INTRODUCCIÓN
La teoría económica establece que el precio de un bien o un servicio es una señal de la escasez relativa del mismo en el mercado. Por ello, si en un mercado el precio de un producto se incrementa súbitamente (ceteris paribus), se puede interpretar que este se ha vuelto más escaso. Por otro lado, la existencia de arbitraje entre mercados regionales permite reasignar el producto entre regiones e igualar el precio entre estas. Es decir, si en el primer mercado regional el precio del mismo producto es menor que en el segundo mercado, existirán agentes interesados en transportar este último entre regiones y, al final, se espera que ambos precios sean aproximadamente iguales. En el primer mercado, el precio del producto aumentará un poco, y en el segundo disminuirá un poco (Alonso y Montoya, 2006). Este mecanismo permite, en teoría, el cumplimiento de la ley del único precio. Para que el arbitraje sea socialmente eficiente y se cumpla la ley del único precio, debe existir competencia perfecta y libre entrada entre los intermediarios, ningún tipo de segmentación entre los mercados y homogeneidad en los bienes tranzados.
Una literatura asociada a la evaluación empírica de la ley del único precio es la de la integración espacial de los mercados. Esta integración se refiere a los co-movimientos o la relación que debería existir a largo plazo entre los precios de regiones distantes de un mismo producto, si la ley del único precio se cumple. Es decir, dos mercados se asumen integrados si los cambios de precios en un mercado se manifiestan en una respuesta de idéntica proporción en el otro mercado. Si los mercados no están integrados, probablemente indica la concentración en el poder de mercado de algún agente, o la presencia de “cuellos de botella” en el acceso a la información por parte de los productores o en la infraestructura de transporte (Ghafoor, Mustafa, Mushtaq, 2009).
Más allá de conocer la existencia de mercados integrados, resulta también interesante explorar la presencia de un mercado central o líder, ¿un mercado cuyos cambios preceden a los otros? Ya que sería posible predecir la trayectoria de los cambios en los precios en las ciudades seguidoras, ocasionados por desequilibrios en la ciudad líder (Alonso y Gallego, 2010).
Para mercados de productos agrícolas, pero no exclusivamente para ellos, la transmisión de precios en los mercados locales permite adquirir a los productores y a otros actores en la cadena de valor, información valiosa acerca de la formación de los mismos, lo que afecta de manera directa sus decisiones de mercadeo. A su vez, si los mercados no están integrados y la transmisión de precios es deficiente, entonces estos pueden asignar de manera ineficiente los recursos: el superávit comercial generado por los agricultores podría resultar en bajos precios e ingresos disminuidos (Ghafoor et al., 2009). En consecuencia, los productores no son capaces de especializarse y beneficiarse de las ganancias del comercio. Ellos no asignan los recursos eficientemente y los productos pueden ser enviados a los mercados que tienen un exceso de oferta y precios más bajos, en lugar de mover a los mercados con escasez y precios altos (Beag y Singla, 2014).
En Colombia, son escasos los estudios que indagan la integración espacial en los mercados de productos agrícolas y, más específicamente, en los mercados de frutas tropicales (para una breve revisión de la literatura existente, remítase a la siguiente sección de este documento).
El Consejo Nacional de Política Económica y Social (Conpes), en el Documento 3514 de 2008, reconoció a la guayaba como una de las frutas con potencial productivo. Por otro lado, la Corporación Colombiana de Investigación Agropecuaria (Corpoica) está desarrollando desde 2013 el macroproyecto “Modelos productivos sostenibles basados en tecnologías de manejo integral del cultivo, para el mejoramiento de la productividad y competitividad de la guayaba en Colombia”, como parte de una estrategia para potencializar el cultivo de esta fruta y su consumo interno. Este macroproyecto deberá terminar en diciembre de 2017. No obstante, en el país los estudios sobre esta fruta son escasos. El macroproyecto intenta crear conocimiento sobre aspectos técnicos del cultivo de la guayaba y el manejo de su cosecha. También contempla el estudio de la demanda de guayaba y los factores que afectan la decisión de los consumidores a la hora de comprar la guayaba. A pesar de este esfuerzo por conocer más de la guayaba, aún existen muchos aspectos del mercado de esta fruta que se desconocen.
