Services on Demand
Journal
Article
Indicators
-
Cited by SciELO -
Access statistics
Related links
Cited by Google -
Similars in
SciELO
Similars in Google
Share
Cuadernos de Economía
Print version ISSN 0121-4772On-line version ISSN 2248-4337
Cuad. Econ. vol.25 no.44 Bogotá June 2006
¿HAY RESTRICCIÓN EXTERNA DEL CRECIMIENTO EN COLOMBIA DE 1925 A 2000?
Raquel Velasco *
* Economista de la Universidad Nacional de Colombia, Magíster en Economía Internacional y Regulación de la Universidad de París 13 Francia. Este artículo es una síntesis de la tesis de maestría. La autora agradece los comentarios de Pascal Petit, José Guillermo García, Mario García y Yanod Márquez. Enviar los comentarios al correo: raquelvelascoch@gmail.com . Artículo recibido el 1 de marzo de 2006, aprobada su publicación el 1 de junio.
Resumen
Con base en el modelo de crecimiento económico restringido por la balanza de pagos se busca comprobar la validez empírica de la regla simple en Colombia en el período 1925-2000. Dado que no se encuentra una relación estable de largo plazo, o vector de cointegración, entre el PIB y las exportaciones para este período, se analizan las hipótesis simplificadoras de la regla simple y se muestran las posibles prolongaciones del modelo. Por último se abren nuevas hipótesis de investigación, a partir de la existencia de una ruptura estructural en la economía colombiana a mediados de la década del setenta, como lo plantean otros estudios que en una perspectiva de largo plazo analizan el avance de la industrialización y la evolución de la productividad.
Palabras claves: modelos keynesianos, ley de Thirlwall, comercio exterior. JEL: C32, E12, F43, O11.
Abstract
Based on the balance-of-payments constrained economic growth model, the empirical validity of the simple rule in Colombia in the 1925-2000 period is tested. Since a stable long-term relationship or cointegration vector is not found between GDP and exports for this period, the simplifying hypothesis of the simple rule is analyzed and possible extensions of the model are shown. Finally, new research hypotheses are opened, based on the existence of a structural break in the Colombian economy in the mid-1970s, as suggested by other studies which, with a long-term perspective, analyze the advance of industrialization and the evolution of productivity.
Key words: Keynesian models, Thirwall's Law, foreign trade. JEL:C32, E12, F43, O11.
Résumé
Sur la base du modèle de croissance économique restreint par la balance des paiements l´on cherche à prouver la validité empirique de la règle simple en Colombie pendant la période 1925-2000. Étant donné qu´on ne rencontre pas de relation stable à long terme, ou de vecteur de co-intégration, entre le PIB et les exportations pour cette période, les hypothèses simplifiantes de la règle simple sont analysées et les prolongations possibles du modèle sont montrées. Enfin, de nouvelles hypothèses de recherches sont ouvertes, à partir de l´existence d´une rupture structurelle dans l´économie colombienne au milieu des années soixante-dix, comme le montrent d´autres études qui, dans une perspective de long terme, analysent le progrès de l´industrialisation et l´évolution de la productivité.
Mots clés : modèles keynésiens, loi de Thirlwall, commerce extérieur. JEL: C32, E12, F43, O11.
En la literatura sobre desarrollo económico hay corrientes que destacan el papel de las exportaciones como motor del crecimiento, de allí surgen los modelos de crecimiento jalonado por las exportaciones ( export-led growth models ) . Autores como Kaldor trabajan en esta dirección.
La doctrina (de los multiplicadores y super-multiplicadores del comercio exterior) afirma lo opuesto de la ley de Say: el nivel de producción no será limitado por la disponibilidad de capital y trabajo. Al contrario, el monto de capital acumulado y el nivel de trabajo efectivamente empleado en un cierto período, son el resultado del crecimiento de la demanda externa sobre períodos pasados muy largos ( Kaldor citado por McCombie y Roberts (2002) ).
Según Kaldor, el crecimiento de las exportaciones tiene dos efectos sobre el crecimiento del ingreso: primero, a través del multiplicador del comercio exterior de Harrod 1 y segundo, por el relajamiento de la restricción de la balanza de pagos. Además de lo anterior, las exportaciones generan automáticamente ingresos externos para pagar las importaciones; una diferencia clave con los otros componentes de la demanda. Es por esto que, aun si su valor es pequeño en comparación con el ingreso total, el relajamiento de la restricción de la balanza de pagos y el multiplicador implican que el crecimiento de las exportaciones es un factor determinante del crecimiento total.
