaciones de la Mecánica Estadística (Palmer 1988) al comportamiento socioeconómico propuesto por Manosalva (1997) y Manosalva y Monsalve (1997). En el presente artículo observamos el proceso de decisión sobre capital humano bajo dos tipos de interacciones sociales: las interacciones de cada individuo con los demás agentes que llamaremos ‘interacciones sociales’ propiamente dichas, y las interacciones entre cada individuo y el gobierno que llamaremos ‘interacciones del gobierno’. A diferencia del modelo de Bénabou (1994) sobre educación, distribución del ingreso y crecimiento, donde se introducen interacciones sociales en un modelo de generaciones traslapadas, nuestro modelo utilizará las técnicas de la mecánica estadística como herramienta de análisis.

Modelo básico

Supongamos una economía en la que existen m agentes cuya decisión individual en presencia de interacciones sociales es un problema de elección binaria que consiste en escoger un nivel de formación en capital humano. Estos niveles de capital humano están dados por y donde . La realización de los niveles de capital humano se indicarán así: 1 º elegir el nivel de capital humano , -1 º elegir el nivel de capital humano . Así, el espacio de todas las posibles acciones de los agentes estará conformado por las m-tuplas . De igual forma, denotamos la elección de todos los agentes distintos del i-ésimo agente como .

En dicha economía, además de los m agentes, existe un planeador central o gobierno cuya decisión es también un problema de elección binaria que consiste en escoger un nivel de gasto en educación. Estos niveles de gasto en educación están dados por ga y gb donde ga > gb. La realización de los niveles de gasto en educación se indicarán así: 1 º el gobierno elige gastar en educación al nivel ga; -1 º el gobierno elige gastar en educación al nivel gb.

Definición 1: una función (binaria) de utilidad individual estocástica con interacciones sociales es aquella donde cada individuo i, al hacer su elección hi en el tiempo t deriva su beneficio de la utilidad privada ut(hi), de la utilidad social y de un término de utilidad aleatorio . Así:

[1]

donde es la expectativa del individuo i con respecto a las decisiones de los demás agentes, ge(t) es la expectativa del individuo i con respecto al gasto del gobierno3 (que asumimos común a todos los individuos) y es un término de utilidad aleatorio.

En este modelo supondremos que la función de utilidad individual es aditivamente separable:

[2]

donde es la parte de la utilidad social que captura las interacciones entre el individuo y los demás agentes, mientras que es la parte de la utilidad social que captura las interacciones entre cada individuo y el gobierno.

En ausencia de interacciones sociales –como en la teoría de los mercados competitivos perfectos– la utilidad individual sólo dependería de la utilidad privada ut(h)i y del término de utilidad aleatorio asociado con la decisión individual . En nuestra economía existen, entonces, dos tipos de interacciones sociales que afectan el comportamiento individual: las que se derivan de las decisiones esperadas sobre capital humano de los otros individuos y las que se derivan de las decisiones esperadas del gobierno sobre el gasto en educación per cápita . Dichas interacciones sociales afectan las decisiones individuales. Tenemos así que dada la función de utilidad privada o dados los fundamentos económicos es necesario especificar la utilidad social y el término aleatorio.

La utilidad social

Como sabemos, el término captura la expectativa que el agente i-ésimo tiene sobre las elecciones de los demás agentes en el momento de hacer su propia elección. Por su parte, el término ge(t) representa la expectativa común que tienen los individuos sobre la decisión del gobierno en gasto en educación per cápita.

Nos interesan funciones de utilidad social que presenten complementariedades estratégicas4 en el sentido definido por Bryant (1983), Cooper y John (1988) y Diamond (1982). Por lo tanto, suponemos que las utilidades sociales son funciones de la forma:

[3]


[4]

con:

[5]

donde Et corresponde a la esperanza matemática en el tiempo t, y es un vector que representa las características, en el tiempo t, de la población a la que pertenecen los m agentes.

Las parametrizaciones [3] y [4] de la utilidad social bajo ‘externalidades proporcionales’5 implican para la existencia de complementariedades estratégicas, que:

i) si y sólo si hi y tienen el mismo signo, lo que significa que la acción individual del i-ésimo agente (hi) debe ajustarse al nivel medio de decisión de la sociedad o del grupo al que pertenece ( ) en el tiempo t, pues en caso contrario el agente será penalizado ( ).

ii) Lo anterior también resulta válido en el caso de las interacciones con respecto al gobierno, de manera que si y sólo si hi y gi(t) tienen el mismo signo, lo que significa que la acción individual del i-ésimo agente (hi) se ajusta al nivel de gasto per cápita en educación que lleva a cabo el gobierno (gi(t)) en el tiempo t. En caso contrario, el agente será penalizado (). Más concretamente, el agente escogerá el nivel alto de educación , si el gobierno escoge el nivel alto de inversión ga, y escogerá el nivel bajo de educación , si el gobierno escoge el nivel bajo de inversión gb.

