Services on Demand
Journal
Article
Indicators
-
Cited by SciELO -
Access statistics
Related links
-
Cited by Google -
Similars in
SciELO -
Similars in Google
Share
Revista de Ingeniería
Print version ISSN 0121-4993
rev.ing. no.21 Bogotá Jan./June 2005
Implementación y análisis de un modelo estocástico de despacho de vehículos de transporte masivo
Implementation and analysis of a stochastic delivery model for mass transit vehicles
Germán Riaño y Juan Camilo Acero
Centro de Optimización y Probabilidad Aplicada (COPA)
Departamento de Ingeniería Industrial
Universidad de los Andes
Recibido el 2 de marzo de 2005, aprobado el 21 de abril de 2005.
PALABRAS CLAVES
Sistemas de transporte urbano, Optimización, Modelaje Estocástico.
RESUMEN
En este artículo se describe la implementación del modelo de optimización propuesto por Riaño [15] para generar un plan de despacho de buses urbanos en una sola ruta de buses. Dicho modelo considera factores estocásticos como los tiempos de viaje y la demanda. Se construyó también un modelo de simulación para comparar el plan de despachos de este modelo con otros modelos de la literatura. Los resultados preliminares son prometedores.
KEY WORDS
Urban Transit Systems, Optimization, Stochastic Modeling.
ABSTRACT
In this paper we describe the implementation of a single-route city-bus timetabling LP model proposed by Riaño [15]. The aforementioned model considers stochastic issues like travel time and demand. A simulation model is also described, which was used to compare results from this model with others proposed in the literature. Preliminar results are promising.
INTRODUCCIÓN
En este trabajo se realiza la implementación y análisis de un modelo de programación lineal para determinar el despacho de vehículos en un sistema de transporte masivo. El modelo considera variables estocásticas como la demanda y el tiempo de viaje. Dicho modelo se inspira en el nuevo sistema de transporte masivo de la ciudad de Bogotá, Colombia, llamado TransMilenio. Sin embargo, puede ser usado para cualquier sistema de transporte urbano masivo con paradas fijas, como metros o tranvías, siempre y cuando la frecuencia de operación sea suficientemente alta para que los pasajeros no necesiten conocer de antemano los horarios y, por lo tanto, lleguen a cada estación de manera independiente al programa de despachos de los vehículos. Supondremos además que tal programa de despachos no es público.
La dificultad del problema de despacho de buses radica en que la demanda para una ruta dada es fluctuante y aleatoria a lo largo del día. Además el terminal desde el cuál se despachan los buses se encuentra en las afueras de la ciudad y por lo tanto hay un desfase entre el punto de envío y los puntos de mayor congestión en la ruta. El programador debe anticipar los picos de demanda teniendo en cuenta que el tiempo de desplazamiento es aleatorio y puede cambiar a lo largo del día por fenómenos de congestión de tráfico.
De acuerdo con Ceder y Wilson [7], en la planeación y operación de los sistemas de transporte urbano existe una jerarquía de problemas interrelacionados entre sí, que operan desde el nivel estratégico hasta el operacional. Dichos problemas son: (1) el diseño de la red de rutas, (2) la determinación de frecuencias y horarios de despacho, (3) la asignación de flota a cada segmento y (4) la asignación de personal y recursos disponibles. El modelo estudiado en este artículo sólo trabaja la determinación de frecuencias y de horarios. Pero se entiende que todos estos objetivos deben trabajarse de manera conjunta para obtener una solución óptima de todo el problema y que este modelo podría entenderse como un módulo de un sistema más complejo. Frecuentemente en la práctica, la salida de cada uno de estos problemas se utiliza como entrada en el siguiente. Para revisar los diferentes modelos matemáticos que se han propuesto, para atacar estos problemas referimos al lector al libro editado por Lam y Bell [13], y a las referencias allí citadas.
El problema de determinación de frecuencias toma como datos de entrada las rutas con las paradas pre-establecidas y el patrón de demanda para la ruta específica, que varía a lo largo del día. El propósito es establecer las frecuencias de envío y los horarios específicos de despacho de los buses para que dicha demanda sea satisfecha con ciertos niveles de servicio. Dichos niveles de servicio pueden ser medidos de múltiples maneras, que incluyen el tiempo de espera de las personas y las frecuencias mínimas de operación. El objetivo principal es minimizar el número de vehículos utilizados.
Métodos matemáticos para determinar las frecuencias y horarios de despacho de buses se discuten en Salzborn [17], Furth y Wilson [10], Koutsopoulos et. al. [11] y Ceder y Stern [6]. El modelo de Salzborn [17] trata el envío de buses como un flujo y utiliza cálculo de variaciones para encontrar el plan de despacho óptimo. Furth y Wilson [10] presenta un problema no lineal que maximiza una función de bienestar social sujeta a restricciones de flota, subsidio y niveles de carga. Koutsopoulos et. al. [11] extiende el modelo anterior y Ceder y Stern [6] usa programación entera junto con heurísticos para construir un programa de despachos cuando la flota es restringida. Ninguno de estos involucra modelaje estocástico tal como lo hace Riaño [15].
A continuación mencionaremos algunas de las características del sistema TransMilenio que son relevantes para el modelo de Riaño. Los buses se movilizan por carriles exclusivos y paran a lo largo de su recorrido en estaciones pre-determinadas de acuerdo con la ruta asignada. Antes de ingresar al sistema los pasajeros deben comprar una tarjeta que los autoriza a movilizarse usando cuantos buses deseen. Estas tarjetas son leídas por equipos electrónicos cuando los pasajeros ingresan al sistema, por lo que se tiene información precisa acerca del proceso de ingreso. Cuando el sistema comenzó a funcionar, se registraba así mismo la hora de salida de cada usuario. Hoy en día no se tiene esta información con la misma precisión, pero con frecuencia se han elaborado encuestas para determinar la matriz de origen-destino. En todo caso, en lo que concierne al modelo de Riaño, existe información más o menos precisa del movimiento de pasajeros a lo largo del día en el sistema. Con cierto esfuerzo esa información se puede convertir en un patrón de demanda para cada ruta específica, que es la información requerida por el modelo. No discutiremos aquí cómo se puede estimar tal información, sino que partiremos del supuesto de que se conoce el patrón de demanda para cada ruta de estudio.