De acuerdo con Parra (2014), durante el 2013 en Colombia se cosecharon 8.339 hectáreas de guayaba en todas sus variedades, equivalentes a 69.096 toneladas; distribuidas en doce departamentos, y los principales productores son, en orden descendente: Santander, Tolima, Boyacá, Valle del Cauca, Antioquia y Caldas. También, el uso popular de la guayaba en productos elaborados tales como néctar, jugo, conservas, mermeladas, fruta en almíbar, alimentos para niños, refrescos, lácteos y panadería, entre otros, son muestra de la importancia socioeconómica y de hábitos de consumo de este fruto en las familias colombianas. Combariza (2012), empleando la Encuesta Nacional de Situación Nutricional 2005, encuentra que la guayaba es la cuarta fruta más consumida, dentro de un total de cincuenta y cuatro frutos considerados en el estudio. Finalmente, Alonso, Ordóñez y Rivera (2017) estimaron una función de demanda de la guayaba para los hogares colombianos según la Encuesta Nacional de Ingresos y Gastos 2006-2007. Los autores encontraron que la demanda de esta fruta tropical es inelástica al precio y con una elasticidad de ingreso mayor a 1.
Este documento tiene como objetivo responder la pregunta: ¿se encuentra integrado especialmente el mercado mayorista de la guayaba pera en el Valle del Cauca? Y en caso de estar integrado, ¿existe un mercado líder? Para responder estas preguntas emplearemos técnicas de series de tiempo y datos de frecuencia semanal.
Es importante aclarar que se escoge la guayaba pera por ser la variedad de guayaba que se encuentra con mayor presencia en el país y por ser el foco del macroproyecto desarrollado por Corpoica. Y se selecciona el Valle del Cauca como región de estudio por tres razones: primera, es una de las regiones de mayor producción; y al mismo tiempo, la mayor proporción de esta se destina al consumo en fresco y no a consumo industrial (véase Parra, 2014). Segunda, es el único departamento con cuatro ciudades con poblaciones superiores a 130.000 habitantes; para estas existe información de los precios mayoristas de esta fruta1. Estas ciudades son: Cali, Palmira, Tuluá y Cartago. Las cuatro ciudades para las cuales existe información recogen cerca del 65,4% de la población del departamento; es decir: tres millones de habitantes, aproximadamente. Ningún otro departamento tiene una disponibilidad de información que cubra un porcentaje similar o superior al de su población2. Y la tercera razón, se escoge al Valle del Cauca como la región objeto del presente estudio, puesto que este departamento es uno de los principales puntos del macro-proyecto desarrollado por Corpoica.
Respecto a nuestras preguntas de investigación, estas son relevantes desde el punto de vista de la política pública, por dos razones: primera, permite detectar posibles “cuellos de botella” que impiden que los productores asignen de manera eficiente los recursos y que los consumidores se beneficien del arbitraje. Y segunda, permite complementar los esfuerzos del macroproyecto que Corpoica está desarrollando desde 2013. De esta manera, se puede tener un panorama más completo de este mercado.
No obstante, para responder nuestra pregunta, se presenta un problema al no existir una serie “completa” de precios de la guayaba pera en estos mercados locales. Por eso, el segundo aporte de este documento es construir una serie completa para los precios de la guayaba pera. Por tanto, se imputan, por medio de un modelo spline cúbico natural y el algoritmo EM (expectation-maximization), los valores perdidos de las series en algunas semanas.
En la siguiente sección, se revisa la bibliografía de los estudios empíricos que exploran la integración espacial de los mercados agrícolas, y se enfatiza en los mercados de frutas y verduras. En la tercera sección, se describen los datos que se van a usar y el algoritmo de imputación aplicado sobre los datos perdidos en las series analizadas. En la cuarta, se presenta la aproximación metodológica usada para comprobar la existencia de mercados integrados. En la quinta sección, se enumeran los resultados encontrados, en términos de pruebas de estacionariedad, determinación del número de ecuaciones cointegradas y pruebas de causalidad de Granger. Por último, se presentan unos comentarios finales.
TRABAJOS PREVIOS
El análisis de integración espacial de productos agrícolas alimentarios mediante el uso de técnicas de series de tiempo se abordó previamente; no obstante, son pocos los estudios realizados para los mercados de frutas tropicales e inexistentes para el caso particular de la guayaba.
