INTRODUCCIÓN
México es un país desigual en varias dimensiones. En nivel hogares, junto con Chile, presenta el coeficiente de Gini más alto entre el grupo de los países de la Organización para la Cooperación y el Desarrollo Económico (OCDE), 0,46, mientras que el promedio es de 0,32. Regionalmente, se mantienen brechas entre los estados más pobres con respecto al estado líder, de 5 o 6 veces, mientras la convergencia del PIB per cápita ha disminuido o bien se ha convertido en franca divergencia en los últimos veinte años (Ayala, Chapa y Murgía, 2011; Ayala, Chapa, Treviño, Genna y Pérez, 2015; Messmacher, 2000; entre otros). Con respecto al género, López-Claros y Zahidi (2005) ubican a México en el lugar 52 entre 57 países en materia de equidad de género, mientras que Arceo-Gómez y Campos-Vázquez (2014) estiman que la brecha salarial entre hombres y mujeres es de aproximadamente el 26 % aun corrigiendo por el sesgo de autoselección de las mujeres.
En este contexto, surge la inquietud por determinar si la expansión de los componentes de la demanda agregada ayuda a reducir la desigualdad regional y la inequidad de género, o si, por el contrario, las agravan, y cuáles son los impactos diferenciales de dicha expansión.
Así, el presente artículo contribuye a esta línea de investigación en dos formas. Desde el enfoque teórico, se propone una técnica de descomposición regional y de género en el contexto del modelo insumo-producto. La metodología descompone los efectos de la expansión de la demanda agregada en una región en tres componentes: el efecto nacional que mide el crecimiento que tendrían los ingresos laborales de hombres y mujeres en cada región si tuviera la misma estructura que el promedio nacional; el efecto regional que se refiere a la diferencia en el crecimiento que se da porque las regiones tienen distintas ventajas comparativas, apertura y tamaños. Y el efecto tecnológico que es la diferencia originada por la heterogeneidad en los requerimientos laborales de género para cada región.
La segunda contribución es empírica. Aunque ya se han estimado matrices insumo-producto para distintas regiones y estados en México (por ejemplo, Ayala et al., 2015; Callicó, González y Sánchez, 2000; Chapa, Ayala y Hernández, 2009; Dávila, 2015; entre otros), hasta la fecha no se han regionalizado matrices insumo-producto distinguiendo los ingresos laborales por género. Más aún, debido a las amplias diferencias entre sectores económicos, regiones y género en cuanto a la importancia del trabajo por cuenta propia y trabajo no remunerado, las matrices insumo-producto regionales utilizadas en esta investigación consideran cálculos del ingreso de estos tipos de trabajo por sector económico y género, basados en estimaciones de los salarios sombra utilizando un método basado en ecuaciones mincerianas en línea con la metodología propuesta en Ayala y Chapa (2014). Esta corrección es importante porque en México las mujeres proporcionalmente más que los hombres se autoemplean o trabajan sin recibir remuneración alguna. Para obtener una idea, alrededor de veinte millones de mujeres participan en el mercado laboral mexicano, las cuales principalmente trabajan en el sector servicios, el 47 % son autoempleadas y el 8 % tienen trabajos no remunerados. En contraste, el 28 % de los hombres son autoempleados y solo el 4 % no reciben remuneración.
METODOLOGÍA
Descomponiendo los ingresos laborales
En los últimos años, los ejercicios de descomposición estructural han sido ampliamente utilizados para analizar la evolución de las emisiones de gases efecto invernadero o bien de indicadores vinculados al consumo de energía, en un contexto nacional, internacional y binacional. Entre las investigaciones que abordan el ámbito nacional, se encuentran los trabajos de Chang, Lewis y Lin (2008) para Taiwán; Su y Ang (2015) para China; Jacobsen (2000) para Dinamarca; y Supasa, Hsiau, Lin, Wongsapai y Wu (2016) para Tailandia. Internacionalmente, existen trabajos que utilizan la matriz insumo-producto mundial, tales como el de Zhao, Wang, Zhang, Liu y Ahmad (2016) que analizan las emisiones de dióxido de carbono (CO2) para China; y el de Román, Cansino y Rueda-Cantuche (2016) que estudian los gases precursores de ozono para España. Además, se puede consultar a Kagawa y Inamura (2004), quienes aplicaron una descomposición espacial de la demanda de energía de China y Japón utilizando una matriz insumo-producto que retrata las relaciones entre los dos países.
Asimismo, los ejercicios de descomposición han sido aplicados para identificar en qué medida los patrones comerciales, el cambio de preferencias y los cambios tecnológicos explican el crecimiento del ingreso de seis economías de la Unión Europea (Oosterhaven y Hoen, 1998); además, la técnica ha sido empleada para estudiar los efectos del comercio internacional sobre la generación de empleo, como Chapa (2003) para México; Koller y Stehrer (2010) para Austria; Gu y Rennison (2005) para Canadá; y Gunluk-Senesen y Senesen (2011) para Turquía.
Para el caso de México, si bien no se trata de aplicaciones de descomposición estructural, existen trabajos que cuantifican el empleo, valor agregado, producto o ingreso vinculados a un componente de la demanda final. Motivados por la apertura comercial en México, tanto Aroche y Ruprah (1991) como Ruiz-Nápoles (2001, 2004) utilizaron el enfoque insumo-producto para evaluar el efecto en la producción y el empleo del país, tras lo cual concluyeron que la conexión es más bien débil. Aroche y Márquez (2012) proponen que la relación del empleo con las exportaciones se debilitó en la medida en que la integración vertical retrocedió con la apertura. Fujii y Cervantes (2013) calculan el valor agregado asociado a las exportaciones mexicanas maquiladoras y no maquiladoras usando la matriz insumo-producto nacional de 2003; y Fujii, Cervantes y Fabián (2016) cuantifican el empleo vinculado a las exportaciones mexicanas para 2008 y 2012. En nivel regional, Ayala et al. (2015) analizan los efectos del cambio estructural observado en las exportaciones y la inversión extranjera directa, presumiblemente como consecuencia del Tratado de Libre Comercio de América del Norte (TLCAN), en el noreste de México,1 mediante la aplicación de tres modelos multisectoriales: insumo-producto, contabilidad social y equilibrio general con precios fijos, y uno de sus principales resultados es que las exportaciones del noreste del país hacia Texas son las que han generado mayor producto, empleo e ingreso en esta región.
Aunque se tiene documentada una vasta cantidad de aplicaciones de la técnica de descomposición estructural insumo-producto, la mayoría de estos trabajos son aplicados a nivel nacional o internacional; solo el realizado para Turquía tiene enfoque de género.
En este estudio, se propone una descomposición en el contexto del modelo de insumo-producto regional, de forma que se pueda determinar el posible impacto de la expansión de cualquier determinante de la demanda agregada final sobre los ingresos laborales regionales desde una perspectiva de género, y descomponer el crecimiento en los ingresos en tres efectos: los que hubieran crecido si todas las regiones fueran iguales, las diferencias porque unas regiones están mejor posicionadas para absorber la expansión de la demanda final nacional y el efecto que surge por las diferencias tecnológicas entre regiones.
En el marco insumo-producto, el vector de equilibrio de la región j es igual a:
Donde X j es el vector de producción de la región j (nx1, donde n es el número de sectores), A. es la matriz de coeficientes técnicos de la región j (nxn) y f es el vector de demanda final de la región j (nx1). Para fines de exposición, la matriz inversa de Leontief de la región j será representada por L j .. De tal forma, para el género g (g = mujeres, hombres), la expansión en los ingresos laborales, dado el nivel y la estructura de la demanda final, es entonces:
R jg contiene las remuneraciones laborales totales de cada sector para el género g y para la región j. El vector r jg es de orden nx1 y contiene las remuneraciones por unidad de producto de los n sectores según género g y región j, y el supraíndice t representa la transpuesta.
Usando la ecuación (2) en primeras diferencias (asumiendo que la tecnología no cambia) y utilizando la contrapartida de (2) para el promedio nacional, que de aquí en adelante se denomina la región media del país, se llega a la ecuación (3):
La ecuación (3) puede reexpresarse como (4):
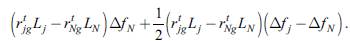
La ecuación (4) establece que la diferencia en los incrementos en las remuneraciones totales por género y región con respecto al promedio nacional se puede descomponer en tres componentes. El primero de ellos es el efecto regional, ya que, como se demuestra más adelante, está en función de las ventajas o desventajas de la región con respecto a la región media del país en el componente de la demanda final que se expande. El segundo componente refleja las diferencias de los requerimientos laborales por género y los coeficientes técnicos de la región y mantiene fija la expansión de la demanda final en la región media del país, por lo que se denomina efecto tecnológico. El tercer elemento es la interacción entre estos dos efectos.
Dado que la interacción combina ambos efectos, es usual incluir la mitad de ella en cada uno de los dos efectos descritos. Así, se puede utilizar el sistema de ecuaciones descritos por las expresiones (5) y (6) para simular los efectos en los ingresos laborales de mujeres y hombres, entre la región j y la región promedio del país, ante cambios en los componentes de la demanda agregada:
Es decir, el incremento en los ingresos laborales por género en cada región puede descomponerse en tres grandes efectos, es decir, en la expansión de los ingresos medios nacionales, o efecto nacional, en el efecto regional o ER que es igual a:
y el efecto tecnológico o ET que es igual a:
Antes de continuar, conviene señalar porqué la expresión
refleja ventajas de la región en comparación con la región media del país. Este efecto difiere entre regiones solo en la medida en que existan diferencias en los incrementos de la demanda final con respecto a la media nacional, ya que los parámetros tecnológicos son los de la media nacional por género. Ahora bien, pensando, por ejemplo, si el cambio se dio solo en las exportaciones, entonces el elemento característico en el sector i sería igual a
. Por otra parte, partiendo de la definición del índice ventaja comparativa de Balassa (1965) de la región j en el sector i (b
¡j
):
Este índice básicamente mide la participación de las exportaciones del sector i en las exportaciones totales (expresado por T) tanto para la región j como para la nación, de forma que, si el índice es mayor de 1, se dice que la región j revela una ventaja comparativa en el sector i en comparación con todo el país; si es menor de 1 indica una desventaja comparativa. Despejando para las exportaciones del sector i en la región j de (7) se obtiene:
Donde α mide el grado de apertura de la región o la nación, dependiendo del subíndice, y su división mide la apertura relativa, τ mide el tamaño de la región en términos de la producción agregada y θ la participación de las exportaciones nacionales del sector i en las exportaciones totales.
Así, cuando varía la demanda total de exportaciones, si todas las proporciones se mantienen fijas, que es un supuesto usual de los modelos lineales insumo-producto, se tiene que el vector de las diferencias en los incrementos de las exportaciones de la región con respecto a la media nacional es igual a:
Es decir, el efecto regional es mayor en la medida en que la región cuente con ventaja comparativa en el sector i, y tenga un grado de apertura mayor al nacional o sea más grande. Los tres parámetros interactúan para darle un impulso adicional al crecimiento de los ingresos laborales de la región en comparación con la media nacional en la ecuación (6) o para inhibir el crecimiento inducido por la expansión de las exportaciones.
Por ejemplo, considerando que las exportaciones crecen en 2 billones de pesos a precios de 2008 (que es un 10 % de su valor en 2008) y el sector i a nivel nacional representa el 10 %, entonces la demanda nacional crecerá 200 mil millones de pesos (mmp); si la región j tiene un índice de ventaja comparativa de 1,2, un grado de apertura 50 % más grande que el nacional y representa el 0,3 del tamaño del país, entonces agregará al efecto nacional otros 58 mmp; pero, en cambio, si tiene una desventaja comparativa de 0,8, tiene una apertura de la mitad de la nacional y su tamaño es de solo 0,15, contraerá el empuje nacional en 38 mmp. Claramente la ecuación (9) refleja la potencia o debilidad de la región en los diferentes sectores que se están expandiendo. El mismo razonamiento se puede hacer para otros componentes de la demanda final como el consumo privado o de Gobierno y la inversión, pero se considera que es más fácil visualizarlo en el caso de las exportaciones.
Regionalizando las matrices insumo-producto y ajustando los ingresos laborales
La descomposición propuesta requiere matrices insumo-producto regionales y desagregar los vectores de requerimientos técnicos de ingresos laborales por género. Para el primer fin, se regionaliza la matriz insumo-producto nacional de 2008 para las regiones centro, centro-occidente, norte y sur-sureste.2 Ante la ausencia de encuestas representativas a nivel regional para construir las matrices insumo-producto en forma directa o con métodos híbridos (e. g., el método RAS), se empleó el método indirecto de regionalización de Flegg y Webber (1997).
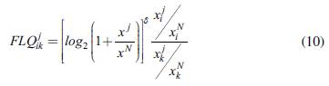
El método asume que las tecnologías de cada sector son invariantes regionalmente, pero los coeficientes técnicos de compras intermedias dentro de la región o coeficientes técnicos intrarregionales dependen de la disponibilidad de oferta local para surtir la demanda de los sectores y del tamaño de la región. Se define un factor de ajuste, que se denomina FLQ para cualquier compra entre dos sectores, que es igual a:
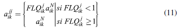
Y los coeficientes técnicos intrarregionales son entonces iguales a:
Es decir, los coeficientes técnicos intrarregionales son iguales al coeficiente nacional si el factor de ajuste FLQ es igual o mayor de 1; pero, si es menor de 1, entonces los coeficientes nacionales se ajustan con el factor FLQ. Por su parte, el factor
FLQ está compuesto de dos elementos: el primero es la razón
que se denomina la cuota cruzada y mide el tamaño relativo a la nación del sector vendedor (el sector i) en comparación con el tamaño relativo del sector comprador (i. e., el sector k). Entonces, mientras mayor sea el sector vendedor o menor sea el sector comprador de la región, mayor será FLQ y menor la necesidad de ajustar el coeficiente nacional debido a la imposibilidad de surtir la demanda industrial del sector k. El segundo es el factor del ajuste debido al tamaño de la región. La función log
2
se ubica en el rango de 0 a 1 y crece con el tamaño, de forma que para economías muy pequeñas tiende a 0 y para economías del tamaño de la nación tiende a 1; la idea es que las economías más pequeñas tienden a importar más del resto de las regiones y por tanto el ajuste hacia abajo en los coeficientes técnicos nacionales debe de ser mayor. El ajuste depende del parámetro ô, que está entre 0 y 1, así, a un tamaño dado de la economía, mientras menor sea ô menor el ajuste por el tamaño, y viceversa.
Ciertamente, el método de Flegg y Webber (1997) no es el único disponible para regionalizar matrices insumo-producto, pero ha mostrado ser más preciso que la mayoría de los métodos indirectos que existen, como lo prueban los estudios para regiones que cuentan con matrices insumo-producto por medio de encuestas, como en el estudio de 20 regiones de Finlandia (Flegg y Tohmo, 2013 y 2016a; Tohmo, 2004), otro para la región de Córdoba en Argentina (Flegg, Mastronardi y Romero, 2016), para provincias de Corea del Sur (Flegg y Tohmo, 2016b) y en un estado de Alemania (Kowalewksi, 2015). También ha mostrado ser superior en ejercicios con simulaciones de Monte Carlo (Bonfiglio y Chelli, 2008). Cabe comentar que la evidencia de estos estudios sugiere que la ô óptima se encuentra en el rango de 0,1 a 0,4 y, por lo general, en la vecindad de 0,3.
Dado lo anterior, se toma como base la matriz insumo-producto nacional de 2008 de transacciones domésticas con un detalle sectorial de treinta actividades productivas de acuerdo con el Sistema de Clasificación Industrial de América del Norte (SCIAN), y para el cálculo de los FLQ, se utiliza el producto interno bruto (PIB) de las regiones consideradas también de ese mismo año. Se emplea una ( = 0,3 toda vez que las diferencias en los coeficientes técnicos de variarla en el rango de 0,1 a 0,4 son pequeñas, del orden del 3 % al 5 %.
Una vez obtenidos los coeficientes técnicos intrarregionales, se estimaron los ingresos laborales por sector económico, tipo de ocupación (asalariado, empleador, cuenta propia y trabajador sin pago), género y región según los microdatos de la encuesta nacional de ocupación y empleo (ENOE), segundo trimestre de 2008, elaborada por el Instituto Nacional de Estadística y Geográfica (Inegi). El ingreso de los asalariados se aproximó según los microdatos de la ENOE 2008,3 mientras que para los otros tres tipos de ocupación se aproximó el ingreso laboral a partir de las ecuaciones mincerianas elaboradas por Aguayo (2018).4
El ajuste a los ingresos laborales antes comentado es necesario en México por varias razones. En primer lugar, por la alta participación de la economía informal en México y su focalización en ciertos sectores económicos. En Ayala y Chapa (2014), se estima que la participación de los ingresos laborales sube del 27 % del valor agregado a entre el 42 % y 47 % una vez que se corrige por la omisión de los ingresos de los autoempleados, los empleadores y de las personas que laboran sin remuneración alguna; y que el ajuste es sumamente importante en la agricultura, la construcción, el comercio y los restaurantes y servicios, sectores con alta informalidad.
En segundo lugar, reconocer este hecho y corregir los ingresos laborales es de suma importancia si se desea analizar los ingresos laborales por región y género, ya que existe una amplia variación en el peso de los no asalariados entre regiones (25 % en el norte versus 45 % en el sur-sureste), y el fenómeno de trabajo por cuenta propia y no remunerado es más importante entre las mujeres que entre los hombres.
Con respecto a los impuestos, se asumió que las tasas de impuestos a la producción y a los productos, netos de subsidios, son invariantes entre regiones. Finalmente, el excedente bruto de operación se determina como un residual, de manera que las matrices insumo-producto regionales cumplen con el dato oficial del valor agregado bruto regional publicado por el Inegi.
En relación con los componentes de la demanda final por sector y región, las exportaciones se obtienen directamente del Inegi y el consumo privado por sector económico y región fue aproximado con base en los microdatos de la encuesta nacional de ingreso y gasto de los hogares 2008 (ENIGH 2008). El resto de los componentes se estiman regionalizando los vectores nacionales con base en algún indicador económico. Por ejemplo, el gasto público se regionaliza con base en la población, mientras que la variación de existencias y la formación bruta de capital fijo se regionalizaron con base en el PIB.5
Hay que hacer una aclaración de la naturaleza del modelo regional considerado en este ejercicio. Recientemente, la construcción de bases de datos multisectores países, tal como la World Input-Output Database (WIOD) ha promovido interesantes aplicaciones en el contexto de modelos multirregionales insumo-producto (MRIO). Por ejemplo, Portella-Carbó (2016), que analiza los efectos sobre el empleo de la integración comercial; Monsalve, Zafrilla y Cadarso (2016) que estiman el impacto en la economía y el medio ambiente de los fondos para el desarrollo rural de Europa; o Simas, Golsteijn, Huijbregts, Wood y Hertwich (2014) que siguen la huella del bad labor, o trabajo en condiciones no morales, a través de la producción y comercio en las principales regiones del mundo. A diferencia de estos modelos, en nuestro caso, aunque incorporamos cuatro regiones de México, la regionalización se realizó en el formato de región única (single region) y no en un verdadero contexto multirregional de cuatro regiones simultáneas. Esto debido a la falta de información sólida de flujos interregionales en México, en contraste con la abundancia de estadísticas de exportaciones-importaciones que existen para el país.
RESULTADOS Y DISCUSIÓN
Estructura laboral de las regiones por género
De las estimaciones se desprende que el consumo privado de los hogares es el componente más importante de la demanda final de las cuatro regiones de México, que va del 37 % en el sur-sureste al 49 % en centro-occidente. El norte es la región que tiene el más alto porcentaje de su demanda final dedicado a la inversión (19 %) y las exportaciones (37 %), mientras que el centro-occidente es el área con mayor participación del gasto de Gobierno en la demanda final (10 %). Además, el centro del país es el principal exportador neto de productos hacia los demás estados de la República Mexicana (25 %). Si bien el valor agregado bruto (VAB) es mayor en el centro de México (34 % del total), la región norte es la más productiva, toda vez que su VAB por habitante es el 21 % superior al promedio nacional.
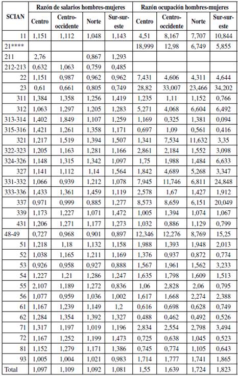
La Tabla 1 presenta la relación del salario por hora de los hombres con respecto al de las mujeres, así como la ocupación relativa de los hombres a las mujeres. Como mencionamos en la discusión de la metodología, el salario ya está ajustado por el sesgo de autoselección, de forma que en promedio los hombres ganan solo 9 % más que las mujeres. La brecha salarial es más importante en manufacturas en que varía entre el 18 % y 28 % entre las regiones, y menor en servicios en que es del 18 %. Sorprendentemente, las mujeres reciben un salario por hora más alto que los hombres en minería, construcción, electricidad, transporte y en servicios inmobiliarios.
Tabla 1 Salario y ocupación relativa por género, región y sector

Fuente: elaboración propia con base en información del Inegi.
La desigualdad de género se muestra en el perfil de ocupación más que en los salarios; dependiendo de la región, en promedio por cada mujer empleada, se ocupan entre el 66 % y 82 % más hombres. Si bien las mujeres reciben un salario por hora mayor del que reciben los hombres en sectores como construcción, minería, electricidad y transporte, en estos sectores la brecha de ocupación a favor de los hombres es altísima; por ejemplo, por cada mujer empleada en la construcción se ocupan entre 23 a 34 hombres, de modo que la relación es de 6 a 19 en minería, de 5 a 7 en electricidad y de 9 a 15 en transporte. Los únicos sectores en los que las mujeres dominan el perfil de ocupación son los servicios financieros, de educación y salud.
Multiplicadores de los ingresos laborales
Con el fin de analizar los sectores que impactan más los ingresos de las mujeres en comparación con el de los hombres, se estimaron los multiplicadores de ingreso por género, los cuales se interpretan como el incremento en el ingreso laboral que ocurre cuando la demanda final de un sector (uno a la vez) se incrementa en un peso. Los multiplicadores por género y región se presentan en la Figura 1.

Fuente: elaboración propia con base en información del Inegi.
Figura 1 Multiplicadores de los ingresos laborales de las mujeres por región y sector
La distribución de los multiplicadores de los ingresos de las mujeres es bastante asimétrica. En promedio, son de 0,085, pero la mediana es solo de 0,054. El menor multiplicador es el de la minería (0,011), mientras que el mayor es el de servicios educativos, con 0,4. Otros sectores en los que los multiplicadores del ingreso de las mujeres son relativamente altos son servicios de salud, actividades gubernamentales, servicios de apoyo a empresas, hospedaje y otros servicios. Por regiones, los multiplicadores son mayores en la región sur-sureste (0,11 en promedio), pero los multiplicadores más grandes de los sectores que más dinamizan los ingresos de las mujeres se dan en la región norte.
Comparando los multiplicadores de ingreso medianos, estos son tres veces mayores para los hombres (0,15 versus 0,054). Utilizando la Cuenta Satélite de Turismo del Sistema de Cuentas Nacionales, podemos inferir que el multiplicador del bien compuesto turismo es aproximadamente la mediana de los multiplicadores de ingreso de los hombres, lo que sugiere una desventaja menor para las mujeres en estos servicios en comparación con el resto de los sectores.
Expansión de la demanda agregada y los efectos sobre los ingresos laborales y la equidad de género
El modelo insumo-producto permite hacer simulaciones lineales muy sencillas para explorar el efecto de las principales inyecciones exógenas de la demanda final sobre las variables endógenas. En nuestro caso, los ingresos laborales por género y para cada región.
Conviene apuntar que se asume que los parámetros del modelo no varían entre la situación base y la nueva situación con el cambio en la demanda final. En especial, se supone una economía con capacidad ociosa y, por ello, un aumento en la demanda final puede ser abastecido, manteniendo los precios y los salarios fijos. Esto significa que las expansiones en los ingresos laborales que puedan darse deben venir por el lado del empleo, lo que nos indica que la brecha de los ingresos laborales por género se reduce solo si el empleo de las mujeres crece más rápido que el de los hombres, y viceversa.
En esta sección se aplican las ecuaciones (5) y (6) para seis casos: un crecimiento del 10 % sobre el valor base de 2008 en las exportaciones, en la inversión, en el consumo de Gobierno, el consumo privado total y el consumo privado de los hogares con jefe de familia mujer y aquellos en que el jefe de familia es hombre. Cada escenario considera la expansión de un componente de la demanda final a la vez. Se estimarán los efectos nacionales, regionales y tecnológicos por género y para cada región para cada caso.
La Tabla 2 presenta el impacto en el crecimiento de los ingresos laborales en las tres simulaciones, así como la descomposición en los tres efectos descritos en la ecuación (6).
Tabla 2 Tasa de crecimiento de los ingresos laborales ante un incremento del 10 % en los componentes de la demanda final (porcentajes)

Fuente: elaboración propia con base en información del Inegi.
Los ingresos laborales son más sensibles a la expansión del consumo privado y el de Gobierno, en promedio sus efectos son cuatro y tres veces mayores de la expansión de las exportaciones o de la inversión. El consumo del Gobierno es el que impacta preferentemente más el ingreso de las mujeres en comparación con el ingreso de los hombres, en cambio la expansión de la inversión favorece más el ingreso de los hombres.
La expansión del consumo privado de los hogares dirigidos por mujeres es más pequeña que la de los hogares dirigidos por hombres, ya que los primeros representan solo el 25 % de los hogares. Se nota que la expansión del consumo de los hogares encabezados por hombres tiende a favorecer más el ingreso de las mujeres que al de los hombres por casi medio punto porcentual. Y debido a su alta participación en la demanda final, la expansión del consumo privado total produce incrementos significativos en los ingresos laborales tanto de las mujeres como de los hombres, y casi medio punto porcentual más en el sexo femenino.
Con respecto a las exportaciones, el reducido incremento en los ingresos laborales, con excepción de la región norte, evidencia el bajo contenido de valor agregado y de insumos nacionales en ellas. El incremento en los ingresos laborales es marcadamente más alto en el norte que en el resto de las regiones, debido al efecto regional, ya que aun cuando su tamaño es casi igual a la región media nacional, esa región tiene un grado de apertura de casi el doble de la región media y tiene ventaja comparativa en el sector que concentra la expansión de las exportaciones; nos referimos al sector de fabricación de maquinaria y equipo (SCIAN 333-336),6 que absorbe la mitad del crecimiento. La región norte tiene un índice de Balassa en este sector de 1,4, el mayor entre las cuatro regiones en México.
El contraste es el caso del sur-sureste, ya que los ingresos laborales de las mujeres y de los hombres crecerían casi el 1,5 % si esta región tuviera los mismos parámetros que la región media nacional. Sin embargo, el efecto regional contrae el crecimiento en casi un punto porcentual debido a la interacción de ser una economía relativamente pequeña (19 %), tener una apertura apenas igual al promedio nacional y a que prácticamente solo tiene ventaja comparativa en el sector de minería, que, si bien es un sector que acumula el 15 % de la expansión en las exportaciones, es insuficiente para evitar contraer el crecimiento inducido por el efecto nacional.
En la mayoría de las simulaciones, el efecto tecnológico no contribuye de manera importante, ni como catalizador ni como inhibidor del crecimiento inducido por la expansión nacional de los componentes de la demanda agregada. Esto se debe, en parte, a que las estimaciones regionales de la matriz de coeficientes técnicos intrarregionales de Flegg y Webber (1997) asumen implícitamente que la tecnología es igual a la nacional y que las diferencias solo se deben a la disponibilidad local de los insumos.
Comparando entre las mujeres y los hombres, los ingresos laborales crecen más para los hombres con la expansión de las exportaciones y de la inversión, mas no así en el caso del crecimiento del consumo de Gobierno y el privado. En este caso, la tasa de crecimiento de los ingresos laborales de las mujeres es casi punto y medio más alta que para los hombres, y es especialmente alta en la región sur-sureste.
¿A qué se debe que los ingresos laborales femeninos son más sensibles a la expansión del consumo público y privado? La respuesta estriba en que estos componentes de la demanda agregada inducen a la expansión de los sectores de servicios más que de manufacturas. Por ejemplo, casi la totalidad del consumo del Gobierno se da en los tres sectores con mayor equidad de género en términos de los ingresos laborales totales: servicios educativos, servicios de salud y actividades gubernamentales.
Lo mismo sucede con el poder expansivo del consumo privado en el ingreso laboral de las mujeres, aunque aquí la diferencia relativa con los hombres es menor. Seguramente, esto se debe a que dos terceras partes del consumo privado se dedica a la adquisición de servicios, principalmente los inmobiliarios, comercio, hospedaje, financieros y otros; sectores en los que la desventaja es sensiblemente menor para las mujeres.
Las simulaciones del incremento del 10 % tienen la desventaja de que los incrementos nominales por fuente de demanda son distintos dependiendo del tamaño de cada rubro de demanda final. Por tal motivo, conviene indagar qué sucede si el incremento fuera igual, digamos mil millones de pesos, independiente del tamaño inicial del componente de demanda.
La Figura 2 presenta el cambio en los ingresos laborales por género y región inducido por las diferentes fuentes de demanda final. La generación de ingresos es muy dispar, un incremento de mil millones de pesos en el consumo de Gobierno aumenta los ingresos laborales totales en 616 millones; si la expansión ocurre en la inversión o en el consumo privado en 280 y 200 millones, respectivamente, y solo en 100 millones si es en las exportaciones. Por género es todavía más desigual, la expansión del consumo de Gobierno incrementa los ingresos de las mujeres en 266 millones de pesos contra solo 29 millones en el caso de las exportaciones, es decir, casi diez veces más.

Fuente: elaboración propia con base en información del Inegi.
Figura 2 Incremento en los ingresos laborales si cada componente de la demanda agregada aumenta mil millones de pesos de 2008, uno a la vez
La inversión es la fuente de demanda agregada que más expande la brecha de ingresos entre hombres y mujeres, toda vez que la expansión de esta genera ocho veces más ingresos para los hombres que para las mujeres (266 millones versus 31 millones). Mientras que el consumo de Gobierno es la fuente más equitativa, ya que la expansión de este produce ingresos superiores para los hombres en 1,4 veces el incremento en la masa salarial de las mujeres.
Finalmente, se analizan las simulaciones anteriores desde una perspectiva de equidad de género. Es decir, el impacto en algunas medidas de equidad de género como resultado de los incrementos en los ingresos laborales de las simulaciones. La mayoría de los indicadores de equidad de género son multidimensionales, es decir, incluyen los ingresos, pero también el acceso a educación, salud y empoderamiento laboral, entre otras dimensiones. También inevitablemente introducen alguna moción normativa, como estados aspiracionales o parámetros que reflejan la aversión a la desigualdad.
En este caso, solo se puede tomar una variable, los ingresos laborales, por lo que los resultados deben considerarse con reserva y son ciertamente parciales. En específico, se calculan tres medidas de equidad de género, las cuales se comentan a continuación.
La definición del índice de equidad de género (IEG) del Instituto Europeo de la Igualdad de Género (EIGE):
El índice toma como referente normativo las remuneraciones medias, es decir, hombres y mujeres deberían de tener los mismos ingresos y mide la distancia con respecto a este referente. Nótese que se toma valor absoluto, ya que desviarse de la media reduce la equidad, no importa si es porque los hombres ganen más que las mujeres, o viceversa.
Además, se consideran los índices de desigualdad de Atkinson (1970). En general, las familias de estos índices son iguales a:
Donde ε puede tomar cualquier valor positivo, y refleja un parámetro de aversión a la desigualdad, que usualmente toma los valores 1 o 2. El índice va de 0 a 1 donde 0 es no desigualdad y 1 completa desigualdad. Para hacerlo comparativo al del EIGE, el índice se restó a 1, y el resultado se multiplicó por 100, de forma que, mientras más cercano a 100, más equidad existe. Siguiendo la norma, se calculó para los valores de 1 y 2 de ε.
La Tabla 3 presenta la situación base de la equidad de género y los resultados para las simulaciones del incremento del 10 % en cada componente de la demanda final.
Tabla 3 Índices de equidad de género antes y después de los cambios en los componentes de la demanda final

Fuente: elaboración propia con base en información del Inegi.
Lo primero que hay que notar es que los índices varían sustancialmente en orden a magnitud dependiendo del índice de equidad considerado; son mayores para el Atkinson con ε = 1 que para el ε = 2, mientras que el del EIGE se ubica en medio. De esta forma, más que precisar un valor absoluto, lo importante será la comparación de la situación base con la de cada simulación.
Los resultados son consistentes con dos hechos: el crecimiento vía exportaciones o inversión reduce la equidad o la mantiene igual, mientras que el crecimiento por la vía del consumo de Gobierno la mantiene igual o la incrementa marginalmente. Estos resultados son consistentes con los hallazgos de la Tabla 1.
La otra conclusión es que tanto las reducciones como los incrementos en la equidad, tomando cualquiera de los índices, son marginales, nunca mayores de un 1 %. Esto es importante porque refleja que, aun cuando existan inyecciones exógenas en la demanda final del 10 %, en términos reales, los índices de equidad de género varían solo muy marginalmente, mostrando baja sensibilidad.
CONCLUSIONES
En este artículo se construye un conjunto de matrices insumo-producto para las regiones de México, distinguiendo entre los ingresos laborales por género e imputando salarios sombra al trabajo por cuenta propia y no remunerado. Mediante una sencilla técnica de descomposición se muestra cuánto de la expansión de las exportaciones, inversión, consumo de Gobierno y consumo privado total, y desagregado por género del jefe de hogar, se traslada a las distintas regiones y al ingreso laboral de los hombres y mujeres, mediante tres canales distintos: los efectos nacionales, regionales y tecnológicos.
Se concluye que el aumento de los ingresos laborales es más sensible a la expansión del consumo privado y del gasto de Gobierno, y menos a las exportaciones y la inversión. Aunque el consumo privado incrementa proporcionalmente, los ingresos laborales tanto de mujeres como de hombres benefician solo marginalmente más a las mujeres. En cambio, la expansión del consumo de Gobierno beneficia relativamente más a las mujeres y a la región sur-sureste, que es la de menor producto per cápita.
La creación de ingresos laborales que produce el incremento de la inversión, aunque importante, aumenta notoriamente las brechas de ingresos a favor de los hombres. Y las exportaciones tienen un impacto, en general, sumamente reducido sobre los ingresos.
Nuestros resultados son consistentes con algunas investigaciones previas relacionadas con el mercado laboral. Aguayo-Téllez, Airola, Juhn y Villegas-Sánchez (2014) y Juhn, Ujhelyi y Villegas-Sánchez (2014) sostienen que, si bien el libre comercio aumentó las posibilidades de empleo y el salario de las mujeres, esto ocurrió solo en los puestos de operarios, lo que no necesariamente reduce la brecha salarial de género en el agregado. En el mismo sentido, el trabajo de Artecona y Cunningham (2002) revela que los premios salariales para los hombres crecieron con la expansión de las exportaciones, por lo que difícilmente el crecimiento hacia afuera benefició significativamente a las mujeres. En contraste, aunque escasamente estudiado, el efecto del gasto público en educación y salud tiene el potencial de mejorar absoluta y relativamente la posición laboral de las mujeres, tal y como lo sugiere un informe de la Organización Internacional del Trabajo (OIT, 2016).
Otra conclusión importante del presente trabajo es que la equidad de género es insensible a los cambios de la demanda agregada. Tal resultado indica que expandir la demanda final manteniendo los mismos coeficientes de requerimientos laborales por sexo que prevalecían en 2008 no ayuda mucho a lograr la equidad de género. Indudablemente, tendría más impacto sobre la equidad de género que cambiaran diametralmente los requerimientos laborales de las mujeres, que se parecieran más a los de los hombres.
En este sentido, se sospecha que las bajas intensidades de trabajo femenino en comparación con el masculino, más que revelar diferencias tecnológicas importantes, esconden segregación de género vía salarios u oportunidades laborales. De aquí que simplemente expandir la demanda no ayude a la equidad en forma significativa, o si acaso termine empeorándola, como en las exportaciones y la inversión.
Aun así, desde una perspectiva positiva, los resultados muestran ganancias absolutas importantes en los ingresos de las mujeres, sobre todo si aumenta el consumo privado y el de Gobierno. Es decir, la expansión de la demanda agregada genera mejoras absolutas en los ingresos de los hombres y las mujeres, pero no así en la equidad de género, de modo que los ingresos laborales femeninos son más sensibles a la expansión del mercado interno vía el consumo que a la del mercado externo.
Un aspecto interesante que vale la pena explorar en el futuro es analizar los efectos económicos y sobre la equidad de género de un incremento en la cantidad de hogares con jefatura mujer o bien de un aumento en el poder de negociación de las mujeres en las decisiones de gasto de los hogares. Existen estudios que demuestran que las mujeres tienden a gastar proporcionalmente más en servicios educativos y de salud que los hombres, por tanto, si las mujeres tienen mayor poder de decisión en los hogares, gastarían más en estos servicios, los cuales a su vez utilizan intensivamente el trabajo de las mujeres, que podría generar un mayor efecto expansivo sobre su ingreso y una reducción en la inequidad de género.
Estimaciones más precisas pueden abordarse haciendo endógeno el consumo privado y desagregando las familias por deciles de ingreso en matrices de contabilidad social para las regiones de México y con una perspectiva de género, tales como los trabajos que han sido conducidos para Kenia (Wanjala y Were, 2009) y Senegal (Fofana, Parra y Wodon, 2009). De igual forma, una limitación de este estudio es que asume que existe capacidad ociosa y que los precios relativos son fijos; en cambio, en un marco de modelos de equilibrio general computable, podrían examinarse los efectos en la equidad de género y de las regiones vía tanto la expansión en el empleo como en los cambios en las brechas salariales. Aun así, consideramos que la evidencia presentada constituye una buena primera aproximación a los efectos del crecimiento de la demanda agregada en la desigualdad regional y de género en México.




