Otra característica importante del sistema TransMilenio es que se trata de un sistema de propiedad mixta. Mientras que la planeación y operación del sistema está a cargo de la empresa municipal TransMilenio S.A., los buses son propiedad de operadores privados. Dichos operadores reciben un pago que depende básicamente de los kilómetros recorridos, aunque también de otros factores. Esto es relevante porque el modelo está formulado desde el punto de vista de la compañía: es decir minimiza el número de buses despachados (y, por lo tanto, el kilometraje recorrido) sujeto a ciertas restricciones en el nivel de servicio.
Dado un diseño de rutas, es relevante buscar el programa de despacho de vehículos que mejor se ajuste a las necesidades de la demanda. Eso es precisamente lo que el modelo de Riaño hace. Como se verá, las demandas computacionales son relativamente sencillas como quiera que se trata de un modelo lineal, y los factores estocásticos son tenidos en cuenta sólo en el cálculo de los parámetros del modelo lineal. Además, la implementación de los resultados es sencilla, pues no requiere cambio alguno de infraestructura ni es necesario comunicar a los usuarios los cambios, pues las frecuencias y horarios exactos nunca se han hecho públicos.
Los datos usados no fueron reales, sin embargo se usaron diferentes escenarios realistas para estudiar la sensibilidad del modelo a parámetros de entrada. Para cada uno de los escenarios se simuló el comportamiento del sistema con los resultados obtenidos por el modelo de Riaño con modelos tradicionales de la literatura propuestos por Ceder [4, 5] y que, entendemos, son los más usados hoy en día en sistemas reales [5]. Nuestros experimentos muestran que el modelo de Riaño supera a los de Ceder en los escenarios estudiados, pues provee mejores niveles de servicio despachando el mismo número de buses.
El resto de este artículo está organizado así: la Sección 1 describe brevemente el modelo de Riaño que implementamos. La Sección 2 presenta el modelo de simulación que se construyó para poner a prueba los modelos de Riaño y Ceder. En la Sección 3 presentamos los resultados de los experimentos numéricos efectuados y, finalmente, en la Sección 4 presentamos las conclusiones y direcciones de investigación futura propuestas.
1 MODELO ESTOCÁSTICO DE DESPACHO DE BUSES
En esta sección se presenta un resumen del modelo desarrollado por Riaño, An optimal city buses dispatching stochastic LP model [15]. Este es el modelo que implementamos y cuyos resultados se compararon con otros establecidos en la literatura.
El objetivo del modelo es minimizar el número de buses despachados en el día para la ruta de análisis y de esta manera minimiza el número total de kilómetros recorridos. La principal restricción consiste en garantizar que la demanda sea satisfecha con ciertos niveles de servicio. Es decir, para cada segmento de ruta se establece una oferta de pasajeros mínima que debe ser satisfecha en cada periodo. Si se quiere, puede pensarse como una demanda inflada con un factor de seguridad, que el modelo mismo determina. Esta oferta debe ser superior a la demanda ya que se debe
tener en cuenta que se comporta como una variable aleatoria. Dicho factor de seguridad se calcula, como veremos adelante, imponiendo la condición de que un alto porcentaje de los usuarios logren tomar el primer bus. Esta es una manera indirecta de garantizar que los usuarios no esperen demasiado en cada estación. Tal como funciona el sistema TransMilenio hoy en día, la mayoría de las esperas no se originan en la baja frecuencia, como ocurre en muchos sistemas de buses, sino en la necesidad de esperar más de un bus. Otros modelos en la literatura calculan explícitamente la demora de los usuarios y minimizan tal variable (ver por ejemplo [17]).
Supondremos que el día es dividido en periodos iguales. A lo largo de cada periodo la frecuencia de despacho de buses se mantiene constante. Para el modelo no es indispensable que los periodos sean idénticos, pero ciertamente este supuesto facilita la presentación y notación. En nuestros experimentos numéricos, descritos en la Sección 3, usamos periodos de una hora. Si se usan periodos más pequeños se puede tener un modelo más preciso en la medida en que la tasa de despacho puede variar más frecuentemente. Pero usar periodos más pequeños aumenta el costo computacional, y sentimos que, en todo caso, la información que se puede obtener sobre la demanda no tendría ese grado de precisión. Por conveniencia, mediremos el tiempo en unidades tales que cada periodo tiene duración de 1. Nos referiremos al intervalo (t -1, t] como el periodo t. Indexaremos con i =0,1,..., N las estaciones (o paradas) de la ruta. Aquí i =0 denota el terminal desde donde se despachan los buses que puede, o no, ser un nodo de demanda (en el sistema TransMilenio los llaman "Portales"). Nos referiremos al segmento de ruta i como aquél entre las estaciones i -1 e i. Llamaremos xit la frecuencia con la cual salen buses de la estación i durante el período t. La verdadera variable de decisión es x0t, es decir, la tasa a la cual son despachados los buses desde el terminal, mientras que para i =1,..., n estas variables son consecuencia de la dinámica del sistema debido a los tiempos de desplazamiento de los buses. Riaño et. al. [16] demuestra que cuando la tasa de envío es constante en cada intervalo la transformación entre los x0t y xit es lineal, incluso si los tiempos son aleatorios, y puede escribirse como