Antes de entrar en detalle sobre los estudios que emplean técnicas de series de tiempo para determinar la integración espacial de varios mercados, es importante mencionar que todos tienen en común que para determinar la integración de un mercado se emplean dos pasos: 1) la determinación del orden de integración de las series y 2) determinar si las series están cointegradas en caso de tener el mismo orden de integración (típicamente, las series son I (1)). Posteriormente, algunos autores pueden, en caso de encontrar integración espacial, realizar análisis de causalidad a lo Granger o emplear un modelo de corrección de errores para determinar el mercado central o el tiempo de ajuste al equilibrio de largo plazo del sistema. A continuación, se resumen algunos de los documentos que emplean este tipo de aproximación para diferentes mercados y países.
Para el caso colombiano, varios han sido los estudios que buscaban contrastar la integración espacial de distintos mercados; entre ellos, Galvis (2002) en el mercado laboral, Campo y Cubillos (2012) en los mercados locales, Enríquez, Campo y Avendaño (2015) en el mercado de vivienda nueva, Castillo y Flórez (2005) en el mercado de ganado vacuno macho cebado de primera.
Sofán (2015) analiza la integración espacial en el mercado de la leche, la carne de res y el arroz para las ciudades de Barranquilla, Bogotá, Bucaramanga, Cali, Medellín, Montería, Neiva, Pasto y Villavicencio, usando el índice de precios al consumidor mensual de dicho producto desde enero de 2002 hasta diciembre de 2014. Los resultados indican la existencia de relaciones de cointegración.
Alonso y Gallego (2010) exploran la integración espacial en el mercado de las carnes (de res y cerdo, con y sin hueso, y pollo despresado y pollo entero) en seis mercados en las tres principales ciudades de Colombia, a partir de datos mensuales entre enero de 1999 y mayo de 2007. Los resultados encontrados señalan la inexistencia de integración espacial en ninguno de los seis mercados estudiados. Alonso y Montoya (2006) estudian la integración espacial del mercado de la papa parda pastusa en los municipios colombianos de Armenia, Bogotá, Cali, Manizales, Palmira, Pasto y Tuluá, mediante el empleo de los precios mayoristas semanales entre 2003 y 2005. El análisis tradicional de cointegración evidencia que para todas las combinaciones de mercados estudiados, existe integración espacial. Alonso y Gallego (2010) exploran la integración en la cadena de producción del arroz, la papa y el fríjol en Cali, por medio de los precios en el canal mayorista y minorista desde enero de 2004 a marzo de 2008. Los autores encuentran que hay relación de largo plazo entre las series de precios de la papa, pero para los otros productos, no se encuentra evidencia de cointegración.
En el campo internacional, se encuentran diferentes estudios que analizan la integración espacial en frutas y verduras. Beag y Singla (2014) investigan la integración espacial de la manzana en los cinco mercados más grandes en India, usando precios mensuales mayoristas para el período 2003-2013. Los resultados señalan cointegración (empleando la prueba de Johansen, 1988) entre estos mercados. Los autores identifican a la capital Delhi como el mercado líder. Además, encuentran que, ante un choque de una desviación estándar en este, los otros mercados considerados regresan al equilibrio entre cinco y seis meses después. Por su parte, Deodhar (2005) indaga también la integración espacial para cuatro mercados mayoristas de manzanas en India. Este autor emplea precios semanales para el período 2000-2001, para encontrar que el precio de las manzanas presenta relación de largo plazo solo en los pares de mercados Bombay-Bangalore y Bombay-Calcuta. Para estas parejas de mercados, los cambios en los precios se transmiten después de dos semanas. A su vez, encuentra que los precios en Delhi no afectan de manera significativa los precios de los otros mercados estudiados; esto explicado por una posible negociación entre los comerciantes de las zonas sur y oriente del país y los productores, evitando al mercado de Delhi como mercado de tránsito.
Sanjuán, Gil y Leskovar (2000) encuentran que el proceso de integración económica en el área del Mercosur ha favorecido la integración de los mercados agrícolas y, en particular, el de las manzanas. Por medio de los precios mensuales de las manzanas en el escalón mayorista en los países del Mercado Común del Sur (Mercosur) (Chile, Argentina, Brasil, Uruguay y Paraguay), entre el período 1984-1990 y el de 1991-1997, se encuentra que el logro de la integración plena no se ha alcanzado, pero la creación de la unión aduanera sí ha favorecido la integración entre los mercados de los países considerados.
