Services on Demand
Journal
Article
Indicators
-
Cited by SciELO -
Access statistics
Related links
-
Cited by Google -
Similars in
SciELO -
Similars in Google
Share
Revista Facultad de Ciencias Económicas: Investigación y Reflexión
Print version ISSN 0121-6805
Rev.fac.cienc.econ. vol.23 no.2 Bogotá July/Dec. 2015
https://doi.org/10.18359/rfce.1613
ARTÍCULO DE INVESTIGACIÓN
DOI: http://dx.doi.org/10.18359/rfce.1613 
UNIDADES DE EMPRENDIMIENTO BAJO UN ESTUDIO DE EFICIENCIA RELATIVA*
ENTERPRENEURSHIP UNITS UNDER STUDY ON RELATIVE EFFICIENCY
UNIDADES DE EMPREENDIMENTO SOB UM ESTUDO DE EFICIÊNCIA RELATIVA
GLORIA ISABEL RODRÍGUEZ LOZANO**, & ORLANDO TARAZONA MORALES***
UNIVERSIDAD NACIONAL DE COLOMBIA
* Este artículo es producto de una investigación, el título del proyecto de investigación es: Estudio de la eficiencia y la productividad de los sectores de la economía colombiana, Facultad de Ciencias Económicas de la Universidad Nacional de Colombia; y se adelantó durante los año 2010 al 2013.
** Profesora Asociada de la Facultad de Ciencias Económicas de la Universidad Nacional de Colombia. PhD en Ciencias Económicas de la Universidad Nacional de Colombia, Magister en Ingeniería Industrial de la Universidad de los Andes y Administradora de Empresas de la Universidad Nacional de Colombia. Dirección postal: Carrera 45 # 30-03 Edif. 310, 311 y 238, Bogotá (Colombia). Teléfono: (+57 1) 316 5000. Correo electrónico: girodriguezl@unal.edu.co.
*** Coordinador del área de Ingeniería Aplicada y profesor de Emprendimiento del Programa de Ingeniería Industrial de la Universidad El Bosque, profesor del Seminario de Creación de Empresas de la Facultad de Ciencias Económicas de la Universidad Nacional de Colombia. Magister en Administración de la Facultad de Ciencias Económicas de la Universidad Nacional de Colombia, Ingeniero Industrial de la Universidad Antonio Nariño. Correo electrónico: propositivos@yahoo.com.
Rodríguez, G. & Tarazona, O. (2015). Unidades de emprendimiento bajo un estudio de eficiencia relativa. En: Revista de la Facultad de Ciencias Económicas de la Universidad Militar Nueva Granada. rev.fac.cienc.econ, XXIII (2), DOI: http://dx.doi.org/10.18359/rfce.1613.
JEL: L26, D61, C67, D24.
Recibido/ Received/ Recebido: 21/04/14 - Aceptado/ Accepted / Aprovado: 26/11/14
Resumen
Este artículo presenta un análisis comparativo de la eficiencia relativa de un grupo de Unidades de Emprendimiento (UE) ubicadas en la ciudad de Bogotá, utilizando Data Envelopment Analysis (DEA). Con base en la información obtenida de las UE estudiadas se definieron las entradas y salidas, se generaron los diferentes submodelos, la Frontera Eficiente para cada uno y se analizaron los factores que determinaron esa condición. El presente estudio termina planteando la posibilidad de adelantar estudios similares en organizaciones dedicadas a promover y apoyar el emprendimiento en otros países, con el fin de continuar construyendo conocimiento alrededor de esta temática.
Palabras clave: Emprendimiento, Eficiencia, Data Envelopment Analysis.
Abstract
This article presents a comparative analysis of the relative efficiency of a group of Entrepreneurship Units (UE ) located in Bogota , using Data Envelopment Analysis ( DEA ) . Based on the information obtained from the EU studied inputs and outputs were defined, the different sub-models were generated, the Efficient Frontier for each one and the factors that determined that condition were analyzed. This study concludes by raising the possibility of advancing similar studies in organizations dedicated to promote and support entrepreneurship in other countries in order to continue to build knowledge around this subject.
Keywords: Entrepreneurship, Efficiency, Data Envelopment Analysis.
Resumo
Este artigo apresenta uma análise comparativa da eficiência relativa de um grupo de Unidades de Empreendimento (UE) localizadas na cidade de Bogotá, utilizando Date Envelopment Analysis (DEA). Com base na informação obtida da UE estudadas definiram-se as entradas e saídas, geraram-se os diferentes submodelos, a Fronteira Eficiente para cada um e se analisaram os fatores que determinaram essa condição. O presente estudo termina propondo a possibilidade de adiantar estudos similares em organizações dedicadas a promover e apoiar o empreendimento em outros países, com o fim de continuar construindo conhecimento ao redor desta temática.