donde Wist es la fracción o porcentaje de buses despachados durante el periodo s que han pasado por la estación i durante el periodo t. Más adelante explicaremos cómo se calculan estos pesos conociendo la distribución del tiempo de desplazamiento de los buses entre estaciones. Supondremos una flota uniforme de capacidad K y llamaremos θit la oferta mínima aceptable en el segmento de ruta i durante el periodo t (es decir, entre estaciones i -1 e i). Tal como explicaremos adelante, el valor de θit se puede obtener a partir del comportamiento estocástico de la demanda. La restricción de servicio puede, por lo tanto, escribirse como:

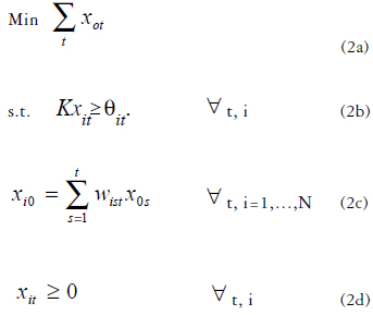
En la Figura 1 puede verse el modelo completo desarrollado hasta ahora. La función objetivo (2a) es el número total de buses despachados durante el día, (2b) garantiza que la demanda sea satisfecha, (2c) describe la transformación entre las tasas de despacho y las observadas en cada estación de la ruta y finalmente (2d) garantiza que las tasas de despacho no sean negativas. Debe notarse que se trata de un modelo lineal continuo y por lo tanto su solución es sencilla usando paquetes de programación lineal comerciales. En la siguiente subsección explicamos cómo se calculan los pesos Wist a partir de la dinámica de movimiento de buses en el sistema, mientras que en 1.2 explicamos cómo se calcula θit a partir de la restricción de servicio. Una vez se tienen las frecuencias x0t para cada periodo, hay técnicas estándar que describimos en 1.3, para establecer el horario de despacho de cada bus.
Figura 1: Problema lineal para el despacho de buses
1.1 CÁLCULO DE LOS PESOS RELATIVOS
En esta sección explicamos cómo se calculan los pesos Wist que aparecen en la ecuación (2c). Llamemos Ti(τ) el tiempo desde que un bus sale del terminal en el instante τ hasta llegar a la estación i. En general, ésta puede ser una variable aleatoria cuya distribución supondremos conocida y denotaremos como

