SciELO - Scientific Electronic Library Online

 
vol.21 issue2RETURNING TO THE PAST: 60 YEARS IN THE UNDERSTANDING OF HOW CELS AND ORGANISMS DEVELOPPREDICTIVE RANDOM WALK OF OBESITY DYNAMIC AND PREDICTIONS OF OBESITY AND OVERWEIGHT IN CHILDREN FROM COLOMBIA AND WEIGHT/HEIGHT AND WEIGHT/AGE VARIATION IN MEXICO author indexsubject indexarticles search
Home Pagealphabetic serial listing  

Services on Demand

Journal

Article

Indicators

Related links

  • On index processCited by Google
  • Have no similar articlesSimilars in SciELO
  • On index processSimilars in Google

Share


Revista Med

Print version ISSN 0121-5256

rev.fac.med vol.21 no.2 Bogotá July/Dec. 2013

 

ARTÍCULO ORIGINAL

CAMBIOS DE CONDUCTAS ADHERENTES EN EL CONTEXTO HOSPITALARIO A PARTIR DE UNA TERAPIA PSICOLÓGICA BASADA EN ACEPTACIÓN Y CONDUCTA ORIENTADA A LOS VALORES EN PACIENTES HERIDOS EN COMBATE

ADHESION BEHAVIOR CHANGE IN THE HOSPITAL SETTING FROM A PSYCHOLOGICAL THERAPY BASED ON ACCEPTANCE AND VALUES ORIENTED BEHAVIOR IN WOUNDED IN COMBAT PATIENTS

CÂMBIOS DE CONDUTAS ADERENTES NO CONTEXTO HOSPITALAR A PARTIR DE UMA TERAPIA PSICOLÓGICA BASEADA NA ACEITAÇÃO E CONDUTA ORIENTADA AOS VALORES EM PACIENTES FERIDOS EM COMBATE

ÁNGELA M. BÁEZ BÁEZa
NHUR M. SERNA CORTÉSb
ROCHY M. VARGAS GUTIÉRREZc

a Maestría en Psicología Clínica. Fundación Universitaria Konrad Lorenz. Correspondencia: amabaez2@hotmail.com
b Maestría en Psicología Clínica. Fundación Universitaria Konrad Lorenz. Correspondencia:nhurmari@yahoo.com
c Maestría en Psicología Clínica. Fundación Universitaria Konrad Lorenz. Correspondencia: vargasg@gmail.com

Fundación Universitaria Konrad Lorenz Carrera 9 bis No 62 - 43. Bogotá Colombia.


Resumen

El presente artículo presenta los datos con respecto a la conducta adherente, como una conducta que puede permitir el ajuste al contexto hospitalario y que puede fortalecerse a partir de una intervención terapéutica basada en aceptación y conducta orientada a los valores. Se implementó un diseño de caso único tipo A-B con seguimiento, se determinó la línea base por medio de la aplicación de cuestionarios y entrevistas, se realizó el proceso de intervención mencionado y se tomaron medidas repetidas con algunos instrumentos para establecer el efecto del tratamiento. Los resultados muestran que los pacientes durante la ejecución del tratamiento presentaron cambios en las conductas adherentes al tratamiento médico derivados de la implementación de la intervención mencionada.

Palabras clave:Terapia aceptación y compromiso, aceptación, valores, trauma físico, adherencia.


Abstract

This article presents data regarding the adherent behavior as one that may allow adjustment to the hospital setting and can be strengthened through a therapeutic intervention based on acceptance and value-oriented behavior. A single case type A-B design with follow-up was used; the baseline was determined through questionnaires administration and interviews; subsequently, the procedure of treatment was implemented and repeated measurements were taken with some instruments to establish the effect of treatment. The results show that during treatment execution patients became more adherent to medical procedures secondarily to the implementation of the above-mentioned intervention.

Key words:Acceptance and Commitment Therapy, acceptance, values, physical trauma, adherence.


Resumo

O presente artigo apresenta os dados com respeito à conduta aderente, como uma conduta que pode permitir o ajuste ao contexto hospitalar e que pode se fortalece a partir de uma intervenção terapêutica baseada em aceitação e conduta orientada a os valores. Se implementou um desenho de caso único tipo A-B com seguimento, se determinou a linha base por meio da aplicação de questionários e entrevistas, se realizou o processo de intervenção mencionado e se tomaram medidas repetidas com alguns instrumentos para estabelecer o efeito do tratamento. Os resultados mostram que os pacientes durante a execução do tratamento apresentaram câmbios nas condutas aderentes ao tratamento médico derivados da implementação da intervenção mencionada.

Palavras chave:Terapia de Aceitação e Compromisso, aceitação, valores, trauma físico, aderência.


Introducción

Sin importar el tipo, todo acto violento trae consecuencias traumáticas, que además de ocasionar malestar físico, generan malestar psicológico que está relacionado con la naturaleza del conflicto, las condiciones socioculturales de los afectados, el tipo de daño, lesión o impacto emocional resultante, que puede afectar drásticamente la calidad de vida de quienes lo experimentan (1). Al respecto Summerfield, Follete y Pistorello (2,3), indicaron que la respuesta al trauma y el contexto cultural en el que ocurre son factores que deben ser contemplados al momento en que se vaya a abordar el paciente, pues al desconocer las causas y la forma en que la persona está sobrellevando la situación se puede hacer una intervención inadecuada, lo que puede facilitar el desarrollo de patologías más complejas como en los trastornos de ansiedad, el estrés postraumático específicamente, o los trastornos del estado de ánimo (4).

Se considera que las consecuencias de la violencia y el conflicto armado, además de ser traumas físicos, también presentan un componente psicológico que afecta dramáticamente la conducta y la calidad de vida de los sobrevivientes, este componente se relaciona con circunstancias como la naturaleza del evento, el tipo de trauma físico que ocasiona (herida, amputación, contusión), la respuesta al trauma por parte de quien lo experimenta, el contexto cultural y sociodemográfico en el que ocurre, entre otros factores que influyen en la rehabilitación integral de las personas que se ven directa e indirectamente afectadas.