Palavras chave: Empreendimento, Eficiência, Data Envelopment Analysis.
1. Introducción
Las organizaciones impulsadas por el afán de mejorar su competitividad, experimentan en algún momento de su existencia la necesidad de saber qué tan eficientes son. No obstante, la forma como tradicionalmente se mide la eficiencia no siempre es la más acertada, debido a que en los modelos tradicionales de medición de ésta no se pueden considerar los múltiples factores y/o variables involucrados en la actividad cotidiana de producción de bienes y generación de servicios. Aunque existen varios métodos de medición de la eficiencia, tradicionalmente ésta se ha calculado mediante razones matemáticas en las que la entrada o recurso empleado es el denominador y la salida o producto es el numerador; dicha forma de medir la eficiencia exige calcular varios índices puesto que en cada uno de ellos tan solo es posible relacionar un único recurso (entrada) con un único producto o servicio (salida) haciendo muy complicado para la organización el realizar comparaciones integralmente con otras. Lo anterior ha impulsado el desarrollo de herramientas que permitan dar respuesta a la necesidad de procedimientos satisfactorios para medir la eficiencia relativa con mayor grado de exactitud. La herramienta por excelencia es el Análisis Envolvente de Datos, conocida en inglés como Data Envelopment Analysis (DEA), introducida en el año de 1978 por Charnes, Cooper y Rodhes, la cual ofrece la ventaja de considerar múltiples entradas y múltiples salidas (Cook & Seiford, 2009, p. 13) al momento de medir el desempeño de cualquier tipo de organización; así mismo permite el manejo de diferentes tipos de entradas y salidas en un mismo modelo (Savic, Radosavljevic & Llievski, 2012, p. 6). Adicionalmente es importante establecer que el Análisis Envolvente de Datos es un modelo de programación lineal, que establece una medida de la eficiencia relativa de un conjunto de unidades que toman decisiones -Decisión Making Units DMU's-, y determina el grado de desempeño de dichas unidades en referencia al proceso de transformación de entradas en salidas (Rodríguez, 2011, p. 69).
Vale la pena anotar que el presente artículo es el resultado de una investigación cuyo objetivo es constituirse en uno de los primeros esfuerzos de medición de la eficiencia relativa de las Unidades de Emprendimiento (UE) adscritas a diferentes tipos de instituciones educativas bogotanas: universitarias, tecnológicas y/o centros de formación gubernamentales. De tal manera que, se espera que este material contribuya a aumentar el interés por la medición de la eficiencia relativa en este tipo de organizaciones para que, en un futuro, se adelanten investigaciones que redunden en su fortalecimiento como medio para promover la creación de empresas que aporten a la generación de desarrollo y al mejoramiento de la calidad de vida de las personas.
2. El emprendimiento en Colombia
El emprendimiento en Colombia es un tema que ocupa un importante lugar en la agenda gubernamental. En el texto de la Ley 1286 del 23 de enero de 2009 (Diario Oficial 47241, 2009, p. 1-25) sancionada en la misma fecha y aprobada por el Congreso de la República, eleva la categoría de COLCIENCIAS a Departamento Administrativo del orden Nacional, incrementando los aportes para investigación hasta el 1% del PIB en el 2010, afianzando el concepto de innovación y concibiendo el Sistema Nacional de Ciencia, Tecnología e Innovación (SNCTI). En el Artículo 2º del Capítulo I de esta ley, el sexto de los objetivos específicos plantea el desarrollo de los sectores productivo, económico, social y ambiental del país, a través de la formación de sus ciudadanos; llamando la atención el énfasis que allí se hace en la creatividad, la innovación, la toma de decisiones, el emprendimiento y la creación de empresas. Adicionalmente, en el Numeral 6º del Artículo 3º se plantea la promoción de la calidad de la educación, especialmente en la educación media, técnica y superior con el fin de: "[...] estimular la participación y desarrollo de las nuevas generaciones de investigadores, emprendedores, desarrolladores tecnológicos e innovadores" (negrilla por fuera del texto). De igual manera, en los artículos 6º, 7º, 17º, continúa siendo manifiesta la intensión del Estado de promover el emprendimiento poniendo el acento en la creación de empresas de base tecnológica.