En el presente artículo se investiga la contribución de las exportaciones y de la elasticidad ingreso de las importaciones al crecimiento económico colombiano, con base en el modelo de crecimiento restringido por la balanza de pagos, desarrollado por Thirlwall (1979). Primero se expone el modelo, en segundo lugar se trata de estimar el crecimiento de la economía colombiana a partir de la regla simple en el período 1925-2000, en tercer lugar se examinan los resultados obtenidos tratando de entrever por qué no se llega a una estimación satisfactoria de la tasa de crecimiento restringida por la balanza comercial y finalmente, se esbozan las principales preguntas a resolver en futuros trabajos investigativos a propósito de la aplicación del modelo en Colombia.
MODELO DE CRECIMIENTO ECONÓMICO RESTRINGIDO POR LA BALANZA DE PAGOS
La teoría del multiplicador del comercio exterior de Harrod tiene su analogía dinámica en el modelo de crecimiento restringido por la balanza de pagos, de donde resulta la regla simple de Thirlwall (1979), en la que el crecimiento de las exportaciones y la elasticidad ingreso de las importaciones son las determinantes del crecimiento económico de largo plazo. En 1982, Thirlwall y Hussain revisaron el modelo para tomar en cuenta el persistente desequilibrio de la balanza de pagos en los países en vía de desarrollo. El modelo revisado condujo a la misma conclusión: el crecimiento económico de largo plazo tiene un límite dado por la disponibilidad de divisas; pero señala que en los países en desarrollo tal disponibilidad está determinada por las exportaciones, por la elasticidad ingreso de las importaciones y también por la evolución de los flujos netos de capital y los términos de intercambio.
El modelo de Thirlwall se formaliza a través de un sistema de ecuaciones que representa una economía pequeña y abierta a dos bienes (Moreno-Brid y Pérez 2000). Se considera una economía abierta y pequeña porque los precios de los bienes intercambiables son determinados de manera exógena siendo independientes de la oferta de exportaciones y de la demanda de importaciones del país. El sistema de ecuaciones del modelo es el siguiente:
![]() | [ 1] |
![]() | [ 2] |
![]() | [ 2, 1] |
![]() | [ 3] |
![]() | [ 4] |
![]() | [ 5] |
Donde X: exportaciones reales, M: importaciones reales, P: precio de las exportaciones en moneda local, P*: precio de las importaciones en divisas, F*: déficit en la cuenta corriente de la balanza de pagos en divisas, E: tasa de cambio nominal (en unidades de moneda nacional por unidades de divisa), Y: ingreso nacional real, W: ingreso mundial real, η: elasticidad precio de las exportaciones, π: elasticidad ingreso de las exportaciones, φ: elasticidad precio de las importaciones, ξ: elasticidad ingreso de las importaciones, θ: participación de las exportaciones en el total de divisas medido en precios corrientes, 1-θ: participación de las entradas netas de capital en el flujo total de divisas también en precios corrientes.
Las mayúsculas designan las variables a precios constantes, las minúsculas la tasa de crecimiento y el asterisco las variables medidas en unidades de divisa nominal. La ecuación [ 1] es la identidad contable de la balanza de pagos, la ecuación [ 3] da la expresión continua de la misma que se obtiene diferenciando la ecuación [ 1] y utilizando la expresión θ de [ 2] . El modelo se completa con las expresiones dinámicas de las funciones convencionales de demanda de exportaciones y de importaciones, que son las ecuaciones [ 4] y [ 5] . Al resolver el sistema de ecuaciones en términos de la tasa de crecimiento del ingreso nacional se obtiene la formulación de la tasa de crecimiento económico restringida por la balanza de pagos, como Thirlwall y Hussain la identificaron:
![]() | [ 6] |
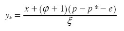
La ecuación [ 6] muestra la tasa de crecimiento del ingreso nacional de largo plazo yb como función lineal de la tasa de crecimiento del ingreso mundial real w, la tasa de crecimiento de las entradas netas de capital en términos reales (f+e-p), la evolución de los términos de intercambio (p-p*-e), y la elasticidad ingreso de las importaciones (ξ). Las ponderaciones están dadas por la participación de las exportaciones y de las entradas netas de capital en el total de divisas (θ,1-θ), las elasticidades ingreso y precio de las exportaciones (π,η), y la elasticidad precio de las importaciones (φ).