Esta distribución refleja fenómenos tales como congestión, semáforos, etc. Además, el modelo permite que la distribución cambie a lo largo del día, por ejemplo por tráfico. En el caso particular de TransMilenio, los buses se movilizan por corredores exclusivos, luego los tiempos de desplazamiento pueden considerarse prácticamente constantes. Pero el modelo permite la programación de sistemas más generales, donde los tiempos de desplazamiento pueden variar de manera significativa a lo largo del día. Conociendo la distribución Gi, los pesos se calculan como

donde Wist es la fracción acumulativa del número de buses despachados durante el periodo s que han llegado a i hasta el instante t, y se calcula como

(Ver Riaño [14]). El cálculo de la integral de los pesos Wist se puede simplificar en términos de las funciones de pérdida, como sigue. Para cualquier variable aleatoria X con distribución F y primer momento finito, definimos la función de pérdida de primer orden como

y se puede interpretar como:

Dicha función es usada en problemas de inventarios y en otras aplicaciones. Ver, por ejemplo, el apéndice C de Zipkin [18]. La ventaja de expresar los pesos en términos de la función de pérdida es que la fórmula es conocida para varias distribuciones. Por ejemplo, para una normal estándar

donde F y f denotan, respectivamente, la función de distribución acumulativa y su correspondiente densidad, mientras que para una normal con media μ y desviación estándar s

(Ver [18]). Si llamamos
la función de pérdida de primer orden que corresponde a
y suponemos que la distribución no cambia mucho en el periodo s = τ = s + 1, entonces G(t - τ, τ) se puede reemplazar por G(t - τ, s) en (3). En este caso los pesos acumulativos vienen dados por (ver [15])

1.2 RESTRICCIÓN EN EL NIVEL DE SERVICIO
Para calcular θit en (2b) es necesario modelar el movimiento de pasajeros en el sistema. Supondremos que la demanda de pasajeros llega a cada estación de acuerdo con procesos de Poisson no homogéneos. Este supuesto no es muy restrictivo pues es razonable suponer que los usuarios llegan a cada estación de manera independiente, excepto por dos fenómenos: cuando muchos pasajeros pasan simultáneamente de una ruta a otra estos llegan en grupo; así mismo, las entradas de varias de las estaciones de TransMilenio hay semáforos peatonales lo que hace que los usuarios entren en grupos. Sin embargo ignoraremos estos dos fenómenos, que hacen que nuestro modelo prediga varianzas un poco menores que las reales. El número de pasajeros que salen de la estación k originados en i con destino j (para i = k < j) es un proceso de Poisson desplazado en un tiempo aleatorio que corresponde al tiempo de viaje más paradas. Este proceso es equiparable al proceso de salida de una cola Mt/Gt/¥ y es bien conocido que es un nuevo proceso de Poisson no homogéneo (ver [9]). Si se superponen los procesos de todos los pasajeros que suben antes de la estación k con destino a estaciones posteriores se tiene la superposición de procesos de Poisson, que, como se sabe, da origen a un nuevo proceso de Poisson no homogéneo (ver [12]). De manera que el número total de pasajeros que durante el periodo t pasan por el segmento de ruta i es una variable de Poisson que se puede caracterizar completamente con su media. Si denotamos con dijt la tasa a la cual se origina la demanda en la estación i con destino j durante el periodo t, entonces la media del número de pasajeros que viajan en el segmento i durante el periodo t es aproximadamente

pues contamos los que vienen de estaciones anteriores a i con destinos posteriores a i. Esta expresión no es exacta, pues los pasajeros observados en el periodo t posiblemente montaron a los buses en periodos anteriores, en especial si los periodos son cortos con relación a la longitud de las rutas. Si la tasa de demanda no cambia mucho de un periodo a otro la aproximación será más exacta. Se puede obtener una fórmula más precisa teniendo en cuenta los desplazamientos y esperas, con técnicas similares a las usadas para el cálculo de wijt en la sección anterior. Referimos el lector a [15], para profundizar en estos cálculos, pero hacemos notar que tales transformaciones sí fueron implementadas en nuestro modelo de optimización.
Finalmente, suponiendo que se quiere garantizar que 100% de los pasajeros logren subir al primer bus y aproximando la distribución Poisson con una normal, se tiene que la oferta mínima en el segmento i durante el periodo t debe ser de