Las Universidades han jugado un papel importante en la promoción y consolidación del emprendimiento, vale la pena destacar lo que tiene que ver con publicaciones mostrando las diferentes aproximaciones a tener en cuenta en el análisis de este tema (Zárate, Argüelles, Aparicio, Salcedo, Ibarra, Matíz, Parra & Argote, 2013, p. 5-20). Inicialmente eran las escuelas de negocios quienes tenían mayor afinidad con el tema debido a su relación con los tópicos involucrados en la creación y dirección de empresas (Guzmán & Trujillo, 2008, p. 107), no obstante, hoy puede apreciarse como el emprendimiento ha permeado a todo tipo de Instituciones Educativas y Facultades y/o Programas que no tienen una relación directa con el tema.
Colombia ya inició la construcción de su red de emprenderismo y se evidencian algunos frutos importantes, pero falta mucho por hacer; no obstante es significativo lo que se ha hecho. En este sentido, el Estado ha generado fuentes de financiamiento a través del Servicio Nacional de Aprendizaje (SENA) y del Fondo Colombiano para la Modernización y Desarrollo Tecnológico de las micro, pequeñas y medianas Empresas (Fomipyme). Es importante anotar que algunas de las UE, así como las Incubadoras de Empresas, han surgido como resultado de la asociación entre las universidades, el SENA y el sector privado, demostrando de esta manera que el tema ha alcanzado gran trascendencia para el país, especialmente en el ámbito académico. Las universidades, y el mismo SENA, han introducido en sus currículos el emprendimiento como parte de la estrategia de formación del espíritu empresarial en sus estudiantes, permitiendo avizorar un futuro que promete avances substanciales en este campo.
Los buenos resultados en Colombia no se han hecho esperar "Desde hace cuatro años, Colombia ha estado en los primeros lugares de emprendimiento en todo el mundo, según el estudio del Global Entrepreneurship Monitor, que analiza 69 economías, teniendo en cuenta indicadores en términos de utilización de tecnologías, productos novedosos, nuevas empresas, empresarios reconocidos y el ecosistema del país." (Portafolio 2013). Para el Banco Interamericano de Desarrollo Colombia ocupa el puesto 38 entre 54 países del mundo por sus condiciones para emprender negocios innovadores (BID, 2014). Partiendo del hecho que Colombia es el país con más emprendedores se atribuye este hecho a que "Las Redes Regionales de Emprendimiento cuentan en su conjunto, con 481 instituciones de apoyo al emprendimiento, entre las que se cuentan gobernaciones, alcaldías, y centros educativos, lo que la hace de nuevo líder en el mundo; Además cuenta con una amplia red de instituciones de soporte al emprendimiento conformada por fundaciones, incubadoras y aceleradoras". (Urna de Cristal 2012).
Para el quinquenio 2014-2018 se han esquematizado 5 ejes con los cuales se busca consolidar en el país una cultura de innovación empresarial y de emprendimiento dinámico, las cuales son: "i) unas instituciones públicas con una visión clara, una efectiva articulación entre sí, y alineadas y coordinadas con el sector privado, la academia y los centros de investigación, ii) recursos financieros, tanto públicos como privados, disponibles y bien orientados para impulsar y apalancar la estrategia de CT&I, iii) unas empresas con capacidad gerencial e innovación que lleven las ideas a los mercados, iv) un capital humano técnico, moderno y especializado, y v) una capacidad de desarrollo científico y tecnológico pertinente a las necesidades econó- micas y sociales del país". (Gómez & Mitchell, 2014, p. 27).
3. El Papel del Fondo Emprender (FE)
El 27 de diciembre de 2002 con el Artículo 40 de la la ley 789 se crea el Fondo Emprender (FE) (Diario Oficial 45046, 2002, p. 34). El Acuerdo 010 de 2013 (SENA 2013, p. 1-3) establece que podrán ser beneficiarios y por lo tanto podrán acceder a los recursos del FE, los ciudadanos colombianos, mayores de edad, que tengan interés en iniciar un proyecto empresarial desde la formulación de su plan de negocio o que su empresa no supere los 12 meses de haber sido constituida legalmente, adicionalmente respecto a la destinación de los recursos dice que se debe hacer de conformidad con lo señalado en el artículo 40 de la Ley 789 de 2002.
