Services on Demand
Journal
Article
Indicators
-
Cited by SciELO -
Access statistics
Related links
-
Cited by Google -
Similars in
SciELO -
Similars in Google
Share
Cuadernos de Economía
Print version ISSN 0121-4772On-line version ISSN 2248-4337
Cuad. Econ. vol.27 no.49 Bogotá July/Dec. 2008
LOS INCENTIVOS PARA LA GUERRA BILATERAL: UN CASO POLAR
Leonardo Raffo López *
Economista y Magister en Economía Aplicada de la Universidad del Valle; profesor de tiempo completo en el Departamento de Economía de la Universidad Autónoma de Occidente. Miembro de los grupos de investigación de Conflicto, Aprendizaje y Teoría de Juegos; Crecimiento y Desarrollo Económico de la Universidad del Valle, y Economía y Desarrollo de la Univesidad Autónoma de Occidente. E-mail: leoraff@yahoo.es. Dirección postal: Calle 25 # 115-85 km 2 vía Cali-Jamundí, Facultad de Ciencias Económicas, Universidad Autónoma de Occidente.
Este artículo ha sido inspirado, en buena medida, por las discusiones y conversaciones suscitadas a partir de los seminarios "Modelos de Formación Estatal y Guerras Territoriales", y "Teoría de Grafos y de Redes Sociales", a cargo del profesor Boris Salazar durante el segundo semestre de 2005 y el primer semestre de 2006.
El autor agradece los comentarios de Boris Salazar, Pilar Castillo y de los demás miembros del grupo de Conflicto, Aprendizaje y Teoría de Juegos de la Universidad del Valle; las observaciones de dos evaluadores anónimos; y las advertencias e inquietudes sobre el modelo, realizadas por Flavio Jácome y John James Mora.
Este artículo fue recibido el 10 de octubre de 2007 y su publicación aprobada el 28 de abril de 2008.
Resumen
En este trabajo se pretende construir las bases de lo que puede denominarse una teoría económica de la guerra bilateral, esto es, una teoría en la que se elucidan las interconexiones existentes entre el comercio y la guerra entre pares de países. Se demuestra, en un juego en dos etapas con información completa y pagos endógenos, que las propensiones de los países hacia la guerra o hacia la paz, dependen de las asimetrías existentes en la distribución de la demanda y de los recursos. Los equilibrios asimétricos de Nash revelan que bajo los supuestos del modelo "la guerra" constituye el único equilibrio posible.
Palabras Claves: comercio internacional, guerra, paz, equilibrios asimétricos de Nash. JEL: D78, F10, F50.
Abstract
In this paper I lay down the foundations for what can be called an economic theory of bilateral war, that is, a theory where the interconnections between trade and war for pairs of states are elucidated. In a two-stage game with complete information and endogenous payoffs, it is proved that the propensities of countries to peace or war basically depend on asymmetries in the distribution of demand and in the distribution of resources between them. Analysis of the asymmetrical Nash equilibria reveals that under the assumptions of the model the only possible equilibrium is war.
Keywords: International trade, war, peace, asymmetrical Nash equilibria. JEL: D78, F10, F50.
Résumé
On cherche à construire les bases de ce qu'il peut être nommé une théorie économique de la guerre bilatérale, c'est-à -dire, une théorie dans laquelle les interconnexions existantes sont élucidées entre le commerce et la guerre pour un couple de pays. On démontre, utilisant un jeu de deux étapes avec information complète et des paiements endogènes, que les propensions des pays à la guerre ou à la paix, dépendent des asymétries existantes dans la distribution de la demande et des ressources. Les équilibres asymétriques de Nash révèlent que sous les suppositions du modèle « la guerre » constitue lunique équilibre possible.
Mot clés: commerce international, guerre, paix, équilibres asymétriques de Nash. JEL: D78, F10, F50.
La existencia de un conflicto político entre dos estados o grupos políticos hace muy probable el desencadenamiento de una guerra. En esas circunstancias se generan suficientes incentivos para que los países procuren armarse y destinen una parte importante de sus recursos a la defensa nacional, y así logren concertar un tratado de paz.
Paradójicamente, muchos países o grupos políticos enemigos resultan ser buenos socios comerciales en potencia y muchos buenos socios comerciales son potencialmente enemigos acérrimos. Tal fue el caso de Inglaterra y Alemania durante las últimas décadas del siglo XIX y la primera mitad del siglo XX, el de Estados Unidos con algunos países del Medio Oriente durante las últimas décadas, o más recientemente el caso de Estados Unidos y Venezuela. Este tipo de situaciones no está tan distante de la realidad como podría parecerle a un economista neoclásico ortodoxo. Por el contrario, tratados historiográficos de gran envergadura como Coerción, Capital y los Estados Europeos, 990-1992 de Charles Tilly demuestran que la historia de los últimos 1.000 años ha estado marcada por una constante interconexión entre la acumulación del capital y el uso de la coerción.
En efecto, ésta parece ser una de las más intrincadas encrucijadas del desenvolvimiento histórico en occidente, especialmente, durante el capitalismo: la acumulación y la concentración del capital requieren la Salida de la producción a través de nuevos mercados, cuya conquista muchas veces sólo es rentable a través de la guerra. Es por esto que la acumulación de capital va de la mano de la acumulación de poder, la cual generalmente está ligada a la acumulación de control sobre el territorio; lo que David Harvey denomina la lógica territorial de poder (Harvey 2003).
Así, cuando no existe ninguna correspondencia entre la acumulación de capital y la acumulación de poder, se crea una fuerte tensión que hace inevitable a la guerra, como medio de acumulación de control sobre el territorio o directamente sobre los mercados.
En este artículo se exploran las particularidades de las decisiones políticas y económicas entre dos estados, países o grupos políticos en conflicto a partir del modelo básico de formación estatal en equilibrio general de Skaperdas (1991, 1992a, 1992b) y Syropuolos (1995, 1997), con el objeto de sentar las bases de lo que podría considerarse una teoría económica de la guerra bilateral.
Para ello, se propone un primer modelo de guerra bilateral y comercio, como un caso polar en extremo simplificado que capta los elementos claves en las relaciones bilaterales entre países altamente dependientes y especializados. Se parte de la hipótesis de que se generan incentivos económicos para la guerra cuando existe una falta de correspondencia entre la acumulación de capital o de recursos y la acumulación de poder efectivo, que en este caso es captada por la disponibilidad de mercados que ofrezcan salida a la producción. Esta falta de correspondencia configura estados del mundo en los cuales el costo de oportunidad de la guerra es relativamente bajo, ya que la probabilidad de éxito en la contienda de los países como expresión de su nivel de poder potencial resulta ser mayor que la participación que tiene su producción en la demanda mundial de mercancías como manifestación de su nivel de poder efectivo1.
Se demuestra en el contexto de un juego secuencial el cual a su vez utiliza los resultados de otro juego simultáneo de contiendas y de un modelo de comercio internacional, que (ceteris paribus) entre más pequeña (grande) sea la demanda total que enfrenta la producción de un país, mayor es su proclividad a preferir la guerra (la paz) a un tratado de libre comercio que representa la paz (la guerra2). También, se demuestra que (ceteris paribus) entre más grande relativamente (pequeña relativamente) sea su dotación total de recursos, más fuerte es su propensión a hacer la guerra (la paz). Además, y este es quizá el resultado fundamental, se prueba que, bajo los supuestos restrictivos del modelo, "hacer la guerra" constituye el único equilibrio posible salvo que se cumplan unas restricciones muy fuertes y poco probables en los parámetros en juego.
El papel del carácter asimétrico del equilibrio de Nash que se obtiene es clave aquí, ya que son las asimetrías (simetrías) en la distribución de la demanda total (o de los recursos totales) en relación con el balance de esfuerzos bélicos, las que impulsan en un momento dado a los países a la guerra (a la paz). La razón por la cual, en la mayor parte de la literatura existente en la teoría del conflicto y de la formación de estados, se ha dejado de lado las interconexiones entre el intercambio y la guerra, es la dificultad matemática que entraña la obtención de soluciones de equilibrio de Nash no simétricos. Por esto, la mayoría de los trabajos en el área que exploran modelos paramétricos en los cuales es posible hallar soluciones explícitas, como los de Hirshleifer (1995, 2000), se han enfocado fundamentalmente en los equilibrios simétricos, que si bien pueden resolverse fácilmente, ocultan las sutilezas del umbral entre la guerra y la paz, las cuales constituyen el caballo de batalla de una teoría económica de la guerra bilateral.
En el modelo propuesto se presentan soluciones explícitas de los equilibrios de Nash no simétricos para diferentes valores de los parámetros y se examinan sus consecuencias para la guerra y la paz. Por otra parte, llama la atención que recientemente se hayan desarrollado algunos trabajos que exploran la relación entre el comercio y la seguridad (Skaperdas y Syropoulos 2001), o la relación entre los conflictos locales y los mercados mundiales de mercancías (Haaparanta y Kuisma 2004), bajo la hipótesis de que una situación de libre comercio puede coexistir con un ambiente de conflicto donde algunos recursos pueden ser expropiados aún en condiciones de paz y simultáneamente el comercio genera una externalidad positiva que previene la guerra. Estos trabajos dan pistas cruciales para diseñar una teoría económica de la guerra, pero no abordan frontalmente la disyuntiva guerra-paz, como se intenta hacer en este trabajo. Aquí se supone que mientras un ambiente de libre comercio es uno en el que la paz y la propiedad privada se instituyen tal como se ha supuesto tradicionalmente en la teoría pura del comercio Internacional, en un ambiente de guerra, en cambio, predomina la anarquía o la guerra natural (parafraseando a Hobbes). Esto permite configurar una parábola analítica sencilla para poder elucidar los enigmas de la disyuntiva guerra-paz. Próximos trabajos pueden tratar entornos comerciales más realistas como los que simulan Skaperdas (2001), Haaparanta y Kuisma (2004) o Martin, Mayer y Thoenig (2008).
Las preguntas fundamentales de esta investigación son: ¿por qué los países pueden llegan a tener incentivos para la guerra? ¿Qué relaciones existen entre la guerra y la paz como procesos ligados a la acumulación capitalista? ¿Por qué se desata una guerra bilateral? ¿Cómo toman sus decisiones de producción (de armas y de bienes) y políticas (sobre la paz o la guerra) pares de países altamente especializados y dependientes entre sí? La hipótesis de partida señalada al comienzo implica que la guerra y la paz son ambas caras de la misma moneda. Como el capitalismo se reproduce en una constante tensión entre actos de violencia y expropiación, por una parte, y la paz de los mercados por otra, no puede comprenderse el desencadenamiento de una guerra bilateral, si no se analizan sus causas en una situación de paz preexistente. También implica que la "cooperación" o la "paz" entre países o estados no conducen a que se dejen de producir armas o no se invierta en seguridad nacional.
El modelo es un juego secuencial de decisiones políticas sobre la guerra y la paz, que se basa a su vez en un modelo simultáneo de teoría económica de contiendas un caso especial del modelo de Skaperdas y Syropoulos, que determina las cantidades de armas y de bienes que los países producen ex ante y, en un modelo ricardiano de comercio internacional que determina los niveles de consumo de los bienes que los agentes representativos harían en una situación de paz, y por ende, sus niveles de exportaciones e importaciones en esa misma situación. Mientras el primer modelo permite endogenizar los pagos de los agentes representativos de los países en una situación de guerra, el segundo modelo endogeniza sus pagos en una situación de paz.
Las siguientes líneas se organizan de la siguiente manera. En la segunda sección se exponen los fundamentos teóricos del modelo con base en la literatura sobre teoría económica del conflicto, teoría pura del comercio internacional y teoría política de relaciones internacionales. En la tercera parte se presenta el modelo y sus supuestos. En el cuarto apartado, se analizan las decisiones de producción de armas y de bienes en el contexto de la teoría económica de contiendas. En la quinta parte se examinan las decisiones de exportaciones e importaciones de los agentes representativos de los países en una situación de libre comercio en el contexto de la teoría ricardiana del comercio internacional. En la sexta sección se expone el juego de decisiones políticas sobre la guerra y la paz en el que se incrustan los dos modelos expuestos en las secciones anteriores. Finalmente, se plantean algunas conclusiones reconociendo algunas limitaciones del modelo que se pueden superar en futuros trabajos.