Si se supone la balanza de pagos en equilibrio, es decir, si se hace θ = 1 en [ 6] , se obtiene la expresión del crecimiento del ingreso nacional restringido por la balanza de pagos ( yb) cuando las entradas de capital no se consideran significativas:
![]() | [ 7] |
Al reemplazar la expresión πw por su equivalente en la ecuación [ 4] , se obtiene la tasa de crecimiento del ingreso nacional restringido por la balanza de pagos, como una combinación lineal de la tasa de crecimiento de las exportaciones y de los términos de intercambio:
![]() | [ 8] |
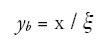
Finalmente, si se supone que los términos de intercambio son invariables en el largo plazo, la tasa de crecimiento del ingreso nacional restringida por la balanza de pagos está relacionada positivamente con la tasa de crecimiento de las exportaciones e inversamente con el apetito de importaciones medido por la elasticidad ingreso de las importaciones, esta expresión es conocida como la regla simple:
![]() | [ 9] |
A partir del sistema inicial de ecuaciones se han identificado diferentes expresiones de la tasa de crecimiento económico compatibles con la balanza de pagos. Dichas expresiones son diferentes según los supuestos relativos a la evolución de largo plazo de los términos de intercambio y de los flujos de capital. La ecuación [ 6] describe una influencia significativa de los dos factores, las [ 7] y [ 8] dan lugar a modificaciones en los términos de intercambio, pero suponen que a largo plazo el saldo de la cuenta de capital de la balanza de pagos debe ser nulo. La ecuación [ 9] o regla simple no tiene en cuenta las influencias de los términos de intercambio ni de los flujos de capital.
VALIDACIÓN EMPÍRICA DE LA REGLA SIMPLE DE THIRLWALL EN COLOMBIA 1925-2000
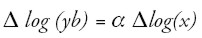
A partir del modelo de crecimiento económico restringido por la balanza de pagos se busca comprobar la validez empírica de la regla simple en Colombia en el período 1925-2000 2. La regla simple postula una relación estable entre la tasa de crecimiento de largo plazo del pib y de las exportaciones, el coeficiente de dicha relación es el inverso de la elasticidad ingreso de las importaciones (ξ). El procedimiento econométrico utilizado para comprobar la existencia de dicha relación y el valor estimado de ξ es el análisis de cointegración. Se utiliza el procedimiento Phillips-Ouliaris-Hansen, descrito por Hamilton ( 1994, 599 ), para verificar la existencia de un vector de cointegración o relación de largo plazo, así: estimar el vector de cointegración por una regresión de mínimos cuadrados ordinarios (MICO) y entonces verificar la estacionariedad de los residuos, si estos son estacionarios, existe un vector de cointegración. Este procedimiento puede ser utilizado puesto que hay un sólo vector de cointegración posible entre dos variables. Como se trata de demostrar la pertinencia empírica de la regla simple, se parte de la ecuación [ 9] . Expresada en forma logarítmica lineal, en primeras diferencias, la ecuación [ 9] se convierte en la expresión [ 10] donde a es el inverso de la elasticidad ingreso de las importaciones (1/ ξ):
![]() | [ 10] |
La estimación se realizó con base en datos anuales del pib colombiano y de las exportaciones de 1925 a 2000, a precios constantes de 1975; en un primer momento se transformaron en logaritmos y luego se diferenció cada serie. A continuación se presentan las pruebas de raíz unitaria; las series en logaritmo son integradas de orden 1, por el contrario las series diferenciadas son integradas de orden cero, es decir, son estacionarias.
![]() |
Dado que las dos variables, logaritmo del PIB y logaritmo de las exportaciones, son integradas del mismo orden, se puede verificar si hay una combinación lineal estacionaria entre ellas. Se corre una regresión mco entre las dos variables, según el procedimiento Phillips-Ouliaris-Hansen y se comprueba la estacionariedad de los residuos. La prueba de raíz unitaria de los residuos arrojó que no son estacionarios y, en consecuencia, no hay vector de cointegración.
A partir de la regla simple del modelo de crecimiento económico restringido por la balanza de pagos se buscó establecer el grado de relación entre la evolución de las exportaciones y el crecimiento del pib , pero no se encontró una relación estable de largo plazo entre dichas variables en Colombia durante 1925-2000. Frente al resultado obtenido se analizan las hipótesis simplificadoras de la regla simple, comenzando por el papel de las elasticidades, y se muestran las posibles prolongaciones del modelo, por último, se analizan las particularidades del caso colombiano y la influencia del período en estudio.