El FE, bajo la administración del SENA, busca originar estrategias para el desarrollo de las competencias emprendedoras por parte de aprendices SENA; estudiantes universitarios de últimos semestres o profesionales, técnicos o tecnólogos con título obtenido dentro de los últimos 5 años; estudiantes actuales de especialización, maestría o doctorado o ya graduados en estos programas dentro de los últimos 5 años y colombianos que acrediten que han permanecido por lo menos tres años en el extranjero y que por voluntad propia han retornado al país, para estos últimos no aplica la restricción del tiempo de haber obtenido el título. Hay que reconocer que la gran bondad que presenta el programa es que toma en cuenta que, en la práctica, el principal impedimento que enfrentan los jóvenes para desarrollar sus iniciativas empresariales es la escasez de recursos económicos. En consecuencia, el FE tiene como uno de sus principales objetivos facilitar a los emprendedores el acceso al capital para financiar sus proyectos productivos.
El Fondo Emprender desarrolla su objetivo a través de tres etapas: Formulación del plan de negocios [registro y asesoría, aprobación técnica, presentación a convocatoria], Evaluación y asignación de recursos [evaluación del plan de negocios, asignación de recursos, legalización del contrato] y Ejecución [ejecución del plan de negocios, seguimiento y acompañamiento, evaluación de indicadores de gestión, decisión sobre reembolso de recursos] (Fondo Emprender 2014). Aquí la tarea de las Instituciones educativas a través de sus UE es primordial para lograr que las convocatorias del FE tengan la suficiente acogida por parte de los emprendedores, que los planes de negocios que se inscriban cumplan con los mínimos requisitos exigidos, que se trate de ideas que generen impacto económico, tecnológico y social y que los recursos de Capital Semilla asignados a los proyectos cumplan con los indicadores de gestión acordados con los beneficiarios para que sean condonados en un 100%.
4. La importancia de las UE
Las Unidades de Emprendimiento (UE) son organizaciones a través de las cuales las Instituciones de Educación reconocidas por el Estado, prestan asesoría a los emprendedores durante la formulación de sus planes de negocio, con el fin de determinar la viabilidad de los mismos antes de registrarlos en el Sistema de Información del FE. El emprendedor debe presentar su idea de negocio a uno de los asesores de la UE (o Centro de Formación SENA), quien verificará el cumplimiento de los requisitos para poder acceder al FE, a paso seguido el asesor ingresa la información del proyecto en el Sistema de Información, el cual genera usuario y contraseña para el emprendedor (Fondo Emprender 2014).
A modo de complemento de la anterior noción, se cita el Banco de Preguntas que se encuentra en la página del Fondo Emprender, donde se define la Unidad de Emprendimiento como: "[...] el espacio conformado por personal docente y de apoyo, con una dedicación total o parcial, encargado de desarrollar competencias emprendedoras y de fomentar el emprendimiento y la creación de empresas, implementando acciones académicas permanentes y actividades complementarias al interior de la Institución de Educación Superior". Seguidamente, en el mismo párrafo se realiza una importante anotación acerca de la configuración de la Unidad de Emprendimiento, aclarando que ésta: "[...] podrá estar conformada por una Institución de Educación Superior, o por la unión formal de ésta con otras Instituciones Educativas o Entidades Sin Ánimo de lucro" (Fondo Emprender 2010).
De esta manera las UE han conquistado un espacio importante en la esfera del emprendimiento, porque se hán constituido en el medio a través del cual los planes de negocio son presentados, para lograr finalmente acceder a los recursos de capital semilla que brinda el estado (SENA 2012, p.3). Por tal razón, medir el desempeño de las UE es un aspecto que encierra gran interés para las Universidades y el medio emprendedor, pues éstas se convierten en unidades administrativas cuyo desempeño se ve reflejado en el número de empresas en funcionamiento como evidencia de los esfuerzos efectuados para la promoción del espíritu emprendedor.
Si el plan de negocio resulta favorecido con recursos del FE, las Instituciones deberán realizar el acompañamiento técnico-operativo durante el primer año de ejecución de los planes de negocio, para lo cual podrán hacer uso del sistema de información diseñado para tal fin, garantizando de este modo el cumplimiento de los indicadores de gestión establecidos en el plan de negocio aprobado por el Consejo Directivo del SENA (SENA 2007, p. 20).
