Services on Demand
Journal
Article
Indicators
-
Cited by SciELO -
Access statistics
Related links
-
Cited by Google -
Similars in
SciELO -
Similars in Google
Share
Cuadernos de Economía
Print version ISSN 0121-4772
Cuad. Econ. vol.31 no.spe57 Bogotá June/Dec. 2012
EL IMPACTO DE LOS CAMBIOS EN EL SISTEMA GENERALIZADO DE PREFERENCIAS (SGP) DE LA UNIÓN EUROPEA (UE) EN PAÍSES ASIÁTICOS Y LATINOAMERICANOS
Ludo Cuyvers1
Reth Soeng2
1 Ph.D. en Economía aplicada. Profesor Emérito de las Universidades de Antwerp y North-West (Potchefstroom Campus) e investigador asociado del Centro de Estudios Comparados sobre integración (UNU-CRIS) (Brujas, Bélgica). E-mail: ludo.cuyvers@ua.ac.be. Dirección de Correspondencia: Stadscampus S.Z.408, Kipdorp 61, 2000 Antwerpen.
2 Ph.D. en Economía aplicada. Docente de la Universidad de Amberes y del Instituto de Estudios Comparados sobre Integración Regional de la Universidad de las Naciones Unidas. Email: reth.soeng@ua.ac.be. Dirección de Correspondencia: Stadscampus S.Z.408, Kipdorp 61, 2000 Antwerpen.
Una versión preliminar de este trabajo se presentó en la 12va Convención Internacional de la Asociación de Economía de Asia Oriental, que se llevó a cabo en Seúl, entre el 2 y el 3 de octubre de 2010. Los autores agradecen los comentarios de André Sapir.
La traducción de este documento fue realizada por Jenny Paola Lis Gutiérrez, por solicitud del equipo editorial de la revista Cuadernos de Economía.
Este artículo fue recibido el 15 de diciembre de 2011 y su publicación aprobada el 25 de abril de 2012
Resumen
En este artículo se estudian el impacto de los cambios en el Sistema Generalizado de Preferencias (SGP) de la Unión Europea (UE) sobre sus propias importaciones, procedentes de los países beneficiarios del SGP de la ASEAN y China, y de América Latina, y el uso de los beneficios del SGP por estos países, entre 1994-2007. Se concluye que las importaciones agrícolas se ven afectadas negativamente por los cambios en el SGP, pero las industriales parecen haber reaccionado positivamente. Para las importaciones de los productos textiles los resultados no son significativos. Igualmente, se identifica que los países de la ASEAN y China se benefician más del SPG de la UE (para productos industriales y textiles) que los latinoamericanos; sin embargo, los cambios en el SGP no tuvieron un efecto importante para ninguno de los dos grupos. Las estimaciones muestran que el mecanismo de graduación en el SGP de la UE parece ser eficaz para los productos industriales, pero no para los productos textiles.
Palabras clave: Sistema Generalizado de Preferencias, comercio, ASEAN, China, Unión Europea, importaciones, exportaciones, países en desarrollo. JEL: F14, F13, C23, C82, O11.
Abstract
The impact of changes in the Generalized System of Preferences of the European Union, on the EU GSP imports from beneficiary countries in ASEAN and China, and Latin America respectively, and the utilization of GSP benefits by these countries is investigated for the period 1994-2007, using model specifications with unlagged and one year lagged reactions. We find that EU GSP agricultural imports are negatively affected by the changes in the EU GSP system, but these of industrial products seem to have positively reacted to changes in the EU GSP. For imports of textile products, the results are not significant. It is also found that ASEAN plus China are significantly benefiting more from the EU GSP for industrial and textile products than the Latin American countries, but the changes in the GSP had no significant different effect on both groups of countries. Our estimations also show that the graduation mechanism in the EU GSP, against beneficiary countries with higher EU market shares, seems to be effective for industrial products, but in contrast, is not working in favour of such countries for textile products. By and large, the other graduation mechanism in the EU GSP linking GSP benefits and level of development of the beneficiary country has not been effective.
Keywords: Generalized System of Preferences, trade, ASEAN, China, European Union, imports, exports, developing countries. JEL: F14, F13, C23, C82, O11.
Rèsumè
Dans cet article, on étudie l'impact des changements dans le système généralisé de préférences (SGP) de l'Union européenne (UE) sur les importations de l'UE en provenance des pays bénéficiaires du SGP de l'ASEAN, la Chine, et l'Amérique latine, ainsi que l'utilisation des avantages du SGP pour ces pays, entre 1994- 2007. On conclut que les importations agricoles sont négativement affectées par des changements dans le SGP, mais l'industrie semble avoir réagi positivement. Pour les importations de produits textiles, les résultats ne sont pas significatifs. De même, on identifie que les pays de l'ASEAN et la Chine bénéficient davantage du SGP de l'UE (pour les produits industriels et textiles) par rapport aux Latino- Américains. Cependant, les changements dans le SGP n'ont eu d'effet significatif pour aucun des deux groupes. Les estimations démontrent que le mécanisme de graduation dans le SPG de l'UE semble être efficace pour les produits industriels, mais pas pour les textiles.
Mots-clés: Système généralisé de préférences, commerce, ASEAN, Chine, Union européenne, importations, exportations, pays en développement. JEL: F14, F13, C23, C82, O11.
La estructura de protección de las naciones avanzadas en la forma de tasas arancelarias nominales o tasas efectivas de protección se considera como un impedimento para el desarrollo económico de los países menos desarrollados (PMD). En 1968, la Conferencia de las Naciones Unidas sobre Comercio y Desarrollo (UNCTAD) recomendó la creación de un esquema de trato preferencial para los países menos adelantados, denominado Sistema Generalizado de Preferencias (SGP), el cual fue implementado por los países desarrollados (Panagariya, 2002; Cuyvers y Verherstraeten, 2005; Özden y Reinhardt, 2005). Como resultado de ello, la Unión Europea (entonces Comunidad Económica Europea, con 6 estados miembros) fue la primera en poner en práctica su SGP en julio de 1971 (Sapir, 1981), extendido y renovado posteriormente (Cuyvers y Verherstraeten, 2005). El resto de países industrializados y las naciones del centro y del este de Europa implementaron sus planes de SGP poco después de la Unión Europea3 (Sapir, 1981).
En el presente trabajo se investiga el efecto del esquema SGP de la UE y de sus cambios regulatorios en las exportaciones destinadas a la UE, así como la utilización de los beneficios del SGP por Asia (los países de la ASEAN y China) y los países en desarrollo de América Latina.
El documento está estructurado de la siguiente manera. En la primera sección se ofrece una breve descripción y se enumeran los principales cambios del SGP desde su creación. En el segundo segmento se presenta el modelo econométrico que tiene el propósito de probar la existencia del efecto del SGP de la UE en los países en desarrollo estudiados. La descripción de los datos y la metodología se plantean en el cuarto apartado. En la quinta parte se exponen y discuten los resultados. Finalmente, se formulan las conclusiones.
SINOPSIS DEL SISTEMA GENERALIZADO DE PREFERENCIAS4
El Sistema Generalizado de Preferencias (SGP) se creó con el objetivo de conceder a determinados países en desarrollo un acceso preferencial o incluso una exención completa de impuestos en los mercados de países desarrollados, con el propósito de ayudar a los beneficiarios en sus esfuerzos de desarrollo económico. Según lo aprobado por la UNCTAD en 1968, el objetivo del SGP es apoyar la industrialización de los países en desarrollo, proporcionando un trato preferencial a las exportaciones destinadas hacia los países ricos. En el marco del SGP, los países en desarrollo obtienen reducciones arancelarias unilaterales y no recíprocas para bienes manufacturados y determinados productos agrícolas exportados a países desarrollados. La UE ha aplicado su SGP desde 1971, con extensiones y renovaciones periódicas (Cuyvers, 1998).
Desde su creación, el esquema SGP de la UE ofreció acceso preferencial o exenciones arancelarias totales para productosmanufacturados y semi-manufacturados, procedentes de los países beneficiarios. Ciertos productos agrícolas transformados disfrutaban de exenciones arancelarias totales o parciales, pero existían reglamentaciones específicas para los textiles y aquellos productos cubiertos por la Comunidad Europea del Carbón y del Acero (CECA).
El monto de las importaciones preferenciales estaba limitado, originalmente, por cuotas y límites máximos, que diferían en función del origen de las importaciones y del grupo de productos. Más allá de dichos umbrales, los beneficios de nación más favorecida (NMF) podrían ser aplicados de nuevo por la UE. Tales restricciones cuantitativas y demás requisitos específicos para determinados países y productos, se prolongaban o revisaban cada año. Las diferentes clasificaciones de productos, las complejas restricciones cuantitativas y las adaptaciones anuales convirtieron el esquema del SGP en un instrumento de política más bien incomprensible e inestable.
Una reforma drástica en 1995 eliminó todas las restricciones cuantitativas a las importaciones preferenciales del SGP. Por otra parte, el régimen ya no se revisaba anualmente, pero era posible hacerlo una vez cada tres años; esto con el fin de mejorar la previsibilidad del acceso preferencial a los mercados para los comerciantes. Se introdujeron y aplicaron nuevas reglas de graduación basadas en la interacción del índice de desarrollo del país beneficiario y de su índice de especialización a nivel de producto. Diferentes SGP fueron establecidos para los productos industriales y textiles, y a los productos agrícolas se les concedió un margen de preferencia que se reducía con el grado de "sensibilidad" de los grupos de productos en cuestión. La introducción de una cláusula social en el SGP de 1995 permitió a la Unión Europea conceder preferencias adicionales a los países que respetaban específicamente los estándares laborales de la Organización Internacional del Trabajo (OIT).
El SGP de la UE se revisó de nuevo en 1998 y un único reglamento entró en vigor para todos los productos. Más tarde, en 2001, las complicadas categorías de productos (muy sensible, sensible, semi-sensible y no sensible), se redujeron a dos categorías (productos sensibles y no sensibles en el mercado europeo). La reforma de 2001 también incluyó la introducción de un régimen SGP distintivo para los países menos avanzados, con el objetivo de reorientar las preferencias a los países en desarrollo que más lo necesitaban.
En julio de 2004, la Comisión Europea presentó sus planes para el funcionamiento del esquema del SGP durante los próximos diez años (2006-2015). El nuevo reglamento, aprobado en el Reglamento n. 980/2005, prevé tres diferentes disposiciones del SGP:
1. El acuerdo general.
2. Un régimen especial de estímulo para el desarrollo sostenible y el buen gobierno.
3. Un régimen especial para los países menos adelantados, la iniciativa "Todo menos armas" (EBA).
En virtud de la disposición general, las preferencias arancelarias están disponibles para todos los países de la lista de países beneficiarios del SGP5, China y la mayoría de las economías en transición. Los países beneficiarios serán excluidos de la lista una vez hayan alcanzado el estatus de país de renta alta según la definición del Banco Mundial, y cuyas exportaciones hacia la UE estén suficientemente diversificadas. Además, si un país ha llegado a un acuerdo con la UE que ofrezca al menos las mismas preferencias del SGP, la regulación del SGP de 2006 también prevé la exclusión del país beneficiario.
Bajo este acuerdo, las importaciones de productos no sensibles, cubiertos por el SGP quedan totalmente exentos de derechos arancelarios, a excepción de los productos agrícolas. Los aranceles sobre los productos sensibles se están reduciendo gradualmente. Este método se supone ayuda a proteger a los sectores más susceptibles de la UE, pero evita la erosión completa de las preferencias para los países beneficiarios6. Los aranceles ad valorem se han reducido a una tasa fija de 3,5 puntos porcentuales de la tasa de nación más favorecida, con una excepción para los productos textiles y prendas de vestir, que se reducirán proporcionalmente en un 20%.
Si el anterior Reglamento SGP ofrecía reducciones arancelariasmás generosas que la regulación trienal 2006-2008, las tasas de la normativa anterior se aplicarán. Los aranceles específicos sobre los productos sensibles se reducirán en un 30%, a menos que estos productos se vean afectados por una combinación de aranceles ad valorem y específicos. En ese caso, sólo los derechos ad valorem disminuirán.
El régimen especial para el desarrollo sostenible y el buen gobierno, también conocido como el plan de incentivos "SGP Plus", simplifica considerablemente la regulación del SGP, ya que combina tres modalidades diferentes del anterior ciclo de diez años 1995-2005. En virtud de este nuevo acuerdo, los países vulnerables se les concede preferencias adicionales si han ratificado y aplicado 16 convenios internacionales básicos sobre derechos humanos y laborales (Naciones Unidas y OIT) y al menos 7 de 11 convenios seleccionados y relacionados con el medio ambiente y los principios de buena gobernanza (con el compromiso de cumplir con los faltantes el 31 de diciembre de 2008)7. Los países candidatos tienen que solicitar su inclusión en la lista de países elegibles para beneficiarse de las preferencias en el marco del plan de incentivos SGP Plus. Una vez aceptado, su estado será monitoreado y revisado periódicamente por la Comisión Europea.
Ahora bien, se deben cumplir tres condiciones para que un país beneficiario pueda ser considerado como un país vulnerable. En primer lugar, el país no debe haber sido clasificado como un país de ingreso alto por el Banco Mundial durante tres años consecutivos. En segundo lugar, las cinco principales secciones de sus exportaciones hacia la UE y consideradas en el SGP de la UE deberían representar más del 75% del total de exportaciones cubiertas por el SGP8. Si se cumple esta condición, el país es considerado como demasiado dependiente del SGP con exportaciones que son demasiado especializadas, lo que puede aumentar su vulnerabilidad. Por último, las importaciones cubiertas por el SGP de ese país deben representar menos del 1% del total de importaciones cubiertas por el SGP de la UE.
El tercer acuerdo, conocido como la iniciativa "Todo menos armas" ('Everything But Arms' EBA), está disponible para todos los países clasificados como países menos adelantados -Least Developed Countries (LDCs)- de las Naciones Unidas. La iniciativa EBA se introdujo en febrero de 2001, y al contrario de las dos disposiciones anteriores se establece por un período indefinido de tiempo y, por lo tanto, no sujeta a las habituales revisiones cada tres años. Esta es una medida adicional adoptada por la UE para mejorar la estabilidad y la previsibilidad de las preferencias para este grupo de países que más necesitan de ellas.
Bajo la EBA, tanto los aranceles ad valorem como los específicos se encuentran completamente suspendidos en todos los productos sujetos a aranceles, a excepción de armas y municiones (capítulo 93 del Sistema Armonizado). Los aranceles sobre las bananas, el azúcar y el arroz se mantienen, pero se redujeron progresivamente hasta desaparecer por completo a partir del 1 de enero de 2006, el 1 de julio 2009 y el 1 de septiembre de 2009, respectivamente. La iniciativa EBA es el más generoso de los tres acuerdos, dado que los productos exentos se extienden a todos los productos sujetos a impuestos, mientras que el régimen general y el SGP Plus proporcionan un trato preferencial únicamente a los productos incluidos explícitamente en la lista de exenciones arancelarias del SGP.
Sin embargo, con el fin de permitir que el SGP de la UE pudiera seguir centrándose en los países que más necesitan de las preferencias, un mecanismo de exclusión de países (graduación de países), fue integrado al sistema. Los países beneficiarios que han alcanzado un nivel de desarrollo que les permita competir a nivel internacional con países desarrollados exportadores, serán excluidos del SGP de la UE, una vez que los siguientes criterios se cumplan. En primer lugar, durante tres años consecutivos el país ha sido clasificado por el Banco Mundial como un país de ingresos altos, y segundo, los cinco principales secciones de sus importaciones beneficiarias del SGP de la UE representan menos del 75% del total de sus exportaciones cubiertas por el SGP. Por lo tanto, un país sólo va a desaparecer de la lista de beneficiarios, cuando haya alcanzado un nivel satisfactorio de diversificación de sus exportaciones hacia la UE.
Las preferencias del SGP no sólo pueden ser suspendidas a causa de la exclusión o de la graduación. Los países miembros de la UE individualmente o la Comisión Europea pueden apelar a una "cláusula de salvaguardia" en el sistema SGP, que establece que cuando las importaciones beneficiarias del SGP, procedentes de un país beneficiario puedan dar lugar a graves problemas a los productores de la UE, los aranceles normales pueden ser reinstalados en cualquier momento. Esta cláusula parece abrir la puerta a un retiro arbitrario de las preferencias unilaterales otorgadas en el marco del SGP. La principal desventaja para los países beneficiarios es un efecto adverso sobre la previsibilidad de las preferencias futuras, lo cual también podría desalentar la inversión sostenida en la capacidad de oferta de los países beneficiarios.
De otra parte, los beneficiarios del SGP de la UE tienen que cumplir con las reglas de origen. Si un bien se originó a partir de una sola etapa de producción de un país beneficiario, es obvio que goza de acceso preferencial. Sin embargo, la mayoría de los productos, se elaboran en un proceso de producción de múltiples etapas y con insumos adquiridos en varios países. Por lo tanto, los requisitos se establecen especificando cuándo, dónde y cuánto procesamiento se tiene que hacer para considerar un producto como originario de un país específico. Diversos métodos, tales como un cambio de partida arancelaria, el porcentaje del valor agregado y otros criterios económicos y técnicos, se utilizan actualmente en la UE.
Una posibilidad para la acumulación de origen fue presentada por la UE con el fin de apoyar las iniciativas regionales de integración económica entre los países en desarrollo. Cuando las reglas de acumulación son estrictamente respetadas, los insumos de otros países del grupo regional, utilizados durante el proceso de producción, pueden considerarse como originarios del país beneficiario del SGP. Actualmente, tres grupos regionales califican para la acumulación regional en el marco del SGP de la UE: la ASEAN, la Asociación Sudasiática para la Cooperación Regional (SAARC), y un tercer grupo de países abarcan todas las naciones de la Comunidad Andina y el Mercado Común Centroamericano (MCCA). Con respecto a la ASEAN, es importante tener en cuenta que Myanmar no se le permite participar en la acumulación de origen, a diferencia de Singapur, a pesar de su exclusión del SGP de la UE.
Un número de estudios han examinado el efecto del SGP en las exportaciones de los beneficiarios del SGP. En su investigación sobre el efecto del SGP de EE.UU. en las exportaciones de Bolivia y Brasil, Truett y Truett (1997) encontraron un efecto positivo sobre las exportaciones de manufacturas de Bolivia a Estados Unidos, pero no hallaron pruebas para Brasil durante el período en estudio. Por el contrario, Truett y Truett (1989) no identificaron ninguna evidencia de que el SGP haya sido benéfico para las exportaciones de Malasia y México entre 1967 y 1985. De otra parte, utilizando una muestra de 29 países durante 1967 y 1978, Sapir (1981) examinó el efecto de la GSP CEE sobre los flujos de importaciones de productosmanufacturados en la CEE, originarias de los países beneficiarios del SGP, y encontró que el SGP CEE produjo un efecto positivo para diez de los países de la muestra.
EL MODELO
El presente estudio pretende analizar empíricamente los efectos del SGP de la UE sobre las exportaciones y la utilización de dichas preferencias arancelaras, por parte de los países asiáticos y latinoamericanos entre 1994 y 2007. Los países asiáticos considerados en este análisis son los miembros de la ASEAN y China.
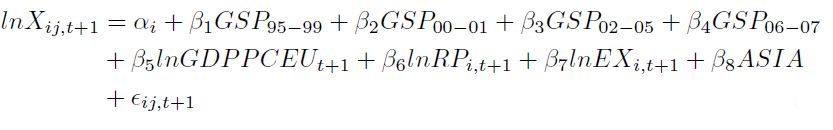
Siguiendo a Aitken (1973), Sapir (1981), y Truett y Truett (1989, 1997), se estima la siguiente ecuación:
![]() | [1] |
Además se prueba el impacto de los cambios del SGP en el grado de utilización de las preferencias arancelarias, por parte de los países estudiados, mediante la siguiente ecuación:
![]() | [2] |
En las ecuaciones (1) y (2) ln se refiere al logaritmo natural; X son las exportaciones de los países beneficiarios del SGP hacia los mercados de los países miembros de la UE; DU es el grado de utilización de las preferencias de la UE, que se define como las exportaciones actuales beneficiarias del SGP sobre las exportaciones admisibles por el SGP de la UE, para cada país; GSP es una variable ficticia para el comercio entre la UE y los países beneficiarios del SGP de Asia y América Latina, y se encuentra dividida en cuatro sub-períodos correspondientes a fases en las cuales se presentaron cambios en el SGP de la UE9; GDPEU denota la producción nacional bruta de la UE con 15 estados miembros (UE-15)10; GDPPCEU es el PIB per cápita de la UE-15; GDPPC es el PIB per cápita del país exportador; RP es el nivel relativo de los precios en el país exportador en comparación con el nivel de precios ponderado de la UE; EX es el tipo de cambio de la moneda del país exportador frente a las monedas de la UE; ASIA es una variable ficticia que tiene la intención de capturar una diferencia en el impacto de la ASEAN y China, en comparación con los países de América Latina; IMPEU es la participación del país beneficiario en el total de las importaciones cobijadas por el SGP de la UE.
La ecuación (1) es una simplificación de la función de demanda y oferta, lo que implica que los flujos bilaterales de comercio del país i al país j dependen de las condiciones de oferta en el país i, el estado de la demanda en el país j, los precios relativos del país i y j y la resistencia a los intercambios comerciales entre i y j. La oferta de exportaciones del país i depende de los ingresos y de la población del país i. Siendo todo lo demás igual, cuanto mayor sea la población del país exportador i, mayor será el tamaño de mercado en relación con los mercados extranjeros del país exportador, lo que resulta en una menor oferta de exportaciones del país i.
Asimismo, la demanda de importaciones del país j depende de los ingresos y de la población del país j, es decir, cuanto mayor sea la renta y la población del país importador, mayor será la demanda de importaciones. La variable dummy GSP pretende capturar el impacto positivo en los flujos comerciales bilaterales entre los beneficiarios del SGP y los Estados miembros de la UE. En las especificaciones (1) y (2) también se introducen las variables ficticias del GSP para comprobar si los cambios en el SGP de la UE han tenido un impacto sobre los flujos de comercio bilateral y el grado de utilización.
Con el propósito de probar estas ecuaciones considerando el efecto rezagado de un año de las exportaciones del SGP y el grado de utilización de los cambios en el SGP de la UE, se proponen las siguientes ecuaciones:
![]() | [3] |
![]() | [4] |
Adicionalmente, se pone a prueba si los cambios en el SGP de la UE tuvieron un impacto muy diferente en Asia y los países de América Latina, lo cual se logra mediante la introducción en las ecuaciones (1) a (4) de los siguientes términos de interacción: GSP95-99xASIA, GSP00-01xASIA, GSP02-05xASIA y GSP06-07xASIA.
DATOS Y METODOLOGíA DE ESTIMACIÓN
Los datos utilizados para la estimación fueron proporcionados por la Comisión Europea con sede en Bruselas. La base de datos suministrada brinda información sobre el monto de las exportaciones en el marco del SGP de la UE asignados a cada país exportador y las exportaciones reales de cada país exportador a los mercados de la UE entre 1994 y 200711.
Las Gráficas 1 y 2 muestran las importaciones totales del SGP de la UE de la ASEAN y China, y los países latinoamericanos, respectivamente. Las Gráficas 3 y 4 muestran el grado de utilización de los beneficios del SGP de la ASEAN y China y América Latina, respectivamente.
Las cifras indican una gran volatilidad y por lo tanto la inestabilidad desde el punto de vista de los países beneficiarios. Mediante la estimación de las ecuaciones (1) - (4) se tratará de probar si los cambios en las importaciones SGP y su grado de utilización se ven afectados por los cambios en el SGP de la UE, controlando por los determinantes probables de ambas variables.
Con la información de los veintisiete países beneficiarios durante el período objeto de investigación, se obtiene un panel de datos para la estimación de las especificaciones econométricas (1) a (4).
Los datos de panel tienen varias ventajas sobre los datos de las series habituales de corte transversal o de tiempo (Hsiao, 2003, 2005; Plasmans, 2006). Plasmans (2006) ha demostrado que los datos de panel son más eficaces con respecto a un muestreo aleatorio, dado que: presentan menos multicolinealidad, son mejores para la agregación y su análisis es más fácil. De manera similar, Hsiao (2005) ha indicado que una ventaja importante de los datos de panel es que permiten controlar los efectos de las variables que faltan o se omiten. Wei y Liu (2001) han argumentado que el uso de datos de panel tiene en cuenta la diversidad y la especificidad del comportamiento observable de países diferentes, lo cual no se puede capturar en una ecuación de regresión.
El uso de datos de panel permite 3 métodos de estimación: mínimos cuadrados ordinarios combinados (MCOC) -pooled regression-, efectos fijos (EF) y efectos aleatorios (EA). Si el supuesto es que los efectos para cada país no son muy diferentes, dentro del grupo de países analizados, se puede realizar una estimación de MCOC, siendo el método más simple y eficiente. La estimación con EF permite capturar la heterogeneidad no observable de los países, aunque es menos eficiente que el estimador de efectos aleatorios, esta última puede sufrir de sesgo de endogeneidad (probado mediante el test de Hausman). En este caso se prefiere el estimador de EF.
Al igual que el modelo de EF, las estimaciones de efectos aleatorios tienen en cuenta la heterogeneidad no observable de los países, pero incorporan estos efectos en los términos de error, los cuales se asumen como no correlacionados con las variables explicativas.
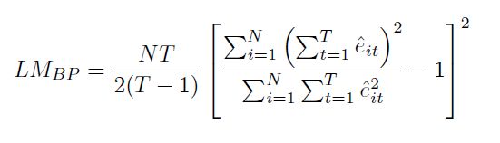
Para elegir el modelo apropiado para los datos de panel hay tres pruebas disponibles (Plasmans, 2006): la prueba F, la prueba de especificación de Hausman (Hausman, 1978), y la prueba del multiplicador de Lagrange (test LM) (Breusch y Pagan, 1980). La prueba F se utiliza para evaluar el modelo EF frente a MCOC. La hipótesis nula es que todos los efectos individuales son iguales o algebraicamente,
considerando el estadístico de prueba F para la significación conjunta de los efectos individuales:
![]() | [5] |
Siendo N el número de países inversionistas en IED y K es el número de variables explicativas. Un valor elevado del estadístico F tendrá como consecuencia el rechazo de la hipótesis nula en favor del modelo de EF.
Puesto que las ecuaciones de regresión (1 a 4) contienen variables variantes e invariantes en el tiempo, el uso de la estimación con EF se considera inadecuado, ya que se reducirán las variables invariantes en el tiempo. En vista de ello, en este artículo se optó por la estimación de MCOC y EA. Para evaluar cuál es el mejor modelo se utilizará la prueba LM. Si no existen efectos específicos para cada país, el modelo MCOC ofrecerá los mejores estimadores lineales no sesgados (BLUE), mientras que los estimadores del modelo de EA no serían eficientes. Lo contrario es cierto si los distintos efectos específicos de cada país existen en el conjunto de datos de panel.
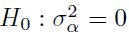
El modelo de MCOC supone que los efectos específicos individuales, αi son iguales y diferentes de cero, mientras que el modelo EA supone que siguen un proceso estocástico aleatorio, independiente e idénticamente distribuido, es decir,
se asumen con distribución normal, con media cero y una varianza constante, es decir, uit ∼ iid(0, σ2). Se ha demostrado por Breusch y Pagan (1980) que, bajo la hipótesis nula
contra la hipótesis alternativa
, la estadística de prueba LM es la siguiente:
![]() | [6] |
Que se distribuye asintóticamente siguiendo una χ2 con un grado de libertad,
denota los residuos del modelo de MCOC. Con un valor elevado de la estadística de prueba LM se rechaza la hipótesis nula en favor del modelo EA.
La prueba de Hausman permite comprobar la idoneidad del modelo de EF frente al modelo de EA. El estadístico de la prueba de Hausman se calcula de la siguiente manera (Verbeek, 2004):
![]() | [7] |
Donde
indican las estimaciones de las matrices de covarianza. Bajo la hipótesis nula de que las variables explicativas y αi no están correlacionados, el estadístico de la prueba de Hausman ψH es asintóticamente distribuido según χ2 con K grados de libertad, donde K es el número de coeficientes en el modelo de EA. Un valor grande conduce al rechazo de la hipótesis nula en favor del modelo de efectos fijos.
RESULTADOS DE LA ESTIMACIÓN
Los cuadros 1, 2 y 3 proporcionan los resultados de la estimación del impacto de los cambios en el sistema comunitario de preferencias generalizadas sobre las exportaciones de los países beneficiarios de la ASEAN, China y América Latina, con respecto a los productos agrícolas, industriales y textiles.
Las pruebas propuestas por Breusch y Pagan (1980) para probar la conveniencia del modelo de MCOC se realizaron para todas las especificaciones. Los resultados muestran que el modelo de efectos aleatorios es estadísticamente mejor para todas las especificaciones (cuadros 1 a 6). Por lo tanto, todos los resultados presentados se obtienen a partir del modelo con EA.
Para los productos agrícolas, el coeficiente estimado del PIB de la UE es, como se esperaba, positivo y significativamente distinto de cero a un grado de significancia del 1% para las especificaciones sin rezagos, con rezagos y términos de interacción. Esto sugiere que el PIB de la UE y las exportaciones agrícolas de los beneficiarios están positivamente correlacionados. Sin embargo, otras variables, como cambios en los precios relativos y variaciones relativas de los tipos de cambio, no son significativas a cualquier nivel de significación convencional, lo que implica que estas variables no afectan a las exportaciones de los países beneficiarios, destinadas a los mercados de la UE.
La columna (2) muestra los resultados de las estimaciones considerando la interacción de los términos de reacción del SGP de la UE con la variable dummy Asia, que tiene la intención de capturar el efecto diferencial de los cambios en el SGP de la UE para los países asiáticos y latinoamericanos. Ninguno de los términos de interacción fue estadísticamente significativo a cualquier nivel de significación, lo que implica que no hay pruebas que demuestren un impacto diferencial de loscambios en el SGP de la UE sobre el desempeño de las exportaciones de estos dos grupos de naciones.
Se considera habitualmente que las exportaciones de los beneficiarios del SGP de la UE no pueden responder simultáneamente a los cambios en el SGP, por lo tanto, las ecuaciones se estiman sin rezago y con rezago de un año. Controlando por los efectos de las variaciones de los precios relativos, los cambios de tipos de cambio relativos y el tamaño del mercado UE-15, existe una fuerte evidencia que muestra que los cambios en el SGP de la UE han provocado un descenso significativo de las importaciones SGP agrícolas en los 15 estados miembros europeos. Al igual que en en el caso anterior, no hay evidencia estadística que apoye un impacto diferencial de los cambios en el SGP de la UE entre los dos grupos de países en desarrollo considerados (columna 4).
En cuanto a los productos industriales, no hay evidencia estadística que sugiera que las exportaciones de los beneficiarios del SGP se vean afectadas por los cambios del SGP de la UE. Lo mismo es cierto para los textiles. Al igual que en el caso de los productos agrícolas, se analiza la interacción de la variable dummy Asia con las dummies de cambios en el SGP de la UE. Sin embargo, no hay pruebas de significación estadística para apoyar cualquier efecto de estos términos de interacción (Columnas 5 y 7), lo que sugiere que ambos grupos de países en desarrollo no están afectados de manera diferente por las variaciones en el SGP de la UE.
Ahora bien, hay cierta evidencia para los productos industriales y una muy elevada para los productos textiles, que ceteris paribus las exportaciones del SGP de la ASEAN y China parecen tener un mejor desempeño que las de América Latina, dado que el valor del parámetro para la dummy Asia es estadísticamente significativo en el 10% (columnas 4 y 6 de los cuadros 3 y 4). Esto podría reflejar el impacto sobre las exportaciones industriales y textiles de las diferencias en la estructura y el desarrollo industrial entre estos dos grupos de países. Los resultados poco alentadores de las importaciones de textiles del SGP de la UE podrían explicarse por la naturaleza sensible de las importaciones de textiles procedentes de muchos países en desarrollo, tanto para el sector textil de la UE como para los responsables de las políticas de la UE. Además, no hay que olvidar que durante gran parte del período considerado, el Acuerdo Multifibras todavía estaba en vigencia.
Los cuadros 4 a 6 presentan los resultados del impacto de los cambios en el SGP de la UE sobre el grado de utilización de los productos agrícolas, industriales y textiles. Al igual que en el caso anterior, con el fin de elegir la mejor especificación del modelo, se realizaron las pruebas propuestas por Breusch y Pagan (1980). Los resultados arrojaron que en todos los casos el mejor modelo es el de EA. Al controlar por otros factores que pueden afectar el grado de utilización del SGP, se ha encontrado que para los productos agrícolas el grado de utilización muestra un impacto negativo debido a los cambios en el SGP de la UE, lo cual, sin embargo, no se encuentran los productos industriales. El mecanismo de graduación del SGP de la UE parece ser eficaz para los productos agrícolas, ya que se encontró que el nivel de desarrollo del país beneficiario tiene un efecto negativo y significativo sobre el grado de utilización de estos productos. Al igual que en el caso anterior, no existe una diferencia fuerte en la reacción frente a los cambios del SGP de la UE entre los países asiáticos y latinoamericanos, en lo que respecta a los productos agrícolas (Cuadro 6).
Para los productos industriales, los resultados de las estimaciones muestran que el SGP de la UE durante el período 2000-2001 ejerció un efecto positivo significativosobre el grado de utilización. Sin embargo, no hay evidencia significativa de que la proporción de las importaciones de la UE, de un país beneficiario del SGP tenga un impacto negativo sobre el grado de utilización, lo que apunta a la efectividad del mecanismo de graduación. Como era de esperar, los cambios en los precios relativos están correlacionados negativamente con el grado de utilización, mientras que las variaciones del tipo de cambio han tenido un impacto positivo en la utilización. Sin embargo, no son significativas para niveles de significación convencionales.
Los términos de interacción de los cambios del SGP y la dummy Asia son significativos al nivel del 10%, lo que indica que para los productos industriales, el grado de utilización de las exportaciones del SGP de la ASEAN y China en los mercados europeos ha cambiado proporcionalmente más que la de los países de América Latina para los productos industriales. En otras palabras, la ASEAN y China se beneficiaron más que América Latina del SGP de la UE. De nuevo, esto puede deberse a un mayor desarrollo industrial y una estructura industrial mejor adaptada en el primer grupo de países para aprovechar del esquema del SGP.
Para los productos textiles, hay pruebas débiles de un impacto negativo de los cambios en el SGP de la UE sobre su utilización, durante el período 2002-2005, pero la evidencia estadística es más significativa para el sub-período 2006-2007. El grado de utilización de los productos textiles parece estar relacionado positivamente con la cuota de importaciones del país beneficiario en el SGP de la UE, lo que parece contradecir el mecanismo de graduación actual. Al igual que en el caso de los productos industriales, hay una evidencia débil de que los países asiáticos se hayan Impacto de los cambios en el sistema generalizado de preferencias Ludo Cuyvers y Reth Soeng 85 beneficiado proporcionalmente más que los países de América Latina frente a los cambios en el SGP de la UE, durante 2002 y 2005, pero esto se acentúa para el sub-período 2006-2007.
Cabe señalar que la especificación del modelo sin rezagos conduce a resultados más significativos para las importaciones de la UE de productos industriales y el grado de utilización de los beneficios del SGP para estos productos. Las importaciones SGP de productos industriales parecen haber reaccionado positivamente a los cambios en el SGP de la UE. Que la especificación sin rezagos del modelo presente un mejor desempeño para modelar el impacto en los productos industriales, podría sugerir que los productores y exportadores de productos agrícolas, debido a la naturaleza específica de estos productos, reaccionan más lentamente. Además, se encontró que los cambios en el SGP de la UE tuvieron un efecto positivo sobre el grado de utilización del SGP para los productos industriales y textiles.
CONCLUSIONES
En el presente trabajo, se ha investigado el impacto de los cambios en el Sistema Generalizado de Preferencias de la Unión Europea, sobre las importaciones de la UE procedentes de los países beneficiarios del SGP de la ASEAN, China y América Latina, así como, la utilización de los beneficios del SGP por estos países. Se han considerado especificaciones con rezagos y sin rezagos, pero esta última permite una mejor modelación. Se controló por cambios en los precios relativos bilaterales, el tipo de cambio bilateral del país beneficiario y de la UE, y el tamaño del mercado UE-15.
Los términos de interacción de la dummy Asia y las variables ficticias que indican cambios en el SGP de la UE, se introdujeron para investigar el impacto diferencial entre los países asiáticos y los latinoamericanos. Para los productos agrícolas, loscambios en el SGP de la UE han tenido un impacto negativo en las importaciones de la UE provenientes de ASEAN, China y Latinoamérica. Sin embargo, no hubo diferencias significativas en las reacciones entre los dos grupos de países en lo referente a productos agrícolas.
Para los productos industriales, hay evidencia de reacciones en las exportaciones de los beneficiarios del SGP ante cambios significativos del SGP; sin embargo, no hay pruebas sólidas de que la ASEAN y China se beneficien más que los países de América Latina. Aunque para las exportaciones de textiles de la ASEAN, China y América Latina no hay evidencia de reacciones diferenciadas frente a modificaciones del SGP de la UE en los últimos años, las exportaciones de textiles de los primeros parecen tener mayor demanda en la UE (como lo indica la dummy Asia).
Con respecto al impacto de SGP de la UE sobre el grado de utilización, se encuentra evidencia sutil de un impacto negativo de los cambios en el SGP de la UE para los productos agrícolas. El mecanismo de graduación del SGP de la UE parece ser eficaz para los productos agrícolas, ya que se encontró que el nivel de desarrollo del país beneficiario tiene un efecto significativo y negativo sobre el grado de utilización.
Para los productos industriales, no hay, sin embargo, evidencia significativa de que la proporción de las importaciones SGP de un país beneficiario tenga un impacto negativo sobre el grado de utilización, lo que apunta a la efectividad de otro mecanismo de graduación del SGP de la UE. En cuanto a los productos textiles, hay pruebas débiles de un impacto negativo de los cambios en el SGP UE sobre la utilización del mismo.
Para los productos industriales y textiles, se encontró que el grado de utilización de los países de la ASEAN y China ha cambiado proporcionalmente más que el de las naciones de naciones de América Latina. Esta mayor utilización, podría deberse a un mayor desarrollo industrial y a una mejor estructura industrial del primer grupo. El presente estudio mostró que los países menos desarrollados no se beneficiaron en gran medida del SGP de la UE en el período considerado. Esto podría explicarse por la complejidad del Sistema Generalizado de Preferencias de la Unión Europea, por ejemplo, sus normas de origen estrictas (incluidas las de acumulación regional) que, para los países menos desarrollados, resultan difíciles de cumplir. No hay que olvidar que los países en desarrollo importan grandes cantidades de insumos para la elaboración de productos finales para luego ser exportados. La simplificación del SGP de la UE y una relajación de las normas comunitarias de origen, podrían ser beneficiosas para todos los países involucrados.
NOTAS AL PIE
3 La excepción es la Unión Soviética, cuyo esquema de SGP estaba en vigencia desde enero de 1965. Los Estados Unidos implementaron este esquema en enero de 1976, Japón en agosto de 1971, Dinamarca, Irlanda, Nueva Zelanda, Suecia y el Reino Unido en enero de 1972, Suiza en marzo de 1972, Austria en abril de 1972, Australia en enero de 1974, Canadá en julio de 1974; Hungría en enero de 1972, Checoslovaquia en febrero de 1972, Bulgaria en abril de 1972, y Polonia en enero de 1976 (Sapir, 1981).
4 Para una ampliación de este apartado se sugiere revisar Cuyvers y Verherstraeten (2005).
5 Council Regulation No. 980/2005.
6 Como los aranceles NMF se han reducido en las sucesivas rondas de liberalización del comercio multilateral, las tasas arancelarias preferenciales también tienen que disminuir, con el fin de mantener el mismo margen de preferencia para los países beneficiarios. Si los márgenes de preferencia se reducen, los incentivos para hacer uso del esquema SGP desaparecen, convirtiéndolo así en un instrumento de política ineficaz.
7 Una enumeración de todos los convenios específicos se pueden encontrar en el anexo III del Reglamento n. 980/2005.
8 El término 'Sección' a este respecto, se refiere a las 21 secciones de los productos de la Nomenclatura Combinada de la UE.
9 El primer período para los productos agrícolas es 1997-1999, dado que fue sólo hasta 1997 que el nuevo reglamento del SGP para los productos agrícolas entró en vigor.
10 UE-15 incluye los Países Bajos, Bélgica, Luxemburgo, Alemania, Francia, Italia, Dinamarca, Irlanda, Reino Unido, Grecia, España, Portugal, Austria, Finlandia y Suecia.
11 Los datos correspondientes a 1990-1993 no están codificadas por Eurostat todavía. También se debe señalar que los datos de las importaciones SGP admisibles y reales en el período 1994-1996 no son totalmente fiables, ya que se basan en cálculos realizados utilizando diferentes tipos de cambio.
REFERENCIAS BIBLIOGRÁFICAS
1. Aitken, N.D. (1973). The Effect of the EEC and EFTA on European Trade: A Temporal Cross-Section Analysis. American Economic Review, 63, 881-892. [ Links ]
2. Breusch, T. S. y A. R. Pagan. (1980). The Lagrange Multiplier Test and its Applications to Model Specification in Econometrics. Review of Economics Studies, 47, 239-253. [ Links ]
3. Cuyvers, L. (1998). The Generalized System of Preferences of the European Union with Speical Reference to ASEAN and Thailand (CAS Discussion Paper No. 18). Antwerp: Centre for ASEAN Studies. [ Links ]
4. Cuyvers, L. y Verherstraeten, S. (2005). The EU's Generalized System of Preferences and its ASEAN Beneficiaries: A Success Story? (CAS Discussion Paper No. 47), Antwerp: Centre for ASEAN Studies. [ Links ]
5. Hausman, J. A. (1978). Specification Tests in Econometrics. Econometrica, 46, 1251-1271. [ Links ]
6. Hsiao, C. (2003). Analysis of Panel Data (Econometric Society monograph No. 34). Cambridge: Cambridge University Press. [ Links ]
7. Hsiao, C. (2005). Why Panel Data? Singapore Economic Review, 50, 143-154. [ Links ]
8. Özden C. y Reinhardt, E. (2005) The perversity of preferences: GSP and developing country trade policies, 1976-2000. Journal of Development Economics, 78, 1-21. [ Links ]
9. Panagariya, A. (2002). EU Preferential Trade Arrangements and Developing Countries. World Economy, 25, 1415-1432. [ Links ]
10. Plasmans, J. (2006). Modern Linear and Nonlinear Econometrics. New York: Springer Verlag. [ Links ]
11. Sapir, A. (1981). Trade Benefits Under the EEC Generalized System of Preferences. European Economic Review, 15, 339-355. [ Links ]
12. Truett, D.B. y Truett, L.J. (1997). Trade Preferences and Exports of Manufactures: A Case Study of Bolivia and Brazil. Weltwirtschaftliches Archiv, 129, 573-590. [ Links ]
13. Truett, D.B. y Truett, L.J. (1989). Level of Development and the U.S. Generalized System of Preferences: Malaysia and Mexico. Journal of Development Studies, 25, 226-239. [ Links ]
14. Verbeek, M. (2004). A Guide to Modern Econometrics, 2nd edition. Chichester: John Wiley & Sons. [ Links ]
15. Wei, Y. y Liu, X. (2001). Foreign Direct Investment in China: Determinants and Impact. Edward Elgar: Cheltenham. [ Links ]






