LOS INCENTIVOS ECONÓMICOS PARA LA GUERRA
En oposición a la escuela clásica liberal de la teoría política de las relaciones internacionales, en este trabajo se defiende la idea de que el comercio no siempre promueve la paz. Una mayor interdependencia de los países no siempre lleva a que los conflictos sean más costosos para los países individuales, de modo que en contraposición a los modelos desarrollados desde esta perspectiva como el famoso modelo de Polachek (1980), no se acepta incondicionalmente la hipótesis de que "el comercio promueve la paz". Si las relaciones comerciales son asimétricas, de manera que las ganancias comerciales derivadas se reparten de forma desigual entre las partes involucradas, los países que menores porciones obtienen pueden llegar a tener incentivos para la guerra, en la medida en que el costo de oportunidad de hacerla sea bajo. De hecho, esta perspectiva ha sido defendida por teóricos neorrealistas y neomarxistas en la teoría política de las relaciones internacionales, quienes plantean que mientras vínculos simétricos en las relaciones comerciales de los países pueden promover la paz, vínculos asimétricos pueden llevar a la guerra (Barbieri 1995). Así que la existencia de relaciones comerciales asimétricas entre pares de países puede considerarse una condición necesaria, más no suficiente para que los países tengan incentivos para hacer la guerra.
Per, entonces, ¿qué clase de condiciones deben conjugarse para que pares de países altamente dependientes en el comercio lleguen a tener incentivos para hacer la guerra en un momento dado? Para responder a esta pregunta es vital reconocer el papel central de los procesos que moldean la acumulación de capital a lo largo del tiempo en el análisis de las economías capitalistas y, en consecuencia, el de los procesos de expansión del capital de las naciones poderosas alrededor del mundo, a través del control (ya sea mediante el uso de la coerción o del establecimiento de relaciones económicas de dependencia), de nuevos territorios, recursos, y poblaciones; lo que se conoce como imperialismo capitalista.
David Harvey lo ha definido de manera categórica como "fusión contradictoria de la política estato-imperial (el imperialismo como proyecto político específico, propio de agentes cuyo poder se basa en el control sobre un territorio y la capacidad de movilizar sus recursos humanos y naturales con finalidades políticas, económicas y militares) con los procesos «procesos moleculares de acumulación de capital en el espacio y el tiempo» (el imperialismo como proceso político económico difuso en el que lo primordial es el control sobre el capital y su uso)" (Harvey 2003, 39). En donde, mientras el primer vector de elementos se refiere una lógica territorial del poder que se manifiesta a través de las estrategias políticas, diplomáticas y militares que implementan los Estados, el segundo hace alusión a una lógica capitalista del poder, en la cual los flujos de capital atraviesan un espacio continuo mediante diversas estrategias comerciales, tecnológicas y financieras; dos lógicas distintas pero entrelazadas, relacionadas dialécticamente entre sí.
La esencia de los movimientos expansivos y recesivos del capitalismo durante los últimos siglos alrededor del globo, especialmente entre 1870 y 1945, puede ser entendida como la yuxtaposición y explosión de una serie de procesos imperialistas de diversa duración y extensión por parte de las grandes potencias económicas, a través de los cuales se busca salida a los excesos de capital y de ahorro existentes al interior de sus economías en expansión. Por lo tanto, la aparición de incentivos para las guerras transnacionales debe comprenderse en el contexto de los procesos de expansión imperialista de los países, en especial, si se hace referencia a guerras regulares como la Primera Guerra mundial y la Segunda Guerra Mundial, o a guerras irregulares que tienen como objetivo el control geopolítico de determinadas zonas geográficas por ser fuentes estratégicas de recursos, como el caso de la guerra actual entre Estados Unidos e Iraq. Sólo en este escenario adquieren importancia las ideas de los neorrealistas y neomarxistas sobre los vínculos comerciales asimétricos entre los países y su posible incidencia en el desencadenamiento de las guerras.
En su extraordinario libro de juventud sobre la potencia económica y el comercio exterior El Poder Nacional y la Estructura del Comercio Exterior (1945), Albert Hirschman se adelanta a los teóricos de la dependencia al reconocer que las relaciones comerciales asimétricas entre los países constituyen la expresión más clara de la implementación de estrategias de expansión comercial, como base de la política de desarrollo de la potencia económica y militar nacional, por parte de las grandes potencias económicas3. Hirschman desarrolla un análisis meticuloso y con evidencia empírica sobre la relación entre las estrategias comerciales de los países y sus procesos políticos de desarrollo de la potencia económica durante el período precedente a la Primera Guerra Mundial y el período entre guerras. Su hipótesis plantea que durante las épocas examinadas, las potencias efectivamente utilizaron las estrategias de expansión comercial para el avance de su política de desarrollo de la potencia económica y militar, y en consecuencia, como pieza clave de la economía de la guerra.
Se infiere que en el contexto del imperialismo capitalista, las relaciones comerciales asimétricas que generan dependencia económica de los países pequeños y pobres con los países grandes y ricos tienden a producir incentivos para la guerra. Sin embargo, Hirschman no examina la manera como aquellas relaciones de dependencia pueden llegar a "quebrarse" conduciendo a la guerra o a la desaparición de la dependencia. Él mismo reconoció décadas después que su análisis estaba incompleto al no indagar sobre el grado de solidez y estabilidad de las relaciones de dominación y dependencia resultantes de la aplicación de políticas estratégicas de expansión comercial. En sus propias palabras, refiriéndose a los teóricos de la dependencia (incluyéndose a él mismo):
[...] casi nunca exploran la posibilidad de que tal sistema contenga las "semillas de su propia destrucción" o esté sujeto de otro modo a algunos cambios. Si invocan la revolución, ello ocurre también como un deus ex machina, no porque hayan identificado algunas fuerzas emergentes capaces de desatar ese evento deseado (Hirschman 1984 (1978)).
En Más allá de la simetría: notas críticas sobre mi mismo como adolescente y sobre otros viejos amigos, Hirschman intenta completar su teoría de la potencia económica y las relaciones de dependencia económica describiendo el tipo de fuerzas dialécticas que pueden llevar a que los países en principio dependientes "se liberen" de las potencias económicas, en la medida en que se identifica una relación confiable entre la asimetría inicial y alguna tendencia intrínseca hacia su eliminación o reducción .
Se aduce que las disparidades económicas preexistentes en particular, el hecho de que como el país grande y rico realiza sólo una porción pequeña de sus relaciones económicas internacionales con el país que domina, hacen que el país grande se preocupe en mayor medida por otros intereses más vitales como sus relaciones con las otras potencias, descuidando sus relaciones con los países dominados. Disparidad de atención que según Hirschman permite que los países dependientes se encuentren en una posición favorable, con una mayor capacidad de maniobra para mitigar o cortar las relaciones de dominación. Un argumento que no parece ser del todo convincente en la actualidad, cuando las grandes potencias como Estados Unidos o China parecen actuar milimétricamente en todas sus relaciones políticas, dejando a los países dominados con una capacidad de maniobra mínima.
Pero en este escrito posterior, tampoco se hace reflexión alguna sobre la otra trayectoria posible en la que pueden desembocar las relaciones de dependencia entre un país pequeño y uno grande, o entre las grandes potencias en la competencia por la dominación de otros países pequeños: la guerra. ¿De qué manera en el contexto del imperialismo capitalista, las relaciones comerciales asimétricas que generan dependencia económica tienden a generar incentivos para la guerra?
Una mirada detenida al análisis del imperialismo capitalista de David Harvey y Hannah Arendt da luces al respecto. Como una potencia hegemónica requiere extender, expandir e intensificar su poder para mantener su posición en relación con la acumulación incesante de capital que se desenvuelve en su sistema económico, tiene sentido plantear retomando una idea de Hobbes que:
[...] una inacabable acumulación de propiedad debe estar basada en una inacabable acumulación de poder. ... El proceso ilimitado de acumulación de capital necesita la estructura política de un «Poder tan ilimitado» que pueda proteger a la propiedad creciente, tornándose cada vez más poderoso (Arendt 2004 (1973), 203).
En el sistema capitalista se han desarrollado desde las últimas décadas del siglo XIX estrategias político-económicas que garantizan el sosténmiento de las relaciones de correspondencia entre la acumulación de capital y la acumulación de poder, como condición necesaria para que la producción y la acumulación encuentren salida en los mercados internos y externos, y así no se generen crisis de sobreproducción. Y en estos procesos de acumulación como bien reconoce Harvey, ha jugado un papel clave la búsqueda de soluciones espacio-temporales a los problemas de excesos de capital endógenos al sistema. La siguiente cita de este autor expresa de forma precisa el carácter de estos problemas en el capitalismo, así como de las soluciones identificadas:
Dado que el núcleo de la dificultad reside en la ausencia de oportunidades rentables de inversión, el problema económico clave (a diferencia del social y el político) tiene que ver con el capital. Para evitar la devaluación hay que encontrar formas rentables de absorber el exceso de capital. La expansión geográfica y la reorganización espacial ofrecen esa posibilidad, que no se puede separar empero de las dilaciones temporales en las que el exceso de capital se invierte en proyectos de largo plazo que tardan muchos años en volver su valor a la circulación mediante la actividad productiva que promueven (Harvey 2003, 80).
Harvey identificó agudamente dos mecanismos mediante los cuales se pueden resolver los problemas de excesos de capital evitando el rompimiento de las relaciones de correspondencia referidas. En primer lugar, la búsqueda de mercados para el exceso de mercancías. Como mecanismo de alivio a la sobreacumulación ésta funciona sólo en el corto plazo dado que las demandas adicionales que proveen generalmente los nuevos mercados son limitadas, siempre y cuando los territorios a los que se envíen los excedentes tengan medios de pago suficientes para comprar la producción del otro país. En segundo lugar, la exportación de capital; ésta se realiza cuando los excedentes de capital y de fuerza de trabajo son enviados a otros lugares para poner en marcha la acumulación de capital en nuevos espacios geográficos (Harvey 2003, 99).
El problema es que las soluciones pueden atenuarse en la medida en que la acumulación de capital termina generando nuevos excedentes en estos nuevos espacios. Harvey documenta estas complicaciones con ilustraciones de varios casos históricos. Se aduce que este proceso tiene dos salidas globales: a) la renovación constante de las soluciones espacio-temporales y la absorción episódica de los excedente de capitales, o b) la exacerbación de la competencia internacional.
¿Pero qué pasa cuando los dos mecanismos no funcionan localmente (en el caso de dos o más países a lo largo de un período específico? La respuesta lógica es que se rompen las relaciones de correspondencia entre la acumulación de capital y la acumulación de poder, y se generan incentivos económicos para la guerra, que pueden llevar a su desencadenamiento. En este contexto, se propone la siguiente hipótesis: se generan incentivos económicos para la guerra cuando existe una falta de correspondencia entre la acumulación de capital o de recursos y la acumulación de poder efectivo.