De igual forma y según lo mencionan Rueda y Zúñiga (5), también se presenta un proceso normal de reacción ante la pérdida, el cual incluye reacciones mentales como rabia, culpa, ansiedad, tristeza y desesperación; físicas como alteraciones del sueño, cambios en el apetito y somatizaciones;, y también sociales como el cambio de rol entre la familia, en las responsabilidades, en el trabajo y en las actividades de placer o recreación, todo ello demanda esfuerzos significativos de la persona y de su entorno para lograr ajustarse a las nuevas condiciones de vida. En este punto la familia desempeña un papel fundamental, debido a que el paciente al enfrentar cambios tan relevantes, necesitará de su ayuda para interactuar con otros y así poder acoplarse a los programas ofrecidos por las instituciones de salud. Además, el grupo familiar contribuye en la dinámica de funcionamiento para el cumplimiento de las tareas y recomendaciones hechas al paciente por el cuerpo médico (6). El equipo médico también desempeña un papel importante en todo el proceso de reajuste del paciente, debido a que la intervención farmacológica y quirúrgica, entre otras, son vitales para restablecer la calidad de vida de los pacientes que han estado afectados o expuestos a situaciones traumáticas y que implican algún nivel de trauma físico. Sin embargo, se ha visto que en ocasiones el equipo de profesionales se centra únicamente en las dificultades físicas del afectado o la condición médica resultante de la exposición al combate, por lo que dejan de lado aspectos de funcionamiento que pueden ser importantes en el paciente y que pueden facilitar los procesos médicos, y la adaptación al contexto hospitalario, así como el seguimiento de prescripciones, realización de ejercicios, etc. Esta situación que incluye el centrarse de forma casi exclusiva en los aspectos médicos, afecta la relación entre pacientes y personal médico, y también los procesos de adherencia terapéutica.

Muchas veces el personal médico por las características de la población, las demandas de los servicios de salud y el corto tiempo de estancia en los servicios sanitarios, pueden tornarse indiferentes frente al impacto emocional y afectivo que implica el trauma para el paciente y sus allegados, deteriorando así la relación terapéutica (7), por lo que como se mencionaba anteriormente puede evidenciarse una falta importante de adherencia al tratamiento por parte de los pacientes, como causa de la poca información suministrada por parte del equipo de salud a los pacientes y a sus familiares sobre el proceso que se debe seguir (8).

Generalmente para afrontar cada una de estas situaciones relacionadas con eventos traumáticos, las personas utilizan la evitación como estrategia para sobrellevar el malestar emocional que implica la vivencia de una experiencia traumática y altamente aversiva; por ejemplo, pueden implementar la evitación activa para permanecer lejos de espacios y entornos que tengan alguna relación con el trauma, pueden utilizar la evitación de un modo sutil para cambiar de tema en una conversación y así no hablar sobre la situación que desencadena el malestar, o pueden llevar a cabo estrategias de evitación pasiva para intentar suprimir los pensamientos, sensaciones, recuerdos, sentimientos y emociones asociadas a la situación traumática (9,10). A pesar de estos esfuerzos, se ha encontrado que el intento por mitigar estas experiencias internas resultan en un incremento y mantenimiento del malestar, lo que lleva a la persona a desarrollar conductas de riesgo que afectan sus áreas de ajuste y de funcionalidad (11-13).

Es importante considerar que no es posible garantizar a la persona el devolverla al estado anterior al trauma, por ello trabajar sobre el proceso de aceptación de la nueva condición es un factor crucial que tendrá como efecto el ajuste en las emociones y las conductas, además del aumento en el grado de participación en los procesos dinámicos de la rehabilitación del paciente (14,15). Esto permitirá potenciar cualidades como la auto-confianza, la independencia en las actividades diarias y en la rehabilitación inicial durante la hospitalización para generar y facilitar un mejor pronóstico en la adaptación a su condición de salud (16,17).

De esto se deriva la importancia de trabajar en aspectos que permitan que se mejore la dinámica de interacción entre personal médico - pacientes y que puede formar parte de las acciones comprometidas de los pacientes con respecto a su propio proceso de recuperación y adaptación al contexto hospitalario. Por tanto, las condiciones propias del paciente como la confianza en sus capacidades, la independencia en las actividades diarias y la rehabilitación inicial en la hospitalización generan un buen pronóstico en la adaptación a su condición (16-18).

Por esto es necesario desarrollar programas que brinden atención temprana para las personas víctimas de cualquier trauma, con el fin de reducir el impacto que tiene tanto para los directamente afectados como para su entorno, pues como se mencionaba antes, el hecho de que una persona no pueda hacer frente de forma efectiva a su malestar físico y emocional, implica que su entorno también se verá afectado y dejara de ser un problema individual para ser un asunto de Estado. Esto pasa actualmente en Colombia, debido a los costos médicos y sociales de las personas que regresan del conflicto, y que posteriormente, en la gran mayoría de casos, deben volver a la vida civil fuera de las fuerzas militares.

En el ámbito de la psicología clínica, desde la perspectiva conductual, la evolución de las terapias y técnicas de modificación de conducta han ido desarrollando múltiples opciones terapéuticas. Estas terapias pueden agruparse de acuerdo con sus supuestos y a las estrategias de intervención, así como al papel de variables causales, en tres grandes generaciones, diferenciándose por algunos principios y modos de abordaje.

Como señalan Hayes y Stroshal las terapias de primera generación se pueden definir como aquellas que utilizan los principios del condicionamiento clásico (asociación de estímulos y respuestas) para propiciar cambios en el comportamiento (19).

Las de segunda generación se centran en el cambio por contingencias apoyadas en eventos cognitivos como la causa y mecanismo del comportamiento (terapias cognitivo-conductuales). Estas últimas han demostrado ser altamente exitosas y reconocidas en todo el mundo gracias a la evidencia científica que las soporta (terapias con fundamento empírico), pero a lo largo de estas dos décadas surgen algunas limitaciones que dan paso a las terapias de tercera generación, debido a que se empezó a entender que el componente de aceptación como aspecto para reducir la evitación era un aspecto crucial para mantener en el tiempo los efectos de cada intervención y reducir así las recaídas. Por ello las terapias de tercera generación representan un salto cualitativo, debido a que sus técnicas tienen como fundamento el actuar del individuo como una elección responsable, y su proceder se sustenta en la aceptación de eventos privados para reducir la evitación experiencial de los mismos (emociones, sentimientos, pensamientos, sensaciones) (13).

La terapia de Aceptación y Compromiso (ACT), es una de las terapias que representa a esta tercera generación, se basa en la tradición del análisis conductual de Skinner (20), quién enfatizó el importante papel de la historia y el contexto en conjunto en su interacción con el ambiente, este autor también planteó la predicción y el control como el propósito de su análisis, entendiendo la importancia de la precisión, alcance y profundidad como algo central en la generación de principios conductuales básicos para entender la conducta compleja, por ejemplo, la conducta verbal tiene como característica primordial el aprendizaje relacional arbitrario, como la respuesta basada en descripciones verbales cuando las relaciones entre estímulos son establecidas por convenciones sociales (21). En este sentido, autores como Hayes, Strosahl, Wilson, Bissett, Pistorello, Toarmino, explican que la ACT está basada en los principios conductuales y su expansión al lenguaje del individuo, y que su cognición se explica a través de la teoría de marcos relacionales (RFT). Desde esta perspectiva, las habilidades verbales humanas resultan indispensables para entender su vinculación con la ACT, porque la conducta verbal tiene como característica determinante el aprendizaje relacional arbitrario, en el que la respuesta se basa en descripciones verbales cuando las relaciones entre estímulos son establecidas por convenciones sociales (22,23).

Por su parte, Wilson y Luciano, destacan que el sistema verbal entrena y perpetúa la práctica cultural del control de los eventos privados, que incluyen la evitación de las experiencias privadas, entendidas como nocivas y como la causa del comportamiento del ser humano. Entonces, la conducta verbal es el centro del objetivo de análisis de la teoría de los marcos relacionales, que se definen como un patrón particular de respuestas controladas contextualmente y arbitrariamente aplicables con ciertas características y respuestas que se establecen por reforzamiento diferencial (24).

En esta teoría además la bidireccionalidad de las relaciones entre los estímulos se vuelve una característica primordial del lenguaje y la cognición, logrando explicar así, la presencia de estados cognitivos y emocionales valorados como negativos (dolor, sentirse vacío, fuera de control, asustado, desalentado, "muerto", además del miedo a experimentar los mismos síntomas) que no son incapacitantes, es decir, existe bidireccionalidad entre los eventos y las palabras, y la dificultad se halla en la actuación fusionada a los significados literales del pensamiento (25). Igualmente, la distinción entre conducta-contexto se hace en términos de respuestas y estímulos, es decir, las respuestas son conductas (lo que un organismo hace) y los estímulos conforman el contexto (lo que le sucede a un organismo).

Dentro de la teoría de los marcos relacionales, el concepto de regla puede ser definido como ejemplo de redes relacionales y transformación de funciones que son más o menos complejas. Se puede determinar si un individuo sigue o no una regla al observar la coordinación entre la regla y lo que el individuo hace. Para el que sigue una regla, la coordinación entre la red relacional que constituye la regla y las relaciones entre los eventos especificados, proporcionan una fuente de regulación conductual (26).

En este sentido, se podría decir que el aprendizaje resultante de la experiencia de la exposición al combate y el salir herido en el mismo, representa para el ser humano circunstancias de crisis y sufrimiento que se desenvuelven dentro de un marco común de valoración como por ejemplo sentirse mal, infeliz, sentir que no se tiene futuro, y que es necesario entonces sentirse bien para poder vivir. Por lo tanto el resultado de tal contexto de valoración está determinado por la evitación o control de experiencias privadas aversivas, que pueden tener como referencia el lenguaje para afianzar distinciones y relaciones entre palabras, objetos y acciones que sientan las bases para un comportamiento socialmente regulado (19,21,24,27).

En síntesis, la teoría de los marcos relacionales establece diferentes tipos de relaciones y determina que "aprender a relacionar es una operante generalizada" que reúne características de otras operantes, pues se ha demostrado que hay flexibilidad, las relaciones entre los miembros de un tipo de relación son intercambiables y pueden cambiar las relaciones de sus miembros, está bajo el control de estímulos, la composición de la relación entre estímulos está sometida por el control contextual, pudiendo los mismos elementos o estímulos formar parte de relaciones distintas sobre la base de controles condicionales, y está sometida al control de las consecuencias como el resto de las operantes, sensible al cambio de las contingencias para reorganizar los elementos y producir nuevas relaciones (24).

El tratamiento con ACT va dirigido a la reducción o eliminación de lo que se ha denominado trastorno de evitación experiencial, una dimensión funcional diagnóstica que explica por qué cuando el individuo evita tener contacto con sus experiencias privadas reduciendo de modo intencional la frecuencia de la experiencia y la condición que la genera, mantiene e incrementa el sufrimiento y los patrones de comportamiento que alejan a las personas de las direcciones de su valor (19,24,28-31).

En los procesos y componentes de la terapia de aceptación y compromiso - ACT, se puede decir que la ACT es la convergencia de seis procesos: aceptación, defusión, yo como contexto, valores, acción comprometida, y contacto con el momento presente, la cual está muy centrada en la atención. Estos seis procesos principales son representados gráficamente como un hexágono y se ha conocido como el "modelo hexaflex". Aunque ellos son descritos individualmente, se interpretaría erróneamente la teoría si se piensa en estos procesos como independientes uno del otro.

El proceso de aceptación implica una postura abierta, receptiva y sin prejuicios con respecto a la experiencia. La aceptación significa que cuando una experiencia particular surge, es posible reconocerla, estar presente a ella y aceptarla sin intentos de alterarla. Se pueden presentar juicios acerca del pensamiento: "No me gusta", sin embargo, tener un juicio negativo acerca de un pensamiento, no es equivalente a la evitación experiencial; para ello es necesario tener claridad sobre lo que es la resignación, ya que envuelve algunos aspectos que son similares a la aceptación; por ejemplo, si la persona está resignada ante algo, es probable que ya no pueda luchar. Sin embargo, la resignación con frecuencia se refiere a una clase de renuncia en vida y en posibilidad, diferente del proceso de aceptación que demanda movilidad con respecto a la vida sin evaluación de los eventos privados.

El proceso de defusión significa hacer contacto con los productos verbales como lo que son, no como lo que aparentemente son. Por extensión, lo opuesto a la defusión es la fusión, definida como el proceso mediante el cual ciertas funciones verbales de algunos eventos ejercen un control fuerte de estímulos sobre las respuestas a la exclusión de otras funciones psicológicas disponibles directamente e indirectamente (32). La razón de que esto esté limitado a eventos establecidos verbalmente es para distinguir la clase de respuesta que puede ocurrir.

Las personas actúan verbalmente respecto a su conducta, donde involucran tres marcos relacionales: "yo y tu", "aquí y ahora", "ahora y entonces". Estos repertorios relacionales de autoconocimiento permiten distinguir tres tipos de "yo", el yo conceptualizado (contenido), el yo conocedor (proceso) y el yo trascendente o consistente (yo contexto), los cuales corresponden a tres formas diferentes de hablar acerca de experiencia única de cada persona con su yo (23,33).

El proceso yo como contexto involucra la identificación fuerte de sí mismo con los contenidos prominentes del conocimiento, tales como el humor, pensamiento, rol, o estado corporal. Este yo es llamado algunas veces el yo observador o el yo trascendente y hace referencia a las categorías verbales que cada persona para definirse y describirse, y dentro de la teoría de los marcos relacionales, por medio de la trasformación de funciones, el yo puede adquirir las funciones de estímulo de las cosas que están dentro de un marco de correspondencia. También se relaciona con un sentido del yo como conciencia de sí mismo, notando los eventos conductuales inmediatos públicos y privados a medida que transcurren, ("estoy cansado", "estoy pensando que...") (34).