5. La eficiencia y el análisis envolvente de datos (DEA)
Simón De Blas, Arias & Simón Martín (2007, p. 10) recogiendo los conceptos de Klasseny (1998) y Chase & Aquiliano (1992) afirman que el término eficiencia es utilizado en situaciones que contemplan la comparación de una organización con un referente o de un grupo de organizaciones entre si y que ésta aparece siempre relacionada con el uso mínimo de recursos para obtener un determinado volumen de productos, lo cual concuerda con el sentido en el que se ha tomado el término eficiencia en el presente artículo. Charnes, Cooper & Rhodes (1978, p. 429-444) afirman que DEA es una técnica de programación matemática que permite obtener índices de eficiencia relativos comparando cada unidad productiva con todas las demás y que es un método muy apropiado para evaluar la eficiencia en entidades como las Universidades. En la misma dirección se dice respecto a DEA que es una técnica cada vez más usada en situaciones de competencia en el sector público (Hernangómez, Borge, Urueña, Martín, De Benito, Ramos & Revuelta, 2007, p. 67), en la actualidad de aplica para evaluar la eficiencia en muchos campos no solo en las empresas del sector servicios sino también en las manufactureras (Gümüs & Celikkol, 2011, p. 139); de tal manera que por todo lo anterior se considera adecuado para evaluar las UE por su carácter multifacético y su estrecho vínculo con las universidades.
En términos globales, DEA es una técnica no paramétrica, de programación lineal, empleada para la evaluación y análisis de las características de un grupo de "entidades" llamadas Decision Making Units (Unidades de Toma de Decisiones), en adelante DMU's -las cuales convierten múltiples entradas en múltiples salidas-, con el fin de determinar su eficiencia relativa (Cooper, Seiford & Zhu, 2009, p. 8). Una de las ventajas de DEA es que brinda la posibilidad de calcular la eficiencia relativa de las DMU`s seleccionadas, empleando para ello los datos de las entradas y salidas involucradas en sus procesos internos y adicionalmente identifica aquellas unidades con un desempeño débil (Shahroundi, Taleghani & Mohsmmsdi, 2011, p. 677,678). Cuando se habla de eficiencia relativa es importante comprender que la eficiencia o ineficiencia de una DMU estará determinada por las otras con las cuales se está comparando, pues aun cuando la condición es que las DMU's seleccionadas sean homogéneas, cada una tiene características que las hacen únicas. De tal suerte que dichas DMU's pueden ser organizaciones de cualquier tipo o unidades administrativas pertenecientes a cualquier organización, como es el caso de las UE. Para una información más extensa respecto a los planteamientos matemáticos de DEA mirar Rodríguez & Arcelus (2009, p. 45-49, 51-54).
5.1 Selección de DMU's y variables
Para la selección de las DMU's del presente estudio, se tuvieron en cuenta algunos de los siguientes elementos, que van de acuerdo con lo que los teóricos han establecido: que sean similares en cuanto a sus objetivos para poder realizar comparaciones; que desempeñen tareas semejantes; que haya un número considerable para ampliar las posibilidades de comparación (Blanco, Díez & Vico, 2007, p.7). En el mismo orden de ideas, se tomó como base la necesidad de contar con conocimiento empírico de las DMU's (Agarwal & Mehrotra, 2009, p. 7).
Para seleccionar las entradas y salidas se tuvieron en cuenta los factores clave de éxito de las UE, los cuales se identificaron a partir del conocimiento empírico de las mismas y finalmente versaron sobre: el tiempo de funcionamiento de las Unidades, las características de los servicios ofrecidos, caracterización de las capacitaciones ofrecidas por las Unidades a los emprendedores, métodos de difusión de sus servicios, características de los beneficiarios de los servicios, características del proceso de incubación de las iniciativas empresariales, contrataciones de personal, características de la red de contactos de las Unidades, fuentes de recursos para el sostenimiento y caracterización de los logros obtenidos. Posteriormente, se realizó una entrevista semi-estructurada al director de una de las UE con el fin de ampliar y focalizar el conocimiento sobre los aspectos más relevantes involucrados en el proceso de apoyo a la creación de empresas por parte de estudiantes universitarios, pudiendo así determinar las entradas y salidas de dicho proceso; las cuales tienen una relación directa con los factores clave previamente establecidos obviando información con la cual los Directores de las Unidades no se sentían cómodas haciéndola pública, por ejemplo lo relacionado con la contratación de personal, con la red de contactos y con las fuentes de recursos.
En el Gráfico 1. se muestran las variables involucradas en el quehacer de las UE consideradas en este estudio como factores de rendimiento de las mismas.
5.2 Recolección de datos
Una vez definidas las necesidades de información, se diseñó el cuestionario y se sometió a una prueba piloto que evidenció algunas falencias mínimas de fondo y de forma que fueron inmediatamente corregidas mejorando aspectos de claridad, concreción y pertinencia de las preguntas. Dichas preguntas fueron cerradas e indagaron sobre la cuantificación de cada uno de los aspectos señalados en las entradas y salidas. Es necesario aclarar que para obtener las respuestas a las preguntas fue necesario colaborar en la generación de la información en cada Unidad pues desafortunadamente no existe una conducta generalizada de organización respecto de la información.
