Services on Demand
Journal
Article
Indicators
-
Cited by SciELO -
Access statistics
Related links
-
Cited by Google -
Similars in
SciELO -
Similars in Google
Share
Innovar
Print version ISSN 0121-5051
Innovar vol.22 no.45 Bogotá July/Sept. 2012
José Enrique Devesa-CarpioI, Mar Devesa-CarpioII, Inmaculada Domínguez-FabiánIII, Borja Encinas-Goenechea IV, Robert Meneu-Gaya V, Amparo Nagore-García VI
IProfesor titular de Universidad. Universidad de Valencia. Licenciado y doctor en Ciencias Económicas y Empresariales. Actuario de Seguros. Correo electrónico: Enrique.Devesa@uv.es
IIProfesora titular de Escuela. Universidad de Valencia. Licenciada y doctora en Ciencias Económicas y Empresariales. Actuaria de Seguros. Correo electrónico: Mar.Devesa@uv.es
IIIProfesora titular de Universidad. Universidad de Extremadura. Licenciada y doctora en Ciencias Económicas y Empresariales. Correo electrónico: idomingu@unex.es
IVProfesor titular de Universidad. Universidad de Extremadura. Licenciado y doctor en Ciencias Económicas y Empresariales. Correo electrónico: bencinas@unex.es
VProfesor titular de Universidad. Universidad de Valencia. Licenciado y doctor en Ciencias Económicas y Empresariales. Correo electrónico: Robert.Meneu@uv.es
VIProfesora ayudante. Universidad de Valencia. Licenciada en Ciencias Económicas y Empresariales. Actuaria de Seguros. Correo electrónico: Amparo.Nagore@uv.es
Recibido: enero de 2011 Aceptado: octubre de 2011.
Resumen:
El principal objetivo del trabajo es la determinación de las bases para obtener la rentabilidad financiero-fiscal, tanto teórica como aplicada para las tres modalidades de hipoteca inversa más importantes. Para ello se considera la hipoteca inversa como parte de una operación financiero-actuarial de ahorro-pensión a largo plazo, más amplia y compleja. La operación comienza invirtiendo una unidad monetaria en la compra de una vivienda, para después enlazarla con la hipoteca inversa. Esto obliga a utilizar una metodología financiera, fiscal y actuarial, estudiando, además, tres modalidades de hipoteca inversa: temporal, vitalicia y asociada a un Plan de Previsión Asegurado, PPA. También se comentan las diferencias en cuanto a rentabilidad financiero-fiscal con respecto a otras alternativas de ahorro-pensión más comunes en España. Se puede concluir que la utilización de la hipoteca inversa es altamente recomendable por la elevada rentabilidad financiero-fiscal obtenida. También se ha podido determinar una edad "crítica" de compra de la vivienda, alrededor de los 50 años, a partir de la cual la rentabilidad financiero-fiscal pasa a ser inferior a la rentabilidad financiera, con lo que podría ser interesante invertir en algún producto alternativo, como los Planes de Pensiones.
Palabras Clave: hipoteca inversa, rentabilidad financiero-fiscal, matemática actuarial, fiscalidad de las operaciones en España.
Abstract:
The main objective of this work is to determine the bases for obtaining fiscal financial profitability, both theoretical and applied, for the three most important modalities of Inverse Mortgages. To do so, the inverse mortgage is considered as a broader and complex part of an actuarial-financial long-term pension savings operation. It is thought that the operation begins with investment of a monetary unit to purchase of housing, to be subsequently linked to an inverse mortgage. This requires the use of a financial, fiscal and actuarial methodology, while studying three modalities of inverse mortgages: temporary, lifetime, and associated with an Annuity Plan. Differences are also noted in terms of financial-fiscal profitability compared to other more common pension savings alternatives in Spain. It may be concluded that the use of inverse mortgages is highly recommendable given their considerable financial-fiscal profitability. We have also been able to determine that there is a "critical" age for buying property, around 50, after financial-fiscal profitability becomes lower than financial profitability, which could make it interesting to invest in an alternative product such as Pension Plans or Annuities.
Keywords: inverse mortgage, financial-fiscal profitability, actuarial mathematics, oversight of operations in Spain.
Résumé :
L'objectif principal de ce travail est la détermination de bases pour l'obtention de la rentabilité financière-fiscale, autant théorique qu'appliquée, pour les trois modalités d'Hypothèque Inverse les plus importantes. À cet effet, l'hypothèque inverse est considérée comme faisant partie d'une opération financière-actuariel d'épargne-retraite à long terme, plus ample et complexe. On considère que l'opération commence par l'investissement d'une unité monétaire dans l'achat d'un logement, pour l'enlacer ensuite avec l'hypothèque inverse. Ceci oblige à utiliser une méthodologie financière, fiscale et actuarielle, en étudiant, en plus, trois modalités d'hypothèque inverse : temporelle, à vie et associée à un Plan de Prévision Assuré. Un commentaire est également effectué concernant les différences de rentabilité financière-fiscale par rapport à d'autres alternatives d'épargne-retraite plus communes en Espagne. On peut conclure que l'utilisation de l'hypothèque inverse est hautement recommandable pour la rentabilité financière-fiscale obtenue élevée. Nous avons aussi pu déterminer un âge « critique » pour l'achat d'un logement, vers les 50 ans, âge à partir duquel, la rentabilité financière-fiscale devient inférieure à la rentabilité financière, ce qui rendrait intéressant tout autre investissement dans un produit alternatif comme les Plans de Retraite.
Mots-Clefs: hypothèque inverse, rentabilité financière-fiscale, mathématique actuarielle, fiscalité des opérations en Espagne.
Resumo:
O principal objetivo do trabalho é a determinação das bases para obter a rentabilidade financeiro-fiscal, tanto teórica quanto aplicada, para as três modalidades de hipoteca inversa mais importantes. Para isso, considera-se a hipoteca inversa como parte de uma operação financeiro-atuarial de poupança-aposentadoria a longo prazo, mais ampla e complexa. Considera-se que a operação começa investindo uma unidade monetária na compra de uma moradia, para depois enlaçá-la como hipoteca inversa. Isso obriga a utilizar uma metodologia financeira, fiscal e atuarial, estudando, além disso, três modalidades de hipoteca inversa: temporal, vitalícia e associada a um Plano de Previsão Assegurado. Também se comentam as diferenças quanto à rentabilidade financeiro-fiscal com relação a alternativas de poupança-aposentadoria mais comuns na Espanha. Pode-se concluir que a utilização da hipoteca inversa é altamente recomendável pela elevada rentabilidade financeiro-fiscal obtida. Também pudemos determinar a idade "crítica" de compra de moradia, ao redor dos 50 anos, a partir da qual a rentabilidade financeiro-fiscal passa a ser inferior à rentabilidade financeira, com o que poderia ser interessante investir em algum produto alternativo, como os Planos de Aposentadoria.
Palavras-Chave: hipoteca inversa, rentabilidade fin anceiro-fiscal, matemática atuarial, fiscalidade das operações na Espanha.
La mayoría de los países desarrollados se caracterizan por la existencia de poblaciones cada vez más envejecidas y con serios problemas de salud en los últimos años de vida. En España, se prevé que esta tendencia al envejecimiento sea aún más acusada, de modo que en el año 2050 será uno de los países más envejecidos del mundo. Esta tendencia demográfica está produciendo un incremento progresivo de la población de edades avanzadas. En 1970 la población española mayor de 65 años representaba el 9,6% de la población total, en 2010 alcanzaba ya el 16,5% y en 2050 superará el 32%.
Es frecuente que las personas mayores no dispongan de las rentas suficientes para cubrir sus necesidades básicas debido, por un lado, al aumento de los gastos que se derivan de las situaciones de dependencia y, por otro, a la reducción que experimentan sus ingresos fundamentalmente tras la jubilación. En concreto, según la Encuesta Financiera de las Familias (Banco de España, 2008), la renta media de los hogares españoles a finales del año 2007 era de 33.600 euros, mientras que el grupo de hogares entre 65 y 74 tenían una renta media de 24.900 euros (un 25% menos) y los hogares de mayores de 74 años una renta media de 16.900 euros (un 50% menos).
Otro dato relevante de la sociedad española es que la vivienda en propiedad constituye la principal forma de acumulación de riqueza. Según el Banco de España (Banco de España, 2008), el 88,5% de la población española entre 65 y 74 años y el 87,8% de los mayores de 74 años tiene una vivienda en propiedad y además libre de cargas (solo el 4,6% de la población entre 65 y 74 años y el 1,9% de los mayores de 74 tiene alguna deuda pendiente por la compra de su vivienda habitual).
En definitiva, en las próximas décadas la tercera parte de la población española estará jubilada o próxima a la jubilación, y para muchas de estas personas se dará la paradoja de que sus ingresos no serán suficientes para cubrir los gastos asociados a las necesidades derivadas de la vejez, pero al mismo tiempo dispondrán de una vivienda en propiedad con un valor de mercado significativo. En concreto, en el año 2007 el valor medio de las viviendas de las personas mayores de 65 años estaba en torno a los 180.000 euros (Banco de España, 2008).
La situación descrita constituye por sí sola un buen punto de partida para justificar que los poderes públicos faciliten e impulsen el desarrollo de productos financieros que permitan transformar en líquido el patrimonio inmobiliario de las personas mayores, y de esta forma convertir su vivienda en un elemento generador de rentas que complementen su pensión.
Con este objetivo, se ha desarrollado en España la figura de la hipoteca inversa, que si bien no es el único producto que permite transformar los activos inmobiliarios en rentas, sí es el más conocido.
Aunque en algunos países2, sobre todo anglosajones, la hipoteca inversa es una operación conocida desde hace mucho tiempo, en España su regulación legislativa es bastante reciente, concretamente de 20073. Es decir, el desarrollo legislativo de la hipoteca inversa aparece en un periodo en que existe una preocupación creciente de que las arcas públicas no puedan satisfacer en un futuro, cada vez más cercano, las necesidades de financiación de una sociedad envejecida. Por ello, en el preámbulo de la ley que la regula, se afirma que: "Hacer líquido el valor de la vivienda mediante productos financieros podría contribuir a paliar uno de los grandes problemas socioeconómicos que tienen España y la mayoría de países desarrollados: la satisfacción del incremento de las necesidades de renta durante los últimos años de la vida".
En este contexto, y a pesar de la actual crisis económica que tanto afecta al sector inmobiliario, resulta relevante estudiar en profundidad algunos aspectos inexplorados de estos productos, cuya demanda es previsible que se multiplique en los próximos años.
Si bien en los últimos años ha aparecido un número considerable de trabajos sobre la hipoteca inversa, un análisis de los mismos permite detectar que casi todos ellos han tratado a este producto como una operación aislada y, además, casi todos los estudios se han dirigido a desentrañar, sobre todo, los aspectos jurídicos y contractuales4, olvidándose casi por completo de sus características financieras y actuariales. Entre las excepciones se encuentran: Debón et al. (2009), en cuya investigación hacen una revisión de la literatura sobre el tema, obtienen el valor de la renta generada por la operación y, además, desarrollan y reV. innoVar Vol. 22, núM. 45, jUlio-septieMbre de 2012
utilizan unas tablas de mortalidad específicas para poder aplicarlas al cálculo de la renta de una hipoteca inversa5; Lecina (2008, pp. 6-10), quien hace una reflexión sobre la dificultad que puede resultar establecer el importe de crédito disponible referido al inicio de la operación; Fundación de Estudios Financieros (2008, pp. 154-160), que cita como dos de los principales riesgos y limitaciones de la hipoteca inversa: "la generación de rentas vitalicias" y "el riesgo de capital negativo"; Taffin (2006, pp. 8-12), donde se analizan los riesgos de la operación y se revisan las distintas modalidades existentes en Reino Unido, Estados Unidos; Costa et al. (2006, pp. 7-9 y 11), que presenta una comparativa internacional (Reino Unido, Estados Unidos y Francia) y utiliza una encuesta para concluir que la hipoteca inversa es esencialmente útil para la población española que desea envejecer en casa, pero que la gente no hace previsión ni planifica, y Sánchez et al. (2007), en cuyo trabajo se pasa revista a la hipoteca inversa en cinco países anglosajones y se esboza el planteamiento financiero de la misma.
Por ello, el principal objetivo de este trabajo es establecer las bases para determinar, teóricamente, el valor de la rentabilidad financiero-fiscal de la operación financiera donde se inserta la hipoteca inversa. Otra aportación del trabajo es que no se considera una única modalidad de hipoteca inversa, sino que se trabaja con las tres modalidades más relevantes: temporal, vitalicia con seguro de renta vitalicia diferida y vitalicia con Plan de Previsión Asegurado; de esta forma se podrá comparar con otras operaciones de ahorro pensión. También constituye otro aporte el tratamiento que se le da tanto al alquiler como al valor residual que surge durante el estudio de la operación, elementos clave en la determinación de la rentabilidad financiero-fiscal del producto objeto de análisis.
Tras esta introducción, en el siguiente epígrafe se hace un breve repaso de las características principales de la hipoteca inversa. En el tercer epígrafe se analiza, desde el punto de vista financiero-actuarial, la hipoteca inversa como parte de una operación más amplia, contemplando tres posibles modalidades. En el cuarto se muestran y comentan los principales resultados y se realiza un análisis de sensibilidad. En los dos últimos se exponen las principales conclusiones y las referencias bibliográficas.
El objetivo de los denominados productos de transformación de activos inmobiliarios6 es convertir la vivienda en un conjunto de recursos económicos mientras se sigue disfrutando de la misma. La hipoteca inversa es el único, dentro de este grupo, sometido a una regulación específica. Los otros productos dentro de esta tipología, según Edad y Vida (2005, p. 6), y Costa et al. (2007, p. 55) son: la hipoteca pensión, la hipoteca inversa mixta, la vivienda pensión y la cesión por alquiler7. El presente trabajo se centrará exclusivamente en la hipoteca inversa.
Tal vez, la mejor descripción aparece en el propio preámbulo de la Ley 41/2007, cuando define la hipoteca inversa como "un préstamo o crédito hipotecario del que el propietario de la vivienda realiza disposiciones, normalmente periódicas, aunque la disposición pueda ser de una sola vez, hasta un importe máximo determinado por un porcentaje del valor de tasación en el momento de la constitución. Cuando se alcanza dicho porcentaje, el mayor o dependiente deja de disponer de la renta y la deuda sigue generando intereses. La recuperación por parte de la entidad del crédito dispuesto más los intereses se produce normalmente de una vez cuando fallece el propietario, mediante la cancelación de la deuda por los herederos o la ejecución de la garantía hipotecaria por parte de la entidad de crédito". En el texto anterior no sólo se definen sino que se establecen algunas de las características que van a servir de base para el desarrollo del producto.
Las principales características de la hipoteca inversa se establecen en la Disposición Adicional Primera de la Ley 41/2007, que de forma resumida son:
- Para que pueda beneficiarse de las ventajas establecidas en la Ley, el bien inmueble sobre el que se constituye la hipoteca tiene que ser la vivienda habitual del solicitante, cumpliendo los requisitos siguientes:
- El resto de características de la Hipoteca Inversa, de acuerdo con el apartado 5 de la Disposición adicional primera de la Ley 41/2007, se pueden resumir de la siguiente forma:
- La edad del solicitante, así como de los beneficiarios que este pueda designar, deberá ser igual o superior a 65 años o encontrarse en situación de dependencia severa o gran dependencia.
- La hipoteca podrá garantizar operaciones de préstamo o de crédito que se podrán efectuar mediante disposiciones periódicas o únicas del importe del préstamo o crédito.
- La entidad de crédito sólo podrá exigir la deuda garantizada con la hipoteca y la ejecución de la garantía cuando fallezca el prestatario o el último de los beneficiarios, siempre y cuando así lo establezca el contrato.
- La vivienda objeto de la hipoteca deberá estar tasada y asegurada contra daños de acuerdo con lo establecido por los artículos 7 y 8 de la Ley 2/1981, de 25 de marzo, de Regulación del Mercado Hipotecario.
- Al fallecimiento del deudor, sus herederos tienen varias opciones que se pueden resumir en quedarse o no con la casa. En el primer supuesto pueden cancelar el préstamo en el plazo estipulado, abonando la totalidad de los débitos vencidos con los intereses correspondientes. En caso contrario, si no desean pagar el préstamo o crédito hipotecario, siempre podrán solicitar al acreedor que ejecute la garantía, por lo que se quedarían con el importe sobrante de la venta, es decir, con la diferencia entre el importe de venta del inmueble y el capital vivo del crédito hipotecario.
- Asimismo, también se prevé que cuando el deudor hipotecario haya transmitido voluntariamente el bien objeto de la hipoteca inversa, el acreedor pueda declarar el vencimiento anticipado del préstamo o crédito garantizado, salvo que se sustituya la garantía de forma suficiente.
En cuanto al tratamiento fiscal, es la menos gravosa de las operaciones de este tipo, ya que la renta que percibe el mayor no tributa, siendo este uno de los incentivos proporcionados por la administración para desarrollar comercialmente el producto. Efectivamente, según la disposición adicional 15ª de la Ley de IRPF, las cantidades recibidas por la hipoteca inversa no se consideran renta a efectos de IRPF, lo que hace que estén exentas de tributación8.
Además, también disfrutan de la exención de la cuota correspondiente a la modalidad de actos jurídicos documentados del Impuesto sobre Transmisiones Patrimoniales y Actos Jurídicos Documentados. Por último, también gozan de una reducción del 90% sobre los impuestos por el registro. Cabe destacar que para beneficiarse de la fiscalidad aparejada a la hipoteca inversa es necesario que esta haya sido formalizada a través de una de las entidades de crédito y aseguradoras autorizadas para comercializar este producto.
Por otra parte, la disposición Adicional Cuarta de la Ley 41/2007 prevé la posibilidad de que el beneficiario de una hipoteca inversa pueda destinar, total o parcialmente, los importes recibidos a la contratación de un Plan de Previsión Asegurado en los términos y condiciones previstos por la Ley 35/2006 de IRPF. De tal forma que es posible destinar todo o parte del préstamo o crédito garantizado con la hipoteca inversa a la suscripción de dicho Plan y en el que la contingencia cubierta fuese la supervivencia de este a un plazo mínimo de diez años. De acuerdo con lo anterior, se abre la posibilidad de reducir la base imponible general del IRPF del tomador (beneficiario de la hipoteca inversa) en el importe de las primas satisfechas, respetando los requisitos y límites establecidos en la correspondiente normativa del IRPF.
En cuanto a las ventajas e inconvenientes de la hipoteca inversa, respecto de otras operaciones de transformación de activos inmobiliarios, puede verse, entre otros, Edad y Vida (2005) y Sánchez et al. (2007).
Uno de los métodos más utilizados para llevar a cabo la comparación de los distintos productos es la del cálculo de la rentabilidad financiero-fiscal. Esta se puede definir9 como el tipo de interés anual de la ley de capitalización compuesta que iguala financieramente los capitales entregados y recibidos. Para su determinación se tienen que incorporar todos los capitales que intervienen en la operación -ingresos y gastos-, así como las características comerciales, entre las que destaca la fiscalidad. Además, dado que aparecen capitales aleatorios, se tienen que considerar también las probabilidades de supervivencia o fallecimiento, según la naturaleza de cada uno de ellos.
La comparación entre operaciones10 se puede hacer de dos formas:
- Se parte de una rentabilidad financiera igual para todos los productos, de tal forma que se resalte cuál es el que tiene mejor tratamiento fiscal y bajo qué condiciones.
- Además de contemplar los aspectos fiscales, se tiene en cuenta la distinta rentabilidad financiera de cada producto, y para ello se utiliza la rentabilidad histórica, con algún elemento corrector.
Desde el punto de vista financiero, la hipoteca inversa se ha de considerar como parte de una operación más amplia, compuesta por un conjunto de operaciones tanto financieras como actuariales. Para analizar su rentabilidad financiero-fiscal, se va a tener en cuenta lo siguiente:
1) Se va a plantear el supuesto de un individuo de edad "x" que invierte una unidad monetaria en la compra de una vivienda11, siendo la revalorización anual constante esperada, hasta el momento de la transformación en hipoteca inversa, igual a "iv".
2) Cada unidad monetaria, al cabo de "s" años se convierte en Vs unidades monetarias, es decir:

Por otro lado, antes de solicitar la transformación del activo inmobiliario en una renta, el valor de la vivienda va cambiando y, en caso de fallecimiento del titular, sus beneficiarios recibirán el valor correspondiente de la vivienda, menos el pago de impuestos por Sucesiones y Donaciones. Por tanto, el valor de la vivienda a mitad12 del año "r" después de haber hecho la primera aportación es:

Y, teniendo en cuenta el pago del impuesto de Sucesiones y Donaciones, al tipo impositivo de ese periodo, trSD, se tendrá:

3) Hasta 2011, en España, la deducción general en la cuota del Impuesto sobre la Renta, IRPF, por compra de vivienda habitual era del 15% de la cuantía invertida, con un máximo de 9.015 euros. A partir del 1 de enero de 2011, las deducciones estatales se mantienen pero solo para aquellos que tengan unas rentas inferiores a 24.107 euros anuales13. Como no siempre se puede aprovechar la totalidad de la aportación para deducir, se va a suponer que sólo un determinado porcentaje α (por ejemplo, podría situarse entre un 80% y un 100%) de la unidad monetaria invertida es deducible. Así pues, la deducción impositiva generada en el momento de la aportación, T0, será:

con lo cual la cuantía neta realmente invertida, C0, en el momento inicial, momento 0, a la edad "x", a efectos del cálculo de la rentabilidad financiero-fiscal será la cuantía bruta menos la deducción impositiva generada:

4) Además, la compra de una vivienda puede considerarse que lleva aparejado un coste de oportunidad, al dejar de pagar un alquiler para poder utilizarla. Es decir, el alquiler que deja de pagarse se considera como un ingreso adicional a la revalorización de la vivienda. Como en este caso se está invirtiendo una unidad monetaria, el alquiler será el correspondiente a esa unidad monetaria, como se comenta en la "valoración del alquiler". Se va a suponer que este importe se puede volver a reinvertir al mismo tipo de interés que el utilizado para la valoración.
5) La valoración del alquiler se va a efectuar de la siguiente forma: a partir de la ecuación de equivalencia financiera que iguala el valor de la vivienda en el momento inicial (una unidad monetaria en este caso), con el valor actual de los alquileres, Qs, que podría dejar de pagar. Para la valoración de los alquileres, uno de los métodos clásicos que se suele utilizar es una renta perpetua, creciente en progresión geométrica de razón (1 + β), donde β representa la revalorización esperada. Con iq se representa el tipo de interés de valoración:

siendo Q1 el primero de los alquileres, de donde:

6) Llegado el momento de transformar el activo inmobiliario en una renta temporal o vitalicia complementaria, a la edad14 "j", es decir, en el momento "j - x", habrá que tener en cuenta lo siguiente:
a) En primer lugar hay que determinar el valor de la vivienda, Vj-x, en el momento "j - x", con un índice de revalorización15, iv:

b) La entidad aplica un porcentaje máximo, ϒ -que podría estar entre un 60% y un 80%-, sobre el valor de la vivienda para determinar el importe máximo del que podrá disponer, de tal forma que esta cuantía, V*j-x , será:

7) La modalidad de renta y el producto elegido para su cobro influirá en la rentabilidad financiero-fiscal.
Se van a analizar las tres alternativas siguientes: modalidad temporal, modalidad vitalicia y modalidad vitalicia asociada a un plan de Previsión Asegurado, PPA.
Modalidad temporal
Consiste en contratar una renta financiera temporal, de "e" años de duración. La temporalidad depende de la edad del contratante, pudiendo tomarse como valor el de la esperanza de vida, aunque algunas entidades prefieren utilizar plazos más amplios16, lo que implica que el importe de la renta periódica que percibe el deudor hipotecario sea inferior.
La determinación de la renta se hace a partir de la ecuación de equivalencia, de tal forma que la suma financiera de dicha renta al final del plazo coincida con el importe máximo del crédito hipotecario concedido, y que ha sido determinado al principio de la operación. No hay que olvidar que lo que se concede es un crédito hipotecario, con lo que, al final del plazo, la deuda acumulada no puede ser superior al valor de la garantía sin capitalizar.
En el caso de que se considere una renta constante de cuantía CMT y el tipo de interés aplicable, ic (podría estar entre un 5% y un 7%), se tendrá la siguiente ecuación:

donde:
Se|ic es el valor final de una renta financiera, unitaria, prepagable, de "e" años de duración, valorada al tipo de interés ic.
De la fórmula (10) se obtiene el valor de la cuantía CMT, que se pagará, como máximo, durante "e" años.
La reserva o saldo financiero del crédito hipotecario, a mitad del año "t" después de haber comenzado la operación de hipoteca inversa, es decir a mitad del periodo "j - x + t", será diferente según "t" sea menor o igual que "e" o mayor que "e", ya que a partir del periodo "j - x + e" sólo se acumulan intereses, pero ya no se entregan más cuantías:

donde:
Rj-x+t , es el saldo financiero o reserva matemática del crédito hipotecario a mitad del año "j - x + t".
es el valor final de una renta financiera, unitaria, prepagable, de "t" años de duración, valorada al tipo de interés ic, actualizada medio año.
Uno de los inconvenientes de esta modalidad es que el cobro de la renta puede no cubrir toda la vida del individuo. Por otro lado, una de las ventajas es que las cuantías de las rentas están exentas de tributación, con lo que la cuantía neta de impuestos que va a recibir es la misma que se ha determinado anteriormente.
De otra parte, al final de la renta, en el momento "j - x + e", la deuda acumulada coincide con la garantía máxima de la vivienda, V*j-x , pero, al mismo tiempo, el valor de la vivienda en "j - x", Vj-x, se habrá revalorizado a un índice, iw , con lo cual el valor residual de la vivienda, VRj-x+e, en el momento "j - x + e", es decir "e" años después de haber empezado a cobrar la renta, será igual a:

Este valor residual se considerará como un ingreso a la hora de calcular la rentabilidad financiero-fiscal, pero sólo se haría efectivo en el caso de que falleciera el individuo, por lo que tendrá que ir asociado a los tantos de mortalidad correspondientes.
Ahora bien, como la operación no acaba sino cuando fallece el individuo, lo que interesa saber es la evolución del valor residual, en cualquier periodo, para poder calcular luego la rentabilidad financiero-fiscal, ajustada por probabilidades. Así pues, el valor residual a mitad de un año cualquiera, "t", después de haber empezado la transformación del activo inmobiliario, es decir en el periodo "j - x + t", será igual a la diferencia entre el valor de la vivienda a mitad de ese periodo y la reserva a mitad de periodo de la operación de crédito en la que se sustenta la hipoteca inversa:

En caso de fallecimiento del tomador, los beneficiarios tendrían que tributar por el Impuesto sobre Sucesiones y Donaciones; suponiendo que el tipo impositivo es constante, tSD, la cuantía neta de impuestos que recibirían sería:

Mientras no se cancele el crédito, se seguirán acumulando intereses a la deuda, pero, al mismo tiempo, el valor de la vivienda seguirá también revalorizándose.
Para plantear la ecuación que determine la rentabilidad financiero-fiscal, irff, de la operación conjunta, los capitales que reciba o entregue estarán afectados por la probabilidad de supervivencia (cuantía de la renta) o fallecimiento (valor residual), según corresponda. Se pondrán con signo negativo las aportaciones (sólo hay una, la inicial) y con signo positivo los ingresos. El esquema de la operación será el siguiente: La ecuación de equivalencia financiero-actuarial para determinar la rentabilidad financiero-fiscal, irff, valorada en el momento inicial, es la siguiente:

La ecuación de equivalencia financiero-actuarial para determinar la rentabilidad financiero-fiscal, irff, valorada en el momento inicial, es la siguiente:

donde:
rPx: probabilidad de que un individuo de edad "x" sobreviva "r" años, es decir, que alcance la edad "x + r".
s−1/qx: probabilidad de que un individuo de edad "x" fallezca exactamente a la edad "x + s - 1".
ω: edad límite de las tablas de mortalidad.
irff: rentabilidad financiero-fiscal.
Modalidad vitalicia con seguro de renta vitalicia diferida
Aunque se denomina de esta forma, en realidad es una combinación de una renta temporal -similar a la de la "modalidad temporal"- más la contratación de una renta vitalicia diferida pagadera a partir de que se extinga la renta temporal, pero contratada en el momento inicial. La cuantía de ambas rentas suele ser igual y constante. La diferencia más importante es que la renta temporal está exenta de tributación, pero la vitalicia diferida tributa igual que los seguros pactados con ese tipo de renta. Además, conviene tener en cuenta que el contrato de renta vitalicia diferida no genera, en el caso de fallecimiento del tomador, el derecho al cobro de ninguna cantidad.
Se va a suponer que la cuantía de la renta temporal y de la vitalicia es la misma. La determinación de la cuantía de la renta, CMV, se hace a partir de la ecuación de equivalencia, de tal forma que la suma financiera de la renta temporal al final del plazo, "e" periodos (la duración de la renta temporal es la misma que la de la modalidad descrita anteriormente) más el valor de la prima del seguro de renta vitalicia diferida, valorada en el mismo momento que la renta temporal, coincida con el importe máximo del crédito hipotecario concedido y que ha sido determinado al principio de la operación. Además, es preciso añadir otra ecuación para el cálculo de la prima, PMV, del seguro de renta diferida, para posteriormente resolver el sistema y calcular la cuantía de la renta. El tipo de interés del crédito se representa por ic, mientras que el tipo de interés técnico utilizado en la valoración de la renta vitalicia se designa por irv, pudiendo tomar un valor entre 2,5% y 3,5%17. Igualmente hay que conocer la edad del individuo, "j + e", y el sexo. La ecuación de equivalencia se obtiene de la siguiente forma:

Siendo el valor de la prima:
Con lo que, sustituyendo el valor de la prima, y despejando, se obtiene la cuantía de la renta vitalicia:
Siendo
äj+e : el valor actual de una renta vitalicia, unitaria, prepagable, para un individuo de edad "j + e", pero valorada con un tipo de interés "irv", en general, inferior al tipo de interés del crédito.
eEj : el factor de actualización actuarial hasta la edad "j" durante "e" periodos.
spj : la probabilidad de que un individuo de edad "j" sobreviva "s" años más.
ω : la edad límite de las tablas de mortalidad.
Otro aspecto destacable es el distinto tratamiento fiscal en España: la renta temporal no tributa, pero la renta vitalicia diferida -según Lecina (2008)18 y según la Fundación de Estudios Financieros (2008)- está sometida a tributación al estar ligada a un seguro de supervivencia. En este último caso, el impuesto por pagar por la renta vitalicia, Ts, en un momento "s", que es diferida porque se contrató en el momento "j - x", se obtendrá al multiplicar el tipo impositivo, tRCM 19, por el rendimiento de capital mobiliario, RCM, que, a su vez, viene determinado por la aplicación de un porcentaje fijo que depende de la edad del individuo en el momento de la contratación de la renta, incrementado en la "rentabilidad acumulada". Esta rentabilidad acumulada se calcula como la diferencia entre el valor actual actuarial de la renta que se constituye, menos el importe de las primas satisfechas, realizando un reparto lineal de esta rentabilidad en 10 años para el caso de las rentas vitalicias. Es decir:

En este caso:

donde el porcentaje por aplicar sobre la cuantía de la renta vitalicia, en función de la edad y del tipo impositivo, son los correspondientes a las rentas vitalicias inmediatas(véase tabla 1):

Con lo cual la cuantía neta de impuestos, en el momento "s", C's MV , va a ser diferente según se cobre entre "j - x" y "j - x + e" o posterior a "j - x + e", por el distinto tratamiento fiscal de las dos rentas. Es decir:

donde:
C'sMV: cuantía de la renta, neta de impuestos, por percibir en el momento "s".
TS: impuesto correspondiente al momento "s".
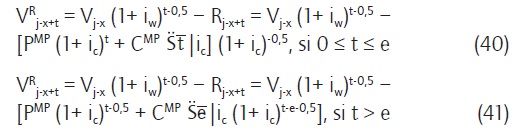
En esta modalidad, igual que en la anterior, se requiere conocer el valor residual de la vivienda. Para ello, hay que obtener la reserva o saldo financiero del crédito hipotecario a mitad de cada periodo, después de haber comenzado la operación de hipoteca inversa, es decir en el periodo "j - x + t". Se calcula de manera análoga a la de la modalidad temporal, excepto que ahora hay que incluir la prima, PMV, de la renta vitalicia diferida como una disposición inicial de crédito. Como se anotó allí, será diferente según "t" sea menor o igual que "e" o mayor que "e", ya que a partir del momento "j - x + e" sólo se acumulan intereses, pero ya no se entregan más cuantías:

donde:
es el valor final de una renta financiera, unitaria, prepagable, de "t" años de duración, valorada al tipo de interés ic, actualizado medio año.
PMV: cuantía de la prima única para comprar el seguro de renta vitalicia diferida.
De la misma manera que en la modalidad anterior, el valor residual en un momento cualquiera, t años después de haber empezado la transformación del activo inmobiliario, es decir en el momento "j - x + t", será igual a la diferencia entre el valor de la vivienda en ese momento y la reserva de la operación de crédito en la que se sustenta la hipoteca inversa:

En caso de fallecimiento del tomador, los beneficiarios tendrían que tributar por el Impuesto sobre Sucesiones y Donaciones; suponiendo que el tipo impositivo es constante, tSD, la cuantía neta de impuestos que recibirían sería:

Para plantear la ecuación que determine la rentabilidad financiero-fiscal, irff, de la operación conjunta, los capitales que reciba o entregue estarán afectados por la probabilidad de supervivencia o fallecimiento, según corresponda. Se pondrán con signo positivo los ingresos netos de impuestos y con signo negativo las aportaciones. Igual que en la modalidad anterior, en este caso, sigue habiendo una sola aportación a efectos del cálculo de la rentabilidad financiero-fiscal, ya que la cuantía de la prima correspondiente al seguro de renta vitalicia diferida, por un lado supone un ingreso, ya que se solicita como crédito a la entidad financiera, y por otro lado un desembolso, pues se entrega a la entidad aseguradora. Es decir, el valor de la prima queda integrado en el valor residual de la vivienda. El esquema de la operación será el siguiente:

La ecuación de equivalencia financiero-actuarial para determinar la rentabilidad financiero-fiscal, irff, valorada en el momento inicial, es la siguiente:

donde:
rPx: probabilidad de que un individuo de edad "x" sobreviva "r" años más; es decir, que alcance la edad "x + r".
s-1/qx: probabilidad de que un individuo de edad "x" fallezca exactamente a la edad "x + s - 1".
irff: rentabilidad financiero-fiscal.
Una de las ventajas de esta modalidad es que la cuantía cobrada pasa a tener carácter vitalicio (mediante la combinación de una renta temporal y otra vitalicia diferida). Uno de los inconvenientes es que las cuantías de la renta vitalicia diferida no están exentas de tributación, por lo que aparece en la ecuación su valor neto de impuestos, representado por C'sMV. Además, la renta vitalicia diferida no genera derecho al cobro en caso de fallecimiento.
Modalidad vitalicia mediante plan de previsión asegurado
Es un método similar al anterior, pero con la diferencia de que la renta vitalicia diferida se sustituye por un Plan de Previsión Asegurado, PPA, aprovechando que la Disposición Adicional Cuarta de la Ley 41/2007 prevé la posibilidad de que el beneficiario de una hipoteca inversa pueda destinar, total o parcialmente, los importes recibidos a la contratación de un Plan de Previsión Asegurado en los términos y condiciones previstos por la Ley 35/2006 de IRPF. De tal forma que es posible destinar todo o parte del préstamo o crédito garantizado con la vivienda a la suscripción de dicho Plan, y en el que la contingencia cubierta fuese la supervivencia de este a un plazo mínimo de diez años desde la primera aportación. Además, se añade que: a estos efectos, se asimilará a la contingencia de jubilación [...]
la situación de supervivencia del tomador una vez transcurridos diez años desde el abono de la primera prima de dicho PPA.
Las hipótesis que se van a adoptar en esta modalidad son las siguientes:
H1: La aportación al PPA será única y coincidiendo con el momento en que se solicita el crédito hipotecario.
H2: Cuando finalice el cobro de la renta temporal, el Fondo acumulado en el PPA se cambiará por una renta vitalicia, de tal forma que la operación sea lo más parecida posible a la de la modalidad vitalicia, para así poder efectuar mejor la comparación.
H3: Como el PPA es una operación posdeterminada20, y, por tanto, no se puede conocer a priori el rendimiento, se va a suponer que la rentabilidad del PPA, iP , es constante.
Se quiere obtener la misma cuantía en el tramo de la renta temporal que en el del cobro de la renta vitalicia procedente del PPA.
Para llegar hasta la ecuación de equivalencia financiero-actuarial, se empieza por una ecuación inicial que es igual a la planteada en la modalidad vitalicia, sin más que sustituir el valor de la prima por el valor de la aportación al Plan, PMP:

donde:
V*j-x : es el límite máximo del crédito concedido por la entidad financiera.
CMP: es la cuantía constante de la renta en la modalidad asociada al PPA.
PMP: es la aportación inicial y única al PPA.
: es el valor final de una renta financiera, unitaria, prepagable, de "e" años de duración, valorada al tipo de interés ic.
Aparentemente, las ecuaciones de las dos modalidades anteriores son iguales; sin embargo, el PPA permite que, en caso de fallecimiento del tomador, los beneficiarios reciban el valor de la reserva matemática, mientras que en la modalidad anterior, el fallecimiento no da lugar al cobro de ninguna cantidad. Esto significa que, si durante el periodo de constitución del PPA -que coincide con la duración de la renta temporal- falleciera el tomador, la operación terminaría con la entrega a los beneficiarios de la cuantía del fondo acumulado hasta ese momento. Por consiguiente, a la hora de calcular la rentabilidad financie-ro-fiscal habrá que afectar la reserva del PPA (durante el periodo de cobro de la renta temporal) por las probabilidades de fallecimiento. El valor de la reserva del PPA durante el plazo de la renta temporal, suponiendo que la rentabilidad, iP, ha sido constante durante todo el periodo, crece en progresión geométrica de razón igual a la rentabilidad, iP. Con todo ello, se puede plantear la ecuación que relaciona la aportación inicial al PPA con la renta vitalicia diferida que se contratará al finalizar el plazo de la renta temporal y con el seguro para caso de fallecimiento creciente en progresión geométrica, que lleva implícito el PPA:

Despejando se obtiene el valor de la aportación al PPA, donde:
: es el valor de un seguro temporal de "e" años, pagadero en el momento del fallecimiento, creciente en progresión geométrica de razón iP, para un individuo de edad "j", siendo el primer término de cuantía (1+ ip)0,5.
iP : es la rentabilidad anual, constante, esperada para el PPA.
äj+e : representa el valor actual de una renta vitalicia, unitaria, prepagable, para un individuo de edad "j + e", pero valorada con un tipo de interés "irv", en general, inferior al tipo de interés del crédito.
eEj : es el factor de actualización actuarial hasta la edad "j" durante "e" periodos.
Con lo que, sustituyendo el valor de la aportación al PPA, en la ecuación (31) y despejando, se obtiene la cuantía de la renta tanto temporal como vitalicia:

Siendo
ic : el tipo de interés del crédito concedido para la hipoteca inversa.
äj+e: representa el valor actual de una renta vitalicia, unitaria, constante, prepagable, para un individuo de edad "j + e", pero valorada con un tipo de interés "irv", en general, inferior al tipo de interés del crédito.
eEj : el factor de actualización actuarial hasta la edad "j" durante "e" periodos.
sPj : probabilidad de que un individuo de edad "j" sobreviva "s" años más.
ω: la edad límite de las tablas de mortalidad.
Además, de lo ya expuesto respecto a la deducción por inversión en vivienda habitual, de acuerdo con las características del PPA, se puede reducir la base imponible general del IRPF (para el beneficiario de la hipoteca inversa) en el importe de las cuantías aportadas, respetando los requisitos y límites establecidos en la correspondiente normativa del IRPF, mientras que la prestación tributará como rendimiento del trabajo. Por tanto:
i) De la aportación al PPA, PMP, podrá deducirse, en el momento "j - x" la cuantía siguiente:

donde:
tj-x: es el tipo impositivo del individuo en el momento "j - x".
Dj-x: es la cuantía deducida en el momento de la aportación. Se ha optado por incluirla como un ingreso más, sin modificar el resto de elementos.
ii) Sin embargo, las cuantías que reciba a partir del momento en que finalice la renta temporal, CMP, tendrán que tributar como rendimiento de trabajo al tipo impositivo de cada periodo, de tal forma que el impuesto, Ts, que tendrá que satisfacer en un periodo "s" cualquiera, será:

donde:
Ts: impuesto correspondiente a la cuantía de la renta en el periodo "s".
ts: tipo impositivo del periodo "s", por rendimiento del trabajo, que se supone constante para todos los periodos.
CMP: cuantía constante por percibir del PPA en el momento "s".
Siendo la cuantía de la renta neta de impuestos, en el momento "s", igual a:

donde:
C' sMP : cuantía de la renta, neta de impuestos, por percibir del PPA en el momento "s". Si los tipos impositivos fueran variables, la cuantía resultante también lo sería.
iii) Por otro lado, en caso de fallecimiento del propietario de la vivienda durante el periodo de cobro de la renta temporal (antes de empezar a cobrar la renta vitalicia), sus herederos recibirían la cuantía acumulada en el PPA, pero tendrían que tributar como rendimiento del trabajo. Suponiendo que el tipo impositivo, en el periodo "s", fuera ts, y teniendo en cuenta que se ha supuesto que la cuantía acumulada en el PPA crece en progresión geométrica de razón iP, se tendrá que la cuantía neta de impuestos que recibirían los herederos sería:

donde:
P'sMP: cuantía, neta de impuestos, que recibirían los herederos durante el periodo "s", en el momento "s - 0,5", ya que se supone que el "seguro de fallecimiento", cuyo capital asegurado es el valor acumulado por el PPA, hasta el momento "s", se paga, por término medio, a mitad de ese año, es decir en el momento "s - 0,5".
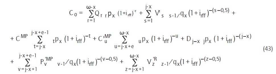
Todo lo que se ha comentado en las modalidades anteriores sobre la evolución del saldo del crédito hipotecario y sobre el valor residual es igualmente válido en esta. Las ecuaciones para determinarlo son similares a las de la modalidad vitalicia, cambiando simplemente la denominación de la aportación inicial al PPA, PMP, y la cuantía de la renta, CMP, con lo cual:
Y para el valor residual:
En caso de fallecimiento del tomador, los beneficiarios tendrían que tributar por el Impuesto sobre Sucesiones y Donaciones; suponiendo que el tipo impositivo es constante, tSD, la cuantía neta de impuestos que recibirían sería:

Igual que en las modalidades anteriores, para plantear la ecuación que determine la rentabilidad financiero-fiscal, irff, de la operación conjunta, se va a suponer que los capitales que reciba o entregue estarán afectados por la probabilidad de supervivencia o fallecimiento, según corresponda. Se pondrán con signo positivo los ingresos netos de impuestos y con signo negativo las aportaciones.
Igual que en la modalidad vitalicia, en este caso sigue habiendo una sola aportación a efectos del cálculo de la rentabilidad financiero-fiscal, ya que la cuantía de la aportación al PPA, por un lado supone un ingreso, ya que se solicita como crédito a la entidad financiera y, por otro lado, un desembolso, pues se entrega al PPA. Es decir, el valor de la aportación queda integrado en el valor residual de la vivienda.
Otra diferencia, con respecto a la modalidad vitalicia, es habiendo una sola aportación a efectos del cálculo de la que ahora es preciso incluir el posible cobro del valor acurentabilidad financiero-fiscal, ya que la cuantía de la apor-mulado en el PPA (valorado a mitad de año) si fallece el tación al PPA, por un lado supone un ingreso, ya que se individuo antes de empezar a cobrar la renta vitalicia. Des-solicita como crédito a la entidad financiera y, por otro pués ya no tienen ningún derecho porque se ha supuesto lado, un desembolso, pues se entrega al PPA. Es decir, el que se cambia el valor acumulado por una renta vitalicia valor de la aportación queda integrado en el valor residual sin garantía. Con todo ello, el esquema de la operación de la vivienda. será el siguiente:

La ecuación de equivalencia financiero-actuarial para determinar la rentabilidad financiero-fiscal, irff, valorada en el momento inicial, es la siguiente:

donde:
rPx: probabilidad que un individuo de edad "x" sobreviva "r" años más; es decir, que alcance la edad "x + r".
u-1/qx: probabilidad que un individuo de edad "x" fallezca exactamente a la edad "x + u - 1".
irff: rentabilidad financiero-fiscal.
Aunque todos los cálculos se han realizado para el caso de España, no sería muy complejo ajustarlos a la normativa que, en materia fiscal, tenga cada país.
Los datos base utilizados para hacer los cálculos han sido los siguientes21:
Edad inicial, x: 30 años.
Porcentaje deducción vivienda, α: 80%.
Tipo de valoración para la obtención del alquiler, iq: 3%.
Índice de revalorización del alquiler, β: 2%.
Edad de contratación de la hipoteca inversa, j: 70 años.
Índice de revalorización histórico de la vivienda, iv: 3%.
Porcentaje sobre tasación de la vivienda, ϒ: 80%.
Duración de la renta temporal, e: 20 años.
Tipo de interés del crédito hipotecario, ic: 6,5%.
Índice de revalorización futuro de la vivienda, iw: 3%.
Tipo de interés de la renta vitalicia, irv: 3%.
Rentabilidad esperada del Plan de Previsión Asegurado, iP:3%.
Tipo impositivo por el Rendimiento del Capital Mobiliario, tRCM: 19%.
Tipo impositivo en el momento de la aportación al PPA,tj: 24%.
Tipo impositivo en cualquier momento del cobro de la renta vitalicia diferida, tj+e+s: 24%.
Tipo impositivo aplicable al cobro del capital obtenido por el seguro de fallecimiento, tj+s: 24%.
Tablas de mortalidad: INE 2004-2005.
En la tabla 2 se presentan los resultados de las principales variables para cada una de las tres modalidades analizadas y para cada sexo por separado.
Lo más importante de los resultados expuestos es la alta rentabilidad obtenida en todos los casos, casi un 4%, comparada con el 3% de rentabilidad esperada para el PPA, que, a su vez coincide con los tipos utilizados en todas las valoraciones, excepto, naturalmente, en la del crédito, que es el 6,5%. En un Plan de Pensiones (o figuras afines como Plan de Previsión Asegurado), con las hipótesis establecidas (tipo impositivo en el momento de la aportación igual al tipo impositivo en el momento del reembolso), la rentabilidad financiero-fiscal hubiera sido igual a la rentabilidad financiera, es decir, el 3%. Cualquier otra operación alternativa que se hubiera elegido implicaría el pago de impuestos, con lo que su rentabilidad financiero-fiscal estaría por debajo de la rentabilidad financiera (3%). Así, por ejemplo, para las operaciones de ahorro en España, cuyo tipo impositivo es, en general, del 19%, la rentabilidad financiero-fiscal depende del plazo, variando entre 2,49% para 10 años y 2,64% para 40 años.
También se muestra como una variable relevante la edad de comienzo de la operación. Por cada diez años de retraso en la compra de vivienda, se reduce la rentabilidad de la operación en casi medio punto, como puede verse en el gráfico 1. Se cree que, por tanto, es una variable muy importante a la hora de decantarse por esta operación, lo cual no suele ser tan relevante en otro tipo de productos. Esto se debe a que influye en múltiples elementos, como en el valor de la vivienda en el momento de constituir la hipoteca inversa, en la cuantía de la renta, en el número de alquileres por considerar, etc. Según las hipótesis establecidas, para individuos de 51 años la rentabilidad financiero-fiscal se iguala con la financiera, y a partir de esa edad sería inferior.

La pequeña diferencia entre la rentabilidad financiero-fiscal de las tres modalidades se explica porque la operación es a muy largo plazo (desde la edad de 30 años hasta el final de las tablas de mortalidad, que son 100 en las del INE, 2004-2005), siendo el peso de las deducciones fiscales y de los impuestos muy pequeño en comparación con los capitales manejados. El efecto de las características comerciales (impuestos y otros gastos) se diluye entre el amplio número de periodos de duración de la operación.
La rentabilidad financiera fiscal en el caso de las mujeres es menor, debido a que el valor residual, que está afectado por las probabilidades de fallecimiento (las de las mujeres son, por regla general, menores que las de los varones) tiene mayor peso que el resto de componentes: alquileres y renta temporal, que están relacionados con la probabilidad de supervivencia.
Para analizar la influencia de las distintas hipótesis utilizadas en la rentabilidad financiero-fiscal, se van a ir cambiando de una en una las más relevantes. Como se puede ver en la tabla 3, la rentabilidad financiero-fiscal es poco sensible ante los cambios de algunas de las variables, debido, como se ha comentado antes, a la gran duración de la operación, que diluye el efecto de muchas de ellas. Pero también genera importantes variaciones para otro conjunto de elementos. La desaparición de la deducción fiscal por compra de vivienda (α = 0%) disminuye de forma significativa la rentabilidad, siendo aún más importante esta reducción cuando no se incluye el alquiler como coste de oportunidad, llegando a ser muy parecida a la rentabilidad financiera. Un cambio en la revalorización de la vivienda, tanto pasada como futura, también genera modificaciones sustanciales. La modificación de la tabla de mortalidad utilizada tampoco genera variaciones considerables en la rentabilidad. La modificación en los tipos impositivos sólo afecta a la modalidad asociada al PPA, siendo prácticamente inapreciable.
La conclusión más importante que se deriva del presente trabajo es que la utilización de la hipoteca inversa, como parte de una operación más amplia, es altamente recomendable por la elevada rentabilidad financiero-fiscal obtenida.
La operación más amplia en la que estaría integrada la hipoteca inversa incluye la inversión en vivienda, junto con la consideración del alquiler como un ingreso, y junto con la utilización del valor residual como capital asegurado de un seguro para caso de fallecimiento. El tratamiento que se le ha dado tanto al alquiler como al denominado valor residual, para el cálculo de la rentabilidad financiero-fiscal, consideran los autores que es otra de las aportaciones del trabajo.
También conviene señalar, como otro aporte, que, en la modalidad asociada al PPA se ha concebido como seguro para caso de fallecimiento temporal el valor constituido en el PPA, mientras no se cobre la renta diferida. Esto ha permitido diferenciarla de la modalidad vitalicia, donde el seguro de renta vitalicia diferida no contemplaba la posibilidad de cobrar ninguna cantidad en caso de fallecimiento.
Otra de las ventajas de la inversión en vivienda es que, además, una vez realizada, siempre será posible no utilizar la hipoteca inversa como opción, o elegir cualquiera de las otras alternativas que se presentan para convertir el activo inmobiliario en una renta. La rentabilidad financie-ro-fiscal hubiera sido mucho mayor si se hubiera utilizado como índice de revalorización de la vivienda una tasa más próxima a la real, ya que, como se ha visto en la tabla 3, estos índices son los que generan mayores cambios en la rentabilidad.
También los autores son conscientes de que la compra de una vivienda plantea un problema de tamaño de la inversión. En realidad, la compra de vivienda no es una inversión fraccionable (como se ha supuesto); sin embargo, a pesar de esta hipótesis que se hizo para llevar a cabo el estudio, los autores creen que los resultados son igualmente válidos, ya que suele ser posible planificar la compra por ser a muy largo plazo o acomodar la cuantía desembolsada por la vivienda a las posibilidades del inversor.
En la comparación con otras operaciones, como Planes de Pensiones, también resulta mucho mejor la inversión en vivienda, por la gran diferencia que existe en la rentabilidad financiero-fiscal. Con el resto de operaciones que tienen que pagar impuestos en algún momento, la diferencia es aún mayor.
Igualmente se pudo determinar una edad "crítica" de compra de la vivienda, a partir de la cual la rentabilidad financiero-fiscal pasa a ser inferior a la rentabilidad financiera, con lo que podría ser interesante invertir en algún producto alternativo, como los Planes de Pensiones.
Por último, los autores añaden que están de acuerdo con lo que figura en el propio preámbulo de la Ley 41/2007 donde se afirma que: "No cabe duda, pues, de que el desarrollo de un mercado de hipotecas inversas que permitan a los mayores utilizar parte de su patrimonio inmobiliario para aumentar su renta ofrece un gran potencial de generación de beneficios económicos y sociales. La posibilidad de disfrutar en vida del ahorro acumulado en la vivienda aumentaría enormemente la capacidad para suavizar el perfil de renta y consumo a lo largo del ciclo vital, con el consiguiente efecto positivo sobre el bienestar".
También sería interesante resaltar que este tipo de operación podría ser fácilmente utilizada en otros países para los que no existe, actualmente, una normativa específica. Naturalmente, la rentabilidad financiero fiscal variará según las ventajas fiscales de cada uno de los productos o de las modalidades en los que se basa el estudio y, sobre todo, de la que se le otorgue a la propia hipoteca inversa.
1 El presente trabajo está financiado parcialmente por un Proyecto de Investigación del Ministerio de Ciencia e Innovación español, cuya referencia es: ECO2008-01085/ ECON. Una versión previa se presentó en las XX Jornadas Hispano-Lusas de Gestión Científica.
2 Estados Unidos, Gran Bretaña, Australia, Canadá, Irlanda, Japón, Países Bajos, entre otros, tienen productos similares.
3 En concreto, en la Disposición Adicional Primera de la Ley 41/2007, de 7 de diciembre, por la que se modifica la Ley 2/1981, de 25 de marzo, de Regulación del Mercado Hipotecario y otras normas del sistema hipotecario y financiero, de regulación de las hipotecas inversas y el seguro de dependencia y por la que se establece determinada norma tributaria. Con la aprobación de esta ley, se cumple con lo dispuesto en la Disposición Adicional Séptima de la Ley 39/2006 de 14 de diciembre, de promoción de la autonomía personal y atención a las personas en situación de dependencia. Además (según la Disposición Adicional cuadragésima tercera de la Ley 27/2011 de 1 de agosto, sobre actualización, adecuación y modernización del sistema de Seguridad Social), está previsto que antes del 2 de agosto de 2012 se aprueben las normas reglamentarias de desarrollo de la hipoteca inversa.
4 Entre los que cabe citar Quesada (2009), Serrano (2008) y Zurita (2008).
5 Proporciona un enlace para poder calcular la cuantía de la renta correspondiente a la hipoteca inversa.
6 Así es como se denominan en Edad y Vida (2005).
7 En Edad y Vida (2005) se puede ver un amplio análisis de este tipo de
productos.
8 Según la Disposición Adicional Decimoquinta de la Ley del IRPF, sobre "Disposición de bienes que conforman el patrimonio personal para asistir las necesidades económicas de la vejez y de la dependencia", se establece que: "No tendrán la consideración de renta las cantidades percibidas como consecuencia de las disposiciones que se hagan dela vivienda habitual por parte de las personas mayores de 65 años, así como de las personas que se encuentren en situación de dependencia severa o de gran dependencia a que se refiere el artículo 24 de la Ley de promoción de la autonomía personal y atención a las personas en situación de dependencia, siempre que se lleven a cabo de conformidad con la regulación financiera relativa a los actos de disposición de bienes que conforman el patrimonio personal para asistir las necesidades económicas de la vejez y de la dependencia".
9 Se puede ver un análisis completo de la rentabilidad financiero fiscal en Meneu et al. (1994).
10 A pesar de que se va a realizar un análisis financiero exhaustivo de la hipoteca inversa, otro de los objetivos del trabajo es la comparación con otras operaciones de ahorro, por lo que se parte de que el "ahorrador" dispone de una unidad monetaria para invertirla en el activo que desee, con lo cual no tiene que pedir prestada ninguna cantidad.
11 En realidad la compra de vivienda no se puede considerar como una inversión fraccionable, ya que implica un elevado importe de la inversión. A efectos de comparación con otras operaciones, se va a considerar que es fraccionable.
12 Se utiliza la valoración a mitad de periodo porque esta cuantía está relacionada con un seguro de fallecimiento pagadero en el momento en que ocurra, pero al suponer distribución uniforme de los fallecimientos se aproxima el pago a mitad del periodo de referencia, según la asunción de Bernoulli.
13 Se sigue aplicando el 15%, pero el límite máximo deducible depende del nivel de renta. Por otro lado, algunas Comunidades Autónomas han complementado las deducciones estatales por compra de vivienda.
14 Normalmente coincidirá con la edad de jubilación. La Reforma de las pensiones aprobada en España en 2011 (Ley 27/2011) ha modificado la edad legal de jubilación, si bien el desarrollo teórico y todos los resultados no se verán afectados por esta modificación legislativa.
15 Por simplicidad operativa se ha supuesto un índice de revalorización de la vivienda constante, si bien se es consciente de que para determinados plazos, como durante los actuales años de crisis, su valor real puede ser muy diferente del utilizado. De todas maneras, hay que considerar que la operación analizada es de muy larga duración, con lo que el error de utilizar un valor constante para la revalorización no debe ser muy significativo.
16 Por ejemplo, Caixa Terrassa ofrece una duración de la renta que va desde 20 años para una edad de 70, hasta 9 años para una edad de 89; siendo las esperanzas de vida muy inferiores: 13 para varones y 16 para mujeres a la edad de 70 años, y de 3 y 4 años, respectivamente, para la edad de 89 años, según las tablas del INE 2004-2005.
17 El tipo de interés técnico máximo aplicable para el cálculo de la provisión de seguros de vida, para 2011, según la Dirección General de Seguros y Fondos de Pensiones española es del 2,89%, que se encuentra en el intervalo utilizado como referencia.
18 "Como se constata que se asume que la prestación de cualquier contrato de seguro de supervivencia relacionado con la hipoteca inversa se considera sometido a tributación como rendimiento del capital mobiliario, se tiene en cuenta el tratamiento fiscal de las rentas vitalicias..." Lecina (2008, p. 3).
19 A partir de 1 de enero de 2010, el tipo impositivo es el mismo que para el resto de operaciones de ahorro: el 19% para los primeros 6000 euros de base liquidable, y el 21%, a partir de esa cantidad. Antes de 1 de enero de 2010 se aplicaba un porcentaje único del 18%.
20 Aunque existe una garantía de tipo de interés, la rentabilidad real del Plan no se conoce a priori.
21 Se ha optado por utilizar como índice de revalorización el 3% para todas las variables -que coincide con la rentabilidad financiera-, excepto el del alquiler que se ha supuesto igual al 2% (coincidente con la inflación esperada). Por otro lado, el tipo de interés del crédito principales resultados obtenidos hipotecario utilizado ha sido del 6,5%, valor aproximado al utilizado por las entidades que han comercializado la hipoteca inversa. Aunque y análisis de sensibilidad los autores son conscientes de que el índice de revalorización de la vivienda ha sido mucho más elevado -concretamente, el 8,45% para Aunque todos los cálculos se han realizado para el caso de la serie desde 1985 hasta 2011, procedente de la Sociedad de Tasación España, no sería muy complejo ajustarlos a la normativa S.A.-, se ha optado porque este valor no distorsione el resultado al que, en materia fiscal, tenga cada país.compararlo con otros productos.
Referencias bibliográficas
Banco de España. (2008). Encuesta Financiera de las Familias 2008. Madrid. [ Links ]
Costa, J., Gil, J. & Mascarilla, O. (2006). Preferencias de la población ante la financiación de la dependencia: La Hipoteca Inversa en España. Estudios sobre la Economía Española, 230, FEDEA. [ Links ]
Costa, J., Gil, J. & Mascarilla, O. (2007). Capacidad de la vivienda en propiedad como instrumento de financiación de las personas mayores en España. Madrid: Edad y Vida. [ Links ]
Devesa, J. E., Devesa, M., Domínguez, I., Encinas, B., Meneu, R. & Nagore, A. (4 y 5 de febrero de 2010). La hipoteca inversa. Análisis financiero y comparación con otras alternativas de ahorro-pensión. Ponencia presentada a las XX Jornadas Hispano-Lusas de Gestión Científica. Setúbal (Portugal). [ Links ]
Debón, A., Montes, F. & Sala, R. (2009). Tablas dinámicas de mortalidad. Una aplicación a la hipoteca inversa en España. Valencia: Publicacions de la Universitat de València. [ Links ]
Edad y Vida. (2005). Conversión de activos inmobiliarios en renta. Madrid: Edad y Vida. [ Links ]
Fundación de Estudios Financieros (2008). Instrumentos financieros para la jubilación. Molinas, C. (Dir.). Papeles de la Fundación, 24, 1-199. [ Links ]
Lecina, J. M. (2008). Hipoteca inversa y revalorización de la pensión. Actuarios, 28, 1-23 del Dossier. [ Links ]
Meneu, V., Jordá, M. P. & Barreira, M. T. (1994). Operaciones financieras en el mercado español. Barcelona: Editorial Ariel Economía. [ Links ]
Quesada, A. (2009). La hipoteca inversa: ¿Una opción realmente atractiva? Revista del Ministerio de Trabajo e Inmigración, 81, 135-148. [ Links ]
Sánchez, I., López, S. & Quiroga, R. (marzo, 2007). Diseño de hipotecas inversas en el mercado español. Instituto de Mayores y Servicios Sociales. Proyecto 205/05. [ Links ]
Serrano, A. (2008). Régimen jurídico de la hipoteca inversa. Revista de Derecho Privado, 92(2), 33-61. [ Links ]
Taffin, C. (2006). La hipoteca inversa o vitalicia. Asociación Hipotecaria Española. Informes externos. [ Links ]
Zurita, I. (2008). La nueva normativa reguladora de la hipoteca inversa. Revista Crítica de Derecho Inmobiliario, 84(707), 1275-1320. [ Links ]