donde z a es el a-ésimo cuantil de la distribución normal (es decir F(zα) = α), para la cuál existen algoritmos eficientes de cálculo (ver por ejemplo [1]), y está disponible en paquetes comerciales como Excel. La ecuación (6) recomienda que la oferta de servicio sea igual a la demanda esperada más un factor de seguridad. Al derivar la ecuación (6) Riaño supone que el proceso de demanda es mucho más variable que el proceso de arribo de los buses. Si éste no es el caso, se puede utilizar un valor de a más alto, para que haya un exceso de capacidad.
1.3 HORARIOS DE SALIDA DEL TERMINAL PARA CADA BUS
En esta sección describimos cómo construir el horario específico de envío de los buses a partir de las frecuencias x0t que arroja el programa lineal (2). La técnica propuesta a continuación no es nueva y se usa para construir un horario también en otros métodos que arrojan frecuencias [5]. Construimos una función X(τ) continua, lineal a trozos, tal que la pendiente en el intervalo t sea igual a la frecuencia de despacho x0t. Esta función puede interpretarse como el valor esperado de buses que han sido despachados hasta el instante τ (ver Figura 2). La función X(τ) es estrictamente monótona y, por lo tanto, tiene una inversa. La hora de salida del bus k, Sk, se escoge garantizando que X(Sk) = k, es decir Sk = X-1k. Como la función es lineal a trozos, no es difícil construir un algoritmo para calcular de manera explícita esta inversa. Referimos al lector a [5] para ver los detalles.
Figura 2: Cálculo de la salida de los buses en el modelo de Programación de Buses, se halla la inversa de la función X(τ). Puede verse donde la curva tiene mayor pendiente los buses salen con menor separación entre ellos.
2 MODELO DE SIMULACIÓN
En esta sección se presenta una explicación detallada de cómo se construyó el modelo de simulación para poner a prueba los métodos de diseño de horario. El desarrollo de este programa de simulación es de interés independiente, pues permite evaluar no sólo los modelos que ensayamos nosotros sino cualquier otro plan de horarios para una ruta dada. Se utilizaron técnicas de simulación de eventos discretos, pero optamos por no utilizar software especializado de simulación, pues el modelo no representa a cada usuario como una entidad sino que contabiliza el número de arribos en diferentes intervalos. El programa fue diseñado en el lenguaje de VBA de Excel. Recibe como entrada un plan de despacho de buses y simula el movimiento en el sistema calculando para cada estación el número de personas que no logran subir al primer bus. El modelo supone que los tiempos de desplazamiento entre estaciones tienen una distribución normal. Este supuesto se hace por conveniencia ya que facilita el cálculo de los pesos con las fórmulas (5) y (6). La escogencia de la distribución normal tiene el inconveniente potencial de que, con probabilidad no nula, los tiempos pueden ser negativos; pero se utilizaron escenarios con desviaciones pequeñas comparadas con la media. Los datos experimentales tomados en TransMilenio indican que el coeficiente de variabilidad cuadrado es de alrededor de 0.2. La demanda se supone que llega de acuerdo con procesos de Poisson independientes no homogéneos. Denotaremos con lij(τ) la tasa de arribos a la estación i con rumbo j hasta el instante ?. Supondremos que las tasas son constantes a lo largo de cada periodo, es decir

Nótese que el proceso total de arribos a la estación i será también un proceso de Poisson por tratarse de la superposición de procesos de Poisson independientes [12]. Dicho proceso tiene tasa constante durante el periodo t igual a

y la tasa variable de arribos a la estación i viene dada por

Cada arribo a la estación i durante el periodo t tiene destino j con probabilidad

Por conveniencia, definiremos las siguientes funciones, que calculan el valor esperado de arribos en el intervalo (a, b) a la estación i y de aquéllos con destino j, respectivamente.