Ghafoor et al. (2009) exploran en Pakistán la integración espacial del mango en los diez mercados más grandes del país, usando precios mensuales mayoristas entre 1990 y 2006. Los autores encuentran integración espacial; y, además, que entre 39% al 68% de los desequilibrios son ajustados en cada período. Identifican a Karachi como mercado líder y que ante un choque en el mercado líder se tarda entre uno y tres meses para que los otros mercados considerados regresen al equilibrio.
Adenegan, Adeoye e Ibidapo (2012) examinan la integración del mercado del tomate entre tres regiones productoras y tres consumidoras de este bien en Nigeria, mediante el empleo de datos mensuales para el período entre 2003 y 2006. Se concluye, por tanto, la existencia de integración espacial únicamente entre tres pares de mercados. Por su parte, Mandizvidza (2013) investiga la integración de los diferentes niveles de la cadena de comercialización de los tomates en la provincia de Limpopo, en Sudáfrica. Esta autora usa observaciones realizadas de los precios durante los días hábiles de la semana entre mayo y julio de 2012. Según la autora, las granjas de explotación agrícola desempeñan un papel fundamental en la formación de precios del tomate en la región analizada; también encuentra la existencia de cointegración solo entre las granjas de producción y el mercado minorista. Usando un modelo de corrección de errores, concluye la presencia de asimetría en la transmisión de precios entre estos dos niveles de comercialización nombrados anteriormente. En particular, encuentra que los incrementos de precios que presentan las granjas de producción a los mercados minoristas, no se reflejan en los precios que perciben los consumidores finales, en tanto que los incrementos del precio del tomate de las granjas de producción se transmiten totalmente al consumidor final, pero los decrementos no se transmiten en igual magnitud.
Ajayi (2013) indaga la integración espacial del mercado del plátano en las regiones urbana y rural del estado de Ondo, en Nigeria, con datos mensuales para el período 2001-2010. Según el autor, los dos tipos de mercados considerados se encuentran cointegrados y que el mercado rural causa unidireccionalmente (a lo Granger) al urbano. Este resultado le permite concluir que existe una inadecuada transmisión de los precios entre estos mercados y falta de arbitraje.
Myae, Yutaka, Fukuda y Kai (2005) estudian la integración espacial del mercado del tomate, repollo, cebolla y papas en Birmania, con precios semanales entre 2002 y 2004. Los autores concluyen que los mercados de productos agrícolas más perecederos, como el tomate y el repollo, están menos integrados que los mercados de los productos menos perecederos, como la cebolla y las papas. Además, estiman que entre más larga la distancia entre los mercados, menor es también la integración entre ellos, y que los mercados en déficit no se encuentran integrados con los productores.
Mishra, Kumar et al. (2011), empleando la misma metodología de Myae et al. (2005), analizan la integración espacial del mercado mayorista y minorista del tomate, repollo, cebolla, papas y coliflor en Nepal, con datos semanales entre 2007 y 2010. Los autores encuentran integración espacial para el tomate, las papas y la cebolla en los mercados mayoristas y para la cebolla y el repollo en los mercados minoristas. Además, hallaron que entre más larga la distancia entre los mercados, menor es también la integración entre ellos. Lohano, Mari, Memon y Mustafa (2005) exploran la integración regional de los cuatro principales centros de distribución de vegetales de Pakistán, ubicados en Hyderabad, Quetta, Peshwar y Lahore. A través del estudio de las series del precio mayorista con frecuencia mensual de la cebolla, entre enero de 1979 y diciembre de 2004, los autores hallan que todas las series analizadas son estacionarias y que al estimar un modelo VAR, las ciudades en cuestión se encuentran integradas y que los precios se ajustan a una velocidad moderada.
Jubaedah (2013) examina dos tipos de integración espacial en el mercado del pimiento rojo, en Indonesia. El primero, entre el principal mercado mayorista de Yakarta y los mercados productores que se encuentran en diferentes provincias de Indonesia, y encontró que, entre veintitrés pruebas de cointegración realizadas, cuando se analizan todos los pares de mercados provinciales y la central de abastos de la capital, solo ocho de los resultados sugieren integración espacial (34,78%), y quince señalan mercados segmentados (65,22%). El segundo tipo de integración estudiado en el documento es la relación de los veintitrés mercados productores ubicados en diferentes provincias de Indonesia; la autora menciona, esta vez, que entre quinientas seis pruebas de cointegración realizadas, cuando se analizan todas las combinaciones posibles de pares de mercados provinciales, un total de ciento sesenta y cuatro mercados están segmentados (32,42%) y trescientos cuarenta y dos pares están cointegrados (67,58%). La autora señala la distancia geográfica entre los mercados, la calidad de la infraestructura vial, la población, el nivel de producción de pimiento rojo y el número de mercados dentro de cada provincia como posibles variables que explican los hallazgos de su documento.
Por otro lado, Nkang, Ndifon y Odok (2007) estudian la integración espacial en el mercado de la cocoa y el aceite de palma en la región de Rivers, en Nigeria; más específicamente, el mercado central y urbano de Ikom y los mercados periféricos y rurales de Etung y Akamkpa, con datos semanales de 2005. Los autores concluyen que para la cocoa, existe cointegración en Ikom-Etung y en Ikom-Akamkpa y para el aceite de palma entre Ikom-Akamkpa; a su vez, la velocidad de ajuste entre los mercados que se encuentran integrados es muy rápida.
La integración espacial en algunas materias primas es también analizada mediante técnicas de cointegración. Entre estos estudios figuran, Mushtaq, Abbas y Abedullah (2007), quienes evalúan el grado de integración espacial en seis mercados del algodón en la provincia de Punjab, Pakistán. Con precios mensuales al por mayor del algodón entre octubre-febrero (1992-1993) y octubre-febrero (2003-2004), los autores encuentran que estos mercados están cointegrados.
MUESTRA, DATOS PERDIDOS E IMPUTACIÓN
Antes de detallar la aproximación metodológica que adoptaremos para determinar la integración espacial del mercado de la guayaba pera en el Valle del Cauca, es importante discutir una peculiaridad de la información disponible para los precios de este producto.
Los boletines semanales digitales del Sistema de Información de Precios del Sector Agropecuario (SIPSA) del Departamento Administrativo Nacional de Estadística (DANE) (DANE, 2015) recopilan información de precios del comercio mayorista de una canasta conformada por un conjunto de productos agrícolas y procesados. Entre la canasta se encuentran cinco tipos de guayabas: agria, común, dulce, manzana y pera. Nosotros nos concentraremos en la guayaba pera, por ser el tipo de guayaba que se transa en una mayor cantidad de mercados en Colombia3. Como se mencionó en la introducción, nuestro análisis se centrará en los cuatro municipios del Valle del Cauca para los cuales existe información: Cali, Palmira, Tuluá y Cartago. Las series de los precios semanales de la guayaba pera para estos municipios se encuentran disponibles desde el 12 de mayo de 2012 hasta el 19 de septiembre de 2015.
No obstante, una salvedad es necesaria con respecto a dichas series de precios y es la existencia de valores perdidos en algunas semanas. Para el caso de la ciudad de Cali, existen dos valores perdidos en las semanas del 2 y 9 de mayo de 2015. Para la ciudad de Palmira, existen cinco valores perdidos en las semanas del 12 y 26 de mayo de 2012, y para el 16, 23 y 30 de mayo de 2015. Para la ciudad de Tuluá, existen seis valores perdidos en las semanas del 12, 19 y 26 de mayo de 2012 y entre el 16, 23 y 30 de mayo de 2015. Finalmente, para la ciudad de Cartago, existen seis valores perdidos en las semanas del 12, 19 y 26 de mayo de 2012, en la semana del 28 de junio de 2014, y entre el 2 y 9 de mayo de 2015.
Junger y De Leon (2015) enuncian que la exclusión de las observaciones incompletas bajo un mecanismo generador de los datos aleatorios, podría afectar la aleatoriedad misma de la muestra original y, por tanto, es probable que se produzca sesgo de selección. En datos de series de tiempo, este problema puede agravarse debido a que la exclusión de observaciones incompletas puede contaminar estructuras temporales como la autocorrelación, las tendencias y estacionalidades.
Si los datos perdidos se encuentran en diferentes partes de la muestra, los datos antes del último dato perdido no es una opción viable, pues el tamaño de la muestra se afectaría. Así, será necesario “rellenar” los datos perdidos en cada una de las series, para que nuestro ejercicio sea viable.
Con el fin de “rellenar” los valores perdidos en cada una de las series, emplearemos el algoritmo EM (expectation-maximization) -véanse Alonso (2002) o Shumway y Stoffer (1982), para una discusión amplia de esta aproximación-. Este método implica imputarle al valor perdido al correspondiente valor esperado μ, que pueden ser estimados por un modelo ARIMA, spline cúbico natural, u otro similar; y que al mismo tiempo puede tener en cuenta la estructura de variación conjunta entre las series consideradas representadas por la matriz Σ. Bajo el supuesto de comportamiento normal multivariado, se emplea el método de máxima verosimilitud para estimar el modelo e iterar el proceso hasta lograr convergencia. En especial, el algoritmo EM comprende las siguientes etapas: 1) reemplazar los valores perdidos por los estimados, 2) estimar los parámetros y, 3) estimar el nivel de cada una de las series de tiempo univariada y 4) reestimar los valores perdidos utilizando estimaciones actualizadas de los parámetros y el nivel de la serie histórica. Estos pasos se iteran hasta que se alcanza algún criterio de convergencia. Este proceso se realizó empleando dos tipos de modelos: ARIMA y spline cúbico natural. En ambos casos, los algoritmos convergen y producen imputaciones razonables. Se seleccionan las imputaciones a partir del modelo spline cúbico natural por tener un mejor ajuste en términos del error medio cuadrado (MSE por su sigla en inglés) dentro de la muestra4. Los resultados de este proceso de imputación se presentan en las gráficas 1-4 del Anexo 1 (precios de la guayaba pera por 500 gramos), donde dichos valores imputados están representados por triángulos.
Una vez tenidas las series de tiempo sin ningún valor perdido, se cuenta con una muestra de series semanales de precios de mayorista entre el 12 de mayo de 2012 y el 19 de septiembre de 2015 (174 observaciones para cada ciudad).
APROXIMACIÓN METODOLÓGICA PARA LA DETERMINACIÓN DE LA INTEGRACIÓN ESPACIAL
Los estimadores de máxima verosimilitud propuestos por Johansen (1988), permiten examinar la presencia de mercados espacialmente integrados. Consideremos un modelo de vectores autorregresivos (VAR) de la forma:
donde x it es la serie de tiempo de los precios para la ciudad i en la semana t, con i = 1,2,3,4 y t = 1,2,…,154.χ t es el vector n × 1 de los precios de la guayaba para las cuatro ciudades bajo estudio en la semana t. Es decir, x t = (x 1t ,..., x nt )′ . A i representa una matriz n × n de coeficientes. El número de rezagos del modelo VAR está denotado por p. Y ε t es un vector n × 1 de términos de error independientes e idénticamente distribuidos con media cero y varianza constante.
La ecuación (1) puede ser transformada en una expresión más fácil de usar sumando y restando al lado derecho de la igualdad A p x t −p+1 con el fin de obtener:
Y si se continúa la misma dinámica, se obtiene el siguiente modelo de cointegración de errores:
En la ecuación, el rango de la matriz π es de vital importancia al representar el número de vectores de cointegración del sistema5. Si Rango(π) = 0, no existirá cointegración y, por tanto, no existirá suficiente evidencia para determinar la integración espacial entre los mercados6. Por otro lado, si 1 < Rango(π) < n , esto implicará que existe integración espacial.
Johansen (1988) demuestra que el número de vectores de cointegración se puede estimar verificando la significancia de las raíces características de , dado que el rango de una matriz es igual al número de raíces características diferentes de cero. El número de raíces características se obtiene mediante el uso de las siguientes dos pruebas estadísticas:
siendo λ ˆ i los valores estimados de las raíces características obtenidas de la estimación de la matriz π. Y n representa el número de variables en el sistema, en este caso 4. Finalmente, r = 1, 2,..., n −1.
En este orden de ideas, para determinar si los mercados de la guayaba pera en el Valle del Cauca se encuentran integrados espacialmente, se determinará inicialmente el orden de integración de las series y luego se determinará si las series que tiene el mismo orden de integración se encuentran cointegradas.
Para establecer el orden de integración de las series se emplearán las pruebas de Dickey y Fuller (1981) (ADF), Phillips y Perron (1988) (PP) y la prueba no paramétrica de Breitung (2002), cuya hipótesis nula corresponde a un proceso con al menos una raíz unitaria frente a la hipótesis alterna de la presencia de estacionariedad. Además, se lleva a cabo la prueba de raíces unitarias de Kwiatkowski, Phillips, Schmidt y Shin (1992) (KPSS), cuya hipótesis nula corresponde a un proceso estacionario (alrededor de una tendencia) frente a la hipótesis alterna de la presencia de una raíz unitaria.