Respecto a las Unidades que específicamente hicieron parte de la investigación, se utilizó como fuente primaria la base de datos del Fondo Emprender (2010) y subsecuentemente se tamizó la información para referir el estudio solo a la ciudad de Bogotá. De las 82 UE que existían en Bogotá a la fecha de este estudio, aceptaron ser visitadas 70; pero al final solo respondieron la encuesta 33 de ellas, la cual es una cantidad permisible ya que para DEA existe una regla que recomienda que: el producto del número de variables de entrada y de salida no debe superar el número de unidades que conformen la muestra del estudio (Boussofiane, Dyson & Thanassoulis, 1991, p 3). Para este caso se cumple la regla pues al multiplicar las cuatro entradas por las siete salidas que se seleccionaron nos da un producto de 28, cifra que es inferior al número de DMU's del estudio, es decir, las 33 UE que respondieron. La encuesta se aplicó en un período de dos meses comprendidos entre diciembre de 2012 y enero de 2013, se enfrentó una enorme barrera en cuanto al recelo que existe en algunas organizaciones cuando de revelar información se trata. En consecuencia, las UE se identificarán solo mediante numeración en el presente artículo pues fue la condición con la cual la gran mayoría accedió a suministrar la información.
5.3 Procesamiento, análisis de datos y resultados
Se tomó como base el modelo CCR (Charnes, Cooper y Rhodes), también conocido como CRS (Constant Returns to Scale), orientado a las salidas según lo planteado por Rodríguez & Arcelus (2009, p. 53). En total se construyeron 5 Submodelos, cada uno de ellos surgió de la mezcla de diferentes Entradas y Salidas cuya comparación puede arrojar información relevante sobre la eficiencia de las DMU's.
En la Tabla 1 se muestran las convenciones empleadas para el procesamiento de las Entradas y Salidas del estudio, la Tabla 2 muestra la forma como se combinaron estas Entradas y Salidas para conformar cada uno de los cinco Submodelos. Se procedió a realizar las corridas necesarias en el software especializado, los resultados se consolidaron y se presentan en la Tabla 3 para hacer más sencilla su lectura, comparación y análisis.

En el Submodelo 1, el cual agrupó todas las entradas y todas las salidas, se concentró el mayor número de UE eficientes: 73%. Esto significa que al momento de comparar las UE, aumenta la cantidad de eficientes cuando se considera un mayor número de variables en las que éstas puedan exhibir diferentes tipos de resultados o productos; en contraste, el Submodelo 3 fue el que reunió el menor número de UE eficientes en la superficie envolvente: apenas un 3%, más exactamente solo la UE33.
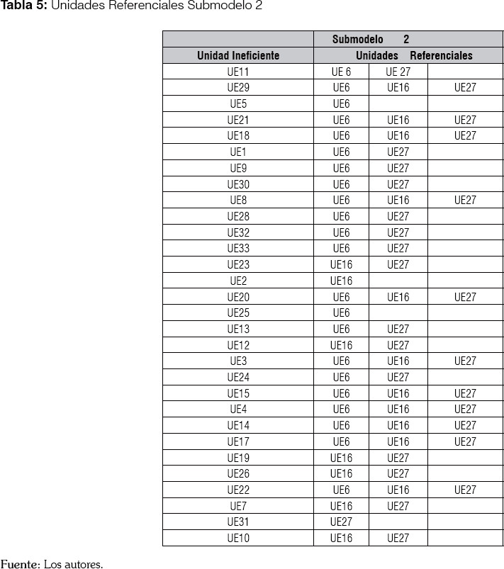
Los Submodelos 2 y 4 solo tuvieron en común la salida "Planes de negocio que recibieron capital semilla de Fondo Emprender" y sin embargo sus resultados fueron cercanos en cuanto a UE eficientes. No obstante, se aclara que las tres UE que son eficientes en el Submodelo 2 son completamente diferentes a las cuatro eficientes del Submodelo 4. Las eficientes del Submodelo 2 puntuaron mejor en "número de asesorías y consultorías realizadas", "número de proyectos evaluados" y "número de capacitaciones y sensibilizaciones" mientras que las eficientes del Submodelo 4 puntuaron mejor en "número de beneficiarios" y "número de empresas creadas".