Como en el modelo de Manosalva (1997) y Manosalva y Monsalve (1997), el parámetro se interpreta como ‘el nivel de interacciones sociales’. Por su parte, captura el efecto de la complementariedad estratégica entre las acciones individuales hi y la acción del gobierno ge(t).

El término aleatorio: un aporte de la mecánica estadística

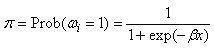
El término aleatorio asociado a hi es independiente e idénticamente distribuido (i.i.d.) a través de los agentes y le da el carácter estocástico a la función de utilidad. Además, supondremos que, por estar en un problema de elección binaria en el tiempo t donde los errores et y et son i.i.d., la densidad de probabilidad está determinada paramétricamente por la distribución logística estándar:

[6]

donde: y

Para efectos de nuestro modelo, Xt busca capturar las características heterogéneas de una población. Esta elección paramétrica implica, además, la maximización de la función de utilidad [2]. La distribución logística estándar pertenece a la familia de las distribuciones de Gibbs que son muy utilizadas para procesos espaciales que poseen un sistema dado de distribuciones de probabilidad condicional. Este tipo de distribuciones son comunes en el estudio de sistemas compuestos por un gran número de elementos que interactúan. En el caso particular de la Mecánica Estadística, el problema básico surge en relación con los determinantes de la magnetización de la materia. Se tiene así que un cuerpo está magnetizado cuando la mayoría de los átomos comparten un spin común, lo que a primera vista pareciera una condición difícil de cumplir. Sin embargo, si la probabilidad de que un átomo tenga un spin particular es función de los spines de los átomos que lo rodean, la posibilidad de interdependencia entre ellos hace del magnetismo algo posible.

Comportamiento económico y decisiones individuales

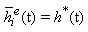
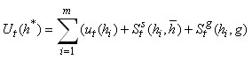
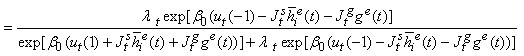
De acuerdo con nuestro modelo básico: ¿cómo toman los agentes sus decisiones? ¿cuál es la probabilidad de que un individuo decida escoger un determinado nivel de formación en capital humano? Bajo nuestras hipótesis el i-ésimo agente prefiere hi =1 en el período t (es decir escoger ha), si y sólo si:

Luego, la probabilidad de que el agente i-ésimo elija la acción hi = ha está dada por:

 


 

Es decir:

[7]

Y tenemos que la probabilidad de que el agente i-ésimo elija la acción hb está dada por:

[8]

 

Solución del modelo bajo tomas de decisión no cooperativas

Una vez establecido el modelo básico, nos concentraremos en los estados de equilibrio que surgen en un ambiente de decisiones no cooperativas, es decir, los agentes no se comunican ni coordinan sus decisiones. Tenemos así que los agentes toman sus decisiones dada la expectativa de la media de elección, que a su vez es independiente de las realizaciones de .

Finalmente, para determinar los estados de equilibrio haremos tres supuestos simplificadores. En primer lugar, introducimos la hipótesis de expectativas homogéneas:

( i)

(h*(t) fijo "i )

[9]

y escribimos, sólo por notación:6

[10]

de manera que cada individuo tenga la misma expectativa sobre el comportamiento de la economía. Esta hipótesis simplifica notablemente el tratamiento. Sin embargo, el suponer que sigue un comportamiento aleatorio implicaría el uso de técnicas matemáticas más sofisticadas. En particular, el suponer expectativas heterogéneas podría dar origen a dinámicas más complicadas e interesantes, lo que constituye un problema de investigación futura.

En segundo lugar, como el problema abordado es de decisión binaria, podemos expresar la función de utilidad privada como una función lineal . Es fácil mostrar que et es un parámetro proporcional a la diferencia de las utilidades privadas determinísticas cuando los individuos deciden sobre los dos niveles de capital humano, es decir:

[11]

Por tanto, la probabilidad de que el individuo i elija un nivel de capital humano hi puede escribirse como:

[12]

con y y .

De acuerdo con el supuesto de expectativas fijas, el valor esperado de cada una de estas variables aleatorias será:

[13]

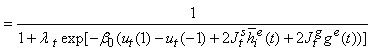
Finalmente, de la condición paramétrica [5], tenemos este sistema dinámico:

[14]

Obtenemos así, la ecuación básica del modelo, la cual resume toda la información pertinente del proceso aquí considerado y abre múltiples caminos de investigación. Para el análisis de dicha ecuación fundamental nos concentrarnos en cierto tipo de racionalidad acotada7 que nos conduce a algunas conclusiones interesantes.