Es conveniente distinguir entre el nivel de poder potencial de los países y su nivel de poder efectivo. El primero hace referencia a la capacidad de un país para sostener e incrementar su poder político, a través de maniobras político-económicas y militares. El segundo se refiere al poder político efectivamente ejercido por parte de los países con respecto a otros, ya sea a través del ejercicio del liderazgo y el consentimiento de los gobernados (como algo opuesto al poder político practicado como dominación mediante coerción), o a través de una combinación particular de coerción y consentimiento, necesaria para el ejercicio del poder político. El poder efectivo está ligado entonces a la hegemonía (Harvey 2003) y tiene enorme incidencia sobre la capacidad que tienen los países para encontrar mercados: altos niveles de poder efectivo tienden a garantizar que se encuentren mercados suficientes para darle salida a la producción creciente de los países.
Es clave comprender la razón por la cual se generan incentivos económicos para la guerra cuando se rompen las relaciones de correspondencia entre la acumulación de capital o recursos y la acumulación de poder efectivo: cuando los países poseen bajos niveles de poder efectivo con altos ritmos de acumulación de capital y a la vez no existen mecanismos que permitan resolver el problema de exceso de capital, generalmente los países detentan altos niveles de poder potencial, que se expresa fundamentalmente en una alta capacidad militar. En este sentido, pueden generarse incentivos para la guerra cuando el poder potencial de los países es demasiado alto con respecto a su poder efectivo. Se infiere que estas son las condiciones bajo las cuales se crean incentivos para la guerra en el contexto descrito y, en consecuencia, pueden producirse guerras bilaterales entre pares de países altamente dependientes económicamente. Esto es lo que intentará demostrarse teóricamente, bajo supuestos muy restrictivos y mediante el modelo que se expone en las siguientes secciones.
Ahora bien, debe aceptarse que detrás de la búsqueda del espacio como solución a los problemas de la sobreacumulación de capital, en tanto fenómeno económico determinante, yace la búsqueda de inversiones rentables y, sobre todo, de mercados que proporcionen salida a la acumulación en exceso. En consecuencia, se propone también la hipótesis de que es la confluencia de altos niveles en exceso de capital o de recursos productivos frente a la presencia de mercados insuficientes, lo que puede generar incentivos para la guerra, en la medida en que se lleguen a romper las relaciones de correspondencia entre la acumulación de capital y la acumulación de poder efectivo, produciéndose un desequilibrio entre los niveles de poder efectivo y los de poder potencial. Mayores dotaciones de recursos y menores niveles de demanda total de la producción nacional, conllevan bajas en el costo de oportunidad de la guerra, dada la tecnología de producción de armas y de bienes y, por ende, a increpentos del poder potencial de los países, pero a reducciones en sus niveles de poder efectivo.
UN PRIMER MODELO DE GUERRA BILATERAL Y COMERCIO
El punto de partida es que las decisiones bélicas de un par de países dependientes están ligadas a las limitaciones que impone el sistema de comercio prevaleciente en una situación de paz: en este caso un sistema de libre comercio. Se trata de un caso polar en el que se obvia la incidencia de un tercer país o entidad multilateral que medie entre los dos países en juego. Además, se obvian algunos de los llamados supresores kantianos del conflicto como la incidencia positiva de la democracia sobre la resolución del conflicto y las organizaciones internacionales; y factores geopolíticos como la distancia entre los países, que puede jugar un papel relevante.
Los países producen armas, de modo que es probable el desencadenamiento de una guerra entre éstos. Este supuesto se apoya en numerosos estudios empíricos que muestran que generalmente la escalada armada antecede a los conflictos bélicos entre los países (Wallace 1979, 1980; Weede 1980, Altfeld 1983). Ex ante los agentes toman sus decisiones de producción de armas y de bienes. Si ex post eligen hacer la guerra, entonces ponen en acción "sus armas" y su maquinaria bélica para conquistar la mayor parte posible de la utilidad total de los dos países. Puesto que en una situación de guerra los derechos de propiedad no están claramente definidos, prevalece la anarquía entendida desde la óptica de la teoría económica del conflicto, y no es posible efectuar intercambios comerciales.
En cambio, si los países ex post deciden concertar la paz y firmar un tratado de libre comercio, entonces deben decidir qué parte de sus bienes útiles producidos se exporta y qué parte de la producción de su respectivo socio se importa. En el juego político de decisiones sobre la guerra y la paz mueve primero el agente que tiene una mayor probabilidad de éxito en la contienda, dado que, como se verá, es el más interesado en hacer la guerra.
Se supone también que el poder destructivo de la guerra no es muy grande, de modo que los países pueden llegar a tener incentivos económicos para hacerla. Esto significa que este modelo no podría explicar el equilibrio en el caso de países que producen armas de alto poder de destrucción, por ejemplo, armas nucleares o biológicas. Por lo anterior, se trata de un modelo útil para explicar guerras clásicas bilaterales con un relativamente bajo nivel de destrucción (por ejemplo, la Primera Guerra Mundial entendiéndola como una confrontación entre dos agentes: Alemania y Los Aliados).
Se asume, como se indicó anteriormente, que los agentes 1 y 2 son dos países en conflicto, es decir, dos socios comerciales enemigos que pueden terminar enfrentados militarmente o aprovechando las posibilidades que ofrece el sistema mundial de intercambio de mercancías. Cada país puede producir un bien útil y armas. Las armas no son transables y no existen precios de mercado de las mismas porque no son útiles. Como en el modelo ricardiano de comercio internacional, las funciones de producción son lineales y ambos países disponen de un único recurso R (que podría ser trabajo o capital). Como es usual en los modelos de la teoría pura del comercio internacional se supone que los recursos son inmóviles internacionalmente, pero móviles entre los dos sectores productivos de cada economía.
Adicionalmente, se hace abstracción de cualquier fenómeno monetario y se supone que los dos países comparten una moneda común, de modo que el tipo de cambio nominal es unitario4. Además, existe competencia perfecta en los mercados internacionales. Para hacer más interesante y realista la parábola, supóngase que los dos bienes producidos son "alimentos" (B1), producidos por 1 y "manufacturas" (B2), producidas por 2. Esto es consistente con la estructura de la demanda de cualquier país, en la que una parte del gasto se orienta hacia la satisfacción de necesidades básicas (bienes necesarios o "alimentos"), y otra hacia la demanda de manufacturas y servicios.
Para concentrarse en el efecto de la distribución de la demanda entre los dos países sobre las decisiones de intercambio y sobre las decisiones económicas para hacer la guerra o la paz (ver la quinta sección), se hace abstracción del efecto de posibles modificaciones en los demás parámetros (de los coeficientes de input o de las cantidades totales de recursos). Para ello se normalizarán todos los parámetros del modelo, excepto los relacionados con la distribución del gasto en la función de utilidad y la distribución de los recursos totales. Esto también facilita la obtención de soluciones numéricas para diferentes valores de los parámetros de distribución. Las funciones de producción del país 1 son:
![]() | [1] |
en donde R11 es la cantidad de recursos que 1 asigna a la producción del bien útil que puede elaborar. El costo unitario de B1 en unidades del recurso disponible se ha normalizado. Por otra parte, la producción de armas de 1 depende de:
![]() | [2] |
en donde el coeficiente de producción de armas de 1 también se ha normalizado a 1, G1 es la cantidad de armas producidas por 1 y R12 la cantidad de recursos de 1 utilizados para su producción. La restricción de recursos de 1 viene dada por
![]() | [3] |
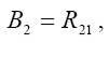
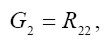
Por su parte, 2 tiene funciones de producción de manufacturas y armas dadas por (4) y (5) respectivamente.
![]() | [4] |
![]() | [5] |
En donde los coeficientes de input tienen una interpretación análoga a los de 1 y también se han normalizado. La restricción de recursos de 2 es:
![]() | [6] |
Las preferencias de los consumidores representativos de los dos países son idénticas, homotéticas y del tipo Cobb-Douglas.
![]() | [7] |
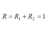
Por simplicidad, como no es relevante el volumen de recursos de que dispone cada país, sino cómo están distribuidos, el total de recursos "del mundo" R, que es la suma de los recursos de cada país, también se normaliza a 1.
![]() | [8] |
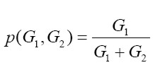
En el caso de una situación de guerra los agentes ponen en uso sus funciones de éxito en la contienda, las cuales expresan su tecnología militar. Éstas se suponen idénticas para los dos agentes, aditivas y de parámetro m unitario. Para un perfil de armas elegido por los dos países dado ( G1 G2 ), la función de éxito en la contienda de 1 es:
![]() | [9] |
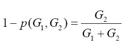
Como debe cumplirse la condición logit, la función de éxito en la contienda de 2 es
![]() | [10] |
Con lo anterior, las funciones de pago bajo el evento guerra vienen dadas por:
![]() | [11] |
Para 1; en donde W representa al evento guerra, y para 2:
![]() | [12] |
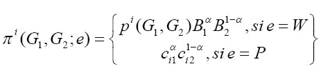
En cambio, en una situación de paz, los pagos dependen de las cantidades de ambos bienes que los consumidores representativos de cada país compran, ya sea en sus respectivos mercados locales o en los mercados internacionales. Estos son para 1:
![]() | [13] |
En donde P representa el evento paz, C11 es el consumo que hace el agente representativo del país 1 de su propio bien (alimentos) y C12 el consumo que hace el agente representativo del país 1 del bien que produce su rival. Para 2:
![]() | [14] |
en donde C21 son las cantidades consumidas por el agente representativo del país 2 de los bienes producidos por su socio rival y C22 representa la cantidad consumida por él mismo de su propio bien (manufacturas). En estas dos últimas expresiones las pagos también se han escrito en función de las cantidades producidas de armas, porque como se verá, las cantidades consumidas por cada agente dependen de las cantidades de los bienes producidos ex ante, y, por ende, de las cantidades de armas elaboradas. En general, las funciones de pago se pueden definir así:
![]() | [15] |
en donde i =1,2.
Nótese que aquí p1 ( G1 . G2 ) = p ( G1 . G2 ) para 1, mientras que p2 ( G1 . G2 ) = 1- p ( G1 . G2 ) para 2 y e representa cualquiera de los dos eventos posibles.
Antes de proseguir, conviene definir los perfiles de estrategias políticas de los agentes que implican el desencadenamiento de la guerra o la firma de la paz, y que por ende, configuran los dos eventos o "estados del mundo" posibles. Las siguientes definiciones precisan esto.
Definición 1 (Declaración de guerra):
Se declara la guerra (el evento W) y, en consecuencia, se procede a utilizar las armas para expropiar una parte de la producción del enemigo sí y sólo si al menos uno de los dos agentes enfrentados elige la acción G (atacar).
Definición 2 (Firma del TLC):
Se puede declarar la paz y firmar un TLC (el evento P), aceptando que la distribución de la utilidad se haga de acuerdo con las fuerzas del mercado, sí y sólo si los dos agentes eligen la acción TLC (cooperar)5.
Formalmente, el evento W se realiza cuando se obtienen cualquiera de los siguientes "estados del mundo" o perfiles de acciones: ( G;G ), ( G;TLC ), o ( TLC;G ). Así que:
![]() | [16] |
En cambio, el evento P ocurre únicamente cuando se obtiene el perfil de acciones ( TLC;TLC ), de modo que:
![]() | [17] |
Los espacios de estrategias para el juego de producción de armas y de bienes corresponden a las respectivas acciones:
en donde
y S1 i denota el espacio de estrategias de este juego y A1 i el de acciones.6
Pero no sucede lo mismo con las del juego político. Las estrategias no son iguales al espacio de acciones, porque se trata de un juego secuencial en el cual juega primero el país que posee mayores incentivos para hacer la guerra. En consecuencia, pueden definirse así:
![]() | [18] |
![]() | [19] |
Aquí i es el agente que juega primero y j el que juega de segundo. Se supone que tanto en el primer juego como en el segundo hay dominio público de la racionalidad, de todas las posibles acciones y de las preferencias de los países sobre los resultados del juego. Con las consideraciones anteriores, el árbol del juego de la guerra y la paz quedaría de la siguiente manera.