El proceso de valores es entendido de diferentes formas, tradiciones psicológicas, espirituales y filosóficas. Los valores en ACT son centrales porque dirigen y dignifican el trabajo difícil que se hace. Cuando la persona se mueve en dirección a sus valores, los obstáculos emergen, cuando estos son obstáculos en el mundo, la persona tiene una tarea ante la vida; cuando los obstáculos son pensamientos, emociones se tiene un tipo diferente de tarea ante la vida. Desde una perspectiva de la ACT, la tarea es la franqueza, aceptación y defusión en el servicio de moverse en una dirección valiosa (32).

El momento presente es otro componente del proceso terapéutico, que alude a la promoción del contacto con eventos psicológicos y ambientales como ocurren, teniendo como meta la conciencia del momento presente. En vez de vivir con una perspectiva del pasado o el futuro, la conciencia del momento presente es más directa, menos conceptual, menos fusionada y más responsiva, es decir, se alienta un sentido del "yo como proceso" caracterizado por la defusión y descripción no evaluativa de pensamientos, sentimientos y otros eventos privados, facilitando además, la conciencia plena (33,35).

Finalmente, la acción comprometida es el último de los procesos del hexaflex, implica los compromisos o pasos que están enfocados en una orientación consistente con valores de la persona, queriendo decir que la acción comprometida seria entonces un sinónimo de los valores. Sin embargo, la acción comprometida enfatiza en la elección continua y reelección de una dirección (32). Para el caso de los pacientes heridos en combate que participaron en la investigación se destacaron cambios en el ajuste al contexto hospitalario como indagar por su pronóstico, se ajustan a las indicaciones medicas, asisten a las terapias físicas, continúan con las terapias psicológicas si lo requieren, realizan nuevos proyectos de vida orientados hacia los valores personales, como realizar cursos y capacitaciones para hacer microempresas, impulsar planes de trabajo tendientes a la rehabilitación con el deporte competitivo, etc.

Finalmente, la acción comprometida es el último de los procesos del hexaflex, implica los compromisos o pasos que están enfocados en una orientación consistente con valores de la persona, queriendo decir que la acción comprometida seria entonces un sinónimo de los valores. Sin embargo, la acción comprometida enfatiza en la elección continua y reelección de una dirección (32). Para el caso de los pacientes heridos en combate que participaron en la investigación se destacaron cambios en el ajuste al contexto hospitalario como indagar por su pronóstico, se ajustan a las indicaciones medicas, asisten a las terapias físicas, continúan con las terapias psicológicas si lo requieren, realizan nuevos proyectos de vida orientados hacia los valores personales, como realizar cursos y capacitaciones para hacer microempresas, impulsar planes de trabajo tendientes a la rehabilitación con el deporte competitivo, etc.

Dado este panorama, cabe anotar que a nivel nacional hay pocos reportes de investigaciones sobre intervenciones desde la Terapia de Aceptación y Compromiso (ACT) en trauma de guerra (36), lo que hace de este trabajo pionero en el tema a nivel nacional, si bien se han dado algunos intentos de explicar el funcionamiento general de las personas expuestas a guerra en conflictos como el que se presentó en Kosovo (37) o estudios relacionados con dolor crónico y ACT (38). A pesar de que hay otros estudios en el contexto colombiano relacionados con la intervención terapéutica desde ACT en el campo de la Salud (39,40).

El objetivo de este artículo es presentar los cambios relacionados con la conducta de adherencia en pacientes expuestos a situaciones de combate y con trauma físico en miembro inferior o toráxico-abdominal del Hospital Militar Central, a partir de una intervención terapéutica basada en aceptación y la conducta orientada a los valores.

Método

Diseño

La investigación se desarrolló con un diseño de caso único tipo AB con seguimiento, se tomó una línea base para establecer el nivel de la variable dependiente antes de la intervención clínica, una vez establecida la medida se hizo la intervención terapéutica, se registraron las conductas durante el tratamiento, por medio de observación, registros médicos, registro del grupo de enfermería, terapistas físicas, ocupacionales y los registros del paciente, con el fin de determinar si se producen cambios producto de la intervención (41).

Muestra

El muestreo es de tipo no probabilístico y la población para la selección de la muestra fue la de los pacientes hospitalizados heridos en combate del Hospital Militar Central perteneciente al grupo de trauma, el censo fue de 64 pacientes entre el 25 de noviembre al 31 de diciembre de 2011. Por motivo de cambios administrativos y programación institucional se debieron realizar cambios procedimentales, dado lo anterior se inicia formalmente hasta el día 2 enero de 2012 con las evaluaciones pertinentes de pacientes ingresados en su momento al hospital.

La población se caracteriza por ser militares heridos en combate, los cuales son evacuados por la alta complejidad de sus diagnósticos directamente al Hospital Militar Central después del evento traumático, motivo por el cual la intervención que se realizó es en el momento en que aún se encuentran en crisis después de la exposición al combate y con lesión física.

La población que cumplió con los requisitos para participar en esta investigación inicialmente fueron seis pacientes y por complicaciones médico-quirúrgicas uno de los participantes fue llevado a la Unidad de Cuidados Intensivos (UCIQ), motivos por los cuales el número total de participantes fueron cinco pacientes expuestos a situaciones de combate con trauma físico de miembros inferiores o toráxico-abdominal del Hospital Militar Central que se encontraban al momento de la aplicación del tratamiento y que cumplieron con los criterios de inclusión.

Criterios de inclusión:

1. Pacientes con trauma físico en miembros inferiores o toráxico- abdominal.

2. Pacientes expuestos a situaciones de combate.

3. Pacientes con una estancia no menor a 15 días.

4. Pacientes con procesos cognitivos conservados a pesar del trauma.

Criterios de exclusión:

1. Pacientes que presentan ideación o intentos de suicidio en la historia o que actualmente se encuentren en riesgo para estas conductas.

2. Pacientes que tienen conductas psicóticas.

3. Pacientes que presentan trastornos mentales severos e incapacitantes que necesiten interconsulta por psiquiatría.

La evaluación del estado mental de los pacientes, se realizó a través de la entrevista semiestructurada teniendo en cuenta puntos principales del examen mental: estado de conciencia, humor, afectividad, atención, pensamiento, lenguaje, memoria, sensopercepción, juicio de realidad, introspección. Se basan también por los criterios diagnósticos establecidos en el Manual Diagnóstico y Estadístico de los Trastornos Mentales DSM-IV, (42), igualmente se realiza la evaluación multiaxial examinando los siguientes aspectos: Eje I: Trastornos clínicos; Otros problemas que pueden ser objeto de atención clínica. Eje II: Trastornos de la personalidad, Retraso mental. Eje III: Enfermedades médicas. Eje IV: Problemas psicosociales y ambientales. Eje V: Evaluación de la actividad global.