Con ese propósito, aquí propondremos los siguientes supuestos:

[15]

[16]

[17]

[18]

Es decir, el nivel de interacciones sociales (Jts) y el nivel de interacciones del gobierno (Jtg) son constantes intratemporalmente. La población de estudio tiene características constantes a través del tiempo (l) y la diferencia de las utilidades privadas determinísticas et no cambia en el tiempo.

Así, el sistema dinámico [14] es:

[19]

Determinantes de la estratificación

Bénabou (1994) en su trabajo sobre acumulación de capital humano y formación de comunidades por familias heterogéneas prueba que pequeñas diferencias en educación, preferencias o riqueza conllevan altos grados de estratificación. El modelo aquí presentado muestra que las decisiones individuales sobre nivel de formación en capital humano producen estratificación, y que es independiente del nivel de riqueza inicial de los individuos.

Definición 2: decimos que los agentes de una comunidad están estratificados si sus decisiones sobre el nivel de formación en capital humano tienden a agruparlos en ‘vecindades’ diferentes. Es decir, una ‘vecindad’ tiene un nivel de capital humano dado (hi) si la mayoría de sus miembros tienen dicho nivel de formación.

Proposición 1: existe al menos una media de elección h* (vecindad) tal que:

[20]

Prueba: ver Manosalva y Monsalve (1997).

Proposición 2: estratificación bajo no cooperación y sin interacciones del gobierno
En ausencia de mecanismos de cooperación y de interacciones del gobierno (Jg = 0), la existencia de complementariedades entre las decisiones individuales y las decisiones de los demás agentes es una condición necesaria para que exista estratificación, y ésta es independiente del nivel de riqueza inicial.

Prueba: debido a la estabilidad estructural de [20] sin pérdida de generalidad suponemos l = 1, de manera que el término de la derecha de [20] corresponde a la función tangente hiperbólica . A partir de las propiedades de dicha función, podemos caracterizar los múltiples equilibrios de la ecuación de la siguiente manera:

i) Si > 1 y e = 0, entonces existen tres raíces distintas: una positiva, una negativa y otra nula.
ii) Si y e = 0, la única raíz de equilibrio es h* = 0.
iii) Si > 1 y e ¹ 0, existe un número T (que depende de ) tal que,
a) Si b0 ï e ï < T, existen tres raíces, una de las cuales tiene el mismo signo que e y las otras dos poseen signos opuestos.
b) Si b0 ï e ï > T, sólo existe una raíz y tiene el mismo signo que e.
c) Si b0 ï e ï = T, existen dos raíces con signos opuestos. Este caso difícilmente sucede.
iv) Si = 1 y e ¹ 0, existen dos raíces con signos opuestos. Este caso difícilmente ocurre.
v) Si < 1 y e ¹ 0, sólo existe una raíz y tiene el mismo signo de e.

Finalmente, el proceso de estratificación es independiente del nivel de riqueza en la medida en que no depende del ingreso inicial de los individuos: todos los individuos pueden tener igual nivel de riqueza inicial. Además, es independiente del ingreso que reciben de acuerdo con el nivel de educación escogido: el proceso de estratificación es el que determina los distintos niveles de educación alcanzados por los individuos.

La proposición 2 nos permite asignar a cada una de las raíces de la ecuación un tipo de vecindad que resulta en un proceso de estratificación:

: si la mayoría de sus miembros tiene un nivel de formación donde
: si la mayoría de sus miembros tiene un nivel de formación donde
: si el nivel de formación de la vecindad está entre ha y hb

Proposición 3: cómo las interacciones del gobierno y el gasto en educación afectan la estratificación anterior. En ausencia de mecanismos de cooperación, si existen pequeñas interacciones con el gobierno, pequeño, es decir que las decisiones del gobierno sobre gasto en educación no afectan de manera considerable las decisiones individuales sobre capital humano, tenemos que el gasto en educación por parte del gobierno afecta los niveles de estratificación, pero no el tipo de estratificación.

Prueba: con λ = 1 y , las soluciones de equilibrio corresponden a las raíces de la ecuación con . La acción gubernamental a través de inversión en educación determina vecindades con características distintas a las encontradas en la proposición 2, siguiendo este resultado y remplazando e por obtenemos lo siguiente:

i) Si > 1 y , existe un número T (que depende ) tal que,
a) si < T, existen tres raíces, una de las cuales tiene el mismo signo de y las otras dos poseen signos opuestos.
b) si > T, sólo existe una raíz y tiene el mismo signo de .
ii) Si < 1, y , sólo existe una raíz y tiene el mismo signo de .

La gráfica 1 muestra que las interacciones con el gobierno afectan el proceso de estratificación. Allí, las gráficas 1.1 y 1.3 corresponden a los procesos de estratificación que surgen cuando la diferencia promedio de las utilidades es cero, e = 0, y sólo hay interacciones sociales (proposición 2). Las interacciones con el gobierno conllevan a un proceso de estratificación como el que se muestra en las gráficas 1.2 ó 1.4 (proposición 3). Es claro que al pasar de la gráfica 1.1 a la 1.2 no se afecta el número de equilibrios y tampoco el tipo de estratificación. Sin embargo, los niveles de estratificación sí resultan afectados. La misma conclusión se saca al pasar de la gráfica 1.3 a la 1.4.

GRÁFICA 1
ESTRATIFICACIÓN BAJO INTERACCIONES DEL GOBIERNO

Como vemos, no es la cantidad invertida en educación la que determina la estratificación, sino la coincidencia de voluntades, es decir, la coordinación entre los agentes y el gobierno. Sin embargo, como veremos más adelante, las cantidades invertidas influyen en el nivel paretiano de bienestar. Entonces, la dinámica alrededor de los niveles de capital humano estacionarios dados por las vecindades B(ha), B(hb) y B() tiene el siguiente comportamiento:

Proposición 4: dinámica de la estratificación,

i. Si existe una sola vecindad, ésta debe ser estable.
ii. Si existen tres vecindades, las vecindades B(ha) y B(hb) son estables, mientras que la vecindad B() es inestable.
iii. Si existen dos vecindades dadas por B(ha) y B(hb) entonces ambas son estables.

Prueba: ver Manosalva (1997).

Utilidad esperada y bienestar social

Por último, el análisis de la utilidad esperada bajo los dos tipos de equilibrio, dada la simetría de las preferencias, permite evaluar el bienestar social para las vecindades B(ha) y B(hb) que resultan del proceso de estratificación. Comparamos así:

con:

Proposición 5: bienestar sin interacciones con el gobierno. En ausencia de mecanismos de cooperación y de interacciones del gobierno (Jg=0),

i. Si e > 0 [<0], entonces el equilibrio asociado con la vecindad B(ha) [ B(hb)] tiene un nivel más alto de utilidad esperada que el equilibrio asociado con la vecindad B(hb) [B(ha)].
ii. Si e = 0, el equilibrio asociado a la vecindad B(ha) y el equilibrio asociado a la vecindad B(hb) tiene iguales niveles de utilidad esperada.

Prueba: ver Manosalva (1997).

Proposición 6: bienestar bajo interacciones del gobierno. En ausencia de mecanismos de cooperación, si existen pequeñas interacciones con el gobierno (),

i. Si >0 [<0],8 entonces el equilibrio asociado con la vecindad B(ha) [ B(hb)] tiene un nivel más alto de utilidad esperada que el equilibrio asociado con la vecindad B(hb) [B(ha)].
ii. Si = 09, el equilibrio asociado a la vecindad B(ha) y el equilibrio asociado a la vecindad B(hb) tiene iguales niveles de utilidad esperada.

Prueba: se sigue de manera inmediata de la proposición 5.

Al igual que en el modelo de Manosalva (1997), tenemos que el equilibrio en el que el signo de es el mismo que el signo del nivel medio de elección, produce una utilidad promedio más alta que el equilibrio en el que los signos son opuestos. Esto explica la existencia de comportamientos que son colectivamente indeseables, pero que son óptimos individualmente aun en presencia de interacciones con el gobierno.

Política económica y bienestar social

Inicialmente analizaremos el bienestar en ausencia de mecanismos de cooperación y sin interacciones del gobierno. Luego miraremos el impacto de la política económica sobre el bienestar.

Proposición 7: el nivel de bienestar es independiente del nivel de interacciones sociales. En ausencia de mecanismos de cooperación y de interacciones del gobierno, si los individuos son indiferentes entre un nivel de educación alto o un nivel de educación bajo (es decir e = 0), entonces el nivel de bienestar para cada vecindad es el mismo y es independiente del nivel de interacciones sociales.

Prueba: se sigue de manera inmediata de las proposiciones 2 y 5.

Proposición 8: existencia de un ranking de Pareto. En ausencia de mecanismos de cooperación y de interacciones del gobierno, si los individuos no son indiferentes entre los dos tipos de capital humano existentes, es decir e ¹ 0, y si el nivel de interacciones sociales es ‘alto’, es decir > 1, entonces las vecindades10 que resultan del proceso de estratificación tienen un ranking de Pareto11 en tanto se pueden ordenar de mayor a menor en el sentido de optimalidad paretiano.

Prueba: se sigue de manera inmediata de las proposiciones 2 y 5.

Proposición 9: la coincidencia de voluntades o coordinación sin ambigüedad mejora el bienestar económico. En ausencia de mecanismos de cooperación y bajo interacciones del gobierno, si existe coincidencia de voluntades, es decir, un gasto alto del gobierno en educación coincide con un nivel de capital humano alto por parte de los individuos, mejora el bienestar, y ésta mejora es independiente del nivel de interacciones sociales.