PRODUCCIÓN EX ANTE DE ARMAS Y DE BIENES
De (1) y (2) en (3) se obtiene la frontera de posibilidades de producción de 1. Análogamente, de (4), (5) y (6) se obtiene la de 2. En general, las fronteras de posibilidades de producción están dadas por
![]() | [20] |
Los problemas que resuelven los agentes 1 y 2 para determinar cuánto producen en armas y cuánto en bienes útiles se basan en hallar:
![]() | [21a] |
![]() | [21b] |
Gráficamente,

De (20) en (21), utilizando (8) es posible plantear los problemas de elección únicamente en función de la cantidad producida de armas:
![]() | [22a] |
![]() | [22b] |
Hallando las condiciones de primer orden y simplificando se obtienen dos ecuaciones cuadráticas en G1 y G2, para 1 y 2 respectivamente:
![]() | [23] |
![]() | [24] |
Resolviendo estas ecuaciones cuadráticas se obtienen las funciones de reacción de 1 y 2:
![]() | [25] |
y
![]() | [26] |
Puede probarse que las funciones de reacción de ambos países son crecientes y cóncavas en las cantidades producidas por sus rivales y que por ello existe un único perfil de estrategias de equilibrio de Nash en este juego, que es componente del juego de decisiones políticas que se resuelve mas adelante.
La Gráfica 3 ilustra estos resultados. Resolviendo (23) y (24) se obtienen las cantidades de armas de equilibrio de Nash, aunque no es posible encontrar soluciones analíticas compactas de este sistema de ecuaciones no lineales, por tanto, éstas no se presentan. No obstante, se pueden obtener soluciones numéricas para valores concretos de los parámetros α y R1. El Cuadro 1 presenta los valores de equilibrio obtenidos de G*1, G*2, B*1, B*2 y p* para distintos valores de α para el caso en el cual los recursos están distribuidos de forma equitativa.