POSIBLES PROLONGACIONES DEL CAMINO DE THIRLWALL EN COLOMBIA
El papel de las elasticidades
El modelo de Thirlwall tiene hipótesis explícitas, pero antes de enunciarlas es bueno reflexionar sobre una hipótesis más bien implícita relativa a la estabilidad de las elasticidades ingreso. De acuerdo con Perraton deducir una relación estable de largo plazo entre el PIB y las exportaciones es suponer que las elasticidades ingreso de las exportaciones y de las importaciones permanecen estables en el mismo período, el problema estaría en la derivación de elasticidades de la demanda estables en países que han conocido cambios significativos en su proceso de desarrollo (Perraton 2003). En realidad, éste no es un problema del modelo, sino de su aplicación econométrica. Según Thirlwall (2003) las elasticidades ingreso reflejan la estructura de producción de un país o región, así los países productores de bienes primarios tienden a presentar una elasticidad ingreso de la demanda menor que la unidad, mientras que los países productores de bienes industriales exhiben una elasticidad mayor que uno, pues sus bienes son muy apetecidos en los mercados mundiales y su demanda crece a medida que se incrementa el ingreso (ley de Engel). Los países desarrollados (o del centro) gozan de elasticidades ingreso de la demanda de exportaciones superiores a uno, mientras que las correspondientes a los países en vías de desarrollo (o periféricos) son menores que uno, reflejo de estructuras industriales inferiores 3. Si la estructura de producción de un país evoluciona de los bienes primarios a la manufactura, las elasticidades ingreso deben capturar este cambio estructural.
En el caso de Colombia aún no se da un cambio estructural que permita afirmar que el país dejó de ser un productor de bienes primarios para pasar a ser un productor manufacturero. Sin embargo las estructuras de exportaciones e importaciones del país han cambiado, el patrón de especialización externa se modificó notoriamente desde mediados de los años ochenta, como se puede observar en la gráfica 1; en el caso de las importaciones, su estructura se modifica en períodos de protección y de liberalización (gráfica 2) y su nivel es muy sensible a las fases de apertura comercial (gráfica 3).
![]() |
Así las cosas, no es fácil aceptar la hipótesis según la cual, las propensiones a importar y a exportar, medidas por las respectivas elasticidades ingreso de la demanda ξ y π, sean estables a lo largo de 76 años. Aunque los cambios en la estructura de exportaciones y de importaciones son relativamente recientes y aún no se consolidan definitivamente, las elasticidades ingreso seguramente se van transformando a medida que se desarrolla el cambio estructural en la economía colombiana.
En lo concerniente a las hipótesis explícitas, la regla simple del crecimiento, dada por la ecuación [ 9] , supone que:
Los cambios de precios relativos entre países, medidos en una moneda local, desempeñan un papel irrelevante en el ajuste de la balanza de pagos y en el relajamiento de la restricción que ésta impone sobre el crecimiento.
Para la mayoría de países, los flujos de capital contribuyen relativamente poco en las desviaciones de la tasa de crecimiento del producto en relación con la tasa de crecimiento de equilibrio de la cuenta corriente (Thirlwall y Hussain 1982).
Dado que el crecimiento económico colombiano de 1925 a 2000 no ha podido ser explicado por la regla simple de Thirlwall, se puede inferir que los términos de intercambio y los flujos de capital desempeñan un papel importante en el crecimiento de largo plazo.
El papel de los términos de intercambio
Para el caso de Colombia hay tres estudios que han considerado el impacto de los términos de intercambio: García y Quevedo (2005), Perraton (2003) y López y Cruz (2000). En el primer artículo los autores observan que la tasa de cambio real no es constante en Colombia durante 1952-2000, por lo cual hacen la verificación empírica de la ley de Thirlwall dada por la expresión [ 8] y encuentran que existe una relación de largo plazo entre el pib , las exportaciones, la elasticidad ingreso y precio de la demanda de importaciones y la tasa de cambio real. Según los autores, la tasa de crecimiento de gravedad hacia la cual tendió el país en este período es de 4,4%, la tasa de crecimiento observada fue de 4,3%, el crecimiento restringido por balanza de pagos con supuesto de tasa de cambio real constante es de 4,7% y sin este supuesto de 3,8%.
![]() |
El artículo de Perraton hace la prueba de la ley de Thirlwall utilizando las estimaciones de la elasticidad ingreso de las importaciones de Senhadji (1998) para 36 países y encuentra que no se puede rechazar la regla simple para una veintena de países, pero Colombia no hace parte de ellos. Sin embargo, cuando se agrega el efecto puro de los términos de intercambio, no se rechaza la hipótesis de Thirlwall en 16 casos incluido Colombia, el período analizado es 1973-1995. En la misma perspectiva, López y Cruz (2000) observan que en Colombia, Argentina, Brasil y México la tasa de cambio real tiene una tendencia ascendente con fluctuaciones importantes durante 1965- 1996. A partir de esta intuición, tales autores investigaron la existencia de una relación estable de largo plazo entre el pib y la tasa de cambio real en los países mencionados, y encontraron una relación en cada uno; en particular para Colombia hallaron que durante 1968-1996 una variación de 1% de la tasa de cambio real está asociada a una variación de 0,16% de la tasa de crecimiento del PIB.
Si se tienen en cuenta estos tres trabajos, el impacto de los términos de intercambio en la determinación del crecimiento de largo plazo en Colombia parece significativo, luego, su inclusión en futuras pruebas empíricas del modelo para el período 1925-2000 es pertinente.
![]() |
El papel de los flujos de capital
Para aproximarse a la formalización de la influencia de esta variable en el crecimiento de largo plazo, el trabajo de referencia es el de Ferreira y Canuto (2003). Estos autores proponen una aplicación de la ley de Thirlwall en Brasil, introduciendo el papel desempeñado por los pagos de intereses, dividendos y beneficios en el crecimiento doméstico brasileño. Ferreira y Canuto se preguntan si la ley de Thirlwall puede ser validada en presencia de volatilidad de los flujos de capital, como es el caso de Brasil a todo lo largo del período 1949-1999, lo cual es cierto también para Colombia.
Ferreira y Canuto desarrollan la regla financiera simple a partir de la identidad de la balanza de pagos que incluye la categoría intereses, dividendos y beneficios pues estos hacen parte de la cuenta corriente. Dicha regla descompone el servicio del capital extranjero en sus componentes positivos y negativos, revelando los efectos de los intereses, dividendos y beneficios (flujos IDB) en los dos lados de la ecuación de la tasa de crecimiento de equilibrio (ingresos idbx y gastos idbm):
![]() | [ 11] |
Donde ω y (1-ω) representan la parte de las exportaciones de bienes e ingresos IDB como proporción del total de ingresos de la cuenta corriente, α y (1-α) representan la parte de las importaciones de bienes y gastos IDB como proporción del total de pagos de la cuenta corriente, pd es el precio de las exportaciones en moneda local, ξ es la elasticidad ingreso de las importaciones. Se supone que los precios relativos medidos en moneda local son relativamente estables en el largo plazo. Todas las variables están en tasas de crecimiento. La ecuación [ 11] da cuenta de la naturaleza intertemporal de los flujos de capital (entradas y salidas de la cuenta corriente), toda entrada de capital supone una salida en la forma de intereses, dividendos y beneficios. Este modelo introduce la idea de que, a lo largo del tiempo, los movimientos de los flujos de capital pueden afectar de dos maneras opuestas la tasa de crecimiento de equilibrio.
Los resultados obtenidos por Ferreira y Canuto no rechazan la hipótesis de validez de la ley de Thirlwall en Brasil. La tasa media de crecimiento observada en el período 1949-1999 es 5,41%, la tasa anual estimada por la regla simple y la regla financiera simple son respectivamente 6,18% y 5,23%, estimaciones próximas de la tasa observada. De la diferencia entre las dos tasas de crecimiento estimadas, se deduce que los pagos netos de intereses, dividendos y beneficios, derivados de las entradas de capital, reducen la tasa de crecimiento de equilibrio en Brasil cerca de un punto porcentual por año en las últimas cinco décadas. Se creía que los flujos de capital ayudaban a reducir las restricciones de la demanda y así permitían un desarrollo más rápido, pero Ferreira y Canuto (2003) muestran que el servicio del capital extranjero puede convertirse en una restricción suplementaria impuesta por la balanza de pagos al crecimiento económico.
A partir del estudio sobre el caso brasileño, parece necesario tomar en cuenta la naturaleza intertemporal de los flujos de capital en Colombia, al estudiar los determinantes del crecimiento de largo plazo y su efecto sobre el ingreso, aún más si se advierte la trayectoria inestable de la cuenta de capital y financiera, en particular su camino errático entre 1978 y 1983 y en la década de 1990, lo cual deja prever una influencia importante de esta variable sobre el crecimiento económico colombiano de largo plazo. De acuerdo con Ferreira y Canuto, la restricción de largo plazo provendría de la curva de renta neta factorial que incluye los flujos IBD.
El papel de la deuda externa
Lo que finalmente propone el modelo de Thirlwall es que un país no puede crecer más allá del equilibrio de la cuenta corriente de la balanza de pagos, a menos que presente permanentes y crecientes déficit, lo cual es bastante improbable, ya que los mercados financieros internacionales no otorgan créditos a países cuya razón deuda/PIB es volátil. Los modelos de crecimiento restringido por la balanza de pagos llamados de tercera generación garantizan que el crecimiento económico de largo plazo esté asociado con una trayectoria sostenible de la deuda externa, Moreno-Brid (2002) construye una ecuación de la ley de Thirlwall con esta característica y la aplica en la economía mexicana de 1967 a 1999; de acuerdo con Moreno-Brid (2002) las ecuaciones son:
![]() | [ 12] |
![]() | [ 13] |
![]() | [ 14] |
La ecuación [ 12] es la identidad de la balanza de pagos, pero el déficit de cuenta corriente B se expresa como una proporción del ingreso doméstico. La ecuación [ 13] impone la condición de equilibrio de largo plazo de la balanza de pagos, definida como un radio constante del déficit de cuenta corriente sobre el ingreso nominal. La ecuación [ 14] es la ley de Thirlwall que garantiza una trayectoria sostenible de la deuda externa 4.
La prueba empírica de Moreno-Brid muestra que la regla simple no ofrece una interpretación adecuada del crecimiento económico mexicano entre 1967 y 1999. En cambio, la versión amplificada es pertinente pues arroja una estimación de 4,4% para la tasa de crecimiento mexicana restringida por la balanza de pagos, muy próxima al 3,8% alcanzado por México en este período. Así el modelo que supone un radio constante del déficit de cuenta corriente relativo al ingreso, destaca la pertinencia empírica de la teoría del crecimiento restringido por la balanza de pagos, tal como se pudo constatar en México entre 1967 y 1999. Esta versión puede ser útil para el estudio empírico del crecimiento de largo plazo en Colombia. Tal y como se puede constatar en la gráfica 5, la deuda externa colombiana no parece tener una trayectoria estable, sobretodo en la década de los ochenta y a finales de los noventa. La deuda externa total pasó de representar el 18% del PIB en 1979 al 41,3% en 1987, bajó al 26,7% en 1995 y remontó al 40,1% en 2000. Dicho fenómeno debería ser tenido en cuenta en las próximas aplicaciones empíricas del modelo de crecimiento restringido por la balanza de pagos en Colombia.
La regla total para Colombia 1968-2002
El trabajo más reciente sobre Colombia es el de Márquez (2006), quien comienza por comprobar que en Colombia no hay equilibrio entre exportaciones e importaciones totales, ni estabilidad en la tasa de cambio real, en el período 1968-2002. Por lo anterior el autor propone un nuevo modelo en el que incluye todos los componentes de la balanza de pagos para asegurar el equilibrio: exportaciones e importaciones de bienes y servicios, suma de la cuenta neta de capital, ingresos y egresos por intereses, dividendos y beneficios, transferencias recibidas y enviadas y movimientos de reserva. A partir del nuevo modelo se derivan dos expresiones, una regla total con tasa de cambio y otra sin tasa de cambio.
Márquez estima diez expresiones del modelo de Thirlwall para Colombia de 1968 a 2002, incluyendo las dos expresiones por él derivadas y además realiza las pruebas sobre el efecto de los precios. El autor encuentra que todos los modelos son buenos estimadores (con estabilización de la serie de capital para algunos de ellos); la regla total es el mejor estimador y no necesita estabilizar las series, el error medio es de 0,13% y la estimación del crecimiento es de 4,03%, ligeramente superior al 3,9% observado. Aunque la tasa de cambio real varía con tendencia creciente, su inclusión no mejora las estimaciones y empeora el comportamiento de los errores, el autor concluye que los precios cumplen un papel mínimo. En particular la regla simple produce una de las estimaciones más cercanas, un poco inferior a la observada 3,84%, pero la distribución de los errores no es normal, resultado coincidente con este trabajo.
![]() |
LAS PARTICULARIDADES DE LA ECONOMÍA COLOMBIANA Y EL PERÍODO 1925-2000
Después de este breve recorrido por las posibles prolongaciones del camino de Thirlwall en Colombia y por los estudios que se han hecho al respecto, todavía cabe preguntarse si la ausencia de una relación de largo plazo entre las exportaciones y el pib en Colombia, en el período 1925-2000, obedece a la incapacidad de la regla simple para explicar el crecimiento colombiano, en otras palabras, si en realidad la balanza comercial no ha incidido en el crecimiento colombiano, o si existe alguna otra explicación. En períodos más cortos se cumple la ley de Thirlwall en Colombia, así lo comprueban los dos estudios más recientes: García y Quevedo (2005) para el período 1952-2000 y Márquez (2006) en el período 1968-2002. Sin embargo, cuando se examina un período más amplio, por lo menos la regla simple no se puede verificar.
De acuerdo con el análisis de las hipótesis de la regla simple, el cambio en el patrón de especialización externa y en la estructura de importaciones comienza a producirse a mediados de los años ochenta, evolución que debería ser capturada por las elasticidades ingreso de las exportaciones y de las importaciones. Por otro lado, en el período 1978-1983 y en la década de 1990 se presenta volatilidad de los flujos de capital y desde 1980 se incrementan las salidas de capital bajo la forma de intereses, dividendos y beneficios; también es en este período cuando se presenta liberalización comercial y aumento de la deuda externa como porcentaje del PIB; además, es al final del período donde hay problemas de estacionariedad de los residuos de la regresión entre las exportaciones y el PIB. Por estas razones se trató de encontrar una relación estable de largo plazo entre el PIB y las exportaciones colombianas entre 1925 y 1978, es decir, antes de la primera alza importante de la cuenta de capital y financiera, y fue posible encontrar un vector de cointegración cuyos residuos son estacionarios.
Los anteriores indicios, sumados a los estudios en relación con el avance de la industrialización (Cuevas 1986, Velasco 2000, García 2002, Echavarría y Villamizar 2006) y con la evolución de la productividad (Lorente 2002), que plantean la existencia de rupturas estructurales en la economía colombiana a mediados de los años 1970, permiten postular la hipótesis de que hay restricción externa del crecimiento en Colombia a lo largo del siglo XX , pero a mediados de los setenta se modifican los efectos acumulativos y multidireccionales del sector externo al PIB, a través de la (des)industrialización, el desarrollo del mercado interno y la productividad, sesgando el patrón de crecimiento de largo plazo hacia los servicios. Esta hipótesis será explorada en una investigación posterior.
CONCLUSIONES
Se presentó una primera aproximación al modelo de crecimiento restringido por la balanza de pagos, para comprobar la validez empírica de la ley de Thirlwall en Colombia en la expresión llamada regla simple, en el período 1925-2000. Dicha regla sostiene que el crecimiento de largo plazo de una economía abierta es determinado por el dinamismo de sus exportaciones y la elasticidad ingreso de sus importaciones, y supone que el papel desempeñado por los flujos de capital y por los términos de intercambio no es determinante.
No se encontró una relación estable de largo plazo entre el PIB y las exportaciones de 1925 a 2000, en otras palabras, no se explicó el crecimiento a partir de las exportaciones y de la elasticidad ingreso de las importaciones; este resultado cuestiona la síntesis de la regla simple en Colombia. En el caso de las elasticidades ingreso de las exportaciones y de las importaciones, parece que éstas no pueden derivarse para todo el período, porque hay un cambio en la estructura de exportaciones y de importaciones del país a partir de los años ochenta.
Dos estudios recientes encuentran que la ley de Thirlwall se cumple en Colombia en períodos relativamente cortos. García y Quevedo (2005) comprueban empíricamente la ley con exportaciones y tasa de cambio real, en el período 1952-2000, y Márquez (2006) la verifica en el período 1968-2002, con todos los componentes de la balanza de pagos y sin términos de intercambio, pues su inclusión no mejora la estimación; sin embargo, cuando se examina un período más amplio 1925-2000, por lo menos la regla simple no se puede verificar. Esta regla supone que los términos de intercambio y los flujos de capital no son importantes en la determinación del crecimiento de largo plazo, al parecer el papel desempeñado por estos es significativo en Colombia para el período 1925-2000. Se deduce entonces que es necesario incluir nuevas variables de la balanza de pagos, pero infortunadamente no todas están disponibles para el período.
Por último, los fenómenos que se presentan al final del período (transformación del patrón de especialización externa y de absorción interna, liberalización comercial, volatilidad de los flujos de capital, aumento de la cuenta de renta neta factorial, inestabilidad de la deuda externa) y la existencia de una relación de largo plazo entre el PIB y las exportaciones en el período 1925-1978, de un lado, y de otro lado los estudios sobre el avance de la industrialización con un cambio de tendencia hacia mediados de los años 1970 y sobre la evolución de la productividad con una ruptura en los setenta, permiten postular la hipótesis de que a mediados de los setenta se modificaron los efectos acumulativos de las exportaciones al PIB, a través de la productividad, la (des)industrialización y el desarrollo del mercado interno; hipótesis que será desarrollada en una publicación posterior.
NOTAS AL PIE
1 El multiplicador del comercio de Harrod está dado por la igualdad del coeficiente entre el crecimiento doméstico (y) y el crecimiento externo (w) y el coeficiente entre la elasticidad ingreso de las exportaciones (π) y la elasticidad ingreso de las importaciones (ξ): y/w = π/ξ en una situación dada de estabilidad de la tasa de cambio real y bajo la hipótesis de que la economía trabaja por debajo de su capacidad total.
2 La prueba paramétrica del modelo más utilizada recientemente consiste en verificar si la elasticidad ingreso de las importaciones de largo plazo ξH, no es significativamente diferente del valor hipotético de equilibrio ξ (Thirlwall 2003). El valor de ξH puede ser estimado utilizando técnicas de series de tiempo adecuadas para el estudio de fenómenos de largo plazo, ξ es definido como el valor de la elasticidad ingreso de las importaciones que igualaría la tasa de crecimiento observada en la economía yobs con la tasa dada por el modelo de crecimiento restringido por la balanza de pagos (yb). Si no hay una diferencia significativa entre ξ y ξH, el modelo es empíricamente apropiado.
3 En los modelos de crecimiento y desarrollo de centro-periferia, las diferencias entre las características de la elasticidad-ingreso de las exportaciones e importaciones se hallan en el núcleo del problema de la periferia y en el corazón del éxito del centro (Thirlwall 1983), citado en Thirlwall (2003).
4 Donde λ es el radio importaciones/exportaciones del primer año, medido en precios nominales. Se supone que los precios relativos y las restricciones no tarifarias no tienen influencias importantes sobre la tasa de crecimiento (Moreno-Brid 2002).
REFERENCIAS BIBLIOGRÁFICAS
1. Cuevas, Homero (1986) Dinámica del proceso de industrialización en Colombia, Revista Economía Colombiana , noviembre-diciembre. [ Links ]
2. DNP , Departamento Nacional de Planeación (1998) Estadísticas Históricas de Colombia , Tomo I, Tercer Mundo Editores, 1ª edición. [ Links ]
3. DANE , Departamento Administrativo Nacional de Estadística. La información referenciada se encuentra en el sitio: www.dane.gov.co [ Links ]
4. Echavarría, Juan José y Villamizar, Mauricio (2006) El proceso colombiano de desindustrialización, Borradores de Economía , 361 . [ Links ]
5. Ferreira, Alex y Canuto, Otaviano (2003) Thirlwall's law and foreign capital service: the case of Brazil, Momento Económico , 125: 18-29. [ Links ]
6. García I., José Guillermo (2002) Liberalización, cambio estructural y crecimiento económico en Colombia, Cuadernos de Economía , XXIV(36): 191-243. [ Links ]
7. García, Mario y Quevedo, Andrés (2005) Crecimiento económico y balanza de pagos: evidencia empírica para Colombia, Cuadernos de Economía , XXIV(43): 83-104. [ Links ]
8. Hamilton, James D. (1994) Time Series Analysis , New Jersey: Princeton University Press . [ Links ]
9. López, Julio y Cruz, Alberto (2000) Thirlwall's law and beyond: the Latin American experience, Journal of Post Keynesian Economics , 22(3): 477-495. [ Links ]
10. Lorente, Luis (2002) Entorno macroeconómico y crecimiento en Colombia, en Ensayos sobre Colombia y América Latina (pp. 83-96), Madrid: Servicio de Estudios del Banco Bilbao Vizcaya Argentaria. [ Links ]
11. Márquez, Yanod (2006) Estimaciones econométricas del crecimiento en Colombia mediante la ley de Thirlwall, Cuadernos de Economía , XXV(44): 119-142 [ Links ]
12. McCombie, J.S.L. y Roberts, M. (2002) The role of the balance of payments in economic growth, en The economics of demand-led growth: Challenging the supply-side vision of the long run (pp. 87-114), UK. Northamton, MA, USA: Mark Setterfield, Edward Elgar Cheltenham. [ Links ]
13. Moreno-Brid, Juan Carlos (2002) A new approach to test the balance of payments-constrained growth model, with reference to the Mexican economy, en P. Davidson (editor) A Post Keynesian Perspective on Twenty-First Century Economic Problems , Cheltenham, UK. Northampton, MA, USA: Edward Elgar. [ Links ]
14. Moreno-Brid, Juan Carlos y Pérez, Esteban (2000) Balanza de pagos y crecimiento en América Central, 1950- 1996 , Comercio Exterior , enero. [ Links ]
15. Perraton, Jonathan (2003) Balance of payments constrained growth and developing countries: an examination of Thirlwall's hypothesis, International Review of Applied Economics , 17: 1-22. [ Links ]
16. Senhadji, Abdelhak (1998) Time-Series Estimation of Structural Import Demand Equations: A Cross-Country Analysis, IMF Staff Papers , 45(2): 236-267. [ Links ]
17. Thirlwall, A. P. (1979) The balance of payments constraint as an explanation of international growth rate differences, Banca Nazionale Del Lavoro Quarterly Review , 128(791): 33-45. [ Links ]
18. Thirlwall, A. P. y McCombie, J.S.L. (1994) Economic Growth and the Balance-of-Payments Constraint , Londres: Macmillan. [ Links ]
19. Thirlwall, A. P. y Hussain, N. (1982) The balance of payments constraint, capital flows and growth rate differences between developing countries, Oxford Economic Papers , 34: 498-509. [ Links ]
20. Thirlwall, A. P. (2003) La naturaleza del crecimiento económico. Un marco alternativo para comprender el desempeño de las naciones , México: Fondo de Cultura Económica. [ Links ]
21. Velasco, Raquel (2000) Comercio exterior y transición mercantil e industrial en Colombia, 1925- 1996 , Trabajo de grado, Universidad Nacional de Colombia, Bogota, mayo. [ Links ]

