Los Submodelo 3 y 5 tienen en común las variables "Tiempo en meses del proceso de incubación de una iniciativa empresarial", "empresas creadas" y "planes de negocio que recibieron capital semilla". Se observa que el Submodelo 3, en el que se incluyó además la entrada "Tiempo de funcionamiento de la UE en meses", resultó con menos UE eficientes que el Submodelo 5, lo cual significa que la antigüedad no es un factor clave de éxito para este tipo de organizaciones. También, se resalta que la UE33 apareció como eficiente en estos dos Submodelos.
El análisis comparativo de los Submodelos 3 y 4 permite deducir la importancia de la salida "Número de beneficiarios de toda la comunidad académica que acudieron a solicitar servicios ofrecidos por la UE"; la presencia de esta variable en el Submodelo 4 aumentó el número de UE eficientes en dicho Submodelo. Por la naturaleza de este tipo de organizaciones y su enfoque hacia los estudiantes, es natural que un factor clave para medir la eficiencia es la acogida que la UE logre dentro de la comunidad académica.
Haciendo un análisis global se aprecia que la UE33 resultó eficiente en 4 de los 5 Submodelos, siendo la que fue eficiente el mayor número de veces. Al revisar los puntajes que arrojó el sistema se determinó que la UE33 obtuvo sus más bajos puntajes en las variables "Número de anuncios en diferentes medios", "Tiempo estimado del proceso de incubación" y "Materiales producidos por la UE" indicando la baja relevancia que dichas variables representan para la eficiencia de las DMU's.
Cuando se mira en detalle el perfil de la UE33 se puede observar que aunque fue fundada hace apenas tres años y ha usado muy poco la estrategia de anunciar los servicios que ofrece, sí tiene un período de incubación relativamente corto, lo cual puede ser atractivo para emprendedores que no desean esperar largos períodos de tiempo para consolidar sus ideas. Asimismo, se observó que la UE33 en muy poco tiempo ha realizado una importante cantidad de asesorías, consultorías, capacitaciones y sensibilizaciones en temas de emprendimiento y empresarismo, además ha evaluado un número considerable de proyectos. Esto ha traído como consecuencia que muchas personas de toda la comunidad académica acudieran a solicitar los servicios ofrecidos por la UE y que algunas de ellas decidieran crear sus propias empresas.
Lo anterior significa que la UE33 es considerada como un referente de eficiencia en este estudio por resultar eficiente en la mayoría de Submodelos, ha sabido aprovechar sus recursos mejor que las otras UE con las que fue comparada.
Finalmente, las UE 2, 6, 9, 10, 16, 27 y 28 resultaron eficientes en dos de los cinco Submodelos, las UE 1, 3, 4, 7, 12, 13, 15, 17, 20, 21, 24, 25, 26, 29, 30 y 31 resultaron eficientes solamente en uno de los cinco Submodelos y las UE 5, 8, 11, 14, 18, 19, 22, 23, 32 no resultaron eficientes en ninguno de los cinco Submodelos.
Otro análisis importante es aquel que tiene relación con las Unidades que son referenciales de aquellas ineficientes, puesto que de esta manera las Unidades ineficientes tienen por lo menos una Unidad eficiente cuyo comportamiento debería asemejar para lograr ubicarse en la frontera eficiente. De tal manera que a continuación están las Tablas 4 , 5, 6, 7 y 8; las cuales muestran para los sub-modelos 1 a 5 y para cada Unidad ineficiente sus referenciales.
6. Conclusiones
Las UE que han formado parte de la Frontera Eficiente el mayor número de veces exhiben algunos factores clave que hacen que hayan ocupado dichas posiciones en los informes arrojados por el sistema. En primer lugar, hay una relación directa entre el número de Planes de Negocio subidos a plataforma del Fondo Emprender y aquellos que reciben capital semilla de esta entidad debido a que éste es uno de los principales requisitos para concursar por recursos. De otra parte, parece no haber una relación directa entre el número de anuncios de los servicios ofrecidos por la UE en diferentes medios como internet, boletines, periódicos, revistas, volantes, afiches y otros medios masivos y el número de beneficiarios que acudieron a solicitar dichos servicios. En cuanto a la antigüedad de las UE, definitivamente no hay directa relación entre el tiempo de su fundación y el número de empresas creadas, aun cuando la antigüedad supone haber acumulado aprendizaje. En cambio, el tiempo que se toma el proceso de incubación de una iniciativa empresarial parece ser un factor que atrae a los emprendedores que, como antes se afirmaba, se encuentran deseosos de materializar sus aspiraciones empresariales.