Queda claro que a medida que la participación de la demanda de la producción de 1 (α) se incrementa, baja la cantidad de armas producidas (G*1 ) (a una tasa decreciente), y se incrementa la cantidad producida de armas del oponente (a una tasa creciente) (G*2 ) como sugiere el modelo general. Lo recíproco sucede con las cantidades de bienes producidas: a medida que α se incrementa, B*1 sube a una tasa (decreciente), mientras que B*2 baja (a una tasa creciente). Por lo tanto, su propia probabilidad de ganar desciende (a una tasa constante) a medida que se incrementa la participación de la demanda de B*1, mientras que lo contrario sucede con la probabilidad de ganar del oponente: ésta se incrementa a medida que la participación de la demanda de la producción del primero sube, es decir, a medida que la participación de su propia producción (B*2 ) en la demanda desciende.
Nótese que todo esto se ha analizado haciendo abstracción de posibles cambios en la distribución de los recursos totales. En el caso de equilibrio simétrico (α = 0,5) como era de esperarse la probabilidad de ganar de cada país es 0,5 y cada uno gasta la mitad de los recursos produciendo armas; la otra mitad, desde luego, se gasta produciendo bienes útiles (más exactamente, el único bien útil que cada uno es capaz de producir). En este caso la solución se puede hallar "a mano" directamente de (23) o (24) haciendo α= 0,5, R1= 0,5 y G*1 = G*2. Las Gráficas 4 y 5 muestran a G*1, G*2 y p* en función de αy a B*1 y B*2 en función de α respectivamente.


El Cuadro 2 muestra los niveles de equilibrio de G*1, G*2, B*1, B*2 y p* para asignaciones diferentes de los recursos totales entre los dos países, cuando la distribución de la demanda es simétrica entre los bienes finales producidos por cada uno de los países.

Queda claro que a medida que aumenta R1, la cantidad producida de armas de 1 tiende a crecer a una tasa decreciente, salvo cuando R1 llega a ser relativamente alto; en ese momento comienza a disminuir. La cantidad producida de armas por el otro país G*2 tiende a crecer a medida que R1 lo hace, para valores relativamente pequeños de éste, pero a partir de cierto punto comienza a disminuir a una tasa creciente. Como resultado de estas dos fuerzas contrapuestas, la probabilidad de éxito en la contienda de 1 tiende a crecer (a una tasa relativamente constante), a medida que el país 1 dispone de una mayor cantidad relativa de recursos, mientras lo opuesto ocurre con el país 2.
Por otra parte, a medida que la dotación de recursos de 1 crece, las cantidades que éste produce de B1 crecen a ritmos crecientes; en cambio, las cantidades producidas de B2 por parte del otro país se reducen (a ritmos decrecientes) a medida que su propia dotación relativa de recursos disminuye. Las dos gráficas siguientes ilustran estos resultados.
Los resultados numéricos obtenidos permiten probar lo siguiente7:


![]() | [27] |
![]() | [28] |
y
![]() | [29] |
Que de igual forma:
![]() | [30] |
![]() | [31] |
COMERCIO INTERNACIONAL
Supóngase que se ha concertado un tratado de libre comercio, el cual no genera riesgos de incumplimiento. En consecuencia, la decisión relevante bajo este supuesto es determinar qué parte de la producción de bienes útiles se exporta a cambio de importaciones del rival y qué porción se destina para autoconsumo. En este contexto y con el fin de determinar los niveles de consumo de cada uno de los bienes para los dos países deben hallarse los términos de intercambio.
Oferta relativa mundial
Como las armas no son transables, el problema de producción resuelto en la sección anterior permite obtener las cantidades ofrecidas de cada uno de los bienes útiles. Dado que las respectivas ofertas son independientes de los precios mercado, se deduce que la curva de oferta relativa mundial, no es una línea quebrada como en el modelo ricardiano de comercio internacional tradicional. En este caso es simplemente una constante, que se expresa como una línea vertical. De (30) y (31) se tiene:
![]() | [32] |
Este tipo de curva de oferta relativa mundial es el resultado de que la especialización de las economías en sus respectivos bienes útiles esté predeterminada.
Demanda relativa mundial
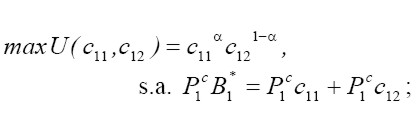
Para hallar la curva de demanda relativa mundial deben hallarse las funciones de demanda marshallianas de cada bien para los consumidores representativos de cada país, los cuales como se sabe tienen preferencias idénticas. Las restricciones presupuestarias se expresan en unidades monetarias del único bien que transa cada país, P c i B* i, i = 1,2; en donde P c i representa el precio internacional del bien que produce el país i. Aunque estas expresiones no representan todos los recursos de cada país, constituyen las restricciones relevantes para el intercambio internacional, ya que ex ante los agentes ya han decidido destinar una parte de sus recursos a la guerra y la seguridad nacional. Los problemas de elección de los agentes de 1 y de 2 son ahora para 1:
![]() | [33] |
Para 2, el problema de elección es:
![]() | [34] |
Las condiciones de primer orden de este problema permiten obtener las siguientes funciones de demanda marshallianas. Para 1:
![]() | [35] |
![]() | [36] |
En este caso la demanda de alimentos del consumidor representativo del país 1 es una proporción constante de la producción de los mismos, que depende del parámetro de su función de utilidad, mientras que su demanda de manufacturas depende de los términos de intercambio y de la producción de alimentos. Para 2 se obtienen:
![]() | [37] |
![]() | [38] |
Por tanto, la demanda marshalliana de alimentos del consumidor representativo de 2 depende de los términos de intercambio y de la producción de manufacturas. Su demanda de manufacturas es una proporción constante de la producción total que se lleva a cabo de dicho bien.
Como la demanda relativa mundial se define contablemente como
![]() | [39] |
sustituyendo las funciones de demanda marshallianas en esta última expresión, se halla la función de demanda relativa mundial. Tras un poco de álgebra se llega a
![]() | [40] |
la cual es una función hiperbólica en los términos de intercambio ( P c 1 / P c 2 ).
Equilibrio internacional
La condición de equilibrio internacional exige que la curva de oferta relativa internacional se iguale a la curva de demanda internacional. Con (32) y (40) se pueden despejar los términos de intercambio de equilibrio y se obtiene:
![]() | [41] |
La Gráfica 8 ilustra el equilibrio internacional. Adicionalmente, sustitoyendo (39) en las funciones de demanda marshallianas se encuentran las cantidades efectivamente consumidas por los consumidores representativos de cada uno de los dos bienes transados. Las demandas de los bienes propios (esto es, el autoconsumo) se mantienen como aparecen en (33) y (36) para los consumidores representativos de 1 y 2, respectivamente. La cantidad que 1 demanda de manufacturas es
![]() | [42] |

Así mismo, la cantidad que 2 consume de alimentos es:
![]() | [43] |
Teniendo en cuenta la dependencia de las cantidades consumidas de α y R1 éstas se pueden reescribir así:
![]() | [35'] |
![]() | [42'] |
![]() | [43'] |
![]() | [38'] |
Con estas expresiones analíticas de las cantidades producidas pueden hallarse las expresiones analíticas de las cantidades de factores utilizadas por cada país para producir cada uno de los bienes.
¿LA GUERRA O LA PAZ?
En esta sección se analizan las decisiones económicas sobre la guerra y la paz bajo el supuesto de que ex ante los agentes han tomado sus decisiones de producción; en particular, se supone que los agentes parten del hecho de que ambos ya han producido cantidades positivas de armas y cantidades positivas del bien que pueden elaborar. Por lo tanto, se excluye la posibilidad de que puedan obtenerse soluciones de esquina en la producción de armas.
Como ya se tiene información tanto de las probabilidades de éxito en la contienda de equilibrio como de las cantidades producidas de armas y de bienes útiles de equilibrio, por una parte, así como de los resultados del comercio entre los dos países, por otra, los dos países se enfrentan a la disyuntiva de hacer la guerra (atacar) o la paz (cooperar), que en este caso equivale a firmar un tratado de libre comercio.
Esta es una disyuntiva diferente a las decisiones de producción de armas y bienes, en la que conociendo tanto los niveles de utilidad óptimos (o las proporciones de la utilidad total) que pueden alcanzarse en una situación pacífica en la que es viable el comercio, como las porciones de la utilidad que pueden llegar a obtenerse en el caso de una situación de guerra, los países deciden si hacen la guerra o la paz o, lo que es lo mismo, deciden si atacan o cooperan.
Se trata de una disyuntiva fundamental para una teoría económica de la guerra bilateral, la cual no ha sido tratada adecuadamente en la teoría del conflicto y de la formación de estados hasta la fecha. De hecho, a diferencia de otros trabajos como los de Skaperdas (1991) y Grossman (2004) en los que se comparan las proporciones de la utilidad total (o producción total) que se obtienen en guerra con las que se obtendrían en una situación de paz, definidas estas últimas arbitrariamente, en este trabajo las porciones que se pueden obtener en una situación de paz se endogenizan: la porción de la utilidad que se puede obtener en una situación de paz está determinada por el mercado, por la demanda "mundial" de mercancías; como se verá, con los supuestos de este modelo, corresponde a α en el caso de 1 y a 1 - α en el caso de 28.
El supuesto de dominio público de la racionalidad implica que los agentes conocen los resultados que obtendrían bajo dos eventos diferentes: "la declaración de la guerra" (W) o "la firma de la paz" (P). En el caso del evento guerra, los países conocen los resultados que obtendrían al desatarse una confrontación armada: ( p* U*, (1 - p* ) U* ). En el caso del evento paz, los países conocen los resultados que obtendrían si se firmara la paz, que serían aquellos que dictamina el mercado en presencia de libre comercio entre los dos países: ( α U*, (1 - α ) U* ). Aquí es clave entender que el orden de las preferencias sobre los estados o resultados del juego depende de las posibilidades económicas de cada país bajo un evento u otro (W o P).
Definición 3 (Relación de preferencia entre estados del mundo):
i) El país i prefiere cualquier perfil de guerra al único perfil de paz, sí y sólo si el nivel de utilidad que obtiene en el evento guerra es estrictamente mayor que el que obtiene en el evento paz. Formalmente,

ii) El país i prefiere el único perfil de paz a cualquier perfil de guerra, sí y sólo si el nivel de utilidad que obtiene en el evento paz es estrictamente mayor que el que obtiene en el evento guerra.

iii) El país i es indiferente entre el único perfil de paz y cualquier perfil de guerra sí y sólo si el nivel de utilidad que obtiene en el evento guerra es exactamente igual al que obtiene en el evento paz.

Nótese que aquí p1 ( G*1, G*2 ) = p ( G*1, G*2 ) para 1, mientras que p2 ( G*1, G*2 ) = p ( G*1, G*2 ) para 2.
Utilizando las expresiones de equilibrio de los niveles de consumo en presencia de comercio, halladas en la sección anterior (35'), (42'), (43') y (38'), con la Definición 3 se tiene que el país 1 prefiere el evento guerra, es indiferente entre el evento guerra y el evento paz o prefiere el evento paz al evento guerra, sí y sólo sí:
![]() | [44] |
Pero G*1 y G*2 en equilibrio son funciones de α y R1 es posible expresar (44) de la siguiente manera:
![]() | [45] |
Formalmente se expresa como:
![]() | [46] |
Teniendo en cuenta que
y que
se infiere que cuanto menor sea la participación de la producción de 1 en la demanda mundial (α) y cuanto mayor sea su dotación de recursos (su participación en los recursos totales para ser más preciso), más fuerte es su propensión a preferir el evento guerra (W) y, por ende, a elegir G (porque p1 ( α, R1 ) tiende a ser mayor que α). Por el contrario, cuanto mayor sea la participación de la producción de 1 en la demanda mundial (α) y cuanto menor sea su dotación de recursos, más fuerte es su propensión a preferir el evento paz y, por tanto, a elegir la estrategia TLC (porque p1 ( α, R1 ) tiende a ser menor que α).
De hecho, bajas (incrementos) en α e incrementos (bajas) en R1, conducen a bajas (incrementos) de α / p (α, R1), que puede interpretarse como el costo de oportunidad de hacer la guerra para el agente 1. De manera análoga, para el país 2, se tiene que éste prefiere el evento guerra, es indiferente entre el evento guerra y el evento paz, o prefiere el evento paz al evento guerra, sí y sólo sí:
![]() | [47] |
que simplificando queda:
![]() | [48] |
Formalmente,
![]() | [49] |
En el caso del agente 2, también se cumple que cuanto menor sea la participación de su producción en la demanda mundial (1 - α) y cuanto mayor sea su participación en los recursos totales (1 - R1), más fuerte es su propensión a preferir el evento guerra y, por ende, a elegir la estrategia G (porque p (α, R1 ) tiende a ser mayor que (1 - α)). Por el contrario, cuanto mayor sea la participación de su producción en la demanda mundial (1 - α) y cuanto menor sea su participación en los recursos totales (1 - R1) más fuerte es su propensión a preferir el evento paz y, por eso, a elegir la estrategia TLC (porque p (α, R1 ) tiende a ser menor que (1 - α))
Así, cuanto menor (mayor) sea (1 - α) y mayor (menor) sea (1- R1 ) menor (mayor) es
que puede interpretarse como el costo de oportunidad de hacer la guerra para 2. Con todo esto es posible plantear el siguiente teorema.
Teorema 1:
En el modelo híbrido de conflicto y comercio un país tiende a preferir el evento guerra entre más pequeña sea la participación de los bienes que produce en la demanda mundial y entre mayor sea su dotación de recursos con respecto al total disponible.
Prueba:
Directamente de la Definición 3 con (44)-(49).
Teorema 2:
Entre más pequeña sea la participación de los bienes que produce un país en la demanda mundial y entre mayor sea su dotación de recursos con respecto al total disponible, menor es el costo de oportunidad de hacer la guerra de ese país y mayor el del otro país.
Prueba:
Por el Teorema 1 teniendo en cuenta la definición de costo de oportunidad de hacer la guerra de los países.
Corolario 1:
Un incremento en el costo de oportunidad de hacer la guerra de un país implica una baja en el costo de oportunidad del otro país y viceversa.
Corolario 2:
Entre más pequeña sea la participación de los bienes que produce un país en la demanda mundial y entre mayor sea su dotación de recursos con respecto al total disponible, mayores son sus incentivos para hacer la guerra.
Ahora interesa indagar como confluyen las preferencias de los agentes para configurar una determinada situación o "estado del mundo". Puede partirse de las Definiciones 1 y 2; basta con que uno de los agentes prefiera hacer la guerra para que ésta en efecto se haga. Para consolidar la paz es indispensable que ambos países prefieran concertar el tratado de libre comercio.
Aquí es clave inferir que bajo los supuestos de este modelo, el "sistema" origina una restricción fundamental sobre el comportamiento de los agentes que determina el resultado del juego. Como en éste se supone que la producción está dada, se trata de un juego de suma constante (y por ende, de suma cero); de esta forma, lo que gana un agente es una pérdida para el otro, en cualquiera de los dos eventos posibles.
Lo anterior sumado a la definición de la relación de preferencia da lugar a una restricción muy fuerte: se condicionan mutuamente las preferencias; porque, cuando la participación de la producción útil en la demanda de un país es baja (alta), la del otro necesariamente es alta (baja). Esto se explica por el tipo de utilidad existente con homogeneidad lineal y estructura de demanda constante (preferencias Cobb-Douglas) y por el hecho de que cada país produce únicamente un bien útil (estructura productiva ricardiana).
Por otra parte, la estructura de la macrotecnología del conflicto dadas las condiciones propias de las funciones de éxito en la contienda implica que bajo el evento guerra las ganancias de un agente son las pérdidas del otro. Un incremento en la porción de la utilidad obtenida por un agente constituye una disminución en la del adversario; en consecuencia, puede plantearse la siguiente proposición.
Proposición 1 (Preferencias condicionales):
Bajo los supuestos del modelo se cumple que:

Prueba:
i) Supóngase que 1 prefiere el evento guerra al evento paz. En ese caso por Definición 3 y (46) p(α, R1) > α. Pero entonces de esa misma desigualdad se obtiene que 1- p(α, R1) < 1 - α lo que de nuevo, por la Definición 3 y la ecuación (49) exige que 2 prefiere el evento paz al de guerra.
ii) Análogamente a i), pero partiendo de que p(α, R1) < α
iii) Supóngase que p(α, R1) = α. En ese caso por la Definición 3 y (46) el país 1 es indiferente entre el evento guerra y el evento paz. Desde luego, si p(α, R1) = α también se tiene 1 - p( α, R1) = 1 - α. por lo que, teniendo en cuenta la Definición 3 y la ecuación (49), el país 2 también es indiferente entre el evento guerra y el evento paz.
iv), v) y vi) se prueban de forma análoga.
Proposición 2:
Bajo los supuestos del modelo un país prefiere el evento guerra sí y sólo si el otro prefiere el evento la paz y viceversa. Además, un país es indiferente entre los dos eventos sí y sólo si el otro también lo es. Formalmente:

Prueba:
vii) Se obtiene uniendo i) y v) de la Proposición 6.
viii) Se obtiene uniendo ii) y iv) de la Proposición 6.
ix) Se obtiene con (iii) y (vi) de la Proposición 6.
Con lo anterior puede resolverse el juego teniendo en cuenta su estructura secuencial. La pregunta ahora es, ¿cuál o cuáles son los perfiles de equilibrio de este juego? ¿Es la guerra una situación probable como equilibrio? ¿Lo es una situación de paz? ¿Quién sale ganando en equilibrio? Para ello, debe considerarse lo siguiente: en este juego secuencial juega primero el agente que tiene mayores incentivos para la guerra, pero por la proposición anterior, sólo un país puede tener incentivos para la guerra bajo una configuración dada de los parámetros, a no ser de que ambos sean indiferentes entre la guerra y la paz.
Proposición 3:
En el juego secuencial de decisiones sobre la guerra y la paz juega primero el agente cuya probabilidad de éxito en la contienda es mayor que la participación de los bienes que produce en la demanda mundial.

Prueba:
Por hipótesis de partida teniendo en cuenta vii) y viii) en la Proposición 2.
Esto quiere decir que juega primero el agente cuyo costo de oportunidad de hacer guerra es mayor.
Proposición 6:
En el caso especial en que para los dos agentes la probabilidad de éxito en la contienda es igual a la participación de los bienes que producen en la demanda mundial, cualquiera de los dos agentes puede jugar primero

Prueba:
Por hipótesis de partida teniendo en cuenta ix) en la Proposición 2.
Como la forma normal o estratégica del juego es
en la cual los espacios de estrategias vienen dados por (18) y (19) y los pagos por (15), la matriz de pagos queda entonces como:

Se tienen 3 casos de solución
Caso 1: 1 juega primero ( p* > α)
Haciendo inducción hacia atrás puede probarse que los perfiles de equilibrio de Nash son (G, G) y (G, TLC). En efecto, estos dos perfiles son los dos equilibrios de Nash perfecto de subjuego en estrategias puras del juego. Puede probarse utilizando programación matemática o hallando analíticamente las funciones de mejor respuesta de los 2 países que 1 no tiene ninguna estrategia mixta de equilibrio y que 2 tiene infinitas estrategias mixtas de equilibrio, dada la elección de G en equilibrio por parte de 2.
n consecuencia, por las Definiciones 1 y 2 todos los equilibrios en estrategias mixtas posibles implican el estallido de la guerra. Según esto, en este caso, no es viable la paz y la guerra es inevitable.
Caso 2: 2 juega primero ( p* < α)
Por un razonamiento análogo, en este caso se deduce que los perfiles de equilibrio de Nash perfecto de subjuego son (G, G) y (TLC, G), los cuales efectivamente corresponden a los equilibrios de Nash en estrategias puras. Como en el caso anterior, puede probarse que, mientras 2 no tiene ninguna estrategia mixta de equilibrio eligiendo siempre G en equilibrio, 1 tiene infinitas estrategias de equilibrio de Nash. De modo que con las Definiciones 1 y 2 todos los equilibrios en estrategias mixtas también conllevan la detonación de la guerra. De acuerdo con esto, en este caso tampoco es viable la paz: indefectiblemente se desata la guerra.
Caso 3: 1 juega primero o 2 juega primero p* = α
En este último caso, los dos países son indiferentes entre el evento guerra y el evento paz, por lo que ambos son indiferentes entre las dos estrategias que dispone cada uno. Por lo tanto, los cuatro perfiles de la matriz representan equilibrios de Nash. ¿Pero cuál o cuáles de los cuatro predominan? En principio, el modelo no dice nada al respecto; lo cierto es que en este caso si es viable a paz.
Puede probarse que existen infinitos perfiles de equilibrio de Nash en estrategias mixtas que conducen a la guerra, y estrictamente (según las Definiciones 1 y 2), sólo uno que conduce a una situación de paz: el perfil de equilibrio en estrategias puras (TLC, TLC). De esta manera, el equilibrio de Nash puede ser (TLC, TLC), aunque el modelo no es concluyente al respecto, y además, tendrían que cumplirse unas restricciones muy fuertes en los parámetros como que p = R1 = (1 - R1) = 0.5 o que bajos (altos) niveles relativos en la dotación de recursos sean exactamente compensados con bajos (altos) niveles en la participación de su producción en la demanda mundial. Esto no debe cumplirse en ningún modelo de equilibrio general estático, dado que en ellos siempre se asume independencia entre las preferencias de los agentes, los niveles de recursos y la tecnología.
La solución del juego muestra que la paz sólo es viable si los dos agentes son indiferentes entre el evento guerra y el evento paz; puesto que según las Proposiciones 1 y 2, no es posible que los dos agentes prefieran el evento paz al mismo tiempo, ni que mientras uno prefiera el evento paz, el otro sea indiferente entre las dos situaciones. Pero, aún en el caso excepcional en que los dos agentes fueran indiferentes entre los dos eventos, que es poco probable por la exogeneidad de los parámetros, es posible que los dos agentes o uno de los dos se decida por la guerra: ¡nada asegura que se logre la paz incluso en el caso excepcional en que los dos países sean indiferentes entre una situación y la otra! Tal vez sólo ciertos acontecimientos fortuitos de la historia inclinen la balanza hacia un lado o hacia el otro, en ese caso especial. Así, pueden plantearse los siguientes teoremas.
Teorema 3:
Bajo los supuestos del análisis, la paz no es un resultado probable, porque ésta es viable únicamente cuando los dos agentes son indiferentes entre el evento guerra y el evento paz y, por ende, p* = α. Pero aún en ese caso, que es poco probable, la resolución del conflicto es incierta, ésta dependerá de otros aspectos políticos o económicos no considerados aquí o quizá de acontecimientos fortuitos de la historia.
Prueba:
Ya se demostró que la paz sólo es viable como equilibrio de Nash, cuando los dos agentes son indiferentes entre la guerra y la paz.
Por lo anterior, queda claro que el agente con una mayor producción de armas obtiene mayores ganancias, al existir la posibilidad de obtener una mayor parte del "botín". Entre más grande sea su propia dotación de recursos y menor sea la participación de su producción de bienes útiles en la demanda final, mayores serán sus ganancias, puesto que la guerra es el resultado inevitable del conflicto en presencia de asimetrías en los recursos y/o en la demanda.
CONCLUSIONES
Bajo los supuestos del modelo desarrollado se ha probado que países con dotaciones relativamente grandes de recursos y/o niveles de demanda relativamente bajos pueden tener incentivos para la guerra bilateral, porque enfrentan costos de oportunidad de hacer la guerra relativamente bajos. Lo que explica esto es que en esas condiciones se crea una falta de correspondencia entre la acumulación de capital y la de poder efectivo, en la que el bajo nivel de poder efectivo del país proclive a la guerra se conjuga con un nivel de poder potencial relativamente alto, que se expresa con un aparato militar relativamente efectivo.
Como la guerra constituye el equilibrio más probable del modelo, se infiere que una condición suficiente para el desencadenamiento de una guerra bilateral entre dos países altamente dependientes, especializados con preferencias similares y que han realizado una escalada armada, es la existencia de asimetrías en la distribución de la demanda y/o en los recursos entre ellos. Así, trabajar con equilibrios asimétricos de Nash en la teoría económica de contiendas permite obtener resultados más interesantes, en los cuales se puede analizar los efectos de asimetrías, tanto en la distribución de los factores entre los países, como en las demandas que enfrentan.
Esto es importante porque en el mundo capitalista lo normal es que existan algunos países que enfrentan bajos niveles relativos de demanda, debido a la división internacional del trabajo inherente al sistema mundial de intercambio de mercancías. Bajo tales circunstancias dichos países pueden ser proclives a hacer la guerra, dado que resulta menos costoso conquistar nuevos mercados a través del uso de la fuerza, especialmente cuando se tienden a tener costos relativamente bajos en la producción de armas, así como rivales con menores dotaciones de recursos y, por ende, con menor poder económico y político.
Todo ello configura un escenario capitalista más realista que el que anima la teoría pura del comercio internacional. La historia del capitalismo tiende a parecerse mucho más a la historia que Tilly narra sobre los estados europeos. Y un modelo como éste puede utilizarse para entender casos históricos de relaciones comerciales que condujeron a enfrentamientos armados; por ejemplo, las relaciones comerciales existentes entre Alemania y Los Aliados en el período precedente a la Primera Guerra Mundial, que en buena medida condujeron a la guerra.
En consecuencia, como la teoría pura del comercio internacional ha probado que las asimetrías fuertes en la demanda conducen a desigualdades en la distribución de las ganancias, una guerra bilateral que se ajuste a los supuestos del modelo podría evitarse con medidas de política comercial que permitan redistribuir los beneficios derivados del comercio entre pares de países altamente dependientes entre sí. Para ello, deben seleccionarse medidas como aranceles que afecten los términos de intercambio a favor del país que gana menos en el comercio y, que por lo tanto según el modelo ganaría más en la guerra.
Antes de finalizar cabe hacer algunas advertencias sobre las limitaciones y los alcances del modelo. Es un modelo poco realista, ya que constituye un caso polar; sin embargo, puede ser el punto de partida para futuros modelos y contrastaciones empíricas. La teoría económica neoclásica siempre ha partido desde sus inicios de modelos muy sencillos, a los cuales puede eximirse de críticas por su falta de realismo (Koopmans 1980).
Se trata de un punto inicial para avanzar en la investigación sobre las interconexiones existentes entre el comercio y el conflicto o entre el comercio y la guerra, en economía. Esta es una investigación de vieja data en ciencia política y de importantes antecedentes en economía (desde los mercantilistas), pero en la que sólo desde 1996, a partir del trabajo pionero de Skaperdas y Syropoulos se ha comenzado a construir modelos rigurosos basados en la heurística de la economía contemporánea, en los que desde la teoría pura del comercio internacional y la teoría económica del conflicto, se da cuenta de las relaciones existentes entre el comercio y el conflicto.
Próximos modelos de comercio y conflicto pueden avanzar en las siguientes direcciones. En primer lugar, debe incorporarse explícitamente al análisis otros costos asociados a la guerra, aparte de los provocados por la ineficiencia generada por la producción de armas. Estos costos pueden llevar a que los países dejen de tener incentivos para hacer la guerra y a que la paz sea un resultado más probable en conflictos bilaterales. La existencia de estos costos fue el factor clave para que no estallara una guerra nuclear entre Estados Unidos y la Unión Soviética, especialmente durante la crisis cubana de los misiles a comienzos de los años 60.
En segundo lugar, podría agregarse un tercer estado del mundo, en la segunda etapa del juego que corresponda a un arreglo político negociado que compense al país que tiene incentivos para hacer la guerra. Esto implicaría cambiar la estructura del juego en esa etapa: la primera jugada la haría la parte no agresora. Sus estrategias serían aceptar o no aceptar las peticiones iniciales del país agresor. Un esquema como este fue propuesto de manera intuitiva por Hirshleifer (2001). Su formalización sería un aporte interesante y permitiría desarrollar una explicación rigurosa de la situación política precedente a la Segunda Guerra Mundial.
En tercer lugar, debe contrastarse el modelo para disputas militares interestatales que se ajusten a los supuestos del modelo. Finalmente, podrían desarrollarse modelos más generales con base en los trabajos de Martyn, Mayer y Thoenig (2008) y Haaparanta y Kuisma (2004), a partir de modelos de comercio internacional con varios países y/o varios bienes basados en estructuras de mercados a la Dixit-Stiglitz.
NOTAS AL PIE
1 En la siguiente sección se aclaran estos conceptos.
2 Como se verá, en este artículo se supone que la paz corresponde a una situación en la que prevalecen las fuerzas de libre mercado. Desde luego esto no es realista, pero simplifica el análisis y, en ese sentido, es válido en el modelo propuesto.
3 Definiendo potencia económica nacional como el poder de coerción que una nación puede ejercer sobre otra, siendo éste de tipo militar o pacífico.
4 Cabe anotar que, aunque este supuesto es recurrente en los modelos ricardianos recientes, no deja de ser polémico, ya que en los Principios de Economía Política y Tributación (capítulos 7, 25 y 28), Ricardo hace énfasis en la importancia del ajuste monetario en el comercio como mecanismo regulador de los balances comerciales, a través del efecto de la cantidad de circulante sobre los términos de intercambio. Un modelo más realista debería introducir al dinero, a través de la teoría cuantitativa de dinero; sin embargo, esto complicaría mucho más el análisis.
5 En este trabajo la firma de la paz se ha denominado firma del TLC, porque se supone que este estado del mundo implica aceptar que la distribución del bienestar se hace de acuerdo con las fuerzas de libre mercado. Por la misma razón, a la acción "cooperar" se le ha puesto el rótulo TLC. Cabe advertir que en ningún momento la abreviatura TLC debe asumirse como una alusión a un tratado de libre comercio real específico, como el que Colombia he venido negociando con Estados Unidos (ver también nota al pie 3).
6 Se obvia cualquier estrategia que implique para un país producir cantidades máximas de armas (iguales a R i), puesto que esto implicaría que no produce bienes, y por la convexidad estricta de las preferencias esto significaría para los dos países obtener ganancias nulas.
7 No se presentan las pruebas formales por las limitaciones de espacio.
8 En Grossman (2004), por ejemplo, la proporción que el agente i puede obtener en una situación de paz como fruto de una negociación es ki donde ki + kj = 1. Sin embargo, en principio, no hay nada que explique esta fracción, como se hace en este trabajo. En Skaperdas (1991) sucede lo mismo.
REFERENCIAS BIBLIOGRÁFICAS
1. Altfeld, M. (1983). "Arms Races? And Escalation? A Comment on Wallace", International Studies Quarterly, 27(2): 225-231. [ Links ]
2. Arendt, H. 2004 (1973). Los orígenes del totalitarismo, México: Taurus. [ Links ]
3. Bagwell, K. y Staiger, R. (1990). "A Theory of Managed Trade", The American Economic Review, 80(7): 779-795. [ Links ]
4. Barbieri, K. (1995). Economic Interdependence and Militarized Interstate Conflict, 1870-1985. Disertación Doctoral. Departamento de Ciencias Políticas, Universidad de Binghampton, Binghampton, New York. [ Links ]
5. Dasgupta, P. y Maskin, E. (1986). "The Existence of Equilibrium in Discontinuos Games, I: Theory", Review of Economic Studies, 53(1): 1-26. [ Links ]
6. Dornbusch, R., Fischer, S. y Samuelson, P. (1977). "Comparative Advantage, Trade, and Payments in a Ricardian Model with a Continuum of Goods", American Economic Review, 67(5): 823-39. [ Links ]
7. Gowa, J. (1994). Allies, Adversaries, and International Trade. Princeton, NJ: Princeton University Press. [ Links ]
8. Grieco, J. M. (1988). "Realist Theory and the Problem of International Cooperation: Analysis with an Amended Prioners Dilemma Model", The Journal of Politics, 50: 600-624. [ Links ]
9. Grossman, H. I. (2004). Peace and War in territorial Disputes, Brown University. Trabajo no publicado. [ Links ]
10. Grossman, H. I (2003). "Choosing Between Peace and War", Working Paper 10180, NBER. [ Links ]
11. Haaparanta P. y Kuisma, K. (2004). Trade, War and, and Peace, Helsinski School of Economics. Trabajo no publicado. [ Links ]
12. Harvey, D. (2003). El Nuevo Imperialismo. Madrid: Ediciones Akal. [ Links ]
13. Hirshleifer, J. (1988). "The Analitics of Continuing Conflict", Synthese, 76(2): 201-33. [ Links ]
14. Hirshleifer, J. (1991a). "The Paradox of Power", Economics and Politics, 3: 177-200. [ Links ]
15. Hirshleifer, J. (1991b). "The Technology of Conflict as an Economic Activity", American Economic Review, 81(2): 130-34. [ Links ]
16. Hirshleifer, J. (1995). "Anarchy and its Breakdown", The Journal of Political Economy, 103(1): 26-52. [ Links ]
17. Hirshleifer, J. (2000). "The Macrotechnology of Conflict", Journal of Conflict Resolution, 44 (6): 773-792. [ Links ]
18. Hirschman, A. (1945). La Potencia Nacional y la estructura del Comercio Exterior, Madrid: E.S. Aguilar. [ Links ]
19. Hirschman, A. (1984). De la economía a la política y más allá: ensayos de penetración y superación de las fronteras, México: Fondo de cultura Económica. [ Links ]
20. Hobbes, T. (1651). Leviathan. Baltimore, MD: Penguin Classics. [ Links ]
21. Kalecki, M. (1979(1968)). Sobre el capitalismo contemporáeno, Barcelona: Editorial Crítica. [ Links ]
22. Koopmans, T. C.(1980), "La Construcción del Conocimiento Económico". En Tres Ensayos sobre el estado de la Ciencia económica. Barcelona: Editorial Antoni Bosch. [ Links ]
23. Martin, P., Mayer, T. y Thoenig, M. (2008). Make Trade not War?, Review of Economic Studies, 75(3): 865-900. [ Links ]
24. Polachek, S. (1980). "Conflict and Trade", Journal of Conflict Resolution, 24(1): 57-78. [ Links ]
25. Raffo, L. (2007). "El modelo de Skaperdas y Syropoulos", Revista de Economía Institucional, 9(17): 153-181. [ Links ]
26. Ricardo, D. (1924(1817)). On the Principles of Political Economy and Taxation. Londres: Bell and Sons, tercera edición. [ Links ]
27. Ruffin, R. (2000). "David Ricardo´s Discovery of comparative Advantage", History. of Political Economy, 34(4):727-748. [ Links ]
28. Skaperdas, S. (1991) "Conflict and Attitudes Toward Risk", The American Economic Review, 81(2): 116-120. [ Links ]
29. Skaperdas, S. (1992a). "Cooperation, conflict, and Power in the Absence of property Rights", The American Economic Review, 82(4): 720-739. [ Links ]
30. Skaperdas, S. (1992b). Coalition Formation in Contests, University of California, Irvine. Trabajo no publicado. [ Links ]
31. Skaperdas, S. (1996). "Contest Success Functions", Economic Theory, 7: 283-90. [ Links ]
32. Skaperdas, S. y Syropoulos, C. (1995). "Gangs as Primitive States". En G. Fiorentini and S. Peltzman (eds.), The Economics of Organized Crime, Cambridge, UK: Cambridge University Press, 61-82. [ Links ]
33. Skaperdas, S. y Syropoulos, C. (1997). "The Distribution of Income in the Presence of Appropriative Activities", Economica, 64(253): 101-17. [ Links ]
34. Skaperdas, S. y Syropoulos, C. (2001). "Guns Butter and Openness: On the Relationship Between Security and Trade", AEA Papers and Proceedings, 91(2): 353-357. [ Links ]
35. Tilly, C. (1990). Coercion, Capital, and European States, AD. 990-1992. Cambridge: MA: Blackwell. [ Links ]
36. Wallace, M. (1979). "Arms Races and Escalation: Some New Evidence". The Journal of Conflict Resolution, 23(1): 3-16. [ Links ]
37. Wallace, M. (1980). "Some Persisting Findings: A Reply to Professor Weede", The Journal of Conflict Resolution, 24(2): 289-292. [ Links ]
38. Weede, E. (1980). "Arms Races and Scalation: Some Persistent Doubts" (Response to Wallace Article Jcr, March 1979), Journal of Conflict Resolution, 24(2): 285-287. [ Links ]


































