La evaluación realizada a los pacientes de esta investigación se encuentra en la historia clínica de cada uno de los participantes.

Instrumentos

Formato Guía de entrevista: Esta entrevista es utilizada al ingreso de los pacientes al Hospital Militar Central, incluye datos básicos de identificación, datos socio-demográficos, datos acerca de la fecha de lesión, fecha de ingreso y fecha de atención inicial. Adicionalmente, tiene un apartado para la descripción del problema y el motivo de consulta, otro apartado de evaluación por áreas específicas y finalmente un apartado denominado plan, en el que se especifica el manejo que se dará al caso de forma genérica.

Registro de comportamiento ABC: Es un registro en el cual se especifican situaciones valoradas como "agradables" y "desagradables", para establecer antecedentes, conductas y consecuencias vinculadas a la situación. El objetivo del auto-registro es proporcionar muestras de eventos privados con función aversiva y las respuestas ante ellos, en dirección de valores o en dirección de control (34).

Registro de conducta por parte del personal médico: Este instrumento se basó en el registro de frecuencia de conductas relacionadas con la adherencia al tratamiento, en cada uno de los pacientes de acuerdo con su diagnóstico médico particular. Los datos registrados fueron semanales y fue diligenciado de acuerdo con los datos disponibles en los registros de historias clínicas diligenciados por parte del personal médico, de enfermería, terapistas físicas, ocupacionales, etc.

Resultados

Tal y como se describe en el procedimiento, las frecuencias de las conductas aquí descritas fueron tomadas durante ocho días, los datos están basados en registros de conducta por parte del personal médico, de enfermería, terapistas físicas y ocupacionales en los registros de historia clínica.

Se presenta a continuación la medición específica de la variable dependiente, esto es las acciones en dirección a los valores personales dada por la frecuencia de las acciones realizadas que permitieran un mejor progreso en el contexto hospitalario de cada uno de los pacientes, para el objetivo específico de este artículo se presentan las acciones comprometidas orientadas a mejorar la adherencia al tratamiento y por tanto, el ajuste al contexto hospitalario y mejorías en el proceso de recuperación física.

La frecuencia en las acciones en el paciente 1 (figura 1) con respecto a la adherencia al tratamiento, aumentó a partir de la fase de tratamiento, acciones como la dieta, preguntar por su proceso físico incrementó su frecuencia y se mantienen en la fase de seguimiento, sin embargo, se resaltar en la conducta de ingesta de alimentos hubo una baja considerable en la sesión 6. Según el reporte médico en el retroceso de su pronóstico fue a causa de una infección en su herida, aún así reconoce su tristeza como un evento privado del momento que está viviendo, lo que hace que retome acciones comprometidas en la ingesta de comida en las sesiones 7 y 8 de seguimiento.

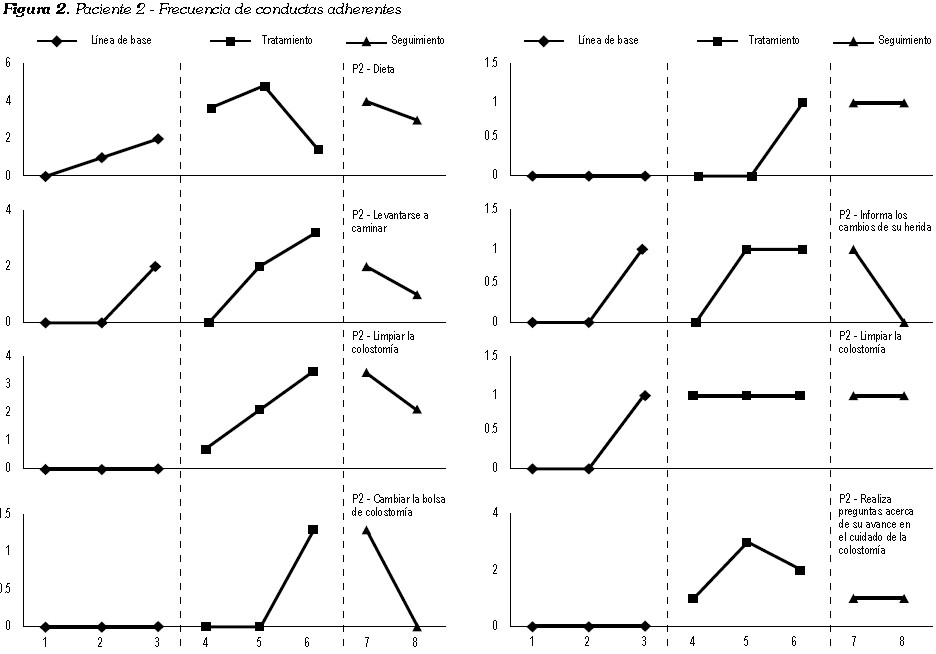
El paciente 2 (Figura 2) La conducta de dieta inició con un incremento en la fase de evaluación, en la fase de tratamiento (sesión 6) la conducta fue en detrimento, consumiendo dos comidas en esta sesión, lo cual estuvo dado por el tipo de dieta suministrada, aún así la conducta tiende a estabilizarse en la sesión 8.

Acciones como levantarse a caminar manifiestan tendencia a incrementarse desde la fase de evaluación, la incomodidad que le genera al paciente el tipo de accidente que pueda sufrir con la bolsa colostomía lo llevo a disminuir su conducta, estableciendo fusión con el pensamiento de "se va a caer la bolsa y voy a sentir angustia por ello" determinando la falta de actividad en la fase de intervención, en la sesión 5 la conducta se incrementa estabilizándose en la fase de seguimiento.

El reporte de la información sobre los cambios en la herida, en línea de base mantuvo una tendencia al incremento. Sin embargo, en la sesión 4 la relación entre el personal de enfermería y paciente empieza a deteriorarse por la falta de oportunidad en la atención de las necesidades del paciente, su pensamiento de "nunca harán nada así se lo pida mil veces, así son todos" llevo a distanciarse del resto del personal paramédico. La fase de intervención permitió que la frecuencia de la conducta aumentara, hasta la fase de seguimiento, permitiendo que la conducta de informar cambios en la herida genere mayor atención y una mejor acción preventiva frente una posible infección.

Un avance importante en la conducta del paciente es su aprendizaje en el manejo de la colostomía, en la línea de base el paciente expresa la sensación de incapacidad en el manejo de la bolsa y ganancias ocasionales debido a que el cuidador realizaba la labor, una vez realizada la fase de tratamiento el paciente toma interés en el aprendizaje del manejo de la bolsa de colostomía e incrementó las conductas para su mantenimiento, (limpiar la bolsa, limpiar y secar su piel para el cambio, cambiar la bolsa). A medida que su experticia se dio la frecuencia de preguntas sobre el avance en el manejo de la bolsa fue en disminución, lo que demostró el distanciamiento en los pensamientos de incapacidad y su orientación a acciones en función de sus valores.

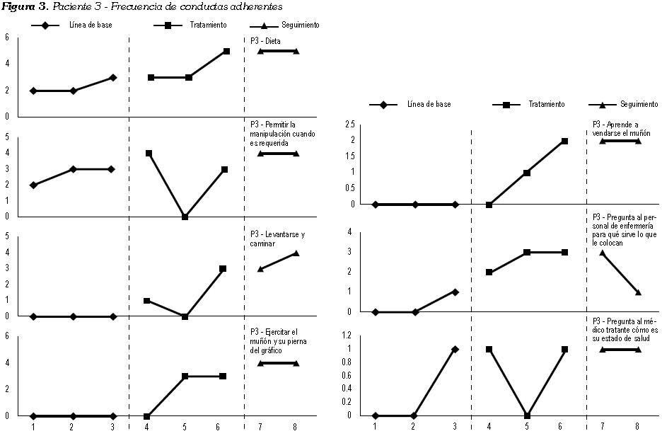
El paciente 3 (figura 3) presentó tendencias de incremento en la frecuencia de conductas adherentes desde la fase evaluación. La dieta, preguntar al personal de enfermería que le colocan y permitir la manipulación cuando es debida, inició con incrementos en la línea de base que se mantuvieron en el tratamiento y en el seguimiento exceptuando el permitir la manipulación requerida que en la sesión 5 presenta un declive en la conducta, al igual que levantarse, caminar, preguntar por su estado de salud, el paciente reporta en esta sesión sentir algo de ansiedad frente al nacimiento de su hijo, y no estar presente para cubrir las necesidades de su pareja y su hijo. Aún así, en las siguientes sesiones retoma la conducta, que se mantienen en el seguimiento. Las conductas como ejercitar el muñón y aprender a vendarse el muñón presento incrementos de la frecuencia de las acciones a partir de la fase de tratamiento y se mantuvieron en la fase de seguimiento.

Figura 4

La frecuencia de las conductas adherentes en el paciente 4 se caracterizaron por tener tendencia al aumento, las conductas de levantarse a caminar, ejercitar su muñón, aprender a vendarse el muñón presentaron incrementos en la frecuencia de la conducta en la fase de tratamiento y seguimiento. La frecuencia de las conductas como la dieta, permitir la manipulación cuando es requerida y preguntar acerca de la medicación que le colocan, aumentaron la frecuencia en la línea de base y se mantienen estables durante las fases de tratamiento y seguimiento.

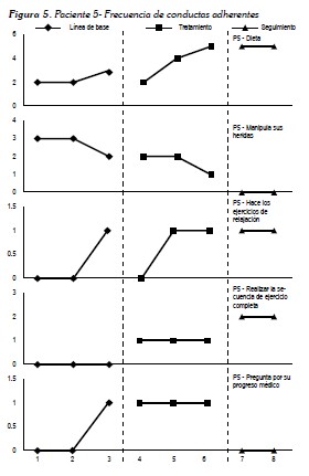
En la línea de base, se pudo observar que las conductas de autocuidado y adherencia al tratamiento del paciente 5 (figura 5), conductas determinadas por el seguimiento de dieta y realizar la secuencia de ejercicios completa, muestran una línea de base con frecuencias bajas. En la fase de tratamiento, la frecuencia de estas conductas aumentaron y se estabilizan en la fase de tratamiento. Las conductas de hacer los ejercicios de relajación y preguntar por su progreso médico, aumentan sus frecuencias a partir de la etapa de evaluación, y no presentan cambios durante las fases de tratamiento y seguimiento. La frecuencia de la conducta de manipulación de heridas presenta una alta frecuencia en la linea de base que se va reduciendo en la fase de tratamiento y en la fase de seguimiento.

Discusión

Los hallazgos obtenidos en esta investigación, efectuada en pacientes expuestos a situaciones de combate con trauma físico de miembros inferiores o toráxico-abdominal del Hospital Militar Central, respaldan la propuesta acerca de los cambios en conductas que permiten el ajuste a la vida cotidiana, producidos por una terapia orientada a los valores en pacientes con las características antes mencionadas en el contexto hospitalario.

Los resultados del paciente 2 en las conductas de adherencia sugieren que la terapia se hace efectiva para el incremento de conductas orientadas a sus valores, lo que mejora el ajuste en el contexto hospitalario. La disminución en la conducta de informar sobre su herida, sugiere que cuando el personal médico o de enfermería se centran en la prestación del servicio en función del daño físico sufrido por el paciente, olvidando sus necesidades emocionales, facilita que se desarrollen cambios de actitud en el paciente frente a la estancia hospitalaria, como la pasividad. Este tipo de conductas retroalimentan otros comportamientos como el desinterés o falta de comportamientos de escucha por parte de los profesionales, lo que prolonga la recuperación teniendo en cuenta que el paciente prefiere omitir detalles importantes del tratamiento y que pueden ser de interés y relevantes para el proceso de intervención medico, el proceso de estancia en el contexto hospitalario y el proceso de recuperación en general (8,36,43,44,45,46).

La amputación en el paciente 1 lo hizo sentirse discriminado e inútil y generó en él sentimientos de soledad y tristeza, situaciones que se caracterizaron por acciones fusionadas con el detrimento de sus valores personales como la autonomía y la relación con la familia y la pérdida de confianza en él mismo, como las sugeridas por Remor (47) y Serra (48). Con la intervención terapéutica en la ACT se logró desliteralizar los contenidos verbales, permitiendo que el paciente 1 estuviera en el "aquí-ahora" promoviendo acciones dirigidas a sus relaciones familiares y sociales que hicieron evidentes comportamientos relacionados con conductas de adherencia, conductas independientes y conductas de reporte de satisfacción con la vida.

A partir de esto, también se pudo establecer que al inicio de la evaluación se encontraba discrepancia entre las diferentes áreas valiosas (familia, pareja, cuidado de los hijos y trabajo) y el desarrollo de acciones comprometidas orientadas hacia estos valores. Sin embargo, se observó durante la terapia una coherencia entre las acciones comprometidas y las áreas valiosas a lo largo del proceso. Haciéndose más evidente en la fase de seguimiento donde los resultados se mantuvieron e incluso incrementaron.

Los pacientes en su totalidad manifestaron una evitación experiencial que afectó su ajuste a la vida cotidiana en el entorno hospitalario, presentando dificultades para el cumplimiento de las indicaciones dadas por el cuerpo médico, en primera instancia. En este punto, los resultados obtenidos en la intervención terapéutica orientada a los valores, mostraron que la frecuencia de conductas relacionadas con la adherencia al tratamiento se incrementó logrando así una estancia hospitalaria más corta. Los cambios derivados de la terapia facilitan la conducta autónoma de los pacientes que desarrollaron un mejor nivel de independencia, evitando las ganancias secundarias que obtenían a través de la sobreprotección por parte de sus familiares y de vez en cuando del equipo médico como lo afirma Miró (49). Los cambios registrados en la conducta de los pacientes a quienes se les aplicó la terapia orientada a los valores en la presente investigación, ratifica que el proceso de aceptación de la nueva condición tendrá como efecto la fluctuación en las emociones y las conductas, influyendo así en los procesos dinámicos de la rehabilitación (15).

Ya que el estudio no permite establecer una generalización de la aceptación de los eventos privados y el cambio de las conductas, a partir de la intervención, es importante continuar con la con la terapia en contextos fuera del entorno hospitalario para encaminar acciones en la dirección deseada en el ambiente natural de los consultantes. También es importante la replica de este estudio para evaluar los hallazgos en poblaciones similares y poder demostrar no sólo los cambios en la conducta de los consultantes, sino si efectivamente la terapia es eficaz y eficiente para el manejo de estos pacientes. Otro aspecto que es necesario controlar para investigaciones futuras, se relaciona con la corta estancia de los pacientes en el Hospital Militar Central, puesto que incide en el seguimiento que se puede hacer a cada caso al abandonar la terapia y afectar su efectividad.

Con base en lo anterior es relevante continuar con futuras investigaciones que puedan proporcionar soporte a estudios psicológicos que permitan ampliar abordajes frente a esta problemática en el Hospital Militar Central, las fuerzas Militares de Colombia y el contexto nacional, a partir de este trabajo. Por ejemplo, se podrían realizar estudios similares con muestras más grandes, que abarquen otras variables como la relación medico paciente, el rol del cuidador primario y la continuidad del tratamiento en los diferentes dispensarios de sanidad militar.

Un aspecto importante en el desarrollo de futuras investigaciones es establecer si una terapia orientada a los valores previene el desarrollo del estrés postraumático en combatientes que presentan signos y síntomas emocionales al experimentar sucesos estresantes.

Cabe anotar que a nivel nacional no existen reportes de investigación sobre intervenciones desde la terapia de aceptación y compromiso (ACT) en el ámbito de las fuerzas militares para los heridos en combate, lo que convierte esta investigación pionera al respecto y le atribuye relevancia de tipo disciplinar (36).


Referencias

1. Organización Mundial de la Salud - OMS. Informe Mundial Sobre Violencia y Salud. Publicación Científica y Técnica N°588; 2002. Disponible en: http://www.who.int/mediacentre/news/releases/pr73/es/.         [ Links ]

2. Summerfield D. The psychosocial effects of conflictin the Third World. Development in Practice. 1991; (1): 159-173.         [ Links ]

3. Follette V, Pistorello J. Finding Life Beyond Trauma. Canada: New Harbinger Publications; 2007.         [ Links ]

4. Folke F, Parling T, Melin L. Acceptance and Commitment Therapy for Depression: A Preliminary Randomized Clinical Trial for Unemployed on Long-Term Sick Leave. Cognitive and Behavioral Practice. 2012; 19(4): 583-594.         [ Links ]

5. Rueda, L, Zúñiga O. Principales Dilemas Bioéticos en las Personas con Discapacidad Prolongada. Acta Bioética. 2002; VIII (001): 127-135.         [ Links ]

6. Zas R. Prevención institucional: experiencias, certezas, angustias. 2003. (acceso 16 enero de 2007). Disponible en: http://www.alapsa.org/detalle/02/index.htm.         [ Links ]

7. Wade D. Halligan P. Do biomedical models o illness make for good healthcare systems? British Medical Journal. 2004; 329: 1398-1401.         [ Links ]

8. Vallin O, Lemos S. Dos décadas de intervenciones familiares en la esquizofrenia. Psichotema. 2000; 12 (4); 671-688.         [ Links ]

9. Bados A. Trastorno por Estrés Postraumatico. Facultat de Psicología, Departament de Pesonalitat, Avaluació i Tractament Psicológics. Universitat de Barcelona; 2009.         [ Links ]

10. Barlow D. Anxiety and its disorders: The nature and treatment of anxiety and panic. 2a ed. New York, NY US: Guilford Press; 2002.         [ Links ]

11. Eifert G, Forsyth J, Arch J, Espejo E, Keller M, Langer D. Acceptance and Commitment Therapy for Anxiety Disorders: Three Case Studies Exemplifying a Unified Treatment Protocol. Cognitive and Behavioral Practice. 2009; 16: 368-385.         [ Links ]

12. Hayes S, Wilson K, Gifford E, Follette V, Strosahl, K. Experiential Avoidance and Behavioral Disorders: A Functional Dimensional Approach to Diagnosis and Treatment. Journal of Consulting and Clinical Psychology. 1996; 64 (6): 1152-1168.         [ Links ]

13. Kohlenberg RJ, Tsai M, Ferro R, Valero L, Fernández A, Virués- Ortega J. Psicoterapia Analítico-Funcional y Terapia de Aceptación y Compromiso: teoría, aplicaciones y continuidad con el análisis del comportamiento. International Journal of Clinical and Health Psychology. 2005; 5(2): 349-371.         [ Links ]

14. Bohlmeijer E, Fledderus M, Rokx T, Pieterse M. Efficacy of an early intervention based on acceptance and commitment therapy for adults with depressive symptomatology: Evaluation in a randomized controlled trial. Behaviour Research and Therapy. 2011; 4(9): 62-67.         [ Links ]

15. Wirotius J, Pétrissans J. Depresión en rehabilitación. EMC (Elsevier SAS, Paris), Kinesiterapia - Medicina física. 2005; 26-550-A-10.         [ Links ]

16. MacKenzie E, Bosse M, Castillo R, Smith D, Webb L, Kellam J, et al. Functional outcomes following trauma-related lower-extremity amputation. . The journal of Bone & Joint Surgery American. 2004; 86-A(8): 1636-1645.         [ Links ]

17. Geertzen J, Martina J, Rietman H. Lower limb amputation Part 2: rehabilitation - a 10 year literature review. Prosthetics and Orthotics International. 2001; 25(1): 14-20.         [ Links ]

18. Dillingham T, Pezzin L, Mackenzie E, Burgess A. Use and satisfaction with prosthetic devices among persons with trauma-related amputations: a long term outcome study. American Journal of Pysical Medicine & Rehabilitation. 2001; 80(8): 563-571.         [ Links ]

19. Hayes S, Stroshal K. A Practical Guide to Acceptance and Commitment Therapy. United States of América: Springer; 2004.         [ Links ]

20. Skinner BF. The evolution of verbal behavior. Journal of Experimental Analysis of Behavior. 1986; 45(1): 115-122.         [ Links ]

21. Vilardaga R, Hayes S, Schelin L. Philosophical, theoretical and empirical foundations of Acceptance and Commitment Therapy. Anuario de Psicología. 2007; 38(1), 117-128.         [ Links ]

22. Hayes SC, Strosahl KD, Wilson KG, Bissett RT, Pistorello J, Toarmino D, et al. Measuring experiential avoidance: A preliminary test of a working model. The Psychological Record. 2004; 54: 553-578.         [ Links ]

23. Bach P, Moran D. ACT in practice: Case Conceptualization in Acceptance and Commitment Therapy. Canada: United States of America: New Harbinger Publications, Inc; 2008.         [ Links ]

24. Wilson K, Luciano M. Terapia de Aceptación y Compromiso (ACT): Un Tratamiento Conductual Orientado a los Valores. Madrid: Ediciones Pirámide; 2002.         [ Links ]

25. Luciano C, Valdivia S. La Terapia de Aceptación y Compromiso: Fundamentos, características y evidencia. Papeles del psicólogo. 2006; 2 (27): 79-91.         [ Links ]

26. Barnes-Holmes I., Barnes-Holmes D, McHugh L, Hayes S. Relational Frame Theory: Some implications for understanding and treating Human Psychopatology. International Journal of Psychology and Psychological Therapy. 2004; 4 (002): 355-375.         [ Links ]

27. Blackledge J, Hayes S. Emotion regulation in Acceptance and Commitment Therapy. Psychotherapy and Practice. 2001; 57(2): 243-255.         [ Links ]

28. Ferro R. Aplicación de la Terapia de Aceptación y Compromiso en un Ejemplo de Evitación Experiencial. Psichotema. 2000; 12(003): 445-450.         [ Links ]

29. Törneke N, Luciano C, Valdivia S. Rule-Governed Behavior and Psychological Problems. International Journal of Psychology and Psychological Therapy. 2008; 8 (2): 141-156.         [ Links ]

30. Tull M, Roemer L. Alternative Explanations of Emotional Numbing of Posttraumatic Stress Disorder: An Examination of Hyperarousal and Experiential Avoidance. Journal of Psychopathology and Behavioral Assessment. 2003; 25(3): 147-154.         [ Links ]

31. Twohig MP. The Application of Acceptance and Commitment Therapy to Obsessive-Compulsive Disorder. Cognitive and Behavioral Practice. 2009; 16: 18-28.         [ Links ]

32. Wilson K, Dufrene T. Mindfulness for two: An Acceptance and Commitment Therapy approach to Mindfulness in Psychotherapy. Canada: New Harbinger Publications, Inc; 2008.         [ Links ]

33. Hayes SC, Stroshal KD, Wilson KG. Acceptance and Commitment Therapy. New York: The Guilford Press; 1999.         [ Links ]

34. Toledo C, García D. Revisión Documental del Desarrollo de Acciones comprometidas hacia direcciones valiosas a través de una intervención clínica centrada en aceptación de eventos privados. Trabajo de Grado Pontificia Universidad Javeriana. Facultad de Psicología en convenio con Universidad de Ibagué. Bogotá; 2010.         [ Links ]

35. Luoma J, Hayes S, Walser R. Learning ACT: An Acceptance & Commitment Therapy Skills- Ttraining Manual for Therapist. Oakland, CA: New Harbinger & Reno, NV: Context Press; 2007.         [ Links ]

36. Báez A, Serna N, Vargas R. Fortalecimiento de conductas que permitan el ajuste al contexto hospitalario a partir de una terapia psicológica basada en Aceptación y conducta orientada a los valores en pacientes heridos en combate en el Hospital Militar Central. Documento inédito, tesis de Maestría. Bogotá: Fundación Universitaria Konrad Lorenz; 2012.         [ Links ]

37. Morina N. The role of experiential avoidance in psychological functioning after war-related stress in Kosovar civilians. The Journal of Nervous and Mental Disease. 2007; 195 (8): 697-700.         [ Links ]

38. Veehof M, Oskam M, Schreurs K, Bohlmeijer E. Acceptance-based interventions for the treatment of chronic pain: A systematic review and meta-analysis. PAIN. 2011; 152: 533-542.         [ Links ]

39. García D, Novoa M. Fortalecimiento de la aceptación y la conducta orientada a los valores asociados al rol de cuidador de paciente con cáncer. Trabajo de Grado Pontificia Universidad Javeriana. Facultad de Psicología. Bogotá; 2010.         [ Links ]

40. Garzón L, Rendón M. Evaluación del impacto de la Terapia de Aceptación y Compromiso en la Evitación Experiencial de madres de recién nacidos de bajo peso, hospitalizados en Unidad Neonatal. Trabajo de Grado Pontificia Universidad Javeriana. Facultad de Psicología. Bogotá; 2011.         [ Links ]

41. Barker C, Pistrang N, Elliot R. Research Methods in Clinical Psychology. West Sussex, England: John Wiley & Sons, Ltd; 2002.         [ Links ]

42. American Psychiatric Association - APA. Manual diagnóstico y estadístico de los trastornos mentales (DSM-IV-TR) (4ª. Edición revisada), Barcelona: Masson; 2002.         [ Links ]

43. García-Conde J, Garcia Conde A. Humanización de la asistencia clínica oncológica. Psicooncología. 2005; 2 (1): 149-159.         [ Links ]

44. Girón M, Beviá B, Medina E, Talero M. Calidad de la relación médico paciente resultados de los encuentros clínicos en atención primaria de alicante: un estudio con grupos focales. Revista de Salud Publica. 2002; 76 (5); 561-575.         [ Links ]

45. Jaramillo L, Pinilla C, Duque M, González L. Percepción del paciente y su relación comunicativa con el personal de la salud en el servicio de agudos del Hospital de Caldas. Manizales (Colombia). Index de Enfermería. 2004; 46: 29-33.         [ Links ]

46. Zoppi K, Epstein RM. ¿Es la comunicación una habilidad? Las habilidades comunicativas para mantener una buena relación? ANALES Sis San Navarra. 2001; 24(2). Disponible en: http://www.cfnavarra.es/salud/anales/textos/vol24/suple2/suple4a.html.         [ Links ]

47. Serra M. El paciente amputado, labor de equipo. Barcelona: Springer; 2001.         [ Links ]

48. Remor E. El psicólogo en el ámbito hospitalario. España: Editorial Desclée De Brouwer; 2003.         [ Links ]

49. Miró J. Dolor crónico: procedimientos de evaluación e intervención psicológica. Madrid: Deesclée de Brower; 2003.         [ Links ]