Services on Demand
Journal
Article
Indicators
-
Cited by SciELO -
Access statistics
Related links
-
Cited by Google -
Similars in
SciELO -
Similars in Google
Share
Cuadernos de Economía
Print version ISSN 0121-4772
Cuad. Econ. vol.35 no.68 Bogotá Jan./June 2016
https://doi.org/10.15446/cuad.econ.v35n68.54255
10.15446/cuad.econ.v35n68.54255
The evolution of Colombian industry in the context of the energy-mining boom: Symptoms of the dutch disease?
La evolución de la industria colombiana en un contexto de boom minero-energético: ¿Síntomas de enfermedad holandesa?
L'évolution de l'industrie colombienne dans un contexte de boom minierénergétique : Symptômes de maladie hollandaise ?
A evoluçào da indústria colombiana em um contexto de boom mineiro-energético: Sintomas de doença holandesa?
Mauricio López Gonzáleza
Edwin Esteban Torres Gómezb
Sebastián Giraldo Gonzálezc
a Economist, Macroeconomics Teacher at University of Antioquia, Ph.D. Student in Business Management from the University of Valencia; Spain. Email: mauricio.lopez@udea.edu.co.
b Economist, International Trade Teacher at University of Antioquia, Ph.D. Student in Economics from the University of Rosario; Colombia. Email: esteban.torres@udea.edu.co.
c Banco de la República, Medellín, Colombia. Email: sgiralgo@banrep.gov.co.
The views expressed here are personal and do not commit the Central Bank or its Board of Directors. The errors of the document are the exclusive responsibility of the authors.
Sugerencia de citación: López González, M., Torres Gómez, E. E., & Giraldo González, S. (2016). The evolution of Colombian industry in the context of the energy-mining boom: Symptoms of the dutch disease? Cuadernos de Economía, 35(68), 475-490. doi: 10.15446/cuad.econ.v35n68.54255.
Abstract
This paper seeks to evaluate and demonstrate the hypothesis of deindustrialization and Dutch Disease (DD) for the case of the Colombian economy by using a Beta regression model. The results of the research indicate that it is not possible to reject the suggestion that the mining and energy boom have potential adverse effects on the manufacturing sector.
Keywords: Dutch disease, deindustrialization, energy-mining boom.
JEL: O13, Q33, Q34.
Resumen
Este artículo busca evaluar y demostrar la hipótesis de la desindustrialización y la enfermedad holandesa (EH) para el caso de la economía colombiana a través de un modelo de regresión beta. Los resultados de la investigación indican que no es posible rechazar la hipótesis de que los auges mineros y energéticos tienen potenciales efectos adversos en el sector manufacturero.
Palabras clave: enfermedad holandesa, desindustrialización, boom mineroenergético.
JEL: O13, Q33, Q34.
Résumé
Ce travail tente d'évaluer et de démontrer l'hypothèse de la désindustrialisation et de la maladie hollandaise (EH) dans le cas de l'économie colombienne à travers un modèle de régression béta. Les résultats de cette recherche indiquent qu'il n'est pas possible de rejeter l'hypothèse que les essors miniers et énergétiques ont des effets potentiels adverses dans le secteur manufacturier.
Mots-clés : maladie hollandaise, désindustrialisation, boom minier-énergétique.
JEL : O13, Q33, Q34.
Resumo
Este trabalho busca avaliar e demonstrar a hipótese da desindustrializaçào e a doença holandesa (EH) para o caso da economia colombiana através de um modelo de regressào beta. Os resultados da pesquisa indicam que nào é possível rejeitar a hipótese de que os auges mineiros e energéticos têm potenciais efeitos adversos no setor manufatureiro.
Palavras-chave: doença holandesa, desindustrializaçào, boom mineiro-energético.
JEL: O13, Q33, Q34.
Este artículo fue recibido el 20 de junio de 2013, ajustado el 9 de febrero de 2015 y su publicación aprobada el 16 de marzo de 2015.
INTRODUCTION
Between 2008 and 2013 international prices and demand for products like coal, gold and oil presented upward trends and the Colombian mining sector grew on average 9.32% per year. Some authors have described this phenomenon as a "mining boom" (Franco & Gallo, 2010; González, 2011; Martínez, 2012). This had a positive influence on the country's economic growth, though Colombia is not exactly an economy that is dependent on mineral extraction: before the mining boom, the sector accounted for about 6.4% of GDP, growing to 7.1%; between 2004-2006.
In addition to the boom in the sector other important factors were also at play, including: Growing Foreign Direct Investment, which was mainly focused on this kind of activity; growing appreciation of the peso - a phenomenon that was not exclusive to the Colombian economy; the global economic crisis provoked by the collapse of the United States real estate market; the sluggishness of the industrial sector, associated not only with the positive performance of other economic sectors such as services but also with so-called deindustrialization; and positive growth of the overall economy.
This research describes a set of exercises intended to evaluate the presence or absence in the Colombian economy of the phenomenon known theoretically as the "Dutch Disease" (DD ). The phenomenon has been widely documented in the economic literature. When present, it requires fast and effective action by the economic authorities in order to minimize serious negative consequences for the national economy.
The paper is divided into four sections in addition to this introduction. The first section presents a short description of theoretical and conceptual elements; the second section presents the empirical research strategy employed by the authors; the third section presents the results of a sries of econometric exercises whose object was to evaluate the existence of the DD; finally, the last section presents conclusions and policy recommendations.
THEORETICAL FRAMEWORK
The harmful effects on the rest of the economy of a boom in exports of a natural resource have been the focus of many studies. The phenomenon is known in the economic literature as the Dutch Disease, (Baldwin, 1977). It is principally associated with an inverse relationship between the growth of the booming sector and industry. A large number of investigations has explored this relationships, both theoretically (Corden & Neary, 1982) and empirically: Spatafora & Warner (2001) examine the case of oil exporting developing countries, Hamilton (1983) the United States, and Rudd (1996) industrialized and non-industrialized countries. Stijns (2003) employs a gravitational model of the global economy to measure the impact of a boom in natural resource exports on deindustrialization in several countries.
The seminal works on the DD and its impacts on the economy are Corden & Neary (1982), and Neary & Van Wijnbergen (1986). Both consider a scenario involving a small, open economy which produces three goods -two of which are tradable and have a price determined exogenously, and a third that is non-tradable and whose price is determined by domestic supply and demand- before proceeding to outline two effects on manufacturing of a boom in the primary sector.
The first impact occurs when an exogenous increase in the value of the product in the booming sector increases the marginal product of labor in related activities. This produces a shift of labor from other sectors toward the booming area of the economy and a contraction in the tradable sector, resulting in the sub-utilization of the latter's production factors. This transfer of production factors leads in addition to an increase in the price of non-tradable goods, as these are now the subject of excess demand. This rise in the price of non-tradable good prices leads in turn to an increase in the real exchange rate. This is kknown as the resource movement (or supply side) effect.
The other outcome of the DD is the expenditure (or demand side) effect, which occurs as follows: the boom leads to an increase in domestic income, increasing demand for all goods as a result. Both the supply and the demand side effects are posited on an assumption of full employment in the factor and the goods markets. While the price of tradable goods is adjusted by the workings of the international markets, this increase in expenditure raises the relative price of non-tradable products, resulting in an appreciation of the real exchange rate. In response, labor migrates from the tradable- to the non-tradable sectors, resulting in a contraction of the tradable sectors that are not experiencing the boom.
According to Corden & Neary (1982), and considering the net effects upon the supply and demand sides as a whole, the following results are found to occur:
- The real currency exchange rate appreciates.
- There is ambiguity in the production of non-tradables.
- Production drops in the manufacturing sector.
- There is a drop in manufacturing exports.
Based on the above outline, this paper analyzes a) whether or not these theoretical conditions occur in Colombia and b) the effects the boom may have had on growth in the industrial sector, the labor force, labor force remuneration and sector competitiveness.
The greater importance to economies of industry over the primary sector is widely accepted in the literature. The studies of Hirschman (1958), Seers (1964), and Baldwin (1966) advanced the idea that the benefits of forward and backward linkages from the primary sector to the rest of the economy were not great. The basic idea is that, unlike natural resource production, manufacturing led to a more complex division of labor and might successfully raise living standards by leading to greater productivity and higher wages. Therefore, when the mining sector increases its share of national production it does not necessarily result in more and higher quality employment.
Along these lines, Sachs and Warner (1995) suggest that a higher proportion of natural resources exported as a percentage of the total -that is, high levels of dependency on the primary sector- may be due to low levels of GDP per capita, ineffective commercial policies, low investment rates, and weak governments.
Additionally, the negative impacts of the exploitation of natural resources on manufacturing industry caused by the wholesale entry of capital and the corresponding appreciation of the local currency have also been examined. The work of Oomes and Kalcheva (2007), Acosta, Lartey and Mandelman (2009) and Bresser-Pereira (2011) and represent a small sample of the huge literature that has been produced on the matter.
However, other studies, such as Torvik (2001), criticize the traditional model, presenting evidence about the importance of understanding the real exchange rate in relation to its long run movements. The purpose of this article is to examine whether the standard model of DD has occurred in Colombia.
THE COLOMBIAN EVIDENCE
The composition of Colombian exports has changed over the years, experiencing a particular dynamic which shows that, despite the fact that some new products have been added, others have disappeared from local production. Table 1 shows that rather than a process of export diversification, this might actually represent a shift from some products to others.
Despite this, in around 1970 coffee accounted for about 63% of Colombian exports before a systematic decline was initiated, reducing its export participation to 5% in 2011. During the same period oil and oil derivatives increased their share, growing from 10% in 1970 to 49% in 2011. However, this was not a period of export diversification; instead, exports were being displaced as a result of specialization and in the process coffee was replaced by oil and oil by-products as the country's principal export. This is noteworthy, as, for half a century Colombia's exports were centered on a non value-added primary good.
Furthermore, although the manufacturing sector has been more heterogeneous in its export performance than primary goods, it went from representing 37% of total exports in 2005 to only 20% in 2011, suggesting that a serious process of deindustrialization has occurred.
It should be noted that the evidence indicates that over the last ten years there has been a strong negative relationship between the percentage of GDP contributed respectively by industry and by mining. The four panels in Figure 1 describe the GDP gaps for mining and industry in the form of scatter plots. The first panel (top left) plots the GDP gap without industry against the industry gap (industrial production gap) and shows a clearly positive relationship; i.e., booms in industry are generally related to periods of high growth in the other sectors of the economy ("gaps" represent the difference between the level of the variable and its trend, calculated using Hodrick-Prescott filters). The upper right hand panel plots the GDP gap without oil against the oil gap, showing a negative trend between the two variables, thus indicating that oil booms are generally accompanied by less positive periods in the other sectors of the economy. In turn, the bottom two panels illustrate the industrial production gap with the non oil mining and the oil gaps as a percentage of GDP. It may observed that in the first case, the relationship is not as pronounced, while in the second the trend is negative and more significant. This is very interesting, because it suggests that oil booms are usually accompanied by periods of low growth in industry as well as in other mining sectors - because if the mining gap including other sectors is analyzed the relationship is much flatter.
In the specific Colombian case there has been a strong negative relationship over the last ten years between industry and mining, measured as percentages of GDP.
Because the dispersion diagrams presented in Figure 1 do not provide robust or statistically significant evidence about the possible effect of the oil boom on Colombian industry (resulting from substantial increases in the WTI price paid by price takers), the authors developed a calibrated econometric model in order to advance a more robust analysis.
Based on these principles, and on the importance of the industrial sector for sustained economic growth, this paper proposes the adoption of a model that employs the Beta regression model to measure the interactions of the Colombian miningenergy boom on manufacturing production and to examine its effects.
THE MODEL
Since the outcome variable must lie between 0 and 1 a Beta regression model was used to make the estimation, allowing models to be calibrated when the dependent variable is a rate or a fraction (in this case, 0 < y < 1). It was decided to use this particular model because, when the outcome variable (industry share of GDP) is limited, it does not comply with the conditions of normality. Additionally, the same equation was estimated using an OLS regression to compare the sign of the coefficients in the two models and to gain an idea of the robustness of the estimation.
For the purposes of developing the estimation it was assumed that the outcome variable distributes Beta (0,1). The estimation proceeded using the method of maximum likelihood, after conducting a logit transformation on the dependent variable. It is worth emphasizing that the parameters obtained in this type of estimation are interpreted according to the expected value of the outcome variable.
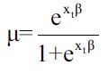
Thus, if we have μ = E[Y], and assuming that
, we then have:
![]() | [1] |
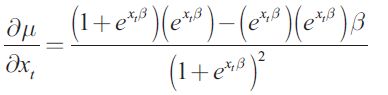
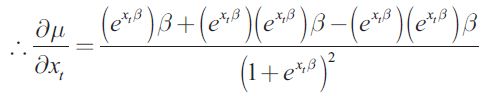
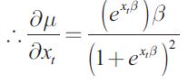
where xt represents the values of the independent variables in period t, and β represents the coefficients accompanying each one of the variables. Deriving xt, to obtain an interpretation of the parameters we have that:
![]() | [2] |
![]() | [3] |
![]() | [4] |
![]() | [5] |
Rudd (1996) proposes estimating an econometric model in the following way:
Decline in the facturing sector = Æ(expenditure effect, resources movement effect)
Following the recommendations of Nyatepe-Coo (1994), the share of the manufacturing sector in GDP is modeled without the oil sector. In this manner, even if industry grows as usual, its share of total GDP drops because of the boom in the oil sector. In this manner, it is possible to isolate the real contraction of the sector. Therefore, the estimated model is:
![]() | [6] |
where the vector of variables are determined as follows:
Contrary to the assumptions of the core DD model (Corden & Neary, 1982), in the model employed here there is no full employment, because the conditions of the economy do not permit this assumption to be made. It may then be observed that if relative employment in the manufacturing sector increases or decreases it may not be due to a direct mobility of factors between sectors.
The previous variables can be classified according to the two effects that occur when the DD is present: the effects of resource movement and of expenditure. Resource movement effects include manufacturing exports over total exports, industrial employment remuneration and international oil price trends, while the expenditure effect include government expenditure over GDP and the Real Exchange Rate Index (RER).
RESULTS
Table 2 presents the results of the estimated equations. The first model is an estimation using OLS regression with robust errors. The coefficients are weighted and statistically significant. According to this regression: An increase of one point in the Mining/(GDP-Mining) ratio generates a decrease of 0.175 points in the Industry/ GDP ratio; there is a negative but near-zero relation between the RER and the dependent variable; the relation between the ratios of manufacturing exports and industry production is positive, indicating that a percentage point increase in the participation of manufacturing exports implies an increase in the Industry/GDP ratio of 0.029; the relation with industrial employment remuneration is positive and statistically significant; there is a negative relation with Crude oil (Trend), which is to be expected with this coefficient; and, finally, there is a negative relation with the Public Expenditure/GDP ratio, meaning that public expenditure is higher when there is an energy boom, rather than indicating a manufacturing boom.
The third column of Table 3 shows the results for the Beta regression model. The interpretation of these coefficients is not easy, because they are not lineal on the different distribution points of the independent variables. Instead, the sign of the coefficients indicates the direction of the relation between the dependent variable and each independent variables.
Thus, the table shows that there is a negative relation between the Industry/GDP ratio and the Mining/(GDP-Mining) ratio, RER, Crude oil (Trend) and Public Expenditure/GDP. It also shows a positive relation with the ratio Manufacturing exports/Total exports, and with Industrial employment remuneration. The coefficients are statistically significant and according to the "ln_phi" and the Wald Chi2 test the estimation is significant at the global level.
Tables 3 and 4 show the coefficients of the regression on different points of the distribution of each variable, permitting improved interpretation of the data. These were obtained by introducing discrete changes in the variables or simply by obtaining the partial derivative at discrete points including the mean, the median, maximum and minimum.
Table 3 shows the effect on each independent variable of the discrete changes made. Two exercises were carried out: (i) an evaluation of the change in the dependent variable when independent variables pass from their minimum to their maximum, and (ii) an evaluation of the change in the Industry/GDP ratio when half of the standard deviation is added or subtracted.
The first exercise shows that when Mining/(GDP-Mining) increases from 0.0546 to 0.0769 there is a corresponding 0.0041 decrease in Industry/GDP. An increase of 45.6 in the RER index (from 76.7 to 122.3) is associated with a 0.0072 decrease in the participation of industry in GDP. When the industry employment remuneration index increases from 100 to 113.6 there is an increase in the Industry/ GDP ratio of 0.0067. Similarly, an increase in the Manufacturing exports/Total exports ratio, from 0.1941 to 0.4229, is associated with a corresponding increase in the dependent variable of 0.0067. Finally, a rise in the crude oil price from 38.82 to 94.25 generates a decrease in the Industry/GDP ratio of 0.0179. Similar results were found when we added or subtracted half of a standard deviation, but the effect on the dependent variable was lower.
Another way to interpret the coefficients of the Beta Regression is by evaluating the partial derivative at any point of each variable. Table 4 shows the results of such an exercise when the partial derivative was evaluated at the mean and maximum of each variable. For example, when the derivative at mean was evaluated an increase of 1% in the Mining/(GDP-Mining) ratio generated a decrease of 0.1835% in the Industry/GDP ratio. A 1% increase of the RER at mean generated a decrease of 0.00016% in the dependent variable. An increase of 1% at mean was associated with an increase in the Industry/GDP ratio of 0.0294%. Similarly, an increase of 1% in the Industrial employment remuneration index was associated with a corresponding increase of 0.0004% in the dependent variable, while an increase in Public Expenditure/GDP of 1% at mean was associated with a decrease of 0.3858 in the dependent variable. Finally, an increase of 1% in the crude oil price generated a decrease of 0.00032% in the Industry/GDP ratio. If the Industry/ GDP ratio were calculated at the mean of all independent variables, the ratio would be equal to 0.1426.
The last two columns of Table 4 show the same exercise, involving an evaluation of the partial derivative at the maximum of each variable. Results are of the same order, but in general the coefficients are higher; indicating that the effect is worse when the RER, the Mining/(GDP-Mining) ratio and the Crude Oil price are higher.
POLICY CONCLUSIONS AND RECOMMENDATIONS
There is a considerable literature focusing on the negative effects that booms in primary goods may have on the overall economy of a country. DD theory seeks to explain this phenomenon. The general idea is that a boom in a tradable sector (especially a primary good) will have negative effects on the production, investment and exports of other tradable sectors (usually manufactures).
This article has presented an empirical model which provides evidence of symptoms of DD in the Colombian economy. The aim was to demonstrate whether a negative relation exists between increases in the participation of mining on natioThe nal production and the Industry/GDP ratio. For this purpose we calibrated an OLS and a Beta regression. The results were weighted, and statistically significant.
The empirical results indicate that, at the mean of all independent variables, an increase of 1% in the Mining/(GDP-Mining) ratio generates a decrease of 0.1835% in the Industry/GDP ratio. An increase of the RER of 1% at mean generates a decrease of 0.00016% in the dependent variable. An increase of 1% at mean is associated with an increase in the Industry/GDP ratio of 0.0294%. In a similar manner, an increase in the Industrial employment remuneration index of 1% is associated with an increase of 0.0004% in the dependent variable, while an increase of Public expenditure/GDP of 1% at mean is associated with a decrease of 0.3858 in the dependent variable. Finally, an increase of 1% in the crude oil price generates a decrease of 0.00032% in the Industry/GDP ratio.
If the Industry/GDP ratio is calculated at the mean of all independent variables, the resulting ratio is equal to 0.1426. This value is decidedly low for a developing country like Colombia with relatively high growth rates. This means that Colombian economic growth has been driven in recent years by sectors related to mining and by sectors that do not generate much employment and might have adverse effects on manufacturing production, investment and exports. In this sense, therefore, the Colombian government and policy makers should be prepared to manage rents from the booming sectors and redirect them to other tradable sectors that are more labor intensive. Such a policy shift would ensure that the booms benefit the whole economy and reduce their adverse effects.
REFERENCES
[1] Acosta, P. A., Lartey, E. K., & Mandelman, F. S. (2009). Remittances and the dutch disease. Journal of international economics, 79(1), 102-116. [ Links ]
[2] Baldwin, R. (1977). The dutch disease. The Economist, 82-83, November 26. [ Links ]
[3] Baldwin, R. (1966). Economic development and export growth: A study of northern Rhodesia, 1920-1960. Berkeley and Los Angeles, CA: University of California Press. [ Links ]
[4] Bresser-Pereira, L. C. (2011). From old to new developmentalism in Latin America. In J. A. Ocampo & J. Ros (eds), The Oxford Handbook in Latin American Economics (pp 108-129). Oxford: Oxford University Press. [ Links ]
[5] Corden, M. & Neary, P. (1982). Booming sector and de-industrialization in a small open economy. The Economic Journal, 92(368), 825-848. [ Links ]
[6] Franco, G., & Gallo, A. F. (2010). El carbón colombiano y el modelo de Hotelling. Revista EIA,14, 64-74. [ Links ]
[7] González, D. G. (2011). Colombia: la aplanadora minera a toda marcha. Kavilando, 2(1), 46-50. [ Links ]
[8] Hamilton, J. (1983). Oil and the macroeconomy since world war II. Journal of Political Economy, 91(2), 228-248. [ Links ]
[9] Hirschman, A. O. (1958). The strategy of economic development. New Haven: Yale University Press. [ Links ]
[10] Martínez, A. (2012). Impacto socioeconómico de la minería en Colombia. Bogotá: Fedesarrollo. [ Links ]
[11] Neary, J. P., & Van Wijnbergen, S. (1986). Natural resources and the macroeconomy: A theoretical framework. Natural resources and the macroeconomy (pp. 13-45). Cambridge: The MIT Press. [ Links ]
[12] Nyatepe-Coo, A. A. (1994). Dutch disease, government policy and import demand in Nigeria. Applied Economics, 26(4), 327-336. [ Links ]
[13] Oomes, N., & Kalcheva, K. (2007). Diagnosing dutch disease: Does Russia have the symptoms? (Working Papers 1-32). IMF. [ Links ]
[14] Rudd, D. (1996). An empirical analysis of dutch disease: Developing and developed countries. Honors Projects. Available in: http://digitalcommons.iwu.edu/econ_honproj/62. [ Links ]
[15] Sachs, J. D., & Warner, A. M. (1995). Economic reform and the process of global integration. Brookings Papers on Economic Activity, 1-118. [ Links ]
[16] Seers, D. (1964). The mechanism of an open petroleum economy. Social and Economic Studies, 13, 233-242. [ Links ]
[17] Spatafora, N., & Warner, A. (2001). Macroeconomic and sectoral effects of terms -of-trade shocks- the experience of the oil-exporting developing countries (First published as Staff Paper 134/99). IMF. [ Links ]
[18] Stijns, J-P. (2003). An empirical test of the dutch disease hypothesis using a gravity model of trade. Stockholm: Congress of the EEA. [ Links ]
[19] Torvik, R. (2001). Learning by doing and the dutch disease. European economic review, 45(2), 285-306. [ Links ]


