Prueba: se sigue de manera inmediata de las proposiciones 3 y 6.

Proposición 10: el bienestar depende del proceso de estratificación. El nivel de bienestar depende del proceso de estratificación, y no de si el nivel promedio de formación en capital humano alcanzado por las vecindades es alto o bajo.

Prueba: la prueba de esto es inmediata, en la medida en que estamos midiendo el bienestar a partir de las utilidades esperadas. Independiente de la existencia de interacciones con el gobierno, las vecindades que resultan del proceso de estratificación pueden alcanzar un bienestar más alto, en el sentido de Pareto, con un nivel de capital humano bajo.

INTERACCIONES SOCIALES BAJO MECANISMOS DE COOPERACIÓN

En esta sección introducimos el problema del planeador central benevolente en economías grandes, es decir, con un número grande de agentes, y con externalidades proporcionales. Esto consiste en encontrar la medida de probabilidad que surge cuando se asigna, de manera conjunta, a cada agente la elección que maximiza su función de utilidad dentro del conjunto de elecciones individuales posibles.

El problema del planeador central

Definición 3: una función de utilidad estocástica del planeador central con interacciones sociales es aquélla donde el planeador benevolente, al asignar las elecciones de los m individuos sobre capital humano hi en el tiempo t deriva su beneficio de un componente determinístico Ut(h*) y de un término de utilidad aleatorio et(h*):

[21]

donde:

,

Aquí supondremos que el componente determinístico es igual a la suma de las componentes determinísticas de las utilidades individuales de los m agentes:

[22]

donde:

Al igual que en el caso descentralizado, la decisión del planeador central es también un problema de elección binaria que consiste en escoger un nivel de gasto en educación g Î {-1, 1]. Estos niveles de gasto en educación están dados por ga y gb donde ga > gb. La realización de los niveles de gasto en educación se indicarán así: el gobierno elige gastar en educación al nivel ga, -1 º el gobierno elige gastar en educación al nivel gb.

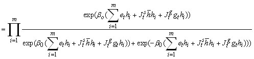
A partir de [21] y [22] se obtiene:

[23]

donde y g en las funciones de utilidad social indican que el planeador central en cada tiempo t internaliza las externalidades derivadas de las interacciones sociales entre los individuos inducidos por el nivel de elección media, como también las interacciones entre los individuos y el gobierno.

Al igual que en el modelo bajo decisiones no cooperativas, la función de utilidad social que captura las interacciones sociales, presentará externalidades proporcionales. Asumiremos también que los {hi} son distribuidos idéntica e independientemente.

Las preguntas centrales en el modelo centralizado o cooperativo son: ¿cómo toma el gobierno sus decisiones? ¿cuál es la probabilidad de que el gobierno decida asignar un determinado nivel de formación en capital humano a cada individuo?

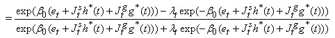
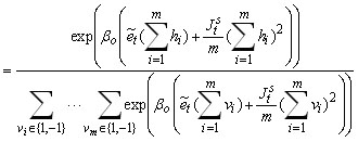
Bajo externalidades proporcionales y ?t suficientemente cercano a 1, el planeador central asignará a la elección conjunta h* la probabilidad:

[24]

donde:

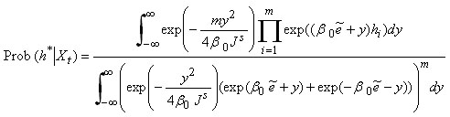
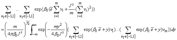
Con el fin de analizar esta medida, que se conoce como el Modelo de Curie-Weiss en la mecánica estadística, es conveniente eliminar los términos cuadráticos de [24].

Siguiendo a (Brock 1993)12 obtenemos:

[25]

con:

[26]

Notemos que sólo depende de

Proposición 11: convergencia no uniforme de K(m, y) cuando el número de agentes (m) crece.
para todo m, y además K(m, y) se comporta, asintóticamente, como una función Delta de Dirac, es decir:

donde

Prueba:

i) Es claro que puesto que al integrar en (26), las expresiones del numerador y el denominador resultan iguales.
ii) Si se tiene que .
iii) Como K(m, y) con m fijo, está determinada únicamente por el numerador de [26], y* se calcula por:

es decir:

Diferenciando y ordenando términos obtenemos que y* es una solución de:

Proposición 12: si y entonces existe al menos una media de elección para el planeador central benevolente, es decir .

Prueba: es inmediata a partir de la proposición 11.

La solución cooperativa y no cooperativa bajo externalidades proporcionales

Tenemos que bajo el planeador central o la solución cooperativa se alcanza una media de elección social mayor que bajo la solución no cooperativa. La razón es que el planeador central internaliza el total de externalidades que surgen de las interacciones sociales, mientras que los agentes actuando no cooperativamente ignoran la mitad del total de externalidades inducidas por las decisiones individuales. Es decir, si bien las externalidades de los demás individuos afectan el comportamiento del individuo i, este parece no tener en cuenta las externalidades inducidas por su propio comportamiento.

Proposición 13: el nivel de escogencia promedio de equilibrio bajo el planeador central puede ser alcanzado bajo la solución no cooperativa, si los signos de las medias son preservados y se duplica el nivel de interacciones sociales (Js).

Prueba: es inmediata: Si partimos de la solución no cooperativa, la solución de equilibrio corresponde a la función tangente hiperbólica: con . Manteniendo constante y duplicando Js obtenemos la solución de equilibrio que es la media de elección de equilibrio alcanzada por el planeador central.

CONCLUSIONES

La distribución del ingreso y el crecimiento económico

En el modelo presentado, las interacciones sociales (entre los individuos, y entre éstos y el gobierno) conllevan a un proceso de estratificación que agrupa a los individuos en vecindades B(ha), B(hb) y B(), y de acuerdo con sus decisiones individuales sobre capital humano (alto o bajo). A su vez, el proceso de estratificación conlleva una distribución del ingreso para cada vecindad y para la economía en su conjunto, en la medida en que el ingreso individual depende del nivel de formación en capital humano que maximiza la función de utilidad individual.

Definición: el ingreso individual es una función de valor real definida sobre el espacio medible13 (H, H) de los niveles de capital humano (alto o bajo) que maximiza la función de utilidad individual:

[27]

Supondremos, por simplicidad, que dicha función es continua y creciente de acuerdo con el nivel de formación en capital humano14 y que es posible ordenar a los agentes de acuerdo con su ingreso, como se muestra en la gráfica 2. De manera que la distribución del ingreso para cada vecindad estará dada por la integral:

[28]

GRÁFICA 2
INGRESO INDIVIDUAL DE LA VECINDAD
B()

En el caso más simple, a cada nivel de capital humano (alto o bajo) le hacemos corresponder un nivel de ingreso (alto o bajo). Tendremos que el nivel de ingreso promedio de la vecindad B(ha) será mayor que el ingreso promedio de la vecindad B(hb). A diferencia de Bénabou (1994) donde el proceso de estratificación depende de la distribución inicial de la riqueza, en nuestro modelo la estratificación determina la distribución del ingreso. Faltaría analizar el efecto que tiene la estratificación sobre el crecimiento económico y sobre la convergencia regional o entre países.

Uno de los resultados importantes del modelo es que las interacciones de los individuos con el gobierno en general, y la coincidencia de voluntades en particular, afectan los niveles de estratificación y, por consiguiente, tendrán efectos sobre la distribución del ingreso.

En lo referente al bienestar económico, el primer resultado importante es que la coincidencia de voluntades contribuye a su mejora. Una sociedad donde los individuos prefieran, en promedio, un nivel de capital humano alto y a su vez el gobierno lleve a cabo un gasto en educación alto, la sociedad en su conjunto logrará un bienestar mayor. El segundo resultado importante es que el nivel de bienestar que surge del proceso de estratificación es independiente del nivel de capital humano alcanzado. Así, por ejemplo, una sociedad de agricultores con algunos individuos altamente calificados puede alcanzar un bienestar máximo.

Del análisis de la solución cooperativa y no cooperativa tenemos que, en la primera, el planeador central alcanza una media de elección social mayor debido a que internaliza el total de externalidades que surgen de las interacciones sociales, mientras que los agentes al actuar de manera no cooperativa ignoran la mitad del total de externalidades inducidas por las decisiones individuales.

Interacciones sociales y estimación econométrica

Es importante mencionar las posibilidades de aplicación econométrica como el que hemos estudiado que se conocen como Modelos de respuesta cualitativa (Amemiya 1985 y Green 1993). El modelo presentado introduce una forma especializada de interacción social dentro del modelo logístico binario estándar, que corresponde a un modelo de respuesta cualitativa de datos panel. Este esquema nos permitirá adaptar resultados de la Estadística Mecánica para obtener una Ley de grandes números y un Teorema de límite central. Una vez que estos sean desarrollados será posible diseñar criterios sobre la existencia de interacciones sociales en los datos.

Si se supone que no existe correlación a través del tiempo para cada individuo, ni correlación entre los individuos (corte transversal), la estimación se reduce a la de un modelo logístico binario estándar a través del cual se puede estimar b0 de la ecuación [6].

En caso contrario, debemos estimar un modelo de datos de panel con un número adecuado de observaciones en cada ‘celda’ para ser capaces de determinar la presencia de interacciones sociales –y/o la presencia de heterogeneidad correlacionada no tenida en cuenta– solamente corriendo ciertas regresiones y haciendo una prueba de diagnóstico de la dependencia de los residuos de regresión.

Como es claro, los rechazos de las distintas hipótesis nulas de no interacciones sociales que se exploren no implican que hay interacciones sociales y, entonces, que tampoco hayan multiplicadores sociales que puedan ser elemento de discusión de políticas sociales. Aquí, las pruebas de independencia que se diseñen tienen un alto poder con respecto a una forma particular de interacciones sociales.

Por la Ley de los grandes números y el Teorema del límite central tenemos que:

entonces:

[29]

El término H(bJ) le adiciona un elemento no lineal a cuando J = 0. Así podemos utilizar pruebas de no linealidad para probar . Por supuesto, si rechazamos H0 esto se puede explicar por otras causas tales como:

i) No linealidad no tenida en cuenta (la función de regresión de no es lineal en X*).
ii) Heterogeneidad no considerada (hay una ‘mezcla de tipos’ que tienen las mismas características observadas X*, pero cada uno tiene una función de regresión diferente).
iii) Efectos dinámicos no considerados (Heckman y Willis 1977).
iv) Características no observadas (un vector de características extras no contenidas en X*, que entran en la función de regresión de , pero que no fueron observadas por el econometrista.
v) Otros efectos sociológicos (Manski 1993).

Por lo tanto, la sola no linealidad no da la certeza de la existencia de interacciones sociales. El término de la derecha de [29] que se asumía lineal sin la presencia de interacciones sociales (es decir J = 0) pudo haber estado equivocado. Puede, en realidad, ser no lineal sin la presencia de interacciones sociales.

La presencia de multifurcaciones (thresholds) es mejor evidencia de la presencia de interacciones sociales que la simple no linealidad. Es posible tratar de encontrar evidencia de multifurcaciones al determinar que la función de regresión de es no lineal en X* (en población) llamémoslo H(X*). Así, podemos estimar el T (ver proposiciones 2 y 3) mediante cualquier método de regresión consistente y verificar o negar la presencia de multifurcaciones.

Como vimos en las proposiciones 2 y 3, si bJ >0 implica un salto discontinuo de cuando ¹ 0. Este resultado es independiente de cómo depende del vector de características, X*. Así que, de acuerdo con los resultados de la regresión, la evidencia consistente con la aparición de multifurcaciones es evidencia consistente de J > 0. De manera que si las otras causas de rechazo de hipótesis son continuas en X*, la evidencia de discontinuidad de en X* es buena evidencia de la presencia de interacciones sociales.

De otra parte, si hay heterogeneidad en la forma de características no observadas y se está dispuesto a asumir el conocimiento de su distribución, entonces uno podría, en principio, generalizar el desarrollo de arriba, integrando sobre la función de distribución de estas características no observadas. La integración sobre una distribución continua de tales características no observadas puede ‘disfrazar’ la presencia de las multifurcaciones presentes y hacer difícil su detección.

Si bien la estimación de las interacciones sociales es aún un trabajo de frontera, bajo ciertos supuestos explícitos se podrían llevar a cabo estimaciones no paramétricas que nos permitieran determinar las probabilidades para rangos de interacciones sociales, así como el diseño de hipótesis sobre la existencia o no de interacciones sociales.

ANEXO

Identidad para eliminar términos cuadráticos (Brock 1993)

A partir de la identidad:

R

[A1]

y substituyendo a por tendremos:

[A2]

Utilizando el cambio de variable , es entonces el caso que:

[A3]

Sumando esta expresión sobre todas las posibles realizaciones de obtenemos:

[A4]

Sin embargo, como:

[A5]

entonces:

[A6]

o bien:

[A7]

con:

[A8]


NOTAS AL PIE

1. Para Becker (1964) lo que cuenta son las oportunidades.

2. En Arrow (1963) los métodos sobre escogencia social pueden ser dados por la costumbre, la autoridad y el consenso. Este último hace referencia a la escogencia social a través de la votación o a través de las interacciones del mercado. Ver también Greif (1994).

3. Aunque una definición general no incluiría al gobierno, para los resultados presentados el gasto del gobierno juega un papel central.

4. Es decir, el efecto que puede tener la media de elección de un grupo de referencia sobre una escogencia individual.

5. Manosalva (1997) plantea una función de utilidad social con efectos de conformidad pura que también presenta complementariedades estratégicas.

6. Al principio supusimos que los agentes tenían expectativas comunes con respecto al gasto del gobierno.

7. Manosalva y Monsalve (1997) sostienen que asumir otro tipo de racionalidad acotada implica abrir un nuevo espacio de análisis.

8. Bajo interacciones con el gobierno, tenemos que > 0 cuando: e-Jgg > 0, -e-Jgg > 0, e-Jgg > 0. De igual manera < 0 cuando e-Jgg < 0, -e-Jgg < 0, e-Jgg < 0.

9. Bajo interacciones con el gobierno, tenemos que = 0 solamente cuando e = Jgg.

10. Si sólo existe una vecindad, ésta es óptima en el sentido de Pareto.

11. Ver Cooper y John (1988), Durlauf (1992, 1993), Manosalva (1997), Jovanovic (1979) y Woodford (1991).

12. Ver el Anexo: identidad para eliminar términos cuadráticos.

13. Para un tratamiento formal ver Bartle (1966).

14. Es posible suponer que dicha función sea independiente del tipo de capital, es decir que un individuo con un nivel de capital humano bajo puede tener un ingreso mayor que otro individuo cuyo nivel de capital humano es alto.


REFERENCIAS BIBLIOGRÁFICAS

1. Amemiya, T. Advanced Econometrics. Cambridge: Harvard University Press (1985).        [ Links ]

2. Arrow, K. Social Choice and Individual Values. London: Yale University Press (1963).        [ Links ]

3. Arthur, B. Self-reinforcing mechanisms in economics. In The Economy as an Evolving Complex System (pp. 9-31). SFI Studies in the Sciences of Complexity. Addison-Wesley Publish Company (1988).        [ Links ]

4. Bartle, R. The Elements of Integration. John Wiley and Sons, Inc (1966).        [ Links ]

5. Becker, G. Human Capital: A Theoretical and Empirical Analysis with Special Reference to Education. New York: Columbia University Press (1964).        [ Links ]

6. Becker, G. and Tomes, N. An equilibrium theory of the distribution of income and intergenerational mobility. Journal of Political Economy, 87: 1153-1189 (1979).        [ Links ]

7. Bénabou, R. Education, income distribution, and growth: the local connection. NBER Working Paper, n. 4798 (1994).        [ Links ]

8. Bryant, J. A simple rational-expectations Keynes-type model. In New Keynesian Economics, 1991, v. 2: 25-29 (1983).        [ Links ]

9. Brock, W. Pathways to randomness in the economy: emergent nonlinearity and chaos in economics and finance. Estudios Económicos, 8(1): 3-55 (1993).        [ Links ]

10. Cooper, R. and John, A. Coordinating coordination failures in Keynesian models. In New Keynesian Economics, 1991, v. 2: 3-24 (1988).        [ Links ]

11. Diamond, P. Aggregate-demand management in search equilibrium. In New Keynesian Economics, 1991, v. 2: 31-45 (1982).        [ Links ]

12. Durlauf, S. A theory of persistent income inequality. NBER Working Paper, n. 4056 (1992).        [ Links ]

13. Durlauf, S. Nonergodic economic growth. Review of Economic Studies, 60: 349-366 (1993).        [ Links ]

14. Galor, O. and Zeira, J. Income distribution and macroeconomics. Review of Economic Studies, 60: 35-52 (1993).        [ Links ]

15. Green, W. Econometric Analysis. Prentice-Hall. Englewood Cliffs (1993).        [ Links ]

16. Greif, A. Cultural beliefs and the organization of society: a historical and theoretical reflection on collectivism and individualist societies. Journal of Political Economy, 102: 912-950 (1994).        [ Links ]

17. Jovanovic, B. Job matching and the theory of turnover. Journal of Political Economy, 87: 972-990 (1979).        [ Links ]

18. Lucas, R. Jr. On the mechanics of development planning. Journal of Monetary Economics, 22: 3-42 (1988).        [ Links ]

19. Manosalva, M. Interacciones sociales y comportamiento económico. Un modelo matemático. Tesis de Magister. Universidad Nacional de Colombia (1997).        [ Links ]

20. Manski, C. Identification Problems in the Social Sciences. Cambridge, Massachussets: Harvard University Press (1993).        [ Links ]

21. Monsalve, S. y Manosalva, M. Aproximaciones de la mecánica estadística al estudio del comportamiento socioeconómico. Mimeo (1997).        [ Links ]

22. Palmer, R. Statistical mechanics approaches to complex optimization problems. The Economy as an Evolving Complex System (pp. 177-241). SFI Studies in the Sciences of Complexity. Addison-Wesley Publish Company (1988).        [ Links ]

23. Persson y Tambellini. Is inequality harmful for growth? American Economic Review, 84: 600-621 (1990).        [ Links ]

24. Uzawa, H. Optimal growth in a two-sector model of capital accumulation. Review of Economic Studies, 31: 1-24 (1964).        [ Links ]

25. Woodford, M. Self-fulfiling expectations and fluctuations in aggregate demand. In New Keynesian Economics, 1991, v. 2: 77-110 (1991).        [ Links ]

Creative Commons License All the contents of this journal, except where otherwise noted, is licensed under a Creative Commons Attribution License