Services on Demand
Journal
Article
Indicators
-
Cited by SciELO -
Access statistics
Related links
-
Cited by Google -
Similars in
SciELO -
Similars in Google
Share
Cuadernos de Economía
Print version ISSN 0121-4772
Cuad. Econ. vol.33 no.62 Bogotá Jan./June 2014
https://doi.org/10.15446/cuad.econ.v33n62.43666
http://dx.doi.org/10.15446/cuad.econ.v33n62.43666
UN MODELO DE GESTIÓN DE PROYECTOS INMOBILIARIOS DE RENOVACIÓN URBANA
A MANAGEMENT MODEL FOR URBAN RENEWAL BUILDING PROJECTS
UN MODÈLE DE GESTION DE PROJETS IMMOBILIERS DE RÉNOVATION URBAINE
UM MODELO DE GESTÃO DE PROJETOS IMOBILIÁRIOS DE RENOVAÇÃO URBANA
Álex Smith Araque Solanoa
a Magíster en Economía, Universidad Nacional de Colombia. Profesor de la Escuela de Economía de la Universidad Sergio Arboleda. Dirección electrónica: alex.araque@correo.usa.edu.co.
Agradezco los comentarios de Hugo Torres, Sandra Salgado de la UAECD, Claudia Andrea Ramírez, Paco Bermúdez y el equipo de Economía Urbana de la Secretaría de Planeación Distrital y Antonio Avendaño y Mónica Flórez, del grupo de investigación de Economía Regional de la Universidad Sergio Arboleda. Se excluyen de cualquier responsabilidad. Una versión preliminar de este artículo fue presentado en 59th North American Meeting of the Regional Science Association International (RSAI) en Ottawa, Canadá, noviembre de 2012.
Resumen
Los proyectos urbanos en Colombia no han sido exitosos en alcanzar objetivos sociales o los propios del ordenamiento urbano. Aquí se propone que con algunos instrumentos financieros -como el patrimonio autónomo- de gestión del suelo y de participación en plusvalía de la Ley 388 de 1997 es posible usar las rentas del suelo para alcanzar mejores dotaciones urbanas y vivienda de interés social, bajo el principio del reparto equitativo de cargas y beneficios. La plusvalía como impuesto pigoviano corrige las distorsiones del mercado, y el patrimonio autónomo reasigna derechos de propiedad para alcanzar los objetivos públicos y privados.
Palabras clave: externalidades, ordenamiento territorial, cargas y beneficios, patrimonio autónomo, TIR, TIO, plusvalía, Colombia.
JEL: R10, R14, R20, R21.
Abstract
Urban projects in Colombia, particularly those related to urban renewal, have not been successful in attaining the social goals set by either public policy or zoning. In this paper, I argue that by using the financial and planning tools considered in Congress Act 388 of 1997, it is possible to use the rents associated with the use of the land -traditionally captured by private operators- in favor of civil society. Specifically, it is possible to improve the provision of social housing and the supply of urban amenities under the principle of the fair allocation of cost and benefits. The infrastructure costs can be internalized into the projects and the higher land value that is captured can finance social housing as a Pigouvian tax. Additionally, under a Coasian perspective, the use of these tools modifies the property rights system, which allows the agents to maximize their objective functions.
Keywords: Externalities, land managment, burdens and benefits, IRR, IRO, value capture, Colombia.
JEL: R10, R14, R20, R21.
Résumé
En Colombie. Les projets urbains n'ont pas eu le succès attendu pour atteindre des objectifs sociaux ou ceux mêmes de l'aménagement urbain. Nous proposons ici, qu'avec plusieurs instruments financiers, comme le patrimoine autonome, de gestion du sol et de participation en plus-value de la Loi 388 de 1997, il est possible d'utiliser les revenus du sol pour atteindre de meilleures dotations urbaines et de logements d'intérêt social, selon le principe de la répartition équitable des charges et bénéfices. La plus-value comme la taxe Pigou corrige les distorsions du marché et le patrimoine autonome réassigne les droits de propriété pour atteindre les objectifs publics et privés.
Mots-clés : externalités, aménagement du territoire, charges et bénéfices, patrimoine autonome, TIR [Taux de rendement interne], TIO [Taux d'intérêt d'opportunité], plus-value, Colombie.
JEL : R10, R14, R20, R21.
Resumo
Os projetos urbanos na Colômbia não têm sido bem-sucedidos para atingir objetivos sociais ou os próprios do ordenamento urbano. Aqui, propõe-se que, com alguns instrumentos financeiros -como o patrimônio autônomo- de gestão do solo e de participação em mais-valia da lei 388 de 1997, é possível utilizar as rendas do solo para alcançar melhores dotações urbanas e moradia de interesse social, sob o princípio da distribuição equitativa de encargos e benefícios. A mais-valia, como imposto pigoviano, corrige as distorções do mercado e o patrimônio autônomo atribui mais uma vez direitos de propriedade para atingir os objetivos públicos e privados.
Palavras-chave: Externalidades, ordenamento territorial, encargos e benefícios, patrimônio autônomo, TIR, TIO, mais-valia, Colômbia.
JEL: R10, R14, R20, R21.
Este artículo fue recibido el 28 de septiembre de 2012, ajustado el 6 de mayo de 2013 y su publicación aprobada el 8 de mayo de 2013.
Las ciudades en Colombia exhiben agudos desequilibrios territoriales (Mertins, 2004) que reflejan, de igual manera, las considerables desigualdades en la distribución del ingreso del país (Bonilla, 2008, 2009). En este sentido el ordenamiento y la planificación física de los territorios entran a desempeñar un papel fundamental en la reducción de dichos desequilibrios, como bien lo ha expresado la Ley 388 de 1997, la cual no solo modifica la forma de financiamiento del desarrollo urbano con una oferta interesante de instrumentos de gestión del suelo, sino que también revalúa la legitimidad de la apropiación privada de los efectos externos producidos por las aglomeraciones y el urbanismo.
A pesar del valor de los cambios institucionales, proporcionados por la mencionada ley, una parte importante de los municipios no han utilizado dichos instrumentos. Los territorios que sí lo han hecho han tenido dificultades, quizá relacionadas con la falta de comprensión del funcionamiento del mercado inmobiliario.
La aplicación adecuada del principio del reparto equitativo de cargas y beneficios en la expedición de los instrumentos de planeamiento , les exige a los agentes urbanos comprender la complejidad del tratamiento del problema del establecimiento de límites a las racionalidades de los promotores inmobiliarios, que permitan superar la tradicional captura de rentas de parte de los agentes privados y de la eliminación de asimetrías de información en la negociación público-privada, para alcanzar la mayor efectividad del planeamiento territorial1 y superar ineficiencias en la planeación, las cuales se expresan en casos en apariencia exitosos como la reconstrucción del Eje Cafetero, Ciudad Victoria en Pereira o la renovación de San Victorino (Castaño, 2007; Camargo y Jaramillo, 2011; El Tiempo, 2011). Es claro que a pesar de la existencia del sistema de repartos de cargas y beneficios (UTU, 2010; CIDER, 2005a), estos no se han ejecutado de manera acertada y efectiva.
Ahora bien, la gestión de proyectos urbanos con participación pública y privada es un mecanismo que facilita la orientación de la planificación territorial hacia el desarrollo económico de las ciudades. Diversos estudios y experiencias así lo han demostrado: Adair, Berry y McGreal (2003), Couch, Fraser y Percy (2003), McGreal, Berry, Lloyd y McCarthy (2002) y Serra (2011), entre otros. Lo anterior significa que la gestión de proyectos urbanos forma parte "de la construcción colectiva de una visión compartida sobre el futuro de las ciudades" (Camagni, 2004: 272). Para concretar esta visión, la planificación urbana precisa elaborar métodos de gestión del suelo que sean aplicables a los proyectos urbanos y que incluyan desarrollos inmobiliarios. En este sentido, esta investigación propone un método que permita alcanzar los objetivos tanto de política pública como del interés privado.
La propuesta presentada en este artículo busca resolver algunos problemas prácticos de la administración de planeación territorial en Bogotá. En primer lugar, aclara la definición del reparto de cargas y beneficios, que supone expedir instrumentos de planeamiento. En segundo lugar, demuestra que se puede construir vivienda de interés social en zonas de renovación urbana, cuando se logran optimizar las ofertas inmobiliarias dentro de una unidad de actuación adecuada y se realizan cruces ordenados de rentas del suelo2. En tercer lugar, facilita aplicar el principio de cargas y beneficios, sin crear grandes costos financieros para los propietarios del suelo o los constructores. Lo anterior se logra articulando la gestión del suelo y los instrumentos financieros. Se espera que un esquema como el propuesto en este artículo permita construir la ciudad concebida en el Decreto 190 de 2004.
En la perspectiva económica se diferencian varios negocios: la adecuación del suelo, la gestión inmobiliaria y la financiera y la construcción. Estos no se encuentran en esferas separadas, a pesar de las distintas lógicas del desarrollo capitalista o de mercado que tiene cada uno de los agentes involucrados en el proceso. Por el contrario, se vinculan en una concepción paretiana; es decir, se requiere alcanzar un equilibrio entre la gestión del suelo y la construcción del proyecto en el que los agentes que intervienen participen de un negocio en el cual ganen, dada la frontera de rentabilidades que el mercado reconoce.
Con este fin, el artículo se ha organizado en cuatro secciones. En la primera se presentan los aspectos conceptuales del modelo teórico que soportan el método propuesto, se establece la importancia del marco de derechos, la validación de la norma de parte del mercado y la necesidad de eliminar asimetrías de información. En la segunda se aborda la gestión del proyecto, se desarrolla la estructura general del análisis económico y financiero de un proyecto urbano de renovación urbana para pasar a la aplicación del método propuesto en la tercera parte. En la cuarta sección se formulan algunas conclusiones.
EL MARCO DE ANÁLISIS
Las condiciones de producción de espacio edificado cambiaron de forma radical con la crisis del sector inmobiliario en Colombia entre 1998 y 2001. En efecto, se introdujeron innovaciones como la venta en planos mediante fiducia, lo que aseguraría el vaciado del mercado. No obstante, este mercado crea excesos de demanda en los sectores de bajos ingresos o de vivienda de interés social (VIS) (Rocha, Sánchez y Tobar, 2007). Con esta consideración se puede señalar que existen distorsiones entre las situaciones óptimo-paretianas y walrasianas (Hildenbrand y Kirman, 1982).
Si se suponen dos grupos de hogares A y B, que son consumidores de espacio edificado3 en dos sectores de la ciudad (S1 y S2), y empresas que producen dos tipos de vivienda (Ov y Onv,), el primer tipo es VIS (de bajo precio) y el segundo es No VIS (de altos ingresos), en ambos sectores, se puede representar la situación mediante la Gráfica 1.
En la Gráfica 1 la situación inicial en el punto 2 se entiende como un desequilibrio en el cual los factores productivos se usan en una frontera de posibilidades de producción aparente o subóptima. En estas condiciones solo se produce O1v de vivienda de bajo costo y O1nv de la restante4. Las condiciones urbanas distorsionan las funciones de utilidad, de forma que la relación marginal de sustitución no iguala a la relación de precios y de factores. Por ende, en el sector S1 se consumirá solo V1S1 de vivienda de bajos ingresos (VIS) y NV1S1 de altos ingresos (no VIS). En S2 se consumirá (O1v - V1S1) de VIS y (O1nv - NV1S1) de la vivienda No VIS.
En la caja interior se tiene la condición óptima de los hogares que haría vaciar todos los mercados de vivienda. El punto 1 indicaría una solución walrasiana, pero se requerirá igualar la relación de precios con la tasa marginal de sustitución de los dos grupos de hogares, si se quiere encontrar una solución paretiana. Como se aprecia, las dos soluciones no convergen por los desajustes de mercado ya señalados (Mas-Colell y Green, 1995). Si el espacio urbano fuera homogéneo, las funciones de utilidad se recuperarían y serían las mismas en cualquier localización de la ciudad. En el punto 3 la frontera de producción se expande, incrementando la producción de la vivienda VIS (al pasar de O1v a O2v), sin que esto afecte la oferta de las viviendas de altos ingresos (O1nv se mantiene igual para los dos momentos). Así se llegaría al punto E, donde el consumo de la VIS aumenta a V2S1, el de la no VIS se mantiene y se logra un equilibrio en el cual la tasa marginal de sustitución (TMS) iguala la relación de precios.
En función de la recuperación del equilibrio Arrow-Debreu, se requiere un impuesto pigouviano que corrija la distorsión5, conduzca al sistema de precios a la tangente de la frontera de posibilidades de producción y a la igualación de las tasas marginales de sustitución, puntos 3 y 2, respectivamente. Es aquí donde se mantienen los precios de la vivienda, no se reduce la producción de No VIS y se incrementa la de VIS. Sin embargo, esta es una solución intervencionista del Estado sobre la economía.
La alternativa es restablecer el equilibrio si los derechos de propiedad se redefinen y se delimitan con precisión, sin necesidad de impuesto, como lo señala Coase (1960). No obstante, existe una paradoja implícita en esta solución (Simpson, 1996) que exige un marco conceptual sobre bienes públicos y externalidades que pueda ofrecer un referente de análisis adecuado.
Bienes públicos y externalidades
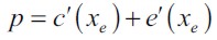
Se suponen dos empresas productoras de sendos bienes (Varian, 1992), que en este caso serán los promotores inmobiliarios y la ciudad. Esta produce un bien que genera efectos positivos sobre los constructores. Por su parte, los productores de vivienda no internalizan todos sus costos, por ejemplo, espacios públicos financiados por la ciudad. Si p es el precio del producto, la cantidad producida de equilibrio xq exige que p iguale al costo marginal, p = c'(xq). No obstante, esta cantidad es demasiado alta desde el punto de vista social, por lo cual los costos sociales no se internalizan. Si las dos empresas se asocian para internalizar los costos, la firma fusionada maximizaría los beneficios totales, es decir:
![]() | [1] |
Siendo xe el nivel de producción que corresponde a una cantidad eficiente, caracterizada por la igualación del precio al costo social marginal. La ineficiencia de las externalidades se puede resolver de distintas formas (Mas-Colell y Green, 1995); una de ellas consiste en imponer un impuesto tal que:
![]() | [2] |
Si la función de costos es convexa, es posible establecer un impuesto de manera que t = e (xe), lo que lleva a la empresa a elegir x = xe como nivel eficiente de producción. En función del urbanismo, t = e (xe) representa el reparto de cargas; es decir, un proyecto inmobiliario incluye todos los costos de las ofertas urbanas en la estructura de costos, por lo cual se financian los costos sociales. Por otra parte, existe la condición de monopolio de los proyectos urbanos (Fujita y Thisse, 2002); en este escenario el productor monopolista se enfrenta a un problema de maximización, de forma que al reordenar la condición de primer orden se tiene:
![]() | [3] |
En esta última ecuación, el mark up en un proyecto inmobiliario es otra fuente de financiamiento de la política pública de la administración de la ciudad y de retornos privados. Si se sigue a Coase (1960), la recomposición de los derechos de propiedad se puede realizar utilizando los instrumentos mercantiles y financieros, tales como la constitución de un patrimonio autónomo, en el cual los agentes urbanos participen en el proyecto y la ciudad pueda cobrar un excedente por el manejo de los instrumentos de gestión del suelo.
Los precios de producción
Si bien el precio del espacio construido retribuye a los agentes productivos, en algunos segmentos la distribución le paga la renta al propietario del suelo. El sistema de ecuaciones (4-6) formaliza el anterior argumento.
![]() | [4] |
![]() | [5] |
![]() | [6] |
En el primer conjunto de ecuaciones, aij corresponde al capital usado del insumo j, usado en la proporción i6 ; p es el vector de precios asociado al insumo j, w es el salario, l la cantidad de trabajo incorporado, t la tierra incorporada a la producción de vivienda del tipo de suelo h y r la renta del suelo.
La ecuación (4) representa la producción de vivienda con h tipos diferentes de suelos y edificabilidades. En la ecuación (5) se fijan los precios de producción sin renta del suelo. La ecuación (6) establece un suelo de renta nula7. Este sistema indica precios de producción en un subsistema productivo en el cual la renta del suelo no se incorpora.
El sistema de ecuaciones representa la situación de producción y permite identificar cómo las rentas podrían financiar la política pública y algunos paij(h) no internalizados, como es el caso de la VIS8. Se observa entonces que la utilidad de los usos más rentables puede financiar los usos no rentables. Nótese que se requiere producir todo el conjunto de bienes en el mismo proyecto para cruzar las rentas, tal como lo establece la Gráfica 1. Si se desagregan los productos inmobiliarios y se realizan por separado o por promotores distintos, algunos de ellos alegarán, con justificación, la imposibilidad de desarrollar su producto9.
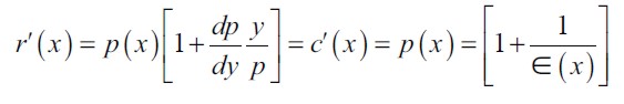
La renta del suelo
El cambio en la relación de precios de los bienes (Gráfica 1) tiene dos fuentes que no crean distorsiones. Una es la apertura o el comercio externo sobre bienes que son insumos de la construcción, cuya organización industrial implica algún poder de mercado (Bhagwati, Panagariya y Srinivasan, 1998). La otra es el precio del suelo (Ricardo, 1973), cuyo origen se encuentra en la renta del suelo, como se señala en la ecuación (7).
![]() | [7] |
En este caso, R es la renta e i la tasa de interés; es decir, el precio del suelo es renta capitalizada, derivada de una relación jurídica, en la cual el propietario reclama el residuo de la distribución del producto entre propietarios del capital y trabajadores. Al incorporar el suelo como un insumo, su precio determina el valor de la vivienda. Luego, lo máximo más que se puede hacer es capturar valor de la renta y redistribuirla10. Nótese cómo en la ecuación (5) la renta del suelo no aparece, pero sí lo hace en la anterior (ecuación 4), que señala los bienes no básicos11. Esta es la clave de la recomposición en la producción de vivienda; se usa la participación en plusvalías como mecanismo corrector de los desajustes del mercado de vivienda, sin crear distorsiones en el sistema productivo.
De acuerdo con el sistema de ecuaciones (4, 5 y 6), se deben separar las racionalidades de los agentes involucrados en la producción y la distribución; es decir, no se pueden conciliar sus intereses, dado que por definición son opuestos. El trabajador y el propietario del capital obtienen retribuciones por el uso de sus respectivos factores, pero esto no implica que no exista una tensión entre ellos por la distribución del producto. El propietario del suelo exigirá la máxima renta que el mercado le permita, incluso un mark up, si tiene poder de mercado.
En virtud del libre juego de los agentes en el mercado y de la racionalidad maximizadora de sus ingresos, se requiere la intervención de un organismo con la capacidad de modular los ingresos de alguno de ellos. En este caso, sería el del propietario del suelo, ya que no se afecta el proceso productivo de vivienda y se puede reinvertir en los individuos más débiles, desde el punto de vista económico de la sociedad.
Esta última afirmación es fundamental, pues se reconoce que si la administración de la ciudad gestiona el proyecto inmobiliario en un clima de competencia12, el constructor deberá tener la ganancia determinada por el mercado, si trabaja en condiciones de eficiencia económica. En este sentido, se drena la renta del suelo y su distribución posterior se materializa en los objetivos sociales de la administración pública.
Mercado inmobiliario, precios y reparto
El desarrollo de un proyecto inmobiliario parte de la validación del mercado, es decir, de la igualdad entre el ingreso marginal y el costo marginal de la producción, obtenidos después de cumplir con el conjunto de restricciones normativas del modelo compartido de ciudad, establecido en el Plan de Ordenamiento Territorial (POT). Entrar en una negociación sobre áreas de sesión y edificabilidades no tiene sentido si se entiende que mejores ofertas urbanísticas tienen expresión en mayores precios. Por otra parte, los técnicos de la administración no son empresarios, por lo que siempre tendrán información asimétrica frente al promotor. La mejor forma de estar seguros de los cálculos del mercado es que el promotor los revele y que la administración de la ciudad cuente con un sistema de indicadores de aproximación a los parámetros, asociados a los precios de los distintos productos inmobiliarios y del mercado en el momento de la evaluación. Así las cosas, el promotor se enfrenta a un problema de optimización restringido:
max B
Sujeto a:
![]() | [8] |
![]() | [9] |
![]() | [10] |
![]() | [11] |
Donde B es el beneficio en el área de intervención urbana. La ecuación (8) indica que cada precio de los distintos productos inmobiliarios (CCEE) iguala el costo más la renta de cada producto inmobiliario (PEE). La siguiente ecuación de restricción establece que en el proyecto se oferta el máximo producto que el mercado valida. AEE es el área del espacio edificado y k representa los distintos espacios edificados, como vivienda, comercio, servicios y hoteles, entre otros. La ecuación final muestra que el agregado de rentas o plusvalía se distribuye de acuerdo con la participación de cada aporte de inversión antes de la intervención (VIAI), por el coeficiente de participación (ci), dentro del valor total del patrimonio autónomo.
GESTIÓN DEL PROYECTO
Se soporta en la constitución de un patrimonio autónomo, al cual entran todos los stakeholders: los propietarios de los inmuebles, los inversionistas y la ciudad. Sus derechos iniciales se constituyen en parámetros de distribución de los beneficios del proyecto. Lo interesante de esta figura es que las cargas13 son costos de gestión, adecuación de suelos, edificación, gestión inmobiliaria y financieros, pagados por el patrimonio autónomo y no por personas individuales. En el caso de los propietarios, el pago por los inmuebles y en el de la ciudad, la participación en plusvalía o la gestión del suelo, constituyen un costo, es decir:
Yi=Ci (12)
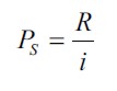
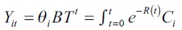
En otras palabras: el ingreso monetario de estos agentes es un costo para el proyecto. No obstante, si participan en el proyecto, sus intereses se modulan por la tasa de descuento. De esta forma, se define la participación de un individuo como:
![]() | [13] |
Siendo Y el ingreso, θ la participación, BT el beneficio total y t el período de vida de ejecución del proyecto. Si cada uno llega al final del proyecto, su ingreso14 lo definirá la ecuación (13), es decir, el valor presente de su participación al final del proyecto. De retirarse de forma anticipada, su ingreso final se descuenta al período de salida. En la Gráfica 2 se puede observar la ventaja de pasar de una situación como la presentada en la ecuación (12) a una como la sintetizada en la ecuación (13). En el primer caso la senda de costo es la curva punteada; en el segundo, el costo se suaviza (línea AE). Por su parte, los ingresos y los retornos se comportan como lo describe la curva continua. El suavizamiento no implica reducción de costos, pues en cualquier caso las áreas de costos serán iguales (por ejemplo, el rectángulo OAET).
Se puede concluir que el papel del patrimonio autónomo es, por un lado, reducir la presión sobre el flujo de caja ocasionada por los altos costos al comienzo del proyecto, cuando se tienen que comprar los predios. Por otro lado, redefinir los derechos de propiedad originales15 sobre el valor agregado o la renta del suelo. Esto no tendría mucho de innovador, de no incorporarse la política pública (la VIS), con la captura de mayor valor del suelo, como ya se señaló. En conclusión, la participación en plusvalía se considera una solución pigouviana que deja en los privados el problema de consecución de recursos para la concreción del proyecto, lo que a la fecha ni siquiera ha funcionado.
El patrimonio autónomo corrige las distorsiones en un marco coasiano apoyado en los instrumentos mercantiles existentes. Este, además de permitir realizar los proyectos, elimina problemas prácticos de la administración urbana, como el cálculo de plusvalías sobre derechos urbanísticos en cada predio, antes y después del POT. En el caso de proyectos de renovación urbana, se toma el precio de mercado de los inmuebles como dato, sin derivar el valor del suelo. Las cargas no se individualizan y se utiliza la plusvalía para financiar la construcción de VIS. La gestión del proyecto se dividirá en gestión inmobiliaria, del suelo y financiera.
En la inmobiliaria se requiere una unidad administrativa por fuera de la administración de la ciudad, con dedicación exclusiva al proyecto. Sus tareas serán la consecución de inversionistas, clientes, participación público-privada, marketing estratégico y operativo y la provisión de información sobre los mercados residenciales y comerciales, tendencias globales y regionales de la inversión inmobiliaria y su financiación y del desarrollo urbano. Todos los costos de este organismo se incluirán en el patrimonio autónomo.
Por su parte, la gestión del suelo corresponde a la administración de la ciudad, al tener potestad sobre los instrumentos. La ciudad definirá un conjunto de aprovechamientos, por la vía de los instrumentos de planeación bien diseñados, el uso de instrumentos urbanísticos y jurídicos, tales como la integración inmobiliaria, el reajuste de suelos y la expropiación a renuentes, por ejemplo, en la constitución de patrimonios autónomos. También será responsable del reparto equitativo de cargas y beneficios y de la recuperación de la participación en plusvalías. La ciudad se constituye entonces, en un agente de la distribución, pues participó en la creación de un producto inmobiliario y sin cuya intervención no se podría concretar el máximo aprovechamiento de los recursos. Por otro lado, también es agente de la recuperación de la participación en plusvalías, que le permiten la Ley 388 de 1997 y el Acuerdo 118 de 2003.
Por último, la gestión financiera tiene como propósito evaluar y asegurar el retorno a los inversionistas del proyecto. El conocimiento preciso de los costes asociados brinda seguridad sobre el retorno a la inversión y la viabilidad de los planes de inversión. Ahora bien, muchos de los costos asociados son obstáculos para la realización del proyecto, por su repercusión en el flujo de caja, la compra de predios y el valor del suelo adecuado. Para superar estos problemas se introducen dos innovaciones: incorporar a los propietarios de los inmuebles de la zona de intervención como inversionistas y armonizar la gestión financiera con la gestión del suelo.
La primera propuesta es innovadora, en la medida en que se elimina la tradición de desplazamiento de la población de este tipo de proyectos inmobiliarios. Se está asegurando su participación por dos vías: una, al capturar plusvalías por el nuevo suelo adecuado, y otra, al asegurar un retorno de inversión al actuar como inversionistas. A los propietarios que no quieran incorporarse en esta modalidad y que estén dispuestos a vender sus inmuebles se les pagará a los precios de los avalúos de referencia. Los renuentes se expropiarán, en virtud de su oposición al interés colectivo. Aunque estos dos últimos casos sí afectan el flujo de caja, estos egresos se manejan con facilidad16.
La segunda propuesta es armonizar la gestión financiera con la del suelo. En efecto, la administración urbana tiene un portafolio flexible de opciones de cobro del suelo que van desde subastarlo hasta participar como inversionista durante el proyecto, lo que permite ajustar los flujos de caja y alcanzar el cierre financiero y la concreción de la operación. Debe subrayarse, en primer lugar, que los inmuebles entran a precios de mercado, lo que permite eliminar un problema estructural del cálculo del mayor valor del suelo y de la participación en plusvalías que tiene hoy la administración. En otras palabras, el precio de un inmueble o precio de referencia será:
![]() | [14] |
El precio se establece en función del máximo precio de mercado en condiciones físicas y jurídicas de un predio (Decreto 1420 de 1998 ), lo que implica la no incorporación de expectativas sobre usos y aprovechamientos futuros17. Además, el patrimonio autónomo o el conjunto de instrumentos financieros asociados permiten distribuir rentas al operar en condiciones de eficiencia técnica.
´![]() | [15] |
En la ecuación (15) la renta de los distintos usos es la máxima renta ofrecida en cada uno de los productos inmobiliarios y financia el costo de producir un proyecto urbano, dentro de los cuales se encuentra la participación en plusvalía. Si se toma:
![]() | [16] |
Donde,
![]() | [17] |
El beneficio de la construcción del proyecto (πi) igualará la diferencia entre la renta ofrecida (φi) y la renta del suelo (Ri), que se paga en la distancia i de la ciudad, como se aprecia en la ecuación (16). La renta ofrecida es función de la distancia r y de las ofertas urbanas de bienes públicos ou, y corresponde al diferencial de ventas y costos de producción. No importa que todos los productos estén en una misma localización, pues el proyecto se encontrará frente a un gradiente general de la ciudad (Fujita y Thisse, 2002).
Si el marco institucional de operación de los mercados es de competencia en el desarrollo de proyectos, los beneficios de los productos inmobiliarios se establecerán en función de las tenciones entre promotores y propietarios del suelo. De esta forma, la concurrencia obliga a la cesión de todo excedente -por encima de la sumatoria del costo de usos de los factores- al propietario del suelo. En consecuencia, la renta de equilibrio implica que
![]() | [18] |
De esta forma, la renta de equilibrio es la envolvente de todas las funciones de renta de cada uso o la que ofrece cada producto inmobiliario. En la Gráfica 3 se puede apreciar lo señalado.
En el eje vertical de la Gráfica 3 se tiene la renta y en el horizontal la distancia al centro. Se puede ver que en un lugar de la ciudad se ofrecen distintos espacios edificados con diferentes rentas del suelo. La actividad que ofrezca la mayor renta se quedará con la localización, como lo señala la ecuación (18) (Fujita y Thisse, 2002). Este es el principio que rige el proyecto: ofrecer los productos inmobiliarios de los cuales se obtengan las mayores rentas ofrecidas.
Reparto de cargas y beneficios y la plusvalía
En este momento se debe señalar cómo a lo largo de esta exposición se han separado dos lógicas en la producción de espacio construido: la del constructor capitalista y la del propietario del suelo. Estos agentes tienen distinto valor para una sociedad capitalista. El primero agrega valor y el segundo participa de la distribución del producto. El constructor no puede determinar el costo de uso del capital, pues lo determina el mercado; el segundo tiene que esperar al pago de los factores productivos para quedarse con el residual de la distribución. Este aspecto es importante y se retoma la ecuación (15) para indicar que la suma de rentas generadas en los distintos momentos del tiempo iguala la senda de ingresos, descontados los costos incurridos en el proyecto.
![]() | [19] |
De nuevo, el precio de un bien iguala su ingreso marginal y a su vez el costo marginal, de forma que este debe financiar la producción de un bien. Si el precio no iguala los costos de producción, se tienen dos situaciones. Una, en la que los costos son superiores al precio y por ende, el productor debería salir del mercado. Otra, en la que existe poder de mercado, de forma que los precios de venta no son los precios de producción, con lo cual se regresa al caso de la renta del suelo o del mark up en el caso de monopolio. Nótese entonces que es válido ajustar un conjunto de cargas sociales sobre la renta ofrecida, puesto que no afecta la producción de espacio edificado, sino que se realiza con cargo al mayor valor del suelo o riqueza colectiva.
En consecuencia, las cargas urbanísticas no pueden percibirse, desde ningún punto de vista, como un costo adicional (Maldonado, Pinilla, Rodríguez y Valencia, 2006). Hacerlo es, por lo menos, ocultar hechos concretos del mercado inmobiliario y en particular, que el precio es una función del conjunto de atributos que le dan valor al territorio, como espacios públicos, accesibilidad, zonas verdes, bienes urbanos y todos los equipamientos colectivos que se deben incorporar en el precio del espacio edificado. Las cargas sociales, como en la vivienda de interés social, exigen la convicción política frente a la posibilidad de la existencia de una sociedad incluyente; en este caso las cargas se financian de la renta del suelo, que ahora forman parte del patrimonio autónomo. De esta forma se está creando un nuevo marco institucional que reasigna los derechos de propiedad sin salirse del marco institucional de la sociedad colombiana (Coase, 1960).
![]() | [20] |
Nótese en la ecuación (20) que el máximo conjunto de cargas posible tiene un límite en la presencia de los constructores en el mercado y en las rentas del suelo de los distintos lugares urbanos; es decir, aquí se financian los bienes solo con la renta ofrecida, de forma que no se expropia al propietario del suelo de la renta tradicional. En este sentido, los costos Ci pueden incrementarse hasta donde la renta ofrecida se anule, sin afectar la concreción del proyecto. De todas maneras existirá un remanente de renta ofrecida, como una forma de ganancia para los propietarios (PP), que entraron al proyecto como inversionistas. Del excedente de participación en plusvalías, el 50% corresponde a los propietarios del suelo.
![]() | [21] |
Siendo, Ai el aporte en función del valor del inmueble, VTI el valor total de los inmuebles y PBi la participación en el beneficio de un propietario cualquiera. De nuevo, se salda una vieja deuda social.
El modelo financiero
Se expresa de nuevo en la ecuación (15). La condición básica para producir un bien es la igualdad entre ingreso y costo marginal de la ecuación (5). En consecuencia, las inversiones de capital deben retribuirle a su propietario el costo de uso del capital, es decir, la tasa de interés de la economía. No obstante, de acuerdo con Keynes (2001) un inversionista solo se dedicará a un proyecto si la productividad marginal del capital es mayor que la tasa de interés18. Se necesita entonces buscar una tasa de interés de oportunidad (TIO). El flujo de caja debe ser armónico con el flujo de ingresos. En el largo plazo, la ejecución del proyecto llevará a que la ecuación de egresos iguale a la de ingresos. El cierre financiero se alcanza con una base menor de recursos, si los costos se amortizan de forma suave sobre todo en la compra de inmuebles y en el pago del terreno.
La construcción
La estructura de los precios de venta del espacio construido se simplifica en la ecuación (15), en la cual se incluyen los costos asociados a la producción final. No obstante, en la simpleza del mercado colombiano parece existir cierta incertidumbre sobre los límites de los costos. Esta incertidumbre tiene origen en la no separación de las racionalidades del propietario del suelo y el constructor, quizás por la compra con anticipación del suelo de estos, con el propósito de capitalizar rentas esperadas. Para mostrar los desajustes de costos se plantean dos algoritmos: desagregación y agregación. El primero se hace partiendo del precio de mercado, sobre el cual se desagrega cada ítem, según las técnicas de valoración del suelo. En el segundo, es la agregación de cada uno de los costos la que lleva al precio final.
Precio del suelo: la perspectiva hacia atrásEsta aproximación parte del precio de mercado como un parámetro general que puede modificarse con la agregación de valor o la reducción de costos que pueda hacer el constructor. Lo que no sabe este es que quien tiene el poder de mercado es el propietario del suelo y toda mejora conocida en el mercado se filtra por la renta del suelo. Para ver esto de manera formal se tomará el subsistema de distribución de Quadrio -citado en Pasinetti, (1986)-, en el cual la renta del suelo de la ecuación (9) se expresa como:
![]() | [22] |
En este caso ρ(h,h*) representa la renta del suelo h con respecto a la tierra menos eficiente o la de renta cero, p es el precio del bien y P es el vector de precios de los coeficientes técnicos e insumos, r es la tasa de beneficio, l es el coeficiente técnico del trabajo, w es el salario unitario y t es la cantidad de suelo ocupado en la producción del bien. La ecuación (22) indica que si el precio está dado por las condiciones del mercado y la renta del suelo es la diferencia de precios y costos, cualquier ganancia de productividad que reduzca los coeficientes técnicos se traducirá en rentas del suelo19. Ahora, esta ecuación se puede resumir en un conjunto de participaciones20 sobre las ventas del proyecto: suelo 17 %, construcción 0,56 %, gastos varios 3 %, gastos generales 4 %, gastos financieros 7 %, gastos comerciales 3 %, beneficio 10 %.
Precio del suelo: la perspectiva hacia adelante
En este procedimiento se toman los valores de mercado de los costos de construcción. En particular, la revista Construdata ofrece información al detalle de los costos en todos los segmentos del mercado de viviendas, equipamientos y construcción pesada, entre otros, para edificaciones tipo básicas y hace un descuento por economías de escala (Construdata, 2011)21.
![]() | [23] |
Los cálculos son simples: se toma el estimativo de costo de Construdata en cada segmento i y se multiplica por el área que se va a construir en dicho segmento, para obtener el costo de construcción total de espacio construido comparado con la anterior aproximación. De esta manera se estima el precio de venta del segmento i.
![]() | [24] |
Dos anotaciones deben realizarse. En primer lugar, los valores restantes se obtienen usando los coeficientes anteriores y se agregan los distintos conceptos para obtener un precio de venta. En segundo lugar, el precio del suelo es una variable de mercado o un parámetro, de forma que se conserva el valor de mercado. No ocurre lo mismo con los costos financieros o los comerciales que dependen del monto de la inversión en edificación. Si no existen costos ocultos las dos perspectivas convergen, es decir:
![]() | [25] |
Si los cálculos desagregados y los agregados son correctos, los dos precios por ambas aproximaciones deben igualarse, como lo señala la ecuación (25).
EL EJERCICIO APLICATIVO22
Esta estructura teórica se prueba en el sector urbano conocido como Rosario23, en virtud de las ventajas generales de accesibilidad, derivada de la troncal NQS y de su localización entre vías como la calle 72 hacia el norte y las calles 63 y 53 hacia el sur, su cercanía y acceso al aeropuerto Eldorado, la capitalización de equipamientos públicos de alcance metropolitano y su localización como epicentro de una amplia zona de mercado inmobiliario desarrollado con altos ingresos y los bajos precios del suelo. En términos catastrales, el suelo valía USD 158 y la construcción USD 104 el metro cuadrado24. Además, se revisaron inmuebles que se vendían en la zona y cuyo precio por metro cuadrado, en promedio, era de USD 31325.
El mercado inmobiliario
El estudio del mercado inmobiliario permitió encontrar en la zona ofertas de apartamentos estrato26 4 y 5, cuyos precios superaban los USD 1.565 el metro cuadrado (DondeVivir, 2010). La aplicación normativa generó un potencial edificatorio de 359.000 metros cuadrados, los cuales se distribuyeron como se aprecia en el Cuadro 1, junto con los precios comerciales, el valor del suelo y el índice de repercusión utilizado para generar el mayor valor del suelo.
La distribución de la vivienda se realizó con un carácter de sostenibilidad económica y social y un criterio de solidaridad en la financiación del suelo para vivienda de estratos de bajos ingresos como el 2. Los precios de vivienda y de los otros productos inmobiliarios se derivaron del mercado y se tomaron los menores valores para dejar un espacio de ajuste posterior. El área vendible era del 85 % del área construida para la vivienda, 65 % para el centro comercial y el hotel, 70 % para los locales y 80 % para las oficinas27; el índice de repercusión en el promedio general era del 15 %, lo que indicó que el mayor valor del suelo era de USD 107.788.45328.
La gestión inmobiliaria
Este componente resume la gestión en la adecuación del suelo. Para el ejercicio se tienen en cuenta acciones como el plan parcial, los avalúos de referencia, la valoración patrimonial, los levantamientos topográficos o arquitectónicos, los avalúos comerciales de predios por adquirir y estudios asociados, como el de mercado, entre otros. La valoración de los precios del suelo y de la construcción se realizó con un poco de flexibilidad para dejar grados de libertad en eventuales negociaciones con los propietarios. De acuerdo con los cálculos realizados, se valora el metro cuadrado de inmueble en USD 388. En el Cuadro 2 se presentan los agregados de estos conceptos.
Los inmuebles se avaluaron en USD 22,1 millones, los costos de la intervención urbanística se estimaron en USD 38,5 millones y la gestión en USD 21,6 millones. Agregados estos costos, el valor de la adecuación del suelo fue de USD 82,2 millones, correspondientes a las cargas totales del proyecto para descontar de los USD 107,8 millones que pagaron los constructores por el suelo, lo que permite tener un excedente de plusvalía de USD 25,6 millones. Ningún propietario del suelo o constructor asume cargas porque el patrimonio autónomo las sufraga con los ingresos del proyecto y los recursos de los inversionistas. De nuevo queda un residuo al descontar todos los costos de adecuación del precio final del suelo, el cual se distribuye en el patrimonio autónomo29 como beneficios. De darse un reparto del excedente del precio del suelo, su distribución se realiza en proporción a su aporte de capital, como se puede apreciar en el Cuadro 3.
En el Cuadro 3 se presenta una muestra de inmuebles de la zona. En la primera columna se tiene el precio del inmueble y en la segunda la participación del predio con respecto al valor total de los inmuebles30, coeficiente clave de la distribución de la masa de plusvalía, porque le indica al propietario a cuánto tiene derecho. En la tercera columna se calcula la plusvalía. Esta columna y la primera permiten entender el negocio en el que se involucran los propietarios de los inmuebles. Por último, la cuarta muestra que todos los aportantes obtienen la misma tasa de retorno por sus inversiones. Por ejemplo, el primer propietario aporta un inmueble de USD 39.014, como capital, al final recibe USD 30.552 o el 78,3 % más; es decir, la tasa de retorno que no alcanza ninguna inversión económica con las tasas de interés en Colombia. En el Cuadro 3 se aprecia que sin que importe el valor de su capital, el retorno es el mismo.
La construcción
Hasta aquí se tiene el análisis general de la adecuación y gestión del suelo. El otro agente importante en el negocio es el constructor, que no ve amenazada su participación en el negocio si actúa como tal31. Si espera capturar rentas del suelo, no lo puede hacer porque estas ya se aseguraron en el patrimonio autónomo. En consecuencia, si como lo señalan los agentes de este mercado (Romero, 2011), el precio del suelo no puede sobrepasar el 20 % del valor de ventas, no existe razón entonces para que el constructor no participe. En este caso, la participación del suelo en el valor de ventas es del 14 %, lo que deja un espacio amplio de beneficio para el constructor o para los eventuales inversionistas cercano al 6 %, si se alcanza el 20 % de las ventas. Esta flexibilidad se dejó para que la ciudad pudiera tener manejo frente al pago del suelo y poder negociar mejores retornos con los propietarios, en caso de querer reducir la presión financiera sobre los constructores. Nótese que se reduce la presión, pero no se dejan de pagar los retornos incrementados. Si se aceptara que el precio del suelo es el que pagaría cualquier constructor en un mercado competitivo, el desarrollo del proyecto inmobiliario en las condiciones actuales podría realizarse.
Los costos de construcción
Se estimaron bajo las dos aproximaciones señaladas. En la de desagregación, la aplicación de los coeficientes sobre las ventas de cada uno de los aprovechamientos o usos propuestos y los precios calculados por cada uno de estos conceptos se muestran en el Cuadro 432. Los resultados indican, aun con los costos de los parqueaderos, que los precios de producción ascienden a USD 379 millones.
Conviene hacer una aclaración sobre el costo de construcción de los estratos 2 y 3. Se puede observar que el costo se acerca a los de estrato medio, lo que implica una pérdida para un constructor individual, pues el precio de venta es inferior al costo total. Esto se realiza para que no existan diferencias en las edificaciones de los propietarios de bajos estratos.
La base del ejercicio hacia adelante se soporta en los costos de construcción de cada uno de los productos inmobiliarios y la misma estructura de participaciones. Las ventas se dividirán en 0,56; al valor resultante se le aplican los coeficientes de la tabla de gasto y se realizan los cálculos respectivos. En el Cuadro 5 se ve que los precios de producción ascendieron a USD 240 millones, lo que indica un diferencial significativo de 40 millones de dólares, como se observa en la última columna (Cuadros 4 y 5).
Análisis financiero
En virtud de la conexión entre análisis financiero y gestión del suelo, es necesario recordar que se utilizó una estrategia en la cual se usaron los peores escenarios de costos, los menores ingresos posibles y los máximos márgenes de rentabilidad. Si bajo esta estructura argumentativa un proyecto es rentable, con el ajuste de todas las variables anteriores el proyecto tendrá suficiente espacio financiero y será atractivo incluso para inversionistas adversos al riesgo. En la estimación de precios de ventas se dejó un diferencial en favor del constructor, lo que supone precios inferiores para los productos inmobiliarios del mercado.
Todos los escenarios financieros se realizaron sobre la participación del suelo en las ventas. Un elemento central del análisis financiero es la TIO; en el ejercicio se tomó como referencia la The Capital Asset Pricing Model (Black, Jensen y Scholes, 1972), calculada en 16,9 %33. Además, se planteó fijar una TIO que no tuviera competidora en el mercado, para asegurar así la participación de los constructores en el proyecto. Esta tasa se estableció en el 30 % efectivo anual. Es evidente lo fuerte del supuesto, pero se necesita como criterio ácido para el financiamiento del proyecto; si la tasa interna de retorno (TIR) del proyecto supera la TIO más alta, el proyecto será rentable.
Por último, se utiliza la gestión del suelo para modular el flujo de caja y alcanzar los recursos que permiten el cierre financiero. Se crearon unos escenarios en los cuales se difiere el costo del suelo34 con respecto a una participación sobre las ventas, de forma que el constructor no se viera en apuros para financiar el flujo de caja. Se puede generar un portafolio amplio con los constructores o inversionistas para así asegurar la concreción del proyecto. Los escenarios financieros indican que el proyecto analizado es rentable. La gran conclusión de este ejercicio es que si se articulan los instrumentos de gestión del suelo y los aprovechamientos adecuados del mercado inmobiliario, la oferta de bienes públicos y la vivienda de interés social se alcanzan en grandes proyectos urbanos.
En el caso de compra del 100 % del terreno, y sin participación alguna de la ciudad en los ingresos futuros, la rentabilidad para el constructor sería del 47,85 %, para una creación de valor (valor presente neto) equivalente a USD 84 millones para 2010. La alta rentabilidad del proyecto es un fuerte incentivo para que la ciudad se vincule más allá de la etapa de gestión y acondicionamiento de suelos y participe en el desarrollo inmobiliario. En este sentido, la ciudad podría requerir hasta USD 151,1 millones, distribuidos durante los primeros cinco años, para cubrir las necesidades del proyecto. Estos recursos podrían surgir de fuentes como banca multilateral, capital privado, Fondo Nacional del Ahorro, líneas de redescuento de la Financiera del Desarrollo Territorial (Findeter) y aportes públicos, entre otros.
CONCLUSIONES
Los problemas asociados a precarias dotaciones de bienes públicos y la fuerte segregación social tienen origen en la baja capacidad de gestión del suelo en las ciudades colombianas. A pesar de que la Ley 388 de 1997 fortaleció el conjunto de instrumentos para ordenar y financiar el desarrollo de las ciudades con recursos de su propio desarrollo, no se ha avanzado en homogenizar el territorio. Lo interesante del ejercicio realizado aquí es la evidencia ofrecida sobre la posibilidad de desarrollar esta tarea y saldar una vieja deuda social con los instrumentos existentes.
Existen algunas condiciones básicas para concretar los proyectos de renovación y en general cualquier proyecto urbano, como entender la formación de precios, reasignar los derechos de propiedad, eliminar las asimetrías de información y modular la gestión del suelo con la financiera. En primer lugar, no existen cosas como cargas urbanísticas; hay costos de producción de espacio edificado que paga el consumidor sin afectar el costo de uso de los factores. En segundo lugar, es ilegítima la individualización de la riqueza colectiva, y tanto la Ley 388 de 1997 como los instrumentos mercantiles permiten participar a la colectividad en la transferencia de riqueza originada en hechos urbanísticos. Si el objetivo es construir la ciudad de los POT, se requiere complementar el interés público y el privado amortizando el pago del suelo en función de los flujos de caja de ambos agentes.
Al menos quedan dos tareas por resolver. Por una parte, establecer estructuras de costos técnica y científicamente bien elaboradas. No es clara la función de oferta, costo marginal, espacio edificado en tipos de usos y alturas, y menos la repercusión del suelo en el precio de venta. Por otra parte, ¿cómo asignar la vivienda de interés social en estos proyectos? La respuesta no es fácil, pero es claro que no debe ser por la vía del mercado. Existen diversos mecanismos de asignación, políticos, meritorios o de carencia e insuficiencia, pero en cualquier caso se sugiere enviar a la ciudadanía la señal de que la agregación de valor y el esfuerzo personal permiten alcanzar mejoras en bienestar.
NOTAS AL PIE
1 Se han elaborado algunos trabajos que podrían eliminar estas asimetrías, pero por desgracia se quedan solo en tesis; por ejemplo: Bustamante (2004), Molina (2005), Bernal (2006), Araque (2006) y Gaitán (2007), entre otros.
2 En este sentido Escallón (2012) sugiere avanzar de la oferta de vivienda a la gestión del hábitat, tal como lo establece el mandato de Naciones Unidas UN Habitat (Giraldo, García, Ferrari y Bateman, 2009).
3 Se menciona la VIS por ser la máxima expresión del poder de la intervención urbanística estatal cuya concreción son los bienes públicos (Alfonso, 2009).
4 La frontera de posibilidades punteada se justifica con la información de desempleo en el sector de la construcción, es decir, no habría pleno empleo.
5Este impuesto tiene como propósito homogenizar el espacio.
6 Las diferencias en las proporciones usadas de cada insumo señalan distintos métodos de producción y tecnología.
7 Este argumento puede parecer contrafactual, pero un lector avanzado no se deja confundir por los hechos que ocultan la sumatoria de rentas diferenciales e intensivas. Es este último caso la dosis final de capital no produce renta (Cuevas, 1999).
8 Si se supone un uso agrícola, la VIS paga renta del suelo.
9 Por simplicidad se puede suponer que la tierra en el margen no captura renta; sin embargo, es evidente que sí lo hace. Si se piensa en el subsistema agrícola, se trataría de renta diferencial (Fujita y Thisse, 2002) aunque esto implicaría incorporar otros elementos que no agregan mucho al análisis. En cualquier caso, habrá un capital que no paga renta del suelo. Además, se pueden presentar otras rentas de monopolio, pero estas se incluirían en un solo (mismo) concepto.
10 La captura de valor reduce el precio del suelo porque la renta de este es residual y se determina como el máximo valor que un productor está en capacidad de ofrecerle al propietario, sin atentar contra su supervivencia económica. Al descomponer la renta en lo apropiado por el propietario y en la captura de valor de la ciudad, esta última parte es un tributo, de manera que quien compre el suelo debe hacerlo al precio sin impuesto, para poder pagarlo a la ciudad, sin salir del mercado.
11 Este es un concepto desarrollado por Sraffa (1960).
12 Debe aclararse que se requiere cumplir con los requisitos institucionales, en este caso los procedimientos de ley, pero se da por sentado que estos se cumplen con facilidad.
13 Como es natural, los costos deben ser mínimos. Para este efecto se requiere la presencia de operadores financieros, de forma que todo producto se produzca a costo de factores o mediante la competencia.
14 En virtud del cambio temporal de la tasa de interés
.
15 No solo el título de propiedad de los inmuebles, sino la propiedad de la misma renta del suelo de forma consuetudinaria apropiada por el promotor. Ahora se democratiza la renta del suelo.
16Se introduce una actuación como la señalada por Alfonso (2008).
17 Este aspecto es crucial en los suelos de expansión urbana, cuyos precios incorporan las expectativas de cambio de uso, de forma que el método de mercado da como resultado una sobrevaloración del precio del suelo. Nótese que después que el predio entra al patrimonio autónomo se pierde la identidad individual, ya que no podrá reclamarse luego un mayor aprovechamiento sobre una norma superior. Por consiguiente, los mayores valores del proyecto se originan en un rediseño de la estructura predial propia para los nuevos usos y se distribuirán entre los inversionistas.
18 Existe un intervalo de tasas de interés acotado por la tasa de captación y la de colocación, en el cual a los grandes inversionistas se les cobra una tasa baja por los recursos solicitados al sistema financiero y se les ofrece una tasa un poco superior a la de captación, si dejan sus recursos en el sistema.
19 Si las innovaciones al proceso edificatorio se realizan con posterioridad a la compra del suelo, se genera una forma de renta tecnológica, propiedad de quien la creó.
20 Esta estructura de participación se usa para calcular el precio del suelo por el método residual. En general los constructores y avaluadores de las lonjas y de la Unidad Administrativa Especial de Catastro Distrital (UAECD) la emplean considerando las condiciones del mercado. No existe una norma en el mercado inmobiliario que establezca un límite del 20 %, como máximo valor para el precio del suelo en suelos urbanos de estratos altos y del 10 % para la vivienda de interés social.
21 Se tomarán como referencia estos costos considerados altos por los constructores en virtud de que se pacta una serie de descuentos dependiendo del cliente, la forma de pago y la escala de los pedidos, entre otros factores.
22 Este artículo utiliza como ejemplo el modelo de gestión del suelo y financiero presentado a la Empresa de Renovación Urbana de Bogotá (UTU, 2010).
23 Esta zona, a pesar de tener un interesante potencial de renovación, lo ha perdido con el actual desarrollo predio a predio (Acuerdo 6 de 1990), situación que la Ley 388 quería eliminar.
24 Unidad Administrativa Especial de Catastro Distrital (UAECD). Base entregada por la Empresa de Renovación Urbana (ERU) actualizada con ajuste del índice de valoración inmobiliaria urbana y rural de acuerdo con el Artículo 3o de la Ley 601 de 2000.
25 La tasa de cambio representativa del mercado (TCRM) se tomó del Banco de la República en junio de 2010. http://www.banrep.gov.co/series-estadisticas/see_ts_cam.htm#cotización
26 En Colombia las viviendas se clasifican en grupos como proxy del ingreso de los hogares para el cobro de los servicios públicos y la focalización del gasto social.
27 Estos porcentajes se derivaron de conversaciones con técnicos de la ERU, que sugirieron algunos de ellos por experiencia en otros proyectos y consulta a los constructores.
28 Este índice es inferior a los utilizados por Óscar Borrero, profesional experto en el reparto de cargas del Plan Zonal del Norte en la versión primera realizada por el Centro Interdisciplinario de Estudios sobre Desarrollo (CIDER) (2005b) de la Universidad de los Andes. Se redujeron en un par de puntos porcentuales como estrategia para reducir expectativas de ingresos e incrementar los costos esperados.
29 Para aliviar la presión financiera se puede pagar con apartamentos en la suma equivalente a su aporte y los beneficios que obtenga por participar. Si ocurre esto, los recursos requeridos en la compra del suelo serán menores, de manera que se da tiempo a la venta y recuperación de inversiones, que se verán reflejadas en la mecánica financiera.
30 O las inversiones totales.
31 En otras palabras: si se separan las lógicas del propietario del suelo y del constructor y se supone competencia en la actividad constructora, el beneficio será nulo.
32 En los cuadros los parqueaderos son un costo, y solo la mitad de este entra como ingreso. No se ajustaron los precios de venta de los apartamentos porque se incluyeron en su precio. En el caso del centro comercial generan un ingreso; esto implica una pequeña reducción de las ventas frente al cálculo anterior.
33 La imposibilidad técnica de calcular la TIO está determinada por las estimaciones de rentabilidad de mercado y la prima de riesgo. El Índice General de la Bolsa de Valores de Colombia (IGBC) pasó de 1.000 el 3 de julio de 2001 a 12.499,90 a junio de 2010, teniendo períodos como los años 2004 y 2005 en los cuales su crecimiento fue de 86,2 % y 118,9 %, respectivamente. Esta valorización de las empresas del país es en gran parte consecuencia de la llegada de capitales a la Bolsa y la poca profundidad del mercado, lo que distorsiona el verdadero desempeño operativo-financiero de las empresas. Además no existen en el mercado colombiano empresas suficientes para crear indicadores por industria, y por ende no hay parámetros objetivos para calcular la correlación (prima de riesgo) entre el mercado y la industria.
34 El precio del terreno se estimó en USD 110 millones para este ejercicio. Se presenta una alternativa de pago parcial y una de participación en los ingresos futuros del proyecto ya desarrollado. Este pago parcial se dará en dos momentos: al inicio del año 1, en forma de anticipo del 37,5 %, que es suficiente para cubrir todos los egresos para la adquisición y adecuación de terrenos, y el restante, al inicio del año 2, cuando se daría la transferencia de la propiedad a los constructores o por medio de la participación en los ingresos futuros.
REFERENCIAS
[1] Adair, A., Berry, J., & McGreal, S. (2003). Financing property's contribution to regeneration. Urban Studies, 40(5-6), 1065-1080. [ Links ]
[2] Alcaldía Mayor de Bogotá, D. C. (28 de julio de 2000). Decreto 619 de 2000. Registro Distrital 2197, Bogotá: Imprenta Nacional. Disponible en http://www.alcaldiabogota.gov.co/sisjur/normas/Norma1.jsp?i=3769#1 [ Links ]
[3] Alcaldía Mayor de Bogotá, D. C. (22 de junio de 2004). Decreto 190 de 2004. Registro Distrital 3122. Bogotá: Imprenta Nacional. Disponible en http://www.alcaldiabogota.gov.co/sisjur/normas/Norma1.jsp?i=13935 [ Links ]
[4] Alfonso, O. (2008). ¡No hay suelo gratis! Un aporte desde la economía institucional urbana al desarrollo del principio de reparto equitativo de cargas y beneficios de la urbanización. Revista de Economía del Caribe, 2, 130-167. [ Links ]
[5] Alfonso, O. (2009). Economía institucional de la intervención urbanística estatal. Territorios, 20-21, 135-160. [ Links ]
[6] Araque, O. (2006). Evolución normativa de la vivienda de interés social en Colombia. (Tesis de Maestría en Derecho). Bogotá: Universidad de los Andes. [ Links ]
[7] Bernal, P. (2006). Herramientas para reducir costos y plazos en la construcción de vivienda de interés social. (Tesis de Maestría en Ingeniería Civil y Ambiental). Bogotá: Universidad de los Andes. [ Links ]
[8] Bhagwati, J., Panagariya, A., & Srinivasan, T. (1998). Lectures on International Trade. Cambridge, M. A.: Massachusetts Institute of Technology. [ Links ]
[9] Black, F., Jensen, M., & Scholes, M. (1972). The capital asset pricing model: Some empirical tests. New York: Praeger. [ Links ]
[10] Bonilla, L. (2008). Diferencias regionales en la distribución del ingreso en Colombia (Documentos de Trabajo sobre Economía Regional 108). Banco de la República. [ Links ]
[11] Bonilla, L. (2009). Causas de las diferencias regionales en la distribución del ingreso en Colombia, un ejercicio de micro-descomposición (Documentos de Trabajo sobre Economía Regional 11). Banco de la República. [ Links ]
[12] Bustamante, A. (2004). Análisis de modelos para la financiación de la vivienda de interés social. (Tesis de Maestría en Ingeniería Civil y Ambiental). Bogotá: Universidad de los Andes. [ Links ]
[13] Camagni, R. (2004). Economía Urbana. Barcelona: Antoni Bosch. [ Links ]
[14] Camargo, S., & Jaramillo, S. (2011). La intervención estatal en el mercado del suelo urbano. La reconstrucción del Eje Cafetero: el caso de Armenia. (Documentos CEDE, 49). Universidad de los Andes. [ Links ]
[15] Castaño, C. (2007). De lo concreto a lo complejo. Una mirada sistémica al proceso de renovación urbana de la ciudad de Pereira (2001-2006). Pereira: Universidad Tecnológica de Pereira. [ Links ]
[16] Centro Interdisciplinario de Estudios sobre Desarrollo (CIDER) (2005a). Informe final-Contrato PNUD 509-2004 Gerencia Operación Nuevo Usme. Bogotá: Universidad de los Andes. [ Links ]
[17] Centro Interdisciplinario de Estudios sobre Desarrollo (CIDER) (2005b). Informe final Plan de Ordenamiento Zonal zona Borde Norte. Bogotá: Universidad de los Andes. [ Links ]
[18] Coase, R. H. (1960). The problem of social cost. Journal of Law and Economics, 3, 1-44. [ Links ]
[19] Concejo de Bogotá, D. C. (8 de mayo de 1990). Acuerdo 6 de 1990. Disponible en http://www.alcaldiabogota.gov.co/sisjur/normas/Norma1.jsp?i=540 [ Links ]
[20] Concejo de Bogotá, D. C. (30 de diciembre de 2003). Acuerdo 118 de 2003. Disponible en http://www.alcaldiabogota.gov.co/sisjur/normas/Norma1.jsp?i=11025 [ Links ]
[21] Congreso de Colombia (18 de julio de 1997). Ley 388 de 1997. Diario Oficial, 43091. Bogotá: Imprenta Nacional. Disponible en http://www.alcaldiabogota.gov.co/sisjur/normas/Norma1.jsp?i=339 [ Links ]
[22] Congreso de Colombia (25 de julio de 2000). Ley 601 de 2000. Diario Oficial, 44100. Bogotá: Imprenta Nacional. Disponible en http://www.secretariasenado.gov.co/senado/basedoc/ley/2000/ley_0601_2000.htm [ Links ]
[23] Construdata (2011). Tablas de referencia Construdata (en línea). Disponible en http://www.construdata.com/BancoConocimiento/T/tarifas_sca2011/tarifas_sca2011.asp [ Links ]
[24] Couch, C., Fraser, C., & Percy, S. (2003). Urban regeneration in Europe. Oxford: Wiley-Blackwell. [ Links ]
[25] Cuevas, H. (1999). Rentas monopolísticas en el sistema de precios. Economía Institucional, 1(1), 89-97. [ Links ]
[26] Revista DondeVivir (2010). Bogotá, (9). Bogotá: Camacol. [ Links ]
[27] El Tiempo (1o de julio de 2011). Están en riesgo $ 40.615 para renovación urbana en Bogotá (Sección Bogotá). Disponible en http://www.eltiempo.com/archivo/documento/CMS-9769708 [ Links ]
[28] Escallón, C. (2012). La vivienda de interés social en Colombia, principios y retos: intervención para la apertura en el Foro Internacional: la vivienda en América Latina. Revisando estrategias. Revista de Ingeniería, 35, 55-60. Disponible en https://revistaing.uniandes.edu.co/pdf/A10.pdf [ Links ]
[29] Fujita, M., & Thisse, J.-F. (2002). Economics of agglomeration: Cities, industrial location, and regional growth. Cambridge: Cambridge University Press. [ Links ]
[30] Gaitán, N. (2007). Inventario de alternativas para solución de financiación de vivienda de interés social. (Tesis de Maestría en Ingeniería Civil y Ambiental). Bogotá: Universidad de los Andes. [ Links ]
[31] Giraldo, F., García, J., Ferrari, C., & Bateman, A. (2009). Urbanización para el desarrollo humano. Políticas para un mundo de ciudades. UN-Habitat, 504. [ Links ]
[32] Hildenbrand, W., & Kirman, A. (1982). Introducción al análisis del equilibrio. Barcelona: Antoni Bosch. [ Links ]
[33] Keynes, J. M. (2001). Teoría general de la ocupación, el interés y el dinero. México D. F.: Fondo de Cultura Económica. [ Links ]
[34] Maldonado, M., Pinilla, J. F., Rodríguez, J. F., & Valencia, N. (2006). Planes parciales, gestión asociada y mecanismos de distribución equitativa de cargas y beneficios en el sistema urbanístico colombiano. Bogotá: Lincoln Institute of Land Policy. [ Links ]
[35] Mas-Colell, A., & Green, J. (1995). Microeconomic theory. New York: Oxford University Press. [ Links ]
[36] McGreal, S., Berry, J., Lloyd, G., & McCarthy, J. (2002). Tax-based mechanisms in urban regeneration: Dublin and Chicago models. Urban Studies, 39(10), 1819-1831. [ Links ]
[37] Mertins, G. (2004). La suburbanización poblacional de Santafé de Bogotá: hacia la Sabana de Bogotá. Bogotá: Biblioteca Virtual del Banco de la República. [ Links ]
[38] Molina, P. (2005). Financiamiento de la vivienda de interés social. (Tesis de Maestría en Ingeniería Civil y Ambiental). Bogotá: Universidad de los Andes. [ Links ]
[39] Pasinetti, L. (1986). Aportaciones a la teoría de la producción conjunta. México, D. F.: Fondo de Cultura Económica. [ Links ]
[40] Presidencia de la República de Colombia (24 de julio de 1998). Decreto 1420 de 1998. Diario Oficial 43.349. Bogotá: Imprenta Nacional. Disponible en http://www.alcaldiabogota.gov.co/sisjur/normas/Norma1.jsp?i=1508 [ Links ]
[41] Ricardo, D. (1973). Principios de economía política y tributación. México D. F.: Fondo de Cultura Económica. [ Links ]
[42] Rocha, R., Sánchez, F., & Tobar, J. (2007). Informalidad el mercado de crédito para la vivienda de interés social. (Documentos CEDE 10). Universidad de los Andes. [ Links ]
[43] Romero, J. (13 de agosto de 2011). Fundamentales en precios de vivienda (II). Portafolio (en línea). Disponible en http://www.portafolio.co/opinion/fundamentales-precios-vivienda-ii [ Links ]
[44] Serra, M. (2011). La revitalización del área metropolitana de Bilbao: la gestión de Bilbao Ría 2000. Boletín de la Asociación de Geógrafos Españoles, 55, 35-37. Disponible en http://age.ieg.csic.es/boletin/55/02AGE55.pdf [ Links ]
[45] Simpson, A. W. B. (1996). "Coase v. Pigou" Reexamined. The Journal of Legal Studies, 25(1), 53-97. [ Links ]
[46] Sraffa, P. (1960). Production of Commodities by Means of Commodities. Prelude to a Critique of Economic Theory. Cambriedge: Cambriedge University Press. [ Links ]
[47] Unión Temporal Urbana UTU (2010). Informe final, contrato ERU-CM-02-2009. Bogotá: Empresa de Renovación Urbana de Bogotá. Mimeo. [ Links ]
[48] Varian, H. R. (1992). Análisis microeconómico. Barcelona: Antoni Bosch. [ Links ]




