Como li (.) y lij (.) son constantes a trozos, estas integrales se calculan simplemente determinando el área de los rectángulos bajo las funciones.
Finalmente hacemos dos supuestos adicionales. Imponemos la restricción de que un bus no está autorizado a pasar otro, de manera que si por efectos del azar un bus alcanza al anterior, entonces se van juntos el resto del recorrido (esta política de operación se usa en TransMilenio). Adicionalmente, los pasajeros que no logran subir a un bus por falta de capacidad deben esperar al siguiente.
En resumen, el modelo de simulación toma como parámetros de entrada los tiempos de despacho de los buses Sk = 1,...B, las medias y desviaciones de los tiempos de viaje en el segmento i, y el valor esperado de demanda durante el periodo t, dijt.
En las siguientes dos subsecciones explicamos el algoritmo que simula el movimiento de los buses y de los pasajeros respectivamente.
2.1 GENERACIÓN DE TIEMPOS DE VIAJE
Llamaremos Tik el tiempo que tome el k -ésimo bus para ir de i a i +1 y supondremos que tiene una distribución normal con media μi y desviación si. Nuestros experimentos sólo consideraron tiempos homogéneos, pero no hubiese sido difícil reemplazar μi y si por funciones que cambiaran en el tiempo. Dichos tiempos contemplan no sólo el desplazamiento entre las estaciones i -1 e i, sino la espera en la estación i. Estos tiempos normales fueron generados usando el código tomado de Banks et. al. [3]. Llamaremos Sik la hora de salida del k -ésimo bus de la estación i. Mientas que Sk º S0k es la hora de despacho del terminal, y, por lo tanto, es un parámetro que se alimenta al modelo, las demás Sik son calculadas por el modelo de simulación como

En la expresión anterior el máximo representa el hecho de que los buses no pueden pasarse unos a otros y, por lo tanto, el bus k debe esperar a que el bus k -1 salga de la estación. En la Figura 3 se puede ver el algoritmo completo para representar la dinámica del sistema de buses. El programa de simulación genera todos estos tiempos de manera previa a la generación de pasajeros, que se explica en la siguiente sección.
Figura 3: Pseudo-código de la generación de los tiempos.
2.2 MODELO DE MOVIMIENTO DE PASAJEROS
En esta sección explicamos cómo se simuló el movimiento de los pasajeros tomando como dados los desplazamientos de los buses. En particular mostraremos cómo se contabilizan los pasajeros que no logran subir al primer bus que llega. La demanda se generó como procesos de Poisson no homogéneos. Llamaremos Nik el número de pasajeros que llegan a la estación i entre las salidas del bus k -1 y k. Si hay suficiente capacidad, todos ellos subirán al bus k, pero como veremos este no es necesariamente el caso. Puesto que los arribos vienen de acuerdo con un proceso de Poisson con tasa li (.), se tiene que la distribución condicional (dados los Sik) es Poisson con media

Llamaremos Bik el número de pasajeros que viajan en el k -ésimo bus entre las estaciones i -1 e i, Aik los que suben en i y Mik los que bajan. Observe que Aik difiere de Nik, pues no todos los pasajeros logran subir al primer bus que llega. Los que se quedan,
Rik, representan demanda para el siguiente bus. La demanda potencial total para el bus k es, por lo tanto Nik + Ri, k-1. Si llamamos Mik el número de pasajeros que bajan en i, tenemos que la capacidad remanente del bus es K - Bi - 1, k + Mik. Por lo tanto el número de pasajeros que sube al bus es

mientras que los que se quedan son

Se tiene entonces la ecuación de conservación Bik = Bi - 1, k + Aik - Mik, que dice que el total en el bus son los que venían, más los que suben menos los que bajan (adoptamos aquí la convención B0k = 0). Una vez se determina cuántos pasajeros suben al bus, debemos escoger cuáles de ellos van a cada destino j. Para esto debemos calcular la probabilidad de que un arribo a i tenga como destino j. Esta probabilidad cambia con el tiempo, y, por lo tanto, usamos el cociente entre el valor esperado de arribos con destino a j y el total de arribos

Llamaremos Dijk el número de pasajeros que toman el bus k en la estación i con destino j (se adopta la convención Diik =0). La distribución conjunta de los Dijk, dado que suben Aij pasajeros al bus, es multinomial

El número de personas que bajan en la estación i viene dado por

Finalmente, en cada simulación se calculó el porcentaje de personas que no lograron subir al primer bus como,

y se construyeron intervalos de confianza de este porcentaje usando las 100 replicaciones. En la Figura 4 se puede ver el algoritmo completo.