Por todo lo anterior, algunas de las acciones que se proponen para lograr ubicar a las UE ineficientes sobre la frontera eficiente, son:
- Incrementar el número de capacitaciones, sensibilizaciones, consultorías y asesorías en temas de emprendimiento, empresarismo y complementarios y ampliar la cobertura de éstas a todos los miembros de la comunidad académica.
- Elevar la cantidad y calidad de proyectos evaluados reforzando su grupo de asesores.
- Reducir el tiempo del proceso de incubación de las iniciativas para que la motivación de los emprendedores no decaiga.
- Aumentar el número de planes de negocio subidos a la plataforma del Fondo Emprender.
- Aprovechar el tiempo que llevan en funcionamiento para aprender de las mejores prácticas y generar sus propios medios para facilitar los procesos al interior de la UE.
- Elegir los medios apropiados para darse a conocer basados en estudios sobre los hábitos y comportamientos de los jóvenes donde se indique lo que éstos más leen o escuchan.
Se espera que este artículo abra las puertas para que en muchos países se lleven a cabo estudios, que partiendo de los submodelos propuestos, contribuyan al fortalecimiento de las organizaciones dedicadas a la promoción y apoyo del emprendimiento mediante el aprendizaje de mejores prácticas y que abonen el terreno para la conformación de una red académica para el avance en el conocimiento de los factores clave para elevar su eficiencia. Recogiendo los resultados de esta investigación se puede ampliar el grupo de unidades a estudiar abarcando todo el nivel nacional y luego trabajar las entidades que en diferentes países latinoamericanos se encargan de promover las actividades de emprendimiento para lograr generar estrategias que impulsen definitivamente el desarrollo de estos temas mediante la formulación de mejoras en la eficiencia.
7. Referencias
1. Agarwal, R. & Mehrotra, A. (2009) "Developing global competitiveness by assessing organized retail productivity using data envelopment analysis". En: Journal of Business Science and Applied Management, Jaipuria Institute of Management, 4 (2), 1-21. [ Links ]
2. BID - Banco Interamericano de Desarrollo (2014). Índice de condiciones sistémicas para el emprendimiento dinámico. [ Links ]
3. Blanco, A., Díez, F. & Vico, A. (2007). Eficiencia de los expositores de ferias de arte a partir del análisis envolvente de datos (DEA). Madrid: XXI Congreso Anual AEDEM, Universidad Rey Juan Carlos. [ Links ]
4. Boussofiane, A., Dyson, R. & Thanassoulis, E. (1991). "Applied data envelopment analysis". En: European Journal of Operations Research, 52(1), 1-15. [ Links ]
5. Charnes, A., Cooper, W. & Rhodes, E. (1978). "Measuring Efficiency of Decision Making Units". En: European Journal of Operational Research, 2 (6), 429-444. [ Links ]
6. Cook, W. & Seiford L. (2009). "Data Envelopment Analysis (DEA) Thirty years on". En: European Journal of Operational Research, 192, 1-17. [ Links ]
7. Cooper, W., Seiford, L. & Zhu, J. (2009). "Data Envelopment Analysis. History, Models and Interpretations". Part of the material in this chapter is adapted from the Journal of Econometrics, Vol. 46, Seiford, L.M. and Thrall, R.M., Recent developments in DEA: The mathematical programming approach to frontier analysis, 7-38, 1990, with permission from Elsevier Science. pp. 1-39. Springer. [ Links ]
8. Diario Oficial 45046 (2002). República De Colombia. Congreso de Colombia. Ley 789 del 27 de diciembre de 2002. Por la cual se dictan normas para apoyar el empleo y ampliar la protección social y se modifican algunos artículos del Código Sustantivo de Trabajo. 31 de 27 de diciembre de 2002. pp. 1-41. [ Links ]
9. Diario Oficial 47241 (2009). República De Colombia. Congreso de Colombia. Ley 1286 del 23 de enero de 2009. Por la cual se modifica la Ley 29 de 1990, se transforma a Colciencias en Departamento Administrativo, se fortalece el Sistema Nacional de Ciencia, Tecnología e Innovación en Colombia y se dictan otras disposiciones. 23 de enero de 2009. pp. 1-25. [ Links ]
10. Fondo Emprender (2010). Disponible en: http://www.fondoemprender.com/BancoConocimiento/P/preguntas_fondo_emprender/preguntas_fondo_emprender.asp. [ Links ]
11. Fondo Emprender (2014). Disponible en: http://www.fondoemprender.com/BancoConocimiento/F/Fondo_Emprender/Fondo_Emprender.ASP. [ Links ]
12. Fondo Emprender (2014). Disponible en: http://www.fondoemprender.com/BancoConocimiