Services on Demand
Journal
Article
Indicators
-
Cited by SciELO -
Access statistics
Related links
-
Cited by Google -
Similars in
SciELO -
Similars in Google
Share
Innovar
Print version ISSN 0121-5051
Innovar vol.24 no.51 Bogotá Jan./Mar. 2014
https://doi.org/10.15446/innovar.v24n51.41536
http://dx.doi.org/10.15446/innovar.v24n51.41536
¿Es Chile un mercado competitivo? Análisis de la persistencia de la rentabilidad aplicando un panel dinámico
Is chile a competitive market? Analysis of persistence of profits using a dynamic panel approach
Le chili est-il un marché compétitif? Analyse de la persistance de la rentabilité en appliquant un panel dynamique
O chile é um mercado competitivo? Análise da persistência da rentabilidade aplicando um painel dinâmico
Claudio Araya SassiI, Pablo RodrigoII, Francisco MoralesIII
IM.Sc. in Management, Universidad Adolfo Ibáñez, Chile Estudiante doctorado en Ingeniería Industrial, Pontificia Universidad Católica de Valparaíso (PUCV), Chile. Profesor con dedicación parcial, Escuela de Ingeniería Industrial, PUCV, Chile Correo electrónico: claudio.araya.s@mail.pucv.cl
IIPh.D. in Management Sciences, ESADE Business School. Profesor Asociado, Escuela de Negocios, Universidad Adolfo Ibáñez, Chile Correo electrónico: prodrigo@uai.cl
IIIM.Sc. in Management, Universidad Adolfo Ibáñez, Chile Investigador Asistente, Escuela de Negocios, Universidad Adolfo Ibáñez, Chile Correo electrónico: fcomorales@uai.cl
Recibido: septiembre de 2012 Aprobado: julio de 2013
Resumen:
La persistencia de las rentabilidades es un fenómeno largamente estudiado, tanto en países desarrollados como en países en desarrollo. Sin embargo, la evidencia empírica es mixta. Mientras algunos estudios sugieren que las firmas compitiendo en países en desarrollo tienen niveles de persistencia menores, también existen estudios que señalan que la persistencia de las rentabilidades es menor en firmas de países desarrollados. En este estudio se utiliza una metodología de panel dinámico para analizar el nivel de persistencia de la rentabilidad de firmas compitiendo en Chile. Los resultados sugieren que en Chile existe un entorno competitivo más bien débil, que no logra erosionar sustantivamente el desempeño de las firmas, situando al país en un nivel de competitividad interna incluso menor al de países de un nivel de desarrollo económico inferior.
Palabras clave: persistencia de la rentabilidad, panel dinámico, organización industrial.
Abstract:
The phenomenon of persistence of profits has been studied for a considerable time in both developed and developing countries. However, the empirical evidence is inconsistent: while some research suggests that companies operating in developing countries display lower persistence levels, other studies find this to be the case for firms in developed countries. This paper uses a dynamic panel approach to examine the persistence of profits of companies operating in Chile. The results suggest that Chile's competitive environment is relatively weak and incapable of eroding company performance significantly. Chile displays lower levels of competetiveness even than countries with lower levels of economic development.
Key words: Persistence of profits, dynamic panel, industrial organization.
Résumé:
La persistance des rentabilités est un phénomène largement étudié, tant dans les pays développés que dans les pays en voie de développement. Malgré tout, l'évidence empirique est mixte: alors que certaines études suggèrent que les firmes qui concourent dans les pays en développement ont des niveaux de persistance mineurs, il existe des études qui signalent que la persistance des rentabilités est mineure dans des entreprises de pays développés. Cette étude s'appuie sur une méthode de panel dynamique pour l'analyse du niveau de persistance de la rentabilité de firmes concourant au Chili. Les résultats suggèrent qu'au Chili il existe un environnement concurrentiel plutôt faible qui ne parvient pas à éroder substantiellement l'implication des firmes, situant le pays à un niveau de concurrence interne même moindre que celui de pays ayant un niveau de développement économique inférieur.
Mots-clés: persistance de la rentabilité, panel dynamique, organisation industrielle.
Resumo:
A persistência das rentabilidades é um fenômeno amplamente estudado, tanto em países desenvolvidos quanto em países em via de desenvolvimento. Contudo, a evidência empírica é variada: enquanto alguns estudos sugerem que as firmas que competem em países em desenvolvimento têm níveis de persistência menores, também existem estudos que indicam que a persistência das rentabilidades é menor em firmas de países desenvolvidos. Neste estudo, utiliza-se uma metodologia de painel dinâmico para analisar o nível de persistência da rentabilidade de firmas que competem no Chile. Os resultados sugerem que no Chile existe um ambiente competitivo mais fraco, que não consegue acabar substancialmente o desempenho das firmas, o que situa o país em um nível de competitividade interna inclusive menor ao de países de um nível de desenvolvimento econômico inferior.
Palavras chave: persistência da rentabilidade, painel dinâmico, organização industrial.
Introducción
La premisa fundamental de un sistema de mercado establece que la competencia reduce las utilidades de las firmas, lo que lleva a equilibrar los costos y beneficios marginales (Cable & Mueller, 2008). De acuerdo a la visión neoclásica de la competencia, cuando existe desequilibrio algunas firmas van a entrar y otras van a salir del mercado. Esto llevará a que el mercado alcance nuevamente el equilibrio, de modo que cualquier desempeño sobrenormal será erosionado. La erosión en el desempeño, a su vez, lleva a que los desempeños de las firmas tiendan a converger a un mismo nivel de largo plazo (Goddard, Liu, Molyneux & Wilson, 2011; Revilla & Fernández, 2013).
La visión neoclásica ha sido ampliamente cuestionada en la literatura de la estrategia organizacional, ya que dicha visión no permite explicar por qué algunas firmas sí pueden obtener persistentemente desempeños mejores a los de sus competidores. De hecho, el objetivo principal de la estrategia empresarial es generar un desempeño organizacional superior al de la competencia y evitar que éste pueda ser erosionado (Barney, 1991). En general, la evidencia empírica sugiere que el equilibrio competitivo no siempre se alcanza (Chacar & Vissa, 2005; Cable & Mueller, 2008; Díaz & Vassolo, 2010; Glen, Lee & Singh, 2003; Muller, 1986; Muller, 1990; Tarziján & Eyleerts, 2010), lo que indica que las organizaciones pueden mantener desempeños superiores, o en su defecto inferiores, a los de la competencia.
Considerando que es difícil observar los efectos de la visión neoclásica en la práctica, los académicos investigan en qué medida un mercado se asemeja a la competencia perfecta. Para estudiar esto, los investigadores utilizan el concepto de "coeficiente de persistencia", el cual indica qué parte de la rentabilidad del período anterior de una firma se mantiene en el período siguiente (Tarziján, Brahm & Daiber, 2005). Este coeficiente puede ser estimado mediante dos enfoques: 1) el enfoque estático y 2) el enfoque dinámico de la competencia. En el primero, el equilibrio competitivo se logra en cada período de tiempo estudiado, mientras que en el segundo dicha igualdad se logra en el largo plazo. A pesar de que se ha sugerido que los beneficios anormales deberían desaparecer rápidamente (Mueller, 1977), la influencia de las variables que afectan a la rentabilidad de la firma no necesariamente se observa en su totalidad en un período de tiempo, ya que su efecto podría prevalecer durante más de un período. Por lo tanto, es necesario utilizar modelos basados en el enfoque dinámico de la competencia.
La mayoría de los estudios de persistencia de la rentabilidad han utilizado modelos econométricos de series de tiempo basados, principalmente, en el modelo de Muller (1977, 1986). Estos modelos son autorregresivos de diferentes órdenes, estimados para las diferentes firmas de manera individual. Adicionalmente, se han estimado modelos en forma separada para diferentes países con el objetivo de calcular los coeficientes de persistencia en función de diversas variables estructurales de las firmas y las industrias (Muller, 1990; Kessides, 1990; Glen et al., 2003; Tarziján & Eyleerts, 2010).
En el presente estudio se verifica si es que las rentabilidades de las firmas tienden a cero o si, en cambio, persisten en el largo plazo. El principal objetivo corresponde a la verificación de la existencia del entorno competitivo en Chile, utilizando una metodología que no ha sido utilizada en países en desarrollo y que, en general, no ha sido utilizada en muestras de firmas de países desarrollados. Los resultados del estudio contribuyen a complementar los resultados presentes en la literatura sobre la visión dinámica de la competencia y sobre la persistencia de las rentabilidades de firmas en un país emergente, ya que se utiliza una metodología de panel dinámico, que es distinta a la que ha sido utilizada en estudios similares. Este método de estimación permite evitar problemas que surgen a partir de heterogeneidad de las firmas, ya que incorpora el hecho de que existen ciertas variables no observables y no incluidas en los modelos de esta investigación, que pueden afectar la rentabilidad de las firmas. Sin embargo, a pesar de la diferencia metodológica, los resultados son consistentes (e incluso más determinantes) con los de estudios anteriores.
Este artículo se estructura como sigue. En la sección siguiente se realiza una revisión de la literatura, a partir de la cual se describe la pregunta de investigación del estudio. Luego, en la sección de la metodología, se describen los datos utilizados y los modelos de panel dinámico empleados. En la cuarta sección se describen los resultados. Finalmente, en las dos últimas secciones se analizan los resultados y se concluye con base en ellos, así como también se entregan pautas para investigaciones futuras.
Revisión de la literatura
Persistencia de rentabilidades sobrenormales
Mueller (1977) señala que "en una economía de mercado eficiente, los beneficios sobre o bajo lo normal deberían rápidamente desaparecer" (Mueller, 1977: 369). Si bien el entorno de las firmas, las acciones de los competidores y las preferencias de los consumidores pueden afectar tanto positiva como negativamente la rentabilidad de las firmas, el movimiento de recursos desde actividades que logran beneficios subnormales hacia actividades que obtienen beneficios sobrenormales deberían llevar todas las rentabilidades a niveles competitivos (Mueller, 1977). Sin embargo, tanto los análisis conceptuales (Barney, 1991; Lippman & Rumelt, 2003; Peteraf, 1993) como la evidencia empírica (Cable & Mueller, 2008; Díaz & Vassolo, 2010; Glen, Lee & Singh, 2003; Muller, 1986; Muller, 1990; Tarziján & Eyleerts, 2010) sugieren que la rentabilidad de las firmas tiende a persistir en el tiempo.
En la literatura de administración estratégica existen diferentes teorías que ayudan a entender por qué algunas firmas son capaces de mantener su desempeño superior.

En la década de los 70', la explicación se ubicaba a nivel de la industria (Porter, 1981). Las firmas que se situaran en industrias con altas barreras de entrada podrían proteger su desempeño económico, evitando que éste fuera erosionado debido a la falta de competencia. Luego, en la década de los 90' se propone que las firmas son heterogéneas, incluso dentro de una misma industria, por lo que ciertas firmas podrían poseer recursos que les permitieran alcanzar un desempeño superior al de la competencia (Barney, 1991; Peteraf, 1993). En la actualidad, los investigadores sugieren que, además de la importancia de la industria y de la firma misma, el entorno es crítico para el desempeño. De esta manera, el desarrollo institucional de los países es destacado como un factor relevante para el desempeño de las firmas (Peng, Sun, Pinkham & Chen, 2009). Se puede argumentar, entonces, que desde el punto de vista de la administración estratégica, la persistencia de la rentabilidad es un fenómeno que puede ser explicado a partir de las diferentes visiones que describen el impacto de las decisiones de una firma y de su entorno en la rentabilidad.
Con el objetivo de determinar en qué medida las rentabilidades se mantienen en el tiempo, los investigadores han utilizado el concepto de "coeficiente de persistencia". Este coeficiente corresponde al porcentaje de la rentabilidad de las firmas que se mantiene de un período de tiempo a otro (Tarziján et al., 2005). Valores de este coeficiente significativamente menores a uno âes decir, cercanos a ceroâ sugieren que las rentabilidades convergen al nivel medio de rentabilidad (Jacobsen, 1988), situación en la cual no existen firmas con desempeños sobre los normales. Mueller (1977) fue uno de los primeros en destacar la necesidad de utilizar métodos dinámicos en lugar de métodos estáticos para determinar el coeficiente de persistencia. Precisamente Mueller (1977, 1986) realiza algunos de los primeros estudios basados en la metodología de series de tiempo. En estos estudios, Mueller encuentra evidencia de que las rentabilidades de las firmas tienden a converger a la rentabilidad promedio de la muestra utilizada. Sin embargo, el autor también encuentra que una parte de las firmas estudiadas experimenta persistencia de sus rentabilidades (Mueller, 1977, 1986).
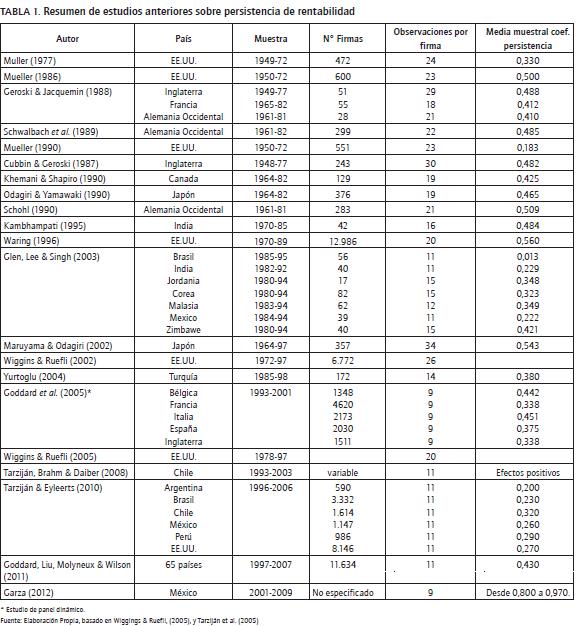
A partir de la metodología propuesta por Muller (1986) se han desarrollado una serie de estudios que utilizan diferentes muestras que, sin embargo, obtienen resultados similares. Por ejemplo, Cubbin & Geroski (1987), utilizando una muestra de firmas de Inglaterra para el período 1951-1977, encuentran que el 66% de la muestra convergió hacia el nivel de rentabilidad promedio, mientras que el grupo restante es capaz de mantener su desempeño sobre normal a pesar de las fuerzas competitivas. Utilizando una muestra de firmas de tres países desarrollados (Inglaterra, Francia y Alemania), Geroski & Jacquemin (1988) encuentran que no existe un entorno totalmente competitivo, ya que las firmas experimentan la persistencia de sus rentabilidades. Mueller (1990) analiza una muestra de firmas estadounidenses y encuentra que existe persistencia de sus rentabilidades, aunque el efecto es menor que el encontrado en Mueller (1986), su estudio anterior. Por su parte, Goddard, Tavakoli & Wilson (2005) encuentran que el coeficiente de persistencia de las firmas del Reino Unido es de 0,334, mientras que el de las firmas de Italia es 0,4511. De esta forma, se observa que estudios recientes de firmas que operan en países desarrollados muestran que la persistencia de la rentabilidad es un fenómeno que aún está presente en el desempeño de las firmas (Cable & Mueller, 2008).
A pesar de la existencia de evidencia que sugiere que la rentabilidad de las firmas perdura en el tiempo, algunos autores señalan que este fenómeno tiende a desaparecer en la medida que los países crecen. Díaz & Vassolo (2010) proponen que, en la medida que aumenta el desarrollo de las instituciones en un país, la persistencia de la rentabilidad tenderá a reducirse. Este argumento se basa en que el desarrollo de las instituciones reduce barreras de entradas que ayudarían a las firmas que se encuentran compitiendo dentro de ese país a proteger su desempeño (Goddard et al., 2011). En línea con lo anterior, Goddard et al. (2011) encuentran evidencia que sugiere que la persistencia de la rentabilidad es mayor en países con instituciones débiles. Sin embargo, estudios realizados en países desarrollados (Choi & Wang, 2009) o en muestras que incluyen una amplia selección de países (Goddard et al., 2011; Shehzad, De Haan & Scholtens, 2013) también muestran que existe imperfección en la competencia. Choi & Wang (2009), por ejemplo, muestran que una buena relación con los stake holders permite que las firmas de buen desempeño mantengan su rentabilidad en el tiempo. De esta forma, a pesar de que el desarrollo institucional pueda mejorar el nivel de competencia, la evidencia empírica muestra que la persistencia de la rentabilidad es un fenómeno que aún existe en países desarrollados.
Si bien la mayoría de los estudios de persistencia de la rentabilidad se han realizado en el contexto de países desarrollados, existen algunos que proveen evidencia respecto a este fenómeno en países en vías de desarrollo (Chacar & Vissa, 2005; Díaz & Vassolo, 2010; Glen, Lee & Singh, 2003; Tarziján et al., 2008; Tarziján & Eyleerts, 2010). La evidencia existente en este contexto es de carácter mixto, sugiriendo que en los países en vías de desarrollo el nivel de persistencia de rentabilidad es mayor que en países desarrollados mientras que, por otro lado, existen estudios que sugieren que el nivel de persistencia es menor en países en vías de desarrollo. En particular, Díaz & Vassolo (2010) encuentran que la persistencia de la rentabilidad es mayor en Latinoamérica, comparada con la que experimentan las firmas en Estados Unidos. De todos los países latinoamericanos presentes en la muestra, Chile obtiene el mayor nivel de persistencia de rentabilidad. Los autores destacan, sin embargo, que en los últimos años el nivel de persistencia en Chile ha disminuido notablemente. También existe evidencia que sugiere que las firmas de bajo desempeño2 tienen niveles de persistencia mayores en países en vías de desarrollo que en países desarrollados (Chacar y Vissa, 2005; Tarzijan et al., 2008).
Por su parte, existen estudios que sugieren que el nivel de persistencia de la rentabilidad en países desarrollados es mayor que el que se encuentra en países en desarrollo. Tarziján & Eyleerts (2010), por ejemplo, utilizan un modelo de series de tiempo para estimar los coeficientes de persistencia de Estados Unidos y seis países en desarrollo: Argentina, Brasil, Chile, México, Perú y Colombia. Los autores encuentran que los coeficientes de persistencia están en el rango de 0,2 (Argentina) a 0,33 (Colombia). En este estudio, Chile obtiene un valor muy cercano al máximo de la muestra (0,32), mientras que Estados Unidos obtiene un valor de 0,27, el cual lo sitúa con un nivel de competencia interna menor al de Argentina, Brasil y México. Por otra parte, estudios que agrupan firmas de alto y bajo desempeño encuentran que las firmas de alto desempeño en países en desarrollo tienen iguales (Chacar & Vissa, 2005) o mayores niveles de persistencia que en países desarrollados (Tarzijan et al., 2008).
A pesar de que no incluyen países desarrollados en su muestra y solo comparan los coeficientes de persistencia de otros estudios, Glen et al. (2003) señalan que la intensidad de la competencia es mayor en países emergentes, ya que los coeficientes de persistencia que ellos encuentran para países en desarrollo son menores a los de países desarrollados reportados en otros estudios. En dicho estudio, que incluye firmas de México, Brasil y de algunos países asiáticos, Brasil obtiene el menor coeficiente de persistencia (0,013). De esta forma, es posible observar que en la literatura existe evidencia contrapuesta respecto a la relación de persistencia de rentabilidad entre países en vías de desarrollo y países desarrollados.
Aspectos empíricos del análisis de la persistencia de rentabilidad
Los modelos de paneles dinámicos permiten complementar los modelos que existen en la literatura de la persistencia de rentabilidad, debido a que en los modelos de paneles dinámicos es posible determinar la variación de la rentabilidad de corto plazo que queda sin explicar por los efectos individuales de la firma (Goddard et al., 2005). Esta metodología incorpora el efecto que tienen las variables no observables y las variables no incluidas en los modelos (Baños, García & Martínez, 2012; Garza, 2012), ya que determina el efecto de cada firma sobre su rentabilidad. Otra de las ventajas de utilizar métodos de panel dinámico, en particular el método generalizado de momentos (GMM por sus siglas en inglés), es que permite analizar un gran conjunto de observaciones a pesar de contar con un periodo de tiempo pequeño (Garza, 2012).
En la actualidad, existe un número reducido de estudios sobre persistencia de rentabilidad que utilizan la metodología de paneles dinámicos. Goddard et al. (2005) estiman un modelo de panel dinámico para una muestra de cinco países europeos; Bélgica, Francia, Italia, España e Inglaterra, para el período 1993-2001. Garza (2012) utiliza esta metodología para estudiar la persistencia de la rentabilidad en la industria bancaria mexicana y los factores que determinan la rentabilidad de las firmas de dicha industria. De acuerdo a este autor, una de las ventajas principales de los estimadores GMM es la posibilidad de controlar la endogeneidad del modelo. También analizando la industria bancaria, pero a nivel mundial, Goddard et al. (2011) utilizan un modelo de panel dinámico para determinar el nivel de persistencia de la rentabilidad. En la Tabla 1, que resume los principales estudios de persistencia de rentabilidad, se puede observar que sólo algunos estudios utilizan esta metodología (e.g., Goddard et al., 2005). Por lo tanto, está pendiente la comprobación de los niveles de persistencia de la rentabilidad en países de Latinoamérica mediante la metodología de paneles dinámicos.
Latinoamérica agrupa países que se encuentran, principalmente, en vías de desarrollo. Brasil es destacado como una de las economías emergentes más importantes del mundo. Es por esto que se compara y agrupa con Rusia, China e India en el denominado grupo BRIC. A pesar de no tener el mismo impacto de Brasil en la economía mundial, Chile se ha destacado por su crecimiento económico y sus políticas públicas. En parte, debido a esto Chile fue aceptado en 2009 como miembro permanente de la Organización para la Cooperación y el Desarrollo Económicos (OCDE), organismo compuesto mayoritariamente por países desarrollados. El crecimiento económico, las políticas económicas que se han seguido en los últimos 30 años y el desarrollo de las instituciones en Chile sugieren que existen menos mecanismos para proteger las rentabilidades sobrenor males de las firmas. Es decir, dado que existen incentivos económicos (e.g., crecimiento y poder adquisitivo) e institucionales (e.g., respeto a los derechos de propiedad) para que nuevas firmas ingresen a competir en Chile, es esperable que las firmas que actualmente gozan de una ventaja competitiva que genera rentabilidades sobrenormales, no puedan mantener esa ventaja en el tiempo.
Pese a esto, existe evidencia empírica que sugiere que Chile tiene un bajo nivel de competencia interna, ya que el nivel de persistencia de rentabilidad es alto en comparación a otros países, emergentes y desarrollados (Díaz & Vassolo, 2010). Por otro lado, estudios señalan que en Chile el nivel de competencia interna es alto, ya que el coeficiente de persistencia es menor que el que se encuentra en otros países en desarrollo e incluso en países desarrollados (Tarziján et al., 2008, Tarziján & Eyleerts, 2010).
Luego, utilizando modelos de panel dinámico, este estudio responde la siguiente pregunta de investigación: ¿en qué medida la rentabilidad de las firmas operando en Chile persiste de un período de tiempo a otro?
Metodología
Datos
Los datos utilizados en el presente estudio corresponden a firmas chilenas que cotizan en la Bolsa de Valores de Santiago de Chile y que presentan sus respectivos balances financiero-contables en forma pública. Dicha información fue obtenida desde Economatica, una base de datos financiera de firmas de Estados Unidos y varios países latinoamericanos, dentro de los cuales se encuentra Chile.
Inicialmente se consideró la totalidad de las firmas chilenas que provee Economatica, esto es, 352 firmas clasificadas según el nivel 1 de NAICS (North American Industrial Clas sification System). Sin embargo, siguiendo a McGahan & Porter (1997), se aplicaron filtros de modo que las firmas clasificadas en "Servicios financieros y de seguros" no se consideraron en la muestra, debido a que sus actividades centrales y formas de operación poseen diferencias significativas respecto del resto de las firmas en la muestra.
Un filtro similar es realizado por Goddard et al. (2005). Asimismo, siguiendo a Tarziján et al. (2008), se retiraron las firmas que poseían datos de menos de cuatro años, para eliminar cualquier influencia espuria en algún año específico.
El período de tiempo considerado fue desde 1990 a 2007. Siguiendo a Goddard et al. (2005) y Baños et al. (2012) se eliminó el año 2008, por considerarse un valor extremo. La media de la variable dependiente de la muestra se reduce en un 30% al incluir el año 2008, lo que podría distorsionar los resultados del análisis. Se excluyeron de la muestra los datos financieros de los años 2009 y 2010 puesto que, pese a estar disponibles, se cambió la forma de confeccionar los balances financieros desde la norma PCGA (Principios de Contabilidad Generalmente Aceptados) a la norma IFRS (Normas Internacionales de Información Financiera), por lo que se prefirió trabajar con datos consistentes desde el punto de vista financiero.
La base de datos filtrada considera 177 firmas clasificadas dentro de 14 industrias, constituyendo 3.186 observaciones para cada una de las variables incluidas en la muestra. Adicionalmente, se seleccionaron las clasificaciones de NAICS de nivel 1 de industrias que contaban con una cantidad suficiente de empresas para utilizar la metodología de paneles dinámicos, las cuales corresponden a "Industrias Manufactureras" y a "Empresas de electricidad, gas y agua" que se llamó por simplicidad "Manufactura" y "Servicios Básicos", respectivamente. Manufactura reunió a 46 empresas, mientras que servicios básicos a 30.
Modelos Empíricos de Panel Dinámico
Siguiendo la metodología de Goddard et al. (2005), se consideraron tres especificaciones de modelos empíricos. En el primer modelo se utiliza, tal como en estudios seminales del tema (Muller, 1986), un modelo autorregresivo de primer orden (AR(1)) de la rentabilidad, que constituye la versión más sencilla de cálculo de la persistencia de la rentabilidad de las firmas. El segundo modelo corresponde a un modelo AR(2) de la rentabilidad. Finalmente, en tercer lugar, se estima un modelo que incluye los rezagos de la variable dependiente, además de una serie de variables de control que podrían explicar el nivel de rentabilidad de una firma.
La especificación para el modelo empírico I, o modelo clásico de persistencia (AR(1)), es la siguiente:
El modelo empírico II corresponde a un modelo autorregresivo de orden 2 o AR(2):
Finalmente, utilizando como base la especificación propuesta por Goddard et al. (2005), nuestra especificación para el modelo empírico III es la siguiente:
La variable dependiente, ROAi, t, es la rentabilidad sobre los activos de la firma i en el año t. Esta se define como EBIT (ingresos operativos antes de intereses e impuestos) dividido por los activos totales. La incorporación de la variable dependiente rezagada en uno y dos períodos como variable independiente que corresponde a ROAi, t y ROAi,t-2, señalan la velocidad a la cual la dinámica competitiva provoca rentabilidades supranormales o subnormales en un año dado para disiparlas posteriormente.
Al igual que Goddard et al. (2005), y además con un fin comparativo respecto a este estudio mencionado, se incluyen como variables de control el valor de los activos totales de la firma, el índice de liquidez ácida y el ratio pasivo total/patrimonio neto. Pero además se incluyen como variables de control en nuestra especifiación los ciclos económicos y el sector industrial. La variable ATi, t, logaritmo natural de los Activos Totales de la firma i en el año t, se incorpora como una medida del tamaño de la firma. Si la firma crece en tamaño y con ello logra una ventaja competitiva a través de economías de escala o ámbito, se esperaría una correlación positiva entre rentabilidad y tamaño de la firma (Goddard et al., 2005). Por otro lado, si el crecimiento de la firma lleva a deseconomías de escala, la relación podría ser negativa (Goddard et al., 2005).
La variable LAi, t representa al índice de liquidez ácida, calculado como el activo corriente menos el valor del inventario divido por el pasivo corriente. La liquidez ácida indica la capacidad de reacción de la firma frente a cambios repentinos en su entorno. Una alta liquidez disminuye la exposición al riesgo de hacer frente a los compromisos financieros de corto plazo (Nickell & Nicolitsas, 1999). Por otro lado, una liquidez muy alta puede restringir la capacidad de inversión de largo plazo de la empresa, por lo que su rentabilidad en el largo plazo podría disminuir (Goddard et al., 2005). Por lo tanto, se espera que exista una relación positiva entre liquidez y rentabilidad. La variable PPNi,t permite incorporar el ratio entre el pasivo total dividido por el patrimonio neto. Las firmas con un alto ratio de endeudamiento tienden a tener un mayor riesgo de no pago de los intereses y amortización de la deuda comprometida (Stulz, 1990).
La variable PIBi,t corresponde a la primera diferencia del logaritmo natural del Producto Interno Bruto (PIB), el cual refleja los factores macroeconómicos que afectan a la evolución de la rentabilidad empresarial. Finalmente, la variable HHi,t corresponde a la primera diferencia del logaritmo natural del índice de concentración industrial Herfin dahl Hirschman. Esta variable se utiliza para controlar por las características de cada industria. Este índice se calculó en forma anual como la sumatoria al cuadrado de la participación de mercado (porcentaje de los ingresos de cada firma respecto al total de cada industria) de cada una de las firmas que pertenecen a una industria en particular. Asimismo, cabe destacar que las industrias consideradas son 14 y corresponden al nivel 1 de NAICS.
Los modelos I, II y III corresponden a modelos de panel dinámico en el cual un conjunto de efectos de firmas individuales, representados por la variable γi, controla la variación en la rentabilidad de todos los datos de sección cruzada (entre empresas). Además, la especificación econométrica de los modelos permite estimar un conjunto de parámetros que acompañan a las variables explicativas o independientes (i.e. α1, α2, β1, β2, β3, β4, β5), los cuales son comunes a todas las firmas incluidas en la estimación. Esto último se diferencia de las metodologías estándar utilizadas hasta ahora en la estimación de la persistencia de la rentabilidad en las disciplinas de organización industrial y strategic management (e.g., Cable & Mueller, 2008; Cubbin & Geroski, 1987; Geroski & Jacquemin, 1988; Glen I., 2001; Glen et al., 2003; Maruyama & Odagiri, 2002; Muller, 1986; Muller, 1990; Tarziján & Eyleerts, 2010).
Método de Estimación
Los tres modelos se estiman a partir del método generalizado de momentos o estimador GMM. Los estimadores GMM para datos de panel dinámico fueron desarrollados por Arellano & Bond (1991) para conjuntos de datos con una gran cantidad de secciones cruzadas y una pequeña cantidad de datos de series de tiempo, esto es, cuando la cantidad de observaciones de firmas (n) es grande y la cantidad de períodos de tiempo (t) es pequeña (Garza, 2012). La estimación por mínimos cuadrados ordinarios (MCO) no es adecuada para los modelos I, II y III, ya que la incorporación de los efectos de las firmas individuales en el término de error aleatorio provoca correlación entre este último y la variable dependiente rezagada, lo que a su vez incorpora sesgo en los estimados MCO de los coeficientes de persistencia α1 y α2.
Resultados
En la Tabla 2 se muestran estadísticas descriptivas de la muestra y en la Tabla 3 se muestran las correlaciones de las variables. Se puede destacar que entre el año 1998 y 2007 se observan retornos medios menores a los del resto de los años.
Los resultados de la estimación se muestran en la Tabla 4 para cada una de las tres categorías de la muestra: (1) Todas las firmas, (2) Manufactura, y (3) Servicios Básicos. La primera categoría corresponde a todas las firmas presentes en la muestra. La categoría "Manufactura" corresponde a aquellas firmas con clasificación NAICS de nivel uno "Industrias manufactureras". Finalmente, la categoría "Servicios Básicos" corresponde a las firmas con clasificación NAICS de nivel uno "Empresas de electricidad, gas y agua". Para cada estimación, se muestra el test de Sargan, el cual permite verificar la validez de la sobre-identificación de restricciones impuestas en los instrumentos incluidos para la variable dependiente rezagada. Este test falla para rechazar la hipótesis nula en todas las estimaciones al nivel de 1%, por lo que el conjunto de instrumentos utilizados en la estimación es confiable. En todos los modelos la totalidad de los coeficientes estimados son significativos al nivel de 1%.
El parámetro estimado de ROAi, t - 1, que corresponde al coeficiente de persistencia de la rentabilidad, es positivo y estadísticamente significativo para todos los modelos (p < 0,01) y todas las muestras. Este coeficiente es igual a 0,482 para el modelo I; 0,5225 para el modelo II; y 0,5039 para el modelo III. Los coeficientes estimados para la industria de Manufactura son mayores que los estimados para la muestra completa con valores de 0,7521 para el modelo I, 1,4383 para el modelo II y 1,3968 para el modelo III. Finalmente, los coeficientes estimados para la industria de Servicios Básicos son menores que los de Manufactura con valores de 0,7325 para el modelo I, 0,4977 para el modelo II y 0,4739 para el modelo III.
Los coeficientes estimados para ROAi, t-2 son positivos para todas las muestras y para todos los modelos, excepto para la industria de Manufactura, presentando un valor de -0,3246 y -0,2431 para el modelo II y modelo III, respectivamente.
Los coeficientes estimados para ATi, t, señalan una relación positiva y significativa entre el tamaño de las empresas y su rentabilidad para la muestra global, la industria manufacturera y la industria de servicios básicos. Respecto de los parámetros estimados de LAi, t, estos indican una relación negativa y significativa para todas las empresas y una relación positiva y significativa para la industria manufacturera. Finalmente, la mayoría de los coeficientes estimados de PPNi, t señalan una relación negativa y significativa entre el coeficiente de endeudamiento o estructura de capital de las empresas y su rentabilidad, excepto en el caso de la industria de Manufactura. Se evidencia una relación positiva y significativa entre el (PIB) del país y la rentabilidad de las empresas en la muestra global y la industria de manufactura. Finalmente, se verifica una relación positiva y significativa entre la concentración y la rentabilidad de las empresas en la muestra global.
Discusión
Los resultados expuestos en el punto anterior muestran evidencia de que las rentabilidades anormales tienden a persistir de un año a otro. Este efecto se observa en el coeficiente positivo y estadísticamente significativo de la variable ROAi, t-1. Este coeficiente permite identificar qué parte de las rentabilidades anteriores de una firma se mantienen en períodos siguientes. Por lo tanto, dado que en este caso es positivo, se puede inferir que las fuerzas competitivas al interior del país no son lo suficientemente fuertes para disipar los retornos en el período muestral. Resultados similares se han encontrado en análisis de países en desarrollo (García, 2012; Goddard et al., 2011) y países desarrollados (Goddard et al., 2011). De esta manera, se observa que, tal como se ha mostrado en estudios anteriores, existe una parte de la rentabilidad sobrenormal de las firmas de Chile que persiste de un período a otro. Lo importante de nuestros resultados es que se observa que el nivel de persistencia que existe en Chile es mayor al encontrado en estudios anteriores.
Si bien la verificación de la persistencia de las rentabilidades de las empresas chilenas concuerda con los resultados de Tarziján & Eyleerts (2010), el valor obtenido para el modelo I utilizando todas las firmas es de 0,482, el cual es mayor en un 50 por ciento aproximadamente del valor promedio obtenido por estos autores, quienes encuentran un coeficiente de persistencia de 0,32. Esta diferencia en el coeficiente de persistencia sugiere que Chile posee un entorno menos competitivo de lo señalado en evidencia anterior. Las diferencias de dichas estimaciones se podrían explicar principalmente por la metodología utilizada. Tarziján y Eyleerts (2010) estiman coeficientes de persistencia mediante series de tiempo para cada firma en forma individual, para luego promediarlos. Esta metodología de estimación no considera simultáneamente los efectos conjuntos de las secciones cruzadas (firmas) y los efectos de los períodos de tiempo. Al emplear una metodología de panel dinámico, en nuestro estudio se incorporan los efectos de las firmas en la persistencia de la rentabilidad. Luego, el coeficiente de persistencia determinado a través de este método incluye los efectos de variables no observables propias de cada firma.
En general el coeficiente de persistencia de 0,482 estimado para Chile es alto si se compara con las estimaciones de la literatura a nivel mundial, independiente de la metodología. De acuerdo a nuestra revisión de la literatura, uno de los coeficientes más altos encontrados se observa en Waring (1996), quien determina un coeficiente de 0,56 para Estados Unidos. En cuanto a estudios de panel dinámico presentes en la literatura, los coeficientes de persistencia reportados por Goddard et al. (2005) para Bélgica, Francia, Italia, España e Inglaterra varían entre 0,338 y 0,451, valores inferiores al estimado de 0,5039. Por otro lado, Garza (2012), también usando un método de panel dinámico, determina un coeficiente de persistencia superior a 0,80 para el caso de las firmas de la industria bancaria mexicana (ver Tabla 1).
Lo interesante es que, si se considera el coeficiente de persistencia como un indicador del nivel competitivo de las empresas en un país determinado, Chile tendría un mercado interno de baja competencia. Díaz & Vassolo (2010), así como Goddard et al. (2011) sugieren que en la medida que aumenta el desarrollo institucional de un país, la persistencia debería reducirse. Si bien nuestro estudio no controla por desarrollo institucional, datos del Banco Mundial sugieren que Chile ha mejorado positivamente su institucionalidad en el último tiempo (Kaufmann, Kraay y Mastruzzi, 2010), por lo que nuestros resultados parecen no apoyar el argumento institucional de los autores citados previamente.
Respecto a los determinantes de la rentabilidad, se verificó que los coeficientes estimados para ATi, t, señalan una relación positiva y significativa entre el tamaño de las empresas y su rentabilidad para la muestra global, la industria manufacturera e industria de servicios básicos. En una estimación de panel dinámico, este coeficiente se interpreta como la dirección de cambio de un año a otro en la rentabilidad de una empresa ante una variación en su tamaño (Goddard et al., 2005). Los resultados de nuestra investigación no concuerdan con los resultados obtenidos por Goddard et al. (2005). De hecho, nuestra investigación sugiere que el aumento de tamaño o capacidad en las empresas chilenas impacta muy levemente en el aumento de rentabilidad de estas, con lo que se puede sugerir que la capacidad de las firmas de la muestra está cerca del nivel en que no existen ni economías ni deseconomías de escala. Una de las explicaciones plausibles corresponde al aumento de la rivalidad de los demás competidores en una industria determinada, como respuesta al posible aumento de su participación de mercado, ante un aumento de capacidad de una de ellas.
Los parámetros estimados de LAi, t indican una relación negativa y significativa para la muestra global. Estos resultados concuerdan con los hallazgos de Eljelly (2004) para empresas de Arabia Saudita. Según este autor, la rentabilidad se ve afectada negativamente al mantener una excesiva liquidez que produce costos innecesarios, los cuales deben ser reducidos o eliminados ejecutando estrategias de gestión de liquidez en forma activa. De esta forma, nuestros resultados sugieren que las empresas chilenas mantienen una excesiva liquidez, lo que afecta su rentabilidad. Por otro lado, el parámetro estimado para LAi, t de manufactura es positivo y significativo, lo que está en línea con lo obtenido por Goddard et al. (2005), quienes señalan que a mayor nivel de liquidez, mayor será la flexibilidad de la firma para adaptarse a los cambios del entorno.
Los coeficientes estimados para PPNi, t son negativos y significativos para la muestra global y la de servicios básicos. Estos resultados están en línea con los obtenidos por Goddard et al. (2005). Por otra parte, el coeficiente es positivo en el caso de la industria manufacturera, lo que concuerda con los hallazgos de Abor (2005), quien señala que las firmas rentables en Ghana dependen más sobre deuda, puesto que se trata de su principal opción de financiamiento. Por lo tanto, es posible establecer que las firmas de manufactura chilenas generan mayores rentabilidades a mayores niveles de endeudamiento. Esto sugiere que en Chile el costo de la deuda es sustantivamente más bajo que, por ejemplo, el costo del financiamiento propio.
Los coeficientes estimados para PIBi, t son positivos y significativos para la muestra global y manufactura, resultados que están en línea con lo encontrado por Tarziján & Eyleerts (2010) y Goddard et al. (2004). Estos últimios señalan que el PIB es un indicador del lado de la demanda, el cual controla las fluctuaciones macroeconómicas que pueden impactar sobre la rentabilidad (Goddard et al. 2004). Respecto a esto último, es posible evidenciar que, en el período bajo observación, las firmas chilenas desarrollan una mayor rentabilidad ante variaciones positivas del PIB.
Finalmente, los coeficientes estimados para HHi, t son positivos y significativos para la muestra global, resultados que son coherentes con lo encontrado también por Tarziján & Eyleerts (2010) y Goddard et al. (2004). Estos resultados son coincidentes con los estudios clásicos que emplean como unidad de análisis la industria (Porter, 1979; Schamalensee, 1985), donde las firmas que la componen se suponen en todo lo económicamente relevante homogéneas, excepto en el tamaño, lo cual incide en la existencia de poder mercado por parte de la firma. Este poder de mercado es compartido por todas las firmas que constituyen la industria en forma proporcional a sus ventas. Dicho poder de mercado se basa principalmente en la existencia de barreras a la entrada de nuevos competidores y en las características inherentes de la industria, como por ejemplo, el nivel de concentración de los productores. Los resultados obtenidos en nuestro estudio, sugieren que en Chile las firmas presentan un mayor desempeño en la medida que las industrias tienden a concentrase.
Conclusiones
Esta investigación utiliza los progresos actuales en la econometría de datos de panel dinámico para estimar la persistencia y los determinantes de la rentabilidad de las firmas chilenas. Estos nuevos métodos para estimar los parámetros de un panel dinámico son necesarios ya que la incorporación de los efectos de las firmas individuales en el término del error aleatorio provoca la correlación entre este último y la variable dependiente rezagada. En este estudio, la estimación de panel dinámico se utiliza para investigar la persistencia y los determinantes de la rentabilidad en la totalidad de las firmas, el sector de manufactura y el sector de servicios básicos en la economía chilena, para el período 1990-2007.
Los resultados sugieren que las rentabilidades anormales tienden a persistir de un año a otro, para todas las firmas, tanto de manufactura como de servicios básicos, lo que se traduce en que las fuerzas competitivas no son lo suficientemente fuertes para disipar los retornos en el período muestral. Lo anterior refuta la hipótesis de la existencia del entorno competitivo en Chile, es decir, se verifica que las rentabilidades de las empresas chilenas persisten en el largo plazo. Así, y relacionado con nuestra pregunta de investigación, las magnitudes de los estimados de los coeficientes de persistencia son mayores al valor promedio obtenido en otros estudios (Goddard et al., 2005, Tarziján & Eyleerts, 2010), lo que muestra que el nivel de competitividad interna en Chile es menor a lo que se ha sugerido anteriormente.
Los resultados anteriores no dejan de ser sorpresivos para el caso de Chile. Esto porque si bien desde el punto de vista teórico es difícil predecir qué factores impactan en mayor o menor medida la persistencia de la rentabilidad en las firmas de países emergentes, se ha sugerido que las industrias de países en desarrollo están sujetas a cambios repentinos en el entorno legal o político (Díaz & Vassolo, 2009; Goddard et al., 2011). Estos cambios repentinos en el entorno se pueden traducir en la pérdida de una ventaja competitiva de ciertas firmas por causas que no son de mercado. Luego, la persistencia de rentabilidad podría ser menor en países emergentes que en países desarrollados, ya que en estos últimos la estabilidad legal y política asegura que se respeten los derechos de propiedad y, por lo tanto, los beneficios económicos de una firma en el tiempo. En la muestra considerada en este estudio, Chile presenta resultados similares a los que se presentan en algunos países desarrollados, por lo que se puede inferir que el país está comenzando a presentar características similares a las de un mercado desarrollado.
Otra explicación que se ha dado en la literatura señala que en los países en desarrollo existen vacíos institucionales que pueden asegurar que los beneficios sobrenormales de una firma se mantengan en el tiempo (Garza, 2012; Goddard et al., 2011). Por ejemplo, los grupos de negocios surgen como un mecanismo para que las firmas no se vean afectadas por la falta de mercados de capitales eficientes o mano de obra capacitada. Es más, los grupos de negocios pueden tener mejor acceso a ejercer presiones para evitar que se cambien o introduzcan leyes que puedan afectar el desempeño de las firmas afiliadas. Luego, firmas que pertenezcan a un grupo de negocios y que alcancen un desempeño sobrenormal podrían experimentar una persistencia en sus desempeños sobrenormales, ya que el grupo de negocios las protege del entorno.
Es por esta dificultad teórica para predecir el impacto de las características de un país emergente en la persistencia del desempeño de las firmas que se requiere de más análisis empíricos. En este sentido, nuestro estudio permite continuar con la acumulación de evidencia empírica que sugiere que en Chile la persistencia de la rentabilidad es similar a la de algunos países desarrollados (Goddard et al., 2005) (Ver Tabla 1). Desde el punto de vista de la literatura de la administración estratégica es posible argumentar que en la medida que aumenta el nivel de desarrollo institucional en un país, las firmas que posean recursos superiores podrán ser beneficiarias de un desempeño superior al del resto. Este desempeño no sería fácilmente erosionado por factores externos al mercado (e.g. cambio en la regulación), sino que tendría que ser erosionado por la competencia. En la actualidad, la literatura de la administración estratégica considera que tanto el efecto de la industria, de la firma, así como del entorno institucional son relevantes para el desempeño económico de las firmas (Peng et al., 2009). Los resultados de nuestro estudio están en línea con dicha visión.
A pesar de que los resultados coinciden en parte con los existentes en la literatura, algunas limitaciones de esta investigación deben ser señaladas. En primer lugar, la muestra corresponde a firmas ubicadas en Chile, lo que puede impactar en la generalización de los resultados. Sin embargo, el estudiar firmas ubicadas en un solo país permite controlar los efectos de otras variables no observables, tales como factores culturales o institucionales. Finalmente, y también relacionado con el hecho de enfocar el estudio en firmas de un país, no es posible concluir inequívocamente respecto al nivel relativo del coeficiente de persistencia de la rentabilidad de las firmas. Es decir, la comparación de la competitividad de las firmas de Chile con la de países desarrollados, debe ser realizada preferentemente en base a estudios que utilicen una metodología similar (e.g., Goddard et al., 2005).
Considerando las limitaciones descritas y la relevancia del concepto de persistencia de rentabilidad, es necesario que estudios futuros utilicen los últimos avances econométricos para realizar comparaciones entre países de diferentes regiones y nivel económico. De esta forma se podrán determinar cuáles son los factores más relevantes al momento de definir el nivel de competencia en un país. Además, es importante considerar efectos sobre la rentabilidad de las firmas de diferentes niveles. Es decir, factores propios de cada organización junto con características económicas e institucionales de cada país. En la medida que se mejora el entendimiento de los factores que impactan en la persistencia del desempeño de las firmas, los países podrán diseñar de mejor manera el entorno competitivo empresarial.
Notas
1En general, los coeficientes de persistencia están en el rango entre 0 y 1, por lo que pueden ser interpretados como el porcentaje de la rentabilidad del período anterior que se mantiene en el período actual.
2En general, se define en estos estudios como 'firma de alto (bajo) desempeño' a aquellas cuyas rentabilidades están por sobre (bajo) la mediana de la muestra.
Referencias
Abor, J. (2005). The Effect of Capital Structure on Profitability: An Empirical Analysis of Listed Firms in Ghana. Journal of Risk Finance, 6(5), 438-445. [ Links ]
Aguiar, M. & Gopinath, G. (2007). Emerging Market Business Cycles: The Cycle Is the Trend. Journal of Political Economy, 115(1), 69-102. [ Links ]
Arellano, M. & Bond, S. (1991). Some Tests of Specification for Panel Data: Monte Carlo Evidence and an Application to Employment Equations. Review of Economic Studies, 58, 277-297. [ Links ]
Baños, S., García, P. & Martínez, P. (2012). How does working capital management affect the profitability of Spanish SMEs?. Small Business Economics, 39, 517-529. [ Links ]
Barney, J. (1991). Firm Resources and Sustained Competitive Advantage. Journal of Management, 17(1), 99-120. [ Links ]
Cable, J. & Mueller, D. (2008). Testing for Persistence of Profits' Differences Across Firms. International Journal of the Economics of Business, 15(2), 201-228. [ Links ]
Chacar, A. & Vissa, B. (2005). Are emerging economies less efficient? Performance persistence and the impact of business group affiliation. Strategic Management Journal, 26(10), 933-946. [ Links ]
Choi, J. & Wang, H. (2009). Stakeholder relations and the persistence of corporate financial performance. Strategic Management Journal, 30(8), 895-907. [ Links ]
Cubbin, J. & Geroski, P. (1987). The Convergence of Profits in the Long Run: Inter-firm and Inter-industry Comparisons. Journal of Industrial Economics, 35(4), 427-442. [ Links ]
Díaz, F. & Vassolo, R. (2010). Institutional development and hypercompetition in emerging economies. Strategic Management Journal, 31(13), 1457-1473. [ Links ]
Eljelly, A. (2004). Liquidity - Profitability tradeoff: An Empirical Investigation in an Emerging Market. International Journal of Commerce and Management, 14(2), 48 - 61. [ Links ]
Garza, J.G. (2012). Does market power influence bank profits in Mexico? A study on market power and efficiency. Applied Financial Economics, 22(1), 21-32. [ Links ]
Geroski, P. & Jacquemin, A. (1988). The Persistence of Profits: a European Comparison. The Economic Journal, 98 (391), 375-389. [ Links ]
Glen, J., Lee, K. & Singh, A. (2001). Persistence of profitability and competition in emerging markets. Economics Letters, 72, 247-253. [ Links ]
Glen, J., Lee, K. & Singh, A. (2003). Corporate Profitability and the Dynamics of Competition in Emerging Markets: A Time Series Analysis. The Economic Journal, 113(491), 465-484. [ Links ]
Goddard, J., Molyneux, P. & Wilson, J.O. (2004). Dynamics of Growth and Profitability in Banking. Journal of Money, Credit and Banking, 36(6), 1069-1090. [ Links ]
Goddard, J., Liu, H., Molyneux, P. & Wilson, J.O. (2011). The persistence of bank profit. Journal of Banking & Finance, 35(11), 2881-2890. [ Links ]
Goddard, J., Tavakoli, M. & Wilson, J. (2005). Determinants of Profitability in European Manufacturing and Services: Evidence From a Dynamic Panel Model. Applied Financial Economics, 15(18), 1269 -1282. [ Links ]
Jacobsen, R. (1988). The persistence of abnormal returns. Strategic Management Journal, 9(5), 415-430. [ Links ]
Kambhampati, U. (1995). The Persistence of Profit Differentials in Indian Industry. Applied Economics, 27, 353-361. [ Links ]
Kaufmann, D., Kraay, A. & Mastruzzi, M. (2010). The worldwide governance indicators: methodology and analytical issues. World Bank Policy Research Working Paper, 5430. [ Links ]
Khemani, R. & Shapiro, D. (1990). The Persistence of Profitability in Canada. In D. Mueller (Ed.), The Dynamics of Company Profits (pp.77-104), Cambridge, UK: Cambridge University Press. [ Links ]
Kessides, I. (1990), The Persistence of Profits in U.S. Manufacturing Industries. In D. Miller (Ed.), The Dynamics of Company Profits (pp.59-75), Cambridge, UK: Cambridge University Press. [ Links ]
Lippman, S.A. & Rumelt, R.P. (2003). The payments perspective: microfoundations of resource analysis. Strategic Management Journal, 24, 903-927. [ Links ]
McGahan, A. (1999). The Performance of US Corporations: 1981-1994. The Journal of Industrial Economics, 47(4), 373-398. [ Links ]
McGahan, A. & Porter, M. (1997). How Much Does Industry Matter, Really? Strategic Management Journal, 18, 15-30. [ Links ]
Maruyama, N. & Odagiri, H. (2002). Does the 'persistence of profits' persist?: a study of company profits in Japan 1964-97. International Journal of Industrial Organization, 20(10), 1513-1533. [ Links ]
Mueller, D. (1977). The Persistence of Profits Above the Norm. Economica, 44, 369-380. [ Links ]
Mueller, D. (1986). Profits in the Long Run. Cambridge, UK: Cambridge University Press. [ Links ]
Mueller, D. (1990). The Persistence of Profits in the United States. In D. Mueller (Ed.), The Dynamics of Company Profits (pp-35-57). Cambridge, UK: Cambridge University Press. [ Links ]
Mueller, D. & Cubin, J. (1990). The Dynamics of Company Profits. Cambridge, UK: Cambridge University Press. [ Links ]
Newman, H. (1978). Strategic Groups and the Structure-Performance Relationship.The Review of Economics and Statistics, 60(3), 417-427. [ Links ]
Nickell, S. & Nicolitsas, D. (1999). How does financial pressure affect firms?. European Economic Review, 43, 1435-56. [ Links ]
Odagiri, H. & Yamawaki, H. (1990), The Persistence of Profits: International Comparison. In D. Mueller, The Dynamics of Company Profits (pp. 169-186). Cambridge, UK: Cambridge University Press. [ Links ]
Peng M. W., Sun, S. L., Pinkham, B. & Chen, H. (2009). The institutionbased view as a third leg for a strategy tripod. Academy of Management Perspectives, 23(3), 63-81. [ Links ]
Peteraf, M.A. (1993). The cornerstones of competitive advantage: A resource-based view. Strategic Management Journal, 14(3),179-191. [ Links ]
Porter, M. E. (1979). The Structure within Industries and Companies' Performance. The Review of Economics and Statistics, 61(2), 214-227. [ Links ]
Porter, M.E. (1981). The contributions of industrial organization to strategic management. Academy of Management Review, 6(4), 609-620. [ Links ]
Revilla, A. J. & Fernández, Z. (2013). The dynamics of company profits: A latent growth model. Strategic Organization, 11(2), 180-204. [ Links ]
Roquebert, J., Phillips, R. & Westfall, P. (1996). Markets vs. Management: What 'Drives' Profitability?. Strategic Management Journal, 17(8), 653-664. [ Links ]
Schohl, F. (1990). Persistence of profits in the long run: a critical extension of some recent findings. International Journal of Industrial Organization, 8(3), 385-404. [ Links ]
Schmalensee, R. (1985). Do Markets Differ Much?. The American Economic Review, 75(3), 341-351. [ Links ]
Shehzad, C. T., De Haan, J. & Scholtens, B. (2013). The relationship between size, growth and profitability of commercial banks. Applied Economics, 45(13), 1751-1765. [ Links ]
Stulz, R. (1990). Managerial Discretion and Optimal Financing Policies. Journal of Financial Economics, 26, 3-27. [ Links ]
Tarziján, J., Brahm, F. & Daiber, L.F. (2005). Explicando la Rentabilidad de la Empresa y su Sustentación. Revista ABANTE, 8(1), 25-54. [ Links ]
Tarziján, J., Brahm, F. & Daiber, L.F. (2008). Entrepreneurial Profitability and Persistence: Chile versus the U.S.A.. Journal of Business Research, 61(6), 599-608. [ Links ]
Tarziján J. & Eyleerts, I. (2010). Persistence of profitability in Latin America: Explaining the differences among countries, industries and firms. Academia, Revista Latinoamericana de Administración, 44, 99-114. [ Links ]
Waring, G. (1996). Industry Differences in the Persistence of Firm-Specific Returns. The American Economic Review, 86(5), 1253-1265. [ Links ]
Wiggins, R. & Ruefli, T. (2002). Sustained Competitive Advantage: Temporal Dynamics and the Incidence and Persistence of Superior Economic Performance. Organization Science, 13(1), 82-105. [ Links ]
Wiggins R. & Ruefli, T. (2005). Schumpeter's Ghost: Is Hypercompetition Making the Best of Times Shorter?. Strategic Management Journal, 26(10), 887-911. [ Links ]
Yurtoglu, B. (2004). Persistence of Profitability in Turkey. Applied Economics, 36(6), 615-625. [ Links ]



