Figura 4: Pseudo-código de la generación de la demanda.
3 RESULTADOS
En esta sección describimos los escenarios utilizados para poner a prueba el modelo de Riaño contrastado con los de Ceder. El programa lineal se implementó en XPress-MP [8], utilizando las fórmulas de Abramowitz y Stegun [1] para el cálculo de la función de distribución normal en las fórmulas 4 y 5. Implementamos también el llamado Método 2 descrito en Ceder [4]. Para que hubiera consistencia entre los parámetros de entrada de dicho modelo y el de Riaño, se introdujeron modificaciones. En el modelo de Ceder existe una variable llamada ocupación deseada, que es una variable exógena del modelo y es una manera indirecta de tener en cuenta la variabilidad. Nosotros ajustamos tal variable para garantizar que tanto el método de Ceder como el de Riaño enviaran el mismo número de buses en el día y comparamos, para ambos métodos, el porcentaje de usuarios que no pueden subir a un bus cuando llega. Obsérvese que esto no es exactamente igual a la probabilidad de que un usuario espere más de un bus, pues podría darse el caso de que deba esperar dos o más buses antes de subir. Como la simulación no contiene el detalle de cada usuario, no es fácil calcular esta segunda medida de desempeño.
Se simularon tres escenarios. En el primero tomamos datos reales de la ruta 10 de TransMilenio. Nosotros medimos a bordo los tiempos de viaje mientras que para la demanda usamos datos tomados por estudiantes del curso de Simulación de eventos discretos, de Andrés Medaglia, en el primer semestre del 2003. Puesto que las mediciones se hicieron extemporáneamente, no pretendemos acá asegurar nada respecto a la confiabilidad estadística de las mediciones respecto al sistema real, pues todo lo que nos interesaba era crear un escenario realista. Los otros dos escenarios usaron los mismos tiempos de desplazamiento, y el mismo número total de pasajeros estimado en el primero, pero suponiendo un perfil de carga en el cual la demanda decrece linealmente entre la primera y la última estación. Similarmente, en el tercer escenario la demanda crece linealmente de la primera a la última estación. Estos escenarios corresponderían a los recorridos de entrada y salida, respectivamente, de una ruta que parte de la periferia en una ciudad y va hasta el centro.
Para cada escenario se corrieron 100 replicaciones de la simulación y se calculó el porcentaje de personas que no lograron subir al bus cada vez que llegaba a la estación, para cada estación y para la totalidad. En las Tablas 1 - 3 se pueden ver los resultados de estas simulaciones. Puede verse que al usar el método de Riaño el porcentaje de usuarios que no logran subir al bus es menor, usando exactamente el mismo número de buses, estableciéndose así, que, por lo menos para los escenarios estudiados, tal método domina al usado tradicionalmente.
Tabla 1: Resultado de 100 replicaciones de la simulación con el escenario realista armado con la ruta 10 de TransMilenio. Se muestra el porcentaje de personas que no pueden tomar el primer bus junto con el intervalo de confianza del 95% para los métodos de Riaño y Ceder.
Tabla 2: Resultado de 100 replicaciones de la simulación con el escenario de perfil decreciente. Llegan más personas a la primera estación y decrece linealmente. Se muestra el porcentaje de personas que no pueden tomar el primer bus junto con el intervalo de confianza del 95% para los métodos de Riaño y Ceder.
Tabla 3: Resultado de 100 replicaciones con el escenario de perfil creciente. El número de personas es creciente, de manera que suben más en la última estación. Se muestra el porcentaje de personas que no pueden tomar el primer bus junto con el intervalo de confianza del 95% para los métodos de Riaño y Ceder.
4 CONCLUSIONES Y EXTENSIONES FUTURAS
Ciertamente los resultados de la sección anterior nos indican que el modelo propuesto puede proveer mejoras sobre aquellos descritos en la literatura y usados en la práctica. Aunque es necesario estudiar mayor número de escenarios, los resultados eran de esperarse por varias razones: (1) Los métodos tradicionales suponen implícitamente que al pico de demanda de un periodo se debe responder con mayor frecuencia en ese periodo. Cuando los recorridos son largos comparados con la longitud del periodo tal supuesto puede ser fuente de error. Utilizar periodos más cortos incrementa el problema en los métodos tradicionales, mientras que el modelo de Riaño por el contrario gana precisión. (2) El método de Riaño modela de manera explícita la variabilidad de la demanda, mientras que el de Ceder lo modela de manera indirecta a través de la ocupación deseada. El modelo resultante puede ser muy sensible a dicho parámetro de política.
Para terminar, mencionaremos algunas direcciones en las cuales pensamos que debe continuar el desarrollo de esta investigación. Tal como se mencionó al principio, este modelo puede entenderse como un módulo dentro de un sistema más complejo de modelos de decisión. En el caso particular de TransMilenio creemos que un mejor diseño de rutas puede tener mucho más impacto en la comodidad de los usuarios que el despacho de buses. Esto se puede comprobar empíricamente, al observar que en la misma dirección viajan buses muy llenos junto con otros casi vacíos. Un buen diseño balancearía la demanda en todas las rutas. Un intento para atacar este problema, si bien preliminar, fue hecho por Arana [2] bajo la asesoría de Medaglia y Palacios. En dicho trabajo se atacan simultáneamente la generación de rutas y frecuencias de despacho a través de dos problemas que se comunican entre sí: en el primero se determinan rutas mientras que el segundo problema, de determinación de frecuencias, es precisamente el problema atacado aquí. Hay en el caso de TransMilenio un problema intermedio que implica entender la racionalidad de la gente al escoger la secuencia de rutas para completar el viaje. Pensamos, por lo tanto, que se puede diseñar un sistema con tres modelos que se comuniquen entre sí: (1) determinar rutas, (2) dadas las rutas asignar la demanda a cada ruta y (3) planear las frecuencias de despacho (es decir el problema presentado acá). Incluso es posible continuar hacia abajo en la jerarquía y tomar el plan de despachos propuesto acá como punto de partida para determinar la asignación específica de vehículos y conductores.
Concluimos finalmente que el uso de técnicas de investigación de operaciones puede ayudar a la administración eficiente de los recursos públicos. Un mejor transporte para los bogotanos se logra no sólo con mejor infraestructura, sino con el uso óptimo de la misma.
AGRADECIMIENTOS
Los autores quieren agradecer a los profesores Arturo Ardila, Jorge Acevedo y Germán Lleras por sus comentarios en la elaboración de este proyecto. Así mismo, al profesor Andrés Medaglia no sólo por sus comentarios sino por facilitarnos los datos tomados por sus estudiantes en el curso de Simulación.
REFERENCIAS
[1] Abramowitz, M. y Stegun, I. A. Handbook of Mathematical Functions: with formulas, graphs, and mathematical Tables. Dover Publications, 1964. [ Links ]
[2] Arana, D. M. "Herramienta para el diseño óptimo de la red de rutas en sistemas de transporte masivo con aplicación a TransMilenio S.A". Tesis de Maestría, Universidad de los Andes, Julio 2004. [ Links ]
[3] Banks, J.; Carson, J.; Nelson, B. L. y Nicol, D. Discrete Event System Simulation. Prentice Hall International Series, 2001. [ Links ]
[4] Ceder, A. "Methods for Creating Bus Timetables". En Transportation Research, 21 1987. p.p 59-83 [ Links ]
[5] Ceder, A. "Public Transport Timetabling and Vehicle Scheduling". En William, L. y Bell, M. (Eds.) Advanced modeling for transit operations and service planning. Pergamon, 2003. [ Links ]
[6] Ceder, A. y Stern, H. I. "Optimal Transit Timetables for a Fixed Vehicle Fleet". En Proc. 10th International Symp on Transportation and Traffic Theory. p.p 331-355. Volmuller, J. and R. Hammerstag, 1984. [ Links ]
[7] Ceder, A. y Wilson, N. H. M. "Bus Network Design". En Transportation Research, 20B 1986 (4) p.p 331-344. [ Links ]
[8] Dash Optimization. Xpress-MP Essentials. Dash Optimization Inc., Second edition, febrero, 2002. [ Links ]
[9] Foley, R. D. "The Non-homogeneous M/G/1 Queue". En Operations Research, 19, 1982. p.p 41-48. [ Links ]
[10] Furth, P. G. y Wilson, N. H. M. "Setting Frequencies on Bus Routes". En Transportation Research Record, 818, 1981. p.p 1-7. [ Links ]
[11] Koutsopoulos, H.; Odoni, A y Wilson, N. H. M. Determination of Headways as Function of Time Varying Characteristics on a Transit Network. Amsterdam, 1985. [ Links ]
[12] Kulkarni, V. Modeling and Analysis of Stochastic Systems. Chapman & Hall, 1995. [ Links ]
[13] Lam, W. y Bell, M. Advanced Modeling for Transit Operations and Service Planning. Pergamon, 2003. [ Links ]
[14] Riaño, G. Transient Behavior of Stochastic Networks: Application to Production Plan-ning with load dependent Lead Times. Tesis de Doctorado, Georgia Institute of Technology, 2002. [ Links ]
[15] Riaño, G. "An Optimal City Buses Dispatching Stochastic lp Model". Universidad de los Andes, Working Paper. Disponible en http://hdl.handle.net/1992/33, 2003. [ Links ]
[16] Riaño, G.; Serfozo, R. y Hackman, S. Modeling Random Flow Times in Linear Programs: A Tutorial. Disponible en http://hdl.handle.net/1992/32 [ Links ]
[17] Salzborn, F. J. M. "Optimum Bus Scheduling". En Transportation Science, 6, 1972. p.p 137-147. [ Links ]
[18] Zipkin, P. Foundations of Inventory Management. Mc Graw Hill, 2000. [ Links ]



