Finalmente, en caso de encontrar cointegración entre las series de precios de la guayaba, se procederá a determinar si existe un mercado líder empleando la prueba de causalidad de Granger.
RESULTADOS
El primer paso para examinar la posible integración espacial del mercado de la guayaba pera en el Valle del Cauca, es asegurarse de que las series de sus precios tengan el mismo orden de integración.
Tal y como se mencionó anteriormente, para determinar la estacionariedad de las cuatro series, se empleará cuatro pruebas de raíces unitarias. Los resultados de estas pruebas tanto para los niveles de las series -empleando una tendencia y una deriva- como para sus primeras diferencias -sin tendencia y con deriva-, se reportan en la Tabla 1. El número de rezagos óptimo para la prueba ADF se determinó mediante dos criterios de información: BIC y AIC.
Tabla 1 Pruebas de raíces unitarias para la serie de precios de la guayaba pera en los municipios estudiados del Valle del Cauca.

ADF, PP y Breitung: corresponden a los estadísticos de las pruebas de estacionariedad de Dickey-Fuller (1981) aumentada, Phillips-Perron (1988) y Breitung (2002). KPSS: corresponde al estadístico de la prueba de raíces unitarias de Kwiatkowski et al. (1992).
En los tres criterios de información de la prueba ADF, en la prueba KPSS y la prueba de Breitung, para el caso de todas las series de precios estudiados, se incluyó intercepto pero no tendencia.
(*): rechaza la hipótesis nula de un proceso con raíz unitaria a un nivel de significancia del 10%.
(**): rechaza la hipótesis nula de un proceso con raíz unitaria a un nivel de significancia del 5%.
(***): rechaza la hipótesis nula de un proceso con raíz unitaria a un nivel de significancia del 1%.
(+): rechaza la hipótesis nula de un proceso estacionario alrededor de una tendencia a un nivel de significancia del 10%.
(++): rechaza la hipótesis nula de un proceso estacionario alrededor de una tendencia a un nivel de significancia del 5%.
(+++): rechaza la hipótesis nula de un proceso estacionario alrededor de una tendencia a un nivel de significancia del 1%.
Fuente: elaboración propia.
De acuerdo con los resultados, existe evidencia para afirmar que todas las series son integradas de orden uno I (1). Esto implica que, ante choques inesperados, las series no regresan a su media o tendencia inicial. En otras palabras, el choque cambia de forma permanente la trayectoria de la serie.
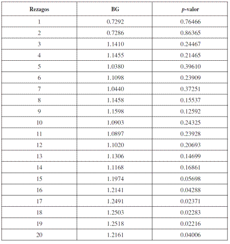
Dado que todas las series consideradas aparentemente son I (1), el segundo paso para determinar la integración espacial del mercado de la guayaba pera en el Valle del Cauca es determinar si las series se encuentran cointegradas o no. Para determinar la relación de largo plazo y descartar relaciones espurias entre los precios registrados de esta fruta, se emplea la prueba de cointegración de Johansen (1988). Para escoger el orden del VAR, se emplean los criterios de información multivariados AIC y SBC. Ambos criterios sugirieron emplear doce rezagos. Además, se realizó la prueba de autocorrelación de Breusch-Godfrey, sugiriendo que no se encuentra evidencia de autocorrelación en los residuos del VAR con doce rezagos. Esta prueba se presenta en el Anexo 1. Para determinar la especificación adecuada del modelo, se emplea una prueba de razón de máxima verosimilitud sugerida por Enders (2015) 7. Esta prueba permite comparar entre las especificación con i) intercepto y tendencia sin restricción, ii) intercepto restringido y sin tendencia y iii) intercepto y tendencia con restricción. Los resultados de esta prueba permiten determinar que el mejor modelo corresponde al de intercepto restringido y sin tendencia8. Los resultados de la prueba de cointegración de Johansen (1988) para un vector de cointegración con intercepto, se reportan en la Tabla 2. De acuerdo con los resultados encontrados, existe cointegración. Es más, se encuentran tres vectores de cointegración9.
Tabla 2 Prueba de cointegración de Johansen para el mercado de la guayaba pera en el Valle del Cauca.

(***): rechaza la hipótesis nula con un nivel de significancia del 1%.
(**): rechaza la hipótesis nula con un nivel de significancia del 5%.
(*): rechaza la hipótesis nula con un nivel de significancia del 10%.
Fuente: elaboración propia.
Los resultados dejan ver si se están presentando actividades de arbitraje que permita la existencia de una relación de largo plazo entre los precios de los mercados. Es decir, los desequilibrios de precios de una ciudad están siendo corregidos por incrementos o disminuciones de la oferta generada por movimientos de esta, desde o hacia otras ciudades.
Una vez determinada la integración espacial entre los mercados de guayaba pera del Valle del Cauca, procedemos a determinar si existe un mercado líder. Las pruebas de causalidad permiten verificar si las variaciones de precios de algún mercado causan a las demás. En otras palabras, la causalidad a lo Granger permite identificar la dirección de formación de los precios entre dos mercados y los movimientos físicos del bien que ajustan los precios entre ambas regiones. La Tabla 3 presenta los resultados de esta prueba bajo la hipótesis nula que una de las variables no causa a las otras (a lo Granger y causalidad instantánea).
Tabla 3 Estadísticos de la prueba de causalidad a lo Granger e instantánea.

(***): rechaza la hipótesis nula que la variable en cuestión no causa a las otras con un nivel de significancia del 1%.
(**): rechaza la hipótesis nula que la variable en cuestión no causa a las otras con un nivel de significancia del 5%.
(*): rechaza la hipótesis nula que la variable en cuestión no causa a las otras con un nivel de significancia del 10%.
Fuente: elaboración propia.
En el mercado de la guayaba pera del Valle del Cauca, encontramos tres resultados interesantes: primero, con 99% de confianza los precios de mercado de Cali causan los otros tres mercados. Esto implica que un cambio en el precio de la guayaba pera en Cali (con un nivel de confianza del 99%) antecede un cambio en el precio en el mercado de esta fruta en Tuluá, Cartago y Palmira. Los mercados de Cartago y Palmira actúan como mercados seguidores.
Segundo, no es posible rechazar la nula que los precios no son simultáneamente causados para los cuatro mercados. Es decir, no hay causalidad instantánea. Este resultado implica que las innovaciones de los cuatro mercados no están correlacionadas entre sí. Esto refuerza la idea de la existencia de una causalidad a lo Granger del mercado de Cali a los otros mercados. Y que los cambios en los precios de la ciudad de Cali pueden ser empleados para predecir el comportamiento futuro de los otros tres mercados.
Y el tercer resultado, implica que si se flexibiliza un poco el nivel de confianza de los resultados al 95%, el mercado de Tuluá también causa los otros tres mercados.
COMENTARIOS FINALES
Usando los datos de frecuencia semanal de los precios mayoristas de la guayaba pera en el período 2012-2015, este estudio explora la integración espacial del mercado de esta fruta tropical en el departamento del Valle del Cauca, con el fin de ahondar en el entendimiento de su funcionamiento, y brindar herramientas de política pública.
Por medio de pruebas de cointegración, se encontró que el mercado analizado en las regiones estudiadas está integrado espacialmente. Así, se está presentando el nivel de arbitraje necesario para que la ley del único precio funcione en este mercado y departamento. Es decir, no se presentan barreras para la circulación de este bien y, por tanto, cualquier desequilibrio de corto plazo se desvanece en el largo plazo.
Por otro lado, las pruebas de causalidad de Granger permiten determinar la existencia de un mercado líder con un nivel de confianza del 99%: Cali. Y si se emplea un nivel de confianza del 95%, Tuluá también se puede considerar como un mercado líder. Este resultado implica que los actores del mercado de la guayaba pera y, en especial, los productores pueden determinar la dinámica futura de los precios monitoreando el mercado de Cali. Esto les brinda información importante para determinar qué mercados tendrán un precio más alto en las siguientes semanas y desarrollar la labor de intermediación directamente.
Estos resultados permiten generar otras preguntas interesantes para los mismos actores del mercado. Por ejemplo, futuras investigaciones deberán responder a la pregunta: ¿cuánto tiempo tarda y de qué magnitud es la transmisión de los precios del mercado líder a los otros mercados? ¿Existe un comportamiento asimétrico en el ajuste de los precios a la relación de largo plazo? Esta última pregunta implicará explorar los comportamientos no lineales con modelos como los TAR, SETAR o los modelos de corrección de errores con umbrales. Esta aproximación podría detectar posibles bandas en las cuales el mecanismo de arbitraje no funcione, porque el diferencial de precios no alcanza a cubrir los costos de transacción.


























