Services on Demand
Journal
Article
Indicators
-
Cited by SciELO -
Access statistics
Related links
-
Cited by Google -
Similars in
SciELO -
Similars in Google
Share
Cuadernos de Economía
Print version ISSN 0121-4772On-line version ISSN 2248-4337
Cuad. Econ. vol.28 no.50 Bogotá Jan./June 2009
ARTICULACIÓN PÚBLICO - PRIVADA EN EL FINANCIAMIENTO DE LA INFRAESTRUCTURA DE CARRETERAS EN URUGUAY
Andrés Pereyra *
Magíster en Economía, se desempeña actualmente como Profesor Adjunto del Departamento de Economía en la Universidad de la República (Montevideo, Uruguay). E-mail: andres@decon.edu.uy. Dirección de correspondencia: Coronel Mora 609 Bis (Montevideo, Uruguay).
Una versión anterior del documento fue publicada como documento de trabajo del Departamento de Economía de la Universidad de la República, FCS - UDELAR No. 1/2007.
Este articulo fue recibido el 16 de octubre de 2007 y su publicación aprobada el 15 de diciembre de 2008.
Resumen
Este artículo presenta un caso de articulación público - privada en la provisión de infraestructura de carreteras en Uruguay. Se trata de una concesión a una compañía de propiedad pública, con un contrato denominado “valor presente del gasto”. Este esquema aparece como una solución adecuada a un marco político adverso a la provisión privada de servicios públicos y sin regulación independiente, dado que permite el financiamiento privado de la inversión y asegura la estabilidad del gasto en mantenimiento. El contrato de concesión minimiza los riesgos asumidos por el concesionario dentro de un marco de incentivos adecuado, disminuyendo la probabilidad de renegociación.
Palabras clave: concesión, infraestructura, articulación, Uruguay. JEL: H54, H53, R42.
Abstract
This paper presents a case of public - private partnership in road provision in Uruguay. It is a concession where the concessionaire is publicly owned with a contract known as “present value of expenditure”. This scheme is a good solution in a country where people reject private ownership of public service providers, and which lacks independent regulation. It allows private financing of investment and ensures the stability of expenditures in road maintenance. The concession contract minimizes the risk allocated to the concessionaire but with correct incentives to be efficient, reducing in this way the probability of renegotiating the contract.
Key words: concession, infrastructure, articulation, Uruguay. JEL: H54, H53, R42.
Résumé
Cet article présente un cas d’articulation public-privé concernant la provision d’infrastructure de routes en Uruguay. Il s’agit d’une concession donné à une compagnie de propriété publique, avec un contrat dénommé “valeur présente de la dépense”. Ce schéma apparaît comme une solution adaptée à un cadre politique défavorable à la provision privée de services publics et sans une régulation indépendante, étant donné qu’il permet le financement privé de l’investissement et assure la stabilité de la dépense de maintenance. Le contrat de concession minimise les risques assumés par le concessionnaire dans un cadre adéquat d’incitations, en diminuant la probabilité de renégociation.
Mot clés: concession, infrastructure, articulation, l’Uruguay. JEL : H54, H53, R42.
Durante la década de 1990 se llevó adelante en casi toda América Latina un proceso de concesión de infraestructura de carreteras a través de contratos denominados BOT (build operate and transfer). El proceso fue impulsado fuertemente por los organismos multilaterales de crédito como una solución adecuada para todo caso.
En los primeros años del siglo XXI el proceso de concesión estaba virtualmente detenido en casi todos los paises latinoamericanos. Las concesiones en el sector vial han sufrido renegociaciones sistemáticas en toda la región, en general en contra de los intereses del Estado. Esto ha puesto en duda las virtudes que se asignaron originalmente a la participación privada y generaron una desconfianza importante frente al instrumento.
Por otra parte, la demanda de infraestructura de transporte ha aumentado, debido entre otras cosas, del explosivo desarrollo de la demanda de commodities por parte de los mercados de oriente. La oferta de infraestructura con recursos públicos no aparece como una solución en el marco de Estados con restricciones fiscales importantes. Por lo tanto, la captación de financiamiento privado para la infraestructura sigue siendo un problema clave.
Existe consenso en que la participación privada debe realizarse sobre bases nuevas, de acuerdo con las lecciones aprendidas en las últimas décadas. Parece claro que las respuestas únicas no funcionaron y que los elementos propios de cada país resultan difíciles de soslayar en las soluciones propuestas. Además, las medidas que se implementen deben estar centradas en los problemas que se busca corregir más que en los instrumentos que se pretendan utilicen.
Uruguay vivió un incipiente programa de concesiones BOT en la década de 1990, que quedó limitado a pocos tramos de la red vial. En 2002 se produce un cambio significativo en la política pública, a través de la concesión de una parte importante de la red primaria a un concesionario de propiedad pública, pero que opera bajo las reglas del sector privado.
En este trabajo se analiza la política pública mencionada, enfocándose especialmente en los problemas que busca enfrentar, en el éxito relativo del esquema en la resolución de dichos problemas, en la adaptación de la solución al marco institucional y en el proceso político sectorial específico del país. En la segunda sección se ubica el cambio de estrategia seguido en Uruguay en el marco del retroceso del proceso privatizador en los servicios públicos en toda la región. En el tercer apartado se discuten las razones que llevaron en los años 90 a la experiencia generalizada de contratos de concesión tipo BOT en toda la región que se asocian a los problemas que tenía el sector y que en realidad sigue teniendo más allá de la desaceleración importante de dicho proceso. En la cuarta parte se analizan algunos aspectos vinculados a la economía política de la participación privada en el sector vial, para pasar en la quinta sección al análisis del caso de Uruguay, en la cual se muestra cómo el esquema institucional elegido aparece como una respuesta adecuada para resolver los problemas principales del sector, habida cuenta del marco institucional y político restrictivo que presenta el país.
RETROCESO EN EL PROCESO PRIVATIZADOR
El proceso de concesiones comenzó a finales de la década del ochenta de forma muy intensa. En el decenio 1989-1999 se otorgaron 170 concesiones con casi 2.700 kilómetros anuales de carreteras entregadas en concesión. Después de este período disminuye el ritmo llegando virtualmente a un estancamiento en la mayoría de los países de la región (Bull, 2004).
Múltiples motivos explican la pérdida de dinamismo del proceso de concesiones, entre las que cabe mencionar: las secuelas de la crisis económica, los cambios políticos en muchos países, el hecho de que los tramos más atractivos ya estaban concesionados y la mayor cautela de los gobiernos en vista de las dificultades encontradas en el proceso. Todo esto condujo en muchos casos a pérdidas muy importantes de los gobiernos con respecto a lo previsto (Bull, 2004).
El impulso del proceso privatizador en los servicios públicos se encuentra en el Consenso de Washington. Esta serie de recomendaciones, incluye una relativa a la forma de provisión de servicios públicos, que supone el reconocimiento de las virtudes que la gestión privada tiene en la eficiencia con que se proveen los servicios, así como la posibilidad de influir positivamente en los presupuestos fiscales con los ingresos de las privatizaciones. En los servicios como distribución de agua, telecomunicaciones, energía eléctrica o gas, la recomendación se hizo operativa con la venta de los activos, antes en poder del Estado. En los servicios de infraestructura de transporte la forma que tomaron estos postulados fue la entrega en concesión, ya que la venta no apareció como una opción posible.
Un rol destacado en la promoción y recomendación en la linea mencionada lo cumplieron los organismos multilaterales de crédito que incluyeron entre las condiciones para el apoyo financiero a los paises, el cumplimiento en alguna medida de planes de privatizaciones y concesiones.
A finales de la década de 1990 se empieza a percibir un cambio en el discurso de muchos de los defensores de las políticas privatizadoras de los 80 y 90, al menos en América Latina. Esto se explica, en parte al cambio en los liderazgos en la región, y en parte al reconocimiento de que los resultados esperados del proceso privatizador no correspondian exactamente con las excelentes expectativas que había despertado.
De esta forma, las recomendaciones de los organismos multilaterales, en particular, se vuelven menos radicales y tienden a fortalecer aspectos menos atendidos en una primera etapa. En especial, se destacan instrumentos antes menos atendidos como las asociaciones público - privado, y se ponen en primer plano los aspectos regulatorios e institucionales.
En resumen, las concesiones han detenido el fuerte avance que tuvieron en lo década de 1990, al tiempo que quienes defendieron la participación pri vada como la proveedora de todas las soluciones ya no lo hacen y ponderan cuestiones de carácter institucional dentro de los determinantes principales de los resultados de las privatizaciones.
Por otra parte, el centro de la discusión parece tomar el camino más positivo, el de discutir acerca de los problemas y a partir de ellos encontrar la mejor forma de enfrentarlos, habida cuenta del entorno en que se debe implementar la solución.
FUNDAMENTOS PARA LA PARTICIPACIÓN PRIVADA
La necesidad de desarrollar la infraestructura de transporte se ha vuelto aún más importante que años precedentes. Las economías latinoamericanas se han especializado progresivamente en un modelo exportador; la demanda exterior de los países asiáticos en particular ha crecido de forma exponencial, especialmente en lo referente a productos básicos de mucho volumen y peso. El enlentecimiento de la provisión de infraestructura de transporte ha acelerado la aparición de deficiencias estructurales y cuellos de botella (Sánchez, 2005).
A pesar del menor uso relativo del instrumento de la concesión privada y del cambio de discurso de algunos de sus principales promotores, las necesidades y problemas a los cuales respondió el gran uso del instrumento en la década de 1990 siguen existiendo y tienen al menos una importancia similar a mediados de la primera década de siglo XXI.
Los fundamentos para la participación privada en la provisión de infraestructura de transporte pueden separarse en dos grupos: fundamentos económico-financieros y fundamentos económico-técnicos.
Fundamentos económico-financieros
Una de las principales motivaciones que estuvo detrás de las concesiones BOT fue la necesidad de atraer financiamiento privado para la construcción de infraestructura. Los montos involucrados son muy altos en relación con los presupuestos públicos. Por otra parte, estos últimos entran en dificultades en muchos casos y el FMI impone restricciones a la ejecución, las que son muchas veces acompañadas por otros organismos multilaterales bajo forma de condicionalidades para los préstamos. Los gastos en infraestructura son muy importantes con respecto a los presupuestos y son generalmente sacrificados en el proceso de ajuste presupuestal.
El financiamiento de la infraestructura puede hacerse a través de impuestos en general o a través del pago de los usuarios. El cobro por el uso puede ser eficiente en los casos en que exista congestión. No obstante, en general el motivo para la colocación de peajes se encuentra en facilitar el acceso a recursos para la construcción de la infraestructura, incluso a costa de recurrir a un financiamiento genuino menos eficiente.
La construcción de carreteras admite' el desarrollo de lo que se denomina Project Finance. El proyecto provee un ingreso a lo largo de un periodo de tiempo (peaje) que sirve de garantía para el repago de capital que financia al comienzo la construcción de la infraestructura. Para ello se requiere contar con los instrumentos jurídicos adecuados para permitir que el flujo futuro efectivamente garantice el repago del capital, con un grado de certeza jurídica aceptable para los inversores. En este sentido, se ha avanzado mucho en la mayor parte de la región (fideicomisos, bonos de infraestructura, etcétera). Las concesiones BOT permitieron la instrumentación de este tipo de operaciones estructuradas con base en los flujos de peajes, captándose entre otras fuentes de ahorro, aquellas provenientes de los ahorros previsionales, los que de otra manera no hubiese sido posible canalizar con destino a la infraestructura.
Fundamentos económico-técnicos
Las carreteras se diseñan para que puedan soportar el tránsito de un cierto número de vehículos, con un cierto peso. Esta cantidad de tránsitos se expresa en términos de tiempo por una razón de simplicidad, surgiendo el concepto de vida útil de la infraestructura. Para que efectivamente la carretera llegue al final de su vida útil en condiciones de transitabilidad adecuada es necesario mantener la misma, de acuerdo con ciertas técnicas conocidas. En ausencia de una conservación vial adecuada la infraestructura se destruye precipitadamente, produciéndose una pérdida de capital vial, irrecuperable para la economía (Bull, 2003).
Durante las décadas de 1960 y 1970 este proceso de destrucción prematura de las carreteras fue muy habitual en los paises latinoamericanos. A partir de esta experiencia negativa ha surgido un nuevo paradigma de la conservación vial que pone al mantenimiento vial como el gran protagonista.
La aplicación del nuevo paradigma conservacionista requiere contar con los recursos suficientes para esta actividad de forma permanente e ininterrumpida. La ejecución del mantenimiento por parte de los Estados ha probado ser poco exitosa, fundamentalmente por la dificultad de contar con lso recusros necesarios en los mometos de dificultades fiscales. Los gastos en infraestructura (en general en los ítems de inversión aunque se trate de mantenimiento vial) constituye una parte importante de 10 que se cataloga como gasto discrecional de los gobiernos. La mayor parte del gasto de los gobiernos es no discrecional, esto significa que no está en las manos del gobierno reducirlo en caso de dificultades fiscales (salarios, gastos de funcionamiento del gobierno central, etcétera). Por lo tanto, incluso los gobiernos que puedan abrazar el nuevo paradigma de la conservación vial terminan ajustando el gasto en los momentos dificiles con las consiguientes pérdidas de capital vial.
La incorporación del sector privado apareció como una alternativa para rigidizar en cierta medida el gasto en infraestructura. Los contratos CREMA (contratos de rehabilitación y mantenimiento) son una primera alternativa, en tanto establecen la obligación del gasto mediante un contrato. Los contratos de concesión aparecen como una opción más permanente, en tanto aseguran el financiamiento del mantenimiento, al quitar de las arcas del Estado la recaudación de los peajes y destinarlo directamente al gasto en el sector infraestructura.
Un aspecto relacionado es el incentivo a la eficiencia que introduce un concesionario privado. En los contratos BOT usuales, el riesgo de construcción está asignado al concesionario, con lo que éste tiene el aliciente para alcanzar los objetivos de obra y los niveles de servicio requeridos al menor costo, razón por la cual normalmente buscan las técnicas más eficientes. Igual estímulo introduce un contrato CREMA por niveles de servicio.
Sin embargo, la concesión BOT no es perfecta para generar este incentivo, dado que la optimización debería hacerse con un horizonte temporal equivalente a la vida útil de la infraestructura y el concesionario optimiza con un horizonte equivalente al largo de la concesión. En este sentido, el incentivo al inicio de la concesión será adecuado en tanto el horizonte de optimización correcto se aproxime al horizonte temporal del concesionario, pero al acercarse el final de la concesión estos dos horizontes temporales difieren sensiblemente.
LA ECONOMÍA POLÍTICA DE LA PARTICIPACIÓN PRIVADA
El diseño de los contratos de concesión y su regulación
Al asignarse una concesión de carreteras se otorga un monopolio en la gran mayoría de los casos. Algunos importantes autores han sugerido en el pasado que al asignar el monopolio a través de una subasta competitiva el Estado es capaz de apropiarse por adelantado del valor actualizado de las rentas monopólicas y por lo tanto no es necesaria la regulación (Demsetz, 1968). Sin embargo, hoy existe consenso en que la relación de largo plazo que se establece entre el monopolista y el Estado requiere ser regulada.
El proceso regulatorio de la participación privada tiene como principal elemento el contrato de concesión, el cual establece los principales elementos que regirán la relación de largo plazo entre concesionario y Estado. Este contrato es incompleto por definición (Tiro le, 1999), no obstante, su calidad depende en buena medida del grado de conflicto que pueda existir en el período de ejecución.
El segundo elemento central es la presencia de una institucionalidad regulatoria que otorgue las mayores garantías posibles con el fin de que la resolución de disputas se realice de manera justa. En este sentido, las soluciones han sido múltiples, dependiendo de los marcos institucionales generales de cada país (instituciones judiciales, marco político, etcétera). La calidad de la institucionalidad regulatoria determina en buena medida en que grado se dan los fenómenos de la captura regulatoria o de la expropiación oportunista del regulador, las dos caras de la moneda de los procesos regulatorios inadecuados.
La renegociación de los contratos de concesión en el área de infraestructura de transporte fue lo habitual en las últimas dos décadas (Guash, 2004). La renegociación de los contratos está directamente vinculada a la incompletitud de los mismos. En la medida en que ocurren eventos no previstos en el contrato, las partes tratan de modificar las cláusulas contractuales, buscando adaptarse a los eventos imprevistos. Este problema, vinculado a la economía política de las concesiones, tiene consecuencias graves en el proceso de asignación de las subastas. Cuando la renegociación se vuelve habitual, los oferentes de las subastas saben que existirá la posibilidad de renegociar y por lo tanto especularán con ganar la concesión con ofertas muy bajas sabiendo que después el gobierno va a ceder a la renegociación ante la posible quiebra del concesionario. Esta perspectiva de renegociación anula una de las virtudes de las subastas en cuanto a asignar la concesión al oferente más eficiente y les da ventajas a los oferentes con mayor capacidad política para obtener la renegociación de los contratos. Por otra parte, las ventajas en cuanto a transparencia del proceso de asignación se opacan por la falta de claridad en el proceso de renegociación.
Al final de la década de 1990, en América Latina en general (quizá exceptuando a Chile) la institucionalidad regulatoriano resolvió apropiadamente los procesos regulatorios. Reguladores con falta de independencia suficiente, carencia de recursos adecuados y politización de la resolución de conflictos, llevaron a que en general estos procesos se hayan resuelto en contra de los intereses del Estado, generando un ambiente de disconformidad hacia las concesiones BOT.
El manejo del riesgo de la concesíón
El manejo del riesgo en el contrato de concesión influye de forma importanteen las probabilidades de renegociación.
La asignación de los principales riesgos del contrato tiene efecto en la capacidad de éste para establecer los incentivos adecuados para actuar de forma eficiente; En este sentido, la teoría financiera indica que los riesgos deben ser asignados a los agentes que pueden manejarlos y cuando el riesgo no es manejable por ningún agente, debe diversificarse.
Por otra parte, la economía política de las concesiones enseña que cuanto mayor es el riesgo que asume el concesionario, mayor será la probabilidad de renegociación de los contratos. La solución de compromiso parece ser asignar al concesionario sólo los riesgos que puede manejar, dejando al Estado los otros.
¿Qué se ha aprendido?
Las concesiones fueron impulsadas en la década de 1990 como la solución al problema de financiamiento de la infraestructura, aportando además eficiencia productiva. Estas virtudes se vieron opacadas por la falta de preocupaciónen los elementos claves del proceso regulatorio en que se desarrollaría esta concesión: el contrato de concesión, las instituciones regulatorias y el propio proceso regulatorio.
Contratos con problemas de diseño requirieron la solución ele conflictos por parte de una institucionalidad regulatoria poco independiente del poder político y con deficiencias de recursos económicos y técnicos. El resultado fue la renegociación sistemática de los contratos y la reacción negativa hacia las concesiones.
Las concesiones BOT no son la única respuesta a los problemas financieros y técnicos para las que fueron propuestas. El enfoque debe orientarse a los problemas y no al instrumento. Los instrumentos pueden ser múltiples y la elección de los mejores depende fuertemente de las instituciones regulatorias y del proceso político en general en el que se inserten.
LAS CONCESIONES BOT EN URUGUAY
En lo que sigue, el trabajo se centra en la experiencia uruguara relativa a la participación privada en la provisión de Infraestructura vial.
Las concesiones en la década de 1990
Uruguay tuvo su programa de concesiones BOT a partir de 1995, el cual fue de pequeña escala en la medida en que los bajos tránsitos no permitían mayores concesiones sin subsidio estatal de importancia.
Se otorgaron cuatro concesiones BOT:
- Ruta Interbalnearia. Se trata de la primera experiencia de concesión de carreteras en Uruguay. El objetivo de la concesión es la construcción de una segunda calzada, mantenimiento y explotación de Ruta Interbalnearia entre Montevideo y Punta del Este. Para la adjudicación de la concesión se organizó una subasta de primer precio de sobre cerrado (licitación), en la que los oferentes ofrecieron sobre un gran número de variables, a las que se les asigna un puntaje que es finalmente ponderado según una ecuación previamente establecida.
- Ruta 1. El objeto de esta concesión es la construcción, conservación y explotación del tramo de Ruta 1 comprendido entre el acceso a Montevideo y Ruta 45, incluyendo un puente sobre el Río Santa Lucía. La adjudicación de la concesión se realizó considerando la oferta de las firmas y evaluando dos parámetros: la duración de la concesión y cronograma de obras. El puntaje o calificación final surge de la suma de los puntos obtenidos por cada criterio de acuerdo con cierto algoritmo.
- Ruta 5. El objeto de esta concesión es la conservación y explotación del tramo de Ruta 5 comprendido entre Arroyo Pantanoso (11K300) y el actual puesto de peaje en Mendoza (64K900). El concesionario debe, de acuerdo con las exigencias del MTOP, construir una segunda calzada entre el kilómetro 11.300 y el comienzo de la actual doble vía en el kilómetro 31.500 siguiendo el proyecto provisto por el concedente. Además, debe realizar mantenimiento rutinario, controlando el MTOP los estándares de servicio de la ruta. La concesión se adjudicó en una licitación en la que la variable ofrecida por el concesionario fue el valor presente de los ingresos requeridos para hacerse cargo de la concesión.
- Ruta 8. El objeto de esta concesión es la elaboración del proyecto, realización de obras iniciales, gestión de conservación, explotación y operación de la infraestructura vial del tramo de Ruta 8 entre Pando y Minas. El criterio de adjudicación fue el menor valor presente de los ingresos requeridos por el concesionario.
Al finalizar la década de 1990 se detuvo el proceso de concesiones BOT, estando vinculado este hecho a varios factores, cuya importancia relativa es dificil ponderar:
- Las nuevas concesiones requerirían un monto de subsidio relativamente alto, con las dificultades políticas (y de riesgo para los concesionarios) que ello trae aparejado.
- Tras la devaluación de la moneda del Brasil termina el ciclo de expansión de la economía uruguaya, lo que impactó en los tránsitos en las rutas.
- Las concesiones enfrentaron problemas en su ejecución. La ausencia de un regulador independiente dificultó el proceso regulatorio y llevó a un importante desgaste de las autoridades sectoriales.
El marco institucional particular
El proceso político en que se desarrolla la participación privada en los sectores de servicios públicos tiene características peculiares en Uruguay, que la diferencian notablemente en el contexto latinoamericano. Durante la década de 1990 el Parlamento aprobó múltiples leyes dirigidas a introducir competencia en los mercados de servicios públicos y a privatizar (parcialmente) las empresas públicas. Estas leyes han sido, en su gran mayoría, derogadas a través de procesos de democracia directa.
La Constitución de la República ofrece múltiples mecanismos de democracia directa que pueden ser activados por los ciudadanos o los legisladores. Desde el retomo de la democracia en 1985 dos mecanismos han sido usados. El primero es el Refendum por iniciativa popular, el que puede bloquear una ley y puede ser llamado por la voluntad del 25 % de los habilitados para votar. El mecanismo ha sido usado en múltiples ocasiones para impedir la implementación de leyes relativas a reformas en los servicios públicos. Un segundo mecanismo es el Plebiscito por iniciativa popular, que se activa por la voluntad de un porcentaje menor de la población, pero que debe coincidir con las elecciones nacionales; este mecanismo también ha sido utilizado para evitar reformas en los servicios públicos (lADB, 2006).
En el caso de las concesiones de carreteras los mecanismos de democracia directa no han sido aplicados debido a que las concesiones no están originadas en leyes, sino en instrumentos jurídicos de menor jerarquía a los que no aplican los mecanismos de democracia directa mencionados. No obstante, la experiencia en los sectores de energía eléctrica, agua y saneamiento, telecomunicaciones y combustibles muestra la preferencia de la mayoría de la población por la provisión de los servicios por las empresas públicas y muestra poca preocupación por el desarrollo de competencia en estos sectores (quizá justificado por desempeño adecuado de las empresas públicas). En la discusión política acerca de la provisión de servicios públicos, el eje de la propiedad pública o privada de los operadores ha tenido un lugar central (IADB, 2006).
ARTICULACIÓN PÚBLICO-PRIVADA QUE ATIENDE LAS CONDICIONES LOCALES
Principales características del programa
A partir de 2002, luego de un período en que se detuvieron las concesiones, se lanza un proyecto de concesión de gran envergadura en relación con las reducidas dimensiones del país. Se entregan en concesión 1.300 kilómetros de rutas en la red principal, equivalentes a la mitad de dicha red, por un plazo de 18 años, estimándose el gasto a realizarse (inversión, operación y mantenimiento) en más de 550 millones de dólares.
La red concesionada está constituida por todo el corredor sur del país (el de mayor tránsito) y por parte de los corredores que unen Montevideo con los principales pasos de frontera con Argentina y Brasil. Entre los tramos concesionados se encuentran algunos de alto tránsito y que ya cuentan con una infraestructura adecuada para dicho tránsito y otros cuyos tránsitos son relativamente bajos y que requieren importantes inversiones en rehabilitación. En este sentido, la concesión supone una serie de subsidios cruzados entre rutas que tiene implícito un efecto redistributivo importante. Si bien la concesión tiene entre sus cometidos la construcción de obras nuevas, se trata en lo fundamental de un programa de rehabilitación y mantenimiento.
La concesión tiene asignado como recurso para el cumplimiento de sus obligaciones los ingresos producidos por 13 puestos de peajes, el 90 % de los existentes en el país. Los ingresos por peajes son complementados por un subsidio fijo del Estado (cuyo monto es independiente del desempeño de otras variables).
El concesionario es una empresa privada de propiedad de la Corporación Nacional para el Desarrollo (entidad pública de derecho privado). El hecho de que el concesionario sea público en su propiedad dio lugar, de acuerdo con la legislación uruguaya, a que se asignara directamente la concesión a través de un proceso de negociación, sin mediar un proceso competitivo de subasta. Por otra parte, el hecho de que la propiedad del concesionario sea pública no va en detrimento de las responsabilidades patrimoniales que tiene dada su característica de sociedad anónima.
La principal característica distintiva, y original, de la concesión mencionada es que se trata de una concesión por valor presente de los egresos. Los antecedentes indican que las concesiones se adjudican a los oferentes que ofrezcan el menor plazo para la realización de las obras, la menor tarifa de peaje, el menor subsidio requerido o el menor valor presente de los ingresos, sin considerar combinaciones de estos criterios. En estos casos la concesión se termina cuando se alcanza el plazo ofrecido, el plazo determinado o el valor presente de los ingresos, según el caso. Esta concesión analizada finaliza, y ahí radica parte de su originalidad, cuando se alcanza el valor presente de los egresos realizados, el cual fue establecido en el contrato de concesión.
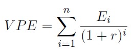
El contrato establece como meta contractual a ser alcanzada por el concesionario, al valor presente de los egresos (VPE) de 302 millones de dólares. Más específicamente, se establece que la concesión se extingue por alcanzarse la meta contractual cuando el VPE alcance el monto mencionado.
Se define al VPE hasta el período n, como:
[1]
Donde, Ei son los egresos correspondientes al mes i de la concesión y r es la tasa mensual de descuento igual a 0,7207 % (equivalente a 9 % anual). 0
Parece un elemento importante de destacar, que si bien las obligaciones del concesionario incluyen la realización de una serie de obras obligatorias y mantener un cierto nivel de servicio en las rutas, estas actividades no están asociadas a penalizaciones específicas por su incumplimiento, siempre que el valor actualizado del gasto realizado se encuentre en los niveles pactados. En definitiva, la variable relevante que indica el cumplimiento con las obligaciones contractuales es el gasto realizado por el concesionario.
Adicional al control del VPE total ejecutado por el concesionario (que en definitiva sólo es constatable al final de los 18 años), el contrato prevé el cumplimiento de metas parciales de ejecución de gasto cada tres años.
El diseño del contrato supone que es posible el control del gasto del concesionario por parte del concedente. Es claro de que de no existir este control adecuado, el concesionario tiene el incentivo de sobredeclarar sus egresos. Por esta razón, es que la concesión incorpora un mecanismo de control estricto del gasto que supone la realización de procedimientos competitivos bien definidos y auditados para la contratación de las obras y servicios. De esta manera, el concesionario no presta los servicios ni ejecuta las obras, sino que todo es contratado en el mercado local o internacionalmente según el monto de los contratos.
Cabe mencionar que una concesión por valor presente de los egresos dificilmente funcionaría en un marco de propiedad privada del concesionario. Esto se debe fundamentalmente a que el control estricto de los costos no seria seguramente aceptado por un concesionario de propiedad privada. Por otra parte, un régimen con un control menos estricto del gasto introduce un problema de riesgo moral que podría inducir pérdidas importantes para el Estado (Bergara et al., 2006; Pereyra, 2004).
Manejo de riesgo
Los principales riesgos asumidos por los concesionarios en general son: construcción, demanda, cambiario y tasa de interés, además de los riesgos político y regulatorio. La diferencia entre ellos es que los últimos no son manejables dentro del contrato. En este sentido, se discute el manejo que se realiza de los primeros en el contrato de concesión.
Riesgo construcción
El riesgo construcción consiste en la posibilidad de que los costos de las obras superen los montos estimados en el proyecto. En las obras de infraestructura de transporte este riesgo es especialmente importante. Debido a la extensión de los proyectos, la precisión en estimaciones de costos requiere de importantes recursos, e incluso así es habitual encontrar diferencias importantes una vez se está ejecutando el proyecto.
Además de este factor exclusivamente técnico, otro problema que se presenta varias veces es que los concesionarios están compuestos por empresas constructoras, que realizan quizás su mayor ganancia con la construcción de las obras más que con su labor como concesionario. Este inconveniente de carácter totalmente comercial también influye en que los costos sean mayores a los estimados en los proyectos. Ambos efectos sumados lleva a que detrás de las muy frecuentes renegociaciones de los contratos de concesión se encuentren reclamos por haberse incurrido en costos mayores a los estimados en las previsiones económicas.
La concesión por valor presente de los egresos no tiene riesgo de construcción. En primer lugar, el concesionario no es una empresa constructora, con 10 que no gana nada con tener mayores costos en las obras. En segundo lugar, y más importante, las obligaciones del concesionario se refieren a un monto de gasto y no a la construcción de una obra. En este sentido, el concesionario contrata las obras utilizando procedimientos competitivos que buscan obtener el menor costo por las obras, hasta alcanzar un monto de gasto comprometido. Si las obras cuestan más de lo previsto (por razones de incorrecta estimación de costos o por imperfección en el mercado de construcción) el concesionario no debe incurrir en mayores egresos sino que se realizan menos inversiones que las previstas. En definitiva, en una concesión por valor presente de los egresos el concesionario no asume riesgo construcción. Cabe destacar que la posibilidad de eliminar este riesgo está fuertemente asociada a la posibilidad del concedente de realizar un férreo control de los gastos del concesionario, lo que sólo parece posible en un marco de propiedad pública del concesionario.
Normalmente, existe consenso acerca de que el riesgo construcción debe ser asumido por el concesionario en tanto es el agente que puede manejarlo de mejor forma. En este caso no se sigue esta premisa, y el riesgo construcción es asumido por el Estado (en última instancia por los usuarios), con la salvaguarda de que la contratación competitiva llevará a precios razonablemente próximos a los costos de las obras.
Riesgo demanda
Quizá tan importante como el riesgo construcción es el riesgo de demanda. La demanda por una ruta ha probado ser difícil de realizar con precisión para períodos largos como los considerados en una concesión, incluso con la sofisticación de las técnicas econométricas con que se cuenta actualmente, hecho que se agrava aún más en economías inestables sometidas a shocks periódicamente, como las latinoamericanas.
La incertidumbre acerca de la demanda introduce un riesgo muy importante al concesionario. Cuando las concesiones son asignadas competitivamente y el concesionario asume el riesgo de demanda se produce muchas veces el fenómeno conocido como la maldición del ganador1, que indica que el ganador seguramente sobreestimó la demanda que el proyecto tendrá y muy probablemente la concesión no tenga los recursos suficientes.
Engel et al. (1997) proponen un mecanismo para manejar el riesgo de demanda. Concretamente proponen que las concesiones se asignen al oferente que ofrezca el menor valor presente de los ingresos. En este caso la concesión tiene una duración variable, la necesaria para alcanzar los ingresos que el concesionario requirió en su oferta y que hacen el proyecto rentable. Este mecanismo tiene la ventaja de que elimina el riesgo de demanda para el concesionario y por ende lo excluye como argumento para eventuales renegociaciones de contratos. Por otra parte, tiene la desventaja de que requiere del control estricto de la recaudación por parte del Estado, aunque ésta ha perdido importancia con el desarrollo de potentes sistemas informatizados de recaudación de peajes.
Así como la teoría financiera indica que el riesgo de construcción debería en general ser asignado al concesionario porque es capaz de manejarlo, con respecto al riesgo de demanda indica que es necesario diversificarlo en tanto nadie puede manejarlo2. En esta propuesta, el riesgo es asignado al Estado (en definitiva a los usuarios) que tendrán una duración más o menos larga según el crecimiento que tenga el tránsito durante la concesión.
En la concesión propuesta que se está discutiendo en Uruguay, se asignó el riesgo de demanda al Estado (o usuarios) utilizando un mecanismo diferente al propuesto por Engel et al. (1997), que consiste en afectar el gasto que el concesionario debe realizar según la evolución de la demanda para mantener constante el resultado operativo del concesionario. Desde el punto de vista operativo, se compara la recaudación obtenida por concepto de peajes con la prevista en el contrato de concesión y la diferencia se suma o resta según el caso al monto de egresos comprometido para el año siguiente. El compromiso del concesionario, que es el gasto en obras, varía de modo que la diferencia entre los gastos comprometidos y la recaudación por peajes se mantenga constante. De este modo, el concesionario no asume riesgo de demanda sino que es enfrentado por el Estado, pero a diferencia del mecanismo de Engel et al. (1997) según el cual se acepta en el plazo de la concesión, en este caso corresponde a un ajuste en mayor o menor cantidad de dinero gastado en la red concesionada.
Cabe hacer notar que dicho ajuste se refiere a la recaudación y no al tránsito. En este sentido, queda mitigado también el riesgo que pueda surgir por la incertidumbre en la evolución de los parámetros que determinan los precios y parte del riesgo regulatorio que pueda surgir por el manejo discrecional del regulador de elementos que incidan en la tarifa de peaje.
Riesgo tasa de interés
En proyectos que requieren importante financiamiento, que en general se toma a tasas variables, la incertidumbre acerca de la tasa de interés de mercado introduce un riesgo que se denomina tasa de interés, y que será mayor cuanto más grande sea el financiamiento a tasa variable que tenga el proyecto.
En la concesión de referencia, se aplicó un mecanismo similar al empleado para mitigar el riesgo de demanda para mitigar el riesgo tasa de interés. En este caso, se estimó cuál será el costo financiero del proyecto con una tasa LIBOR de referencia. En el contrato se estableció un ajuste del monto de gasto comprometido en caso de que la LIBOR cambie en relación con la tasa de referencia. Si la LIBOR supera el valor previsto, el concesionario estará obligado a realizar un menor gasto; mientras que lo contrario ocurrirá si la LIBOR baja.
Riesgo regulatorio
El riesgo regulatorio se refiere al derivado de la posible acción discrecional injusta del regulador, durante la ejecución del contrato de concesión. Una vez que el concesionario ha realizado la inversión en la carretera (en el activo más específico imaginable), el regulador se enfrenta a la tentación de expropiar.
En el caso de la concesión de referencia, el concesionario es una entidad privada, pero de propiedad pública. En este sentido se reducen los incentivos a expropiar, en tanto se estaría aplicando esta acción a otra entidad pública. Además el compromiso político del Gobierno con el éxito de la concesión es mucho más explícito que en el caso de las concesiones de propiedad privada.
La tentación de expropiar al concesionario surge muchas veces de reclamos populares en situaciones de inestabilidad económica, como ocurrió en Argentina en la crisis de principios del siglo XXI, con respecto a todos los servicios públicos. En Uruguay, por el contrario, las tarifas de peaje están determinadas en el contrato de concesión (su valor inicial y la paramétrica de ajuste), y en situaciones igualmente dificiles en el año 2002 no existieron presiones populares, del ámbito político o del Gobierno para incidir de forma expropiatoria. Esto se explica, por el respeto imperante en el país por los contratos y por el hecho de que el concesionario fuese de propiedad pública, lo que en cierta medida se adecua a las preferencias reveladas de la población por este tipo de propiedad en los servicios públicos.
Respuesta razonable a problemas fundamentales
La concesión por valor presente de los egresos conducida por un concesionario privado de propiedad pública aparece como una forma adecuada de articulación público- privada para resolver los principales problemas sectoriales.
Obtención de financiamiento de largo plazo
La concesión accede al mercado privado de capitales, por lo que cumple con uno de los principales objetivos buscados a través de las concesiones BOT en la década de 1990. En este sentido, el hecho de tener propiedad pública no constituyó un obstáculo para poder financiarse en el mercado de capitales; la recaudación de peajes asignada a la concesión permite la elaboración de una operación de Project Finance en las mismas condiciones que pudiera desarrollar un operador de propiedad privada.
Por otra parte, los múltiples mecanismos de mitigación de riesgo que se implementaron fueron positivos al lograr calificaciones de riesgo adecuadas para acceder al mercado de capitales, a través de la emisión de papeles privados en una operación estructurada.
Programas adecuados de mantenimiento
La concesión ha permitido evitar los ciclos perversos de inversión-destrucción de rutas, asociados a la volatilidad de los presupuestos públicos destinados a infraestructura. La concesión, mediante contratos CREMA (Contratos de rehabilitación y mantenimiento) concertados de forma competitiva, ha logrado introducir la lógica consistente con el nuevo paradigma conservacionista de las rutas. El incentivo a la eficiencia lo introduce la gestión privada del contratista de las rutas y la estabilidad del gasto en mantenimiento la incorpora el concesionario.
En el período inicial de la concesión el país pasó por una de las peores crisis económicas de su historia, lo que repercutió en el presupuesto público en múltiples áreas. En particular el subsidio público que complementa la recaudación de peajes en la concesión de referencia sufrió importantes retrasos en dicho período. No obstante, al concesionario contar con recursos independientes al presupuesto nacional, como la recaudación de peajes, permitió evitar que el ciclo económico impactara negativamente en el ciclo de gasto eficiente durante la vida de las rutas.
Incentivos a la eficiencia productiva
Los incentivos a la eficiencia productiva son menores en la concesión por valor presente de los egresos que en una concesión BOT tradicional, en tanto los ahorros que pueda generar el concesionario por mejor operación y mantenimiento no redundan en mayor ganancia3. No obstante, el mantenimiento de las rutas se contrata con contratistas privados por niveles de servicio de acuerdo con las especificaciones del Ministerio de Transporte y Obras Públicas (MTOP), por lo que el estímulo a la eficiencia productiva se introduce indirectamente por esta vía. De cualquier manera, las mejoras estructurales se realizan conforme a las especificaciones técnicas del MTOP, el cual no tiene alicientes para la rápida adopción de tecnologías económicamente más eficientes.
En resumen, los incentivos a la eficiencia son menos fuertes en este esquema que en una concesión BOT tradicional. Sin embargo, existe un marco de estímulos razonable, especialmente si se considera que no se trata de un sector de veloz incorporación de tecnología.
Menor probabilidad de renegociación
El esquema planteado reduce fuertemente el riesgo de renegociación del contrato por múltiples motivos:
- La mitigación del riesgo del concesionario reduce motivos para la renegociación.
- El carácter público del concesionario y del concedente reduce el incentivo en ambas partes para actuar de forma estratégica en la negociación.
CONCLUSIONES
El acceso al financiamiento privado de largo plazo y el establecimiento de un marco de incentivos a la eficiencia productiva en la provisión de infraestructura vial llevaron al desarrollo de extensos programas de concesiones en América Latina en la década de 1990. Dichos programas fueron impulsados por los organismos multilaterales de crédito siguiendo las recomendaciones que surgieron del Consenso de Washington.
A mediados de la primera década del siglo XXI los programas de concesiones se encuentran virtualmente detenidos, a pesar de que los principales problemas que los originaron siguen teniendo la misma vigencia que hace 20 años, Los promotores de las concesiones reconocen hoy las dificultades de aplicar soluciones universales y han resaltado la importancia de considerar factores condicionantes como los institucionales y las políticas locales, en el diseño de los esquemas de participación privada.
Este trabajo analiza un esquema específico de articulación público-privada, examina su pertinencia y se enfoca en los problemas que debe resolver, tomando en cuenta especialmente el marco político-institucional del país donde se está aplicando.
El proceso político uruguayo está fuertemente marcado por preferencias de la población, que son particularmente adversas a la participación privada en la provisión de los servicios públicos, hecho que se ha traducido en el pasado en el bloqueo de la mayoría de las propuestas de reforma (llegando frecuentemente a la reversión de reformas que ya contaban con aprobación legal). Por otra parte, se debe considerar que el país no posee instituciones regulatorias fuertes e independientes, especialmente en el sector transporte.
En este marco se instrumentó un esquema de articulación público-privada partiendo del unbundling de las actividades de obtención de financiamiento, y considerando un esquema de Project Finance, de ejecución de las obras y de mantenimiento de las rutas. La primera actividad es desarrollada por un concesionario privado, pero de propiedad pública que contrata de forma competitiva a las empresas que desarrollan las actividades de construcción y mantenimiento. Formalmente, la articulación se realiza a través de un contrato de concesión tradicional.
El esquema de articulación público-privada planteado resuelve los principales problemas que originaron a los programas BOT de la década de 1990. Por una parte, permite el financiamiento privado de la inversión en el largo plazo. Por otra parte, asegura el mantenimiento de una sección importante de la red vial principal siguiendo las premisas del nuevo paradigma conservacionista. Por último, permite incorporar al sector privado en la construcción y en el mantenimiento, con las virtudes que ello conlleva en cuanto se dirija a la eficiencia productiva.
Así mismo, el esquema particular de articulación público-privada se adapta bien a la realidad local. En la medida en que el concesionario es de propiedad pública, se reduce la oposición política y se minimizan las presiones de renegociación del contrato en un marco de ausencia de independencia regulatoria. Adicionalmente, el diseño del contrato disminuye los riesgos asumidos por el concesionario lo que contribuye a contraer aún más la probabilidad de renegociación.
NOTAS AL PIE
1 En las subastas de valores comunes los oferentes tienen información incompleta del valor del objeto subastado. El ganador es quien hace la mayor oferta, al ganar percibe que ha sido quien estimó un valor mayor para el objeto; esto automáticamente le transfiere la información de que seguramente sobrestimó el valor del objeto, lo que es una mala noticia; a este hecho se le conoce como maldición del ganador.
2 Se le ha criticado a Engel que el concesionario pierde el incentivo a estimular la demanda por la ruta. En respuesta a ello es posible indicar que la critica no tiene relevancia, puesto que en la práctica el concesionario tiene un escaso margen para incentivar la demanda por infraestructura vial, en la medida en que ésta es derivada y tiene motores que el concesionario difícilmente está en capacidad de promover.
3 El esquema de incentivos débil es la contrapartida de los menores riesgos asumidos por el concesionario.
ANEXOS

REFERENCIAS BIBLIOGRÁFICAS
1. Bergara, Mario et al. (2006). Political Institutions, Policymaking Processes, and Policy Outcomes: The Case of Uruguay (IADB Research Network Working Paper R-510). Montevideo: Universidad de la República. [ Links ]
2. Bull, Alberto (2004). Concesiones Viales en América Latina: situación actual y perspectivas. Santiago de Chile: CEPAL. [ Links ]
3. Bull, Alberto (2003). Mejoramiento de la gestión vial con aportes específicos del sector público. Santiago de Chile: CEPAL. [ Links ]
4. Demsetz, Harold (1968). Why regulate utilities? Journal of Law and Economics, 11(1),55-65. [ Links ]
5. Engel, Eduardo (1997). Highway Franchising: Pitfalls and Opportunities. American Economic Review, 87(2), 68-72. [ Links ]
6. Guasch, J. Luis (2004). Granting and Renegotiating Infrastructure Concessions. Doing it Right. Washington D.C.: The World Bank. [ Links ]
7. IADB (2006). The Politics of Policies. Economic and Social Progress in Latin America. 2006 Report. Cambridge, Massachusetts: IADB - Harvard University Press. [ Links ]
8. Pereyra, Andrés. (2004). Concesiones por mayor valor presente de los egresos: el caso de la Megaconcesión en Uruguay (Documentos de trabajo Departamento de Economía 11/04). Montevideo: Universidad de la República. [ Links ]
9. Sanchez, Fernando (2005). Provisión de infraestructura de transporte en América Latina: experiencia reciente y problemas observado. Santiago de Chile: CEPAL. [ Links ]
10. Tirole, Jean. (1999). Incomplete Contracts: Where do we Stand?. Econometrica, 67(4),741-781. [ Links ]











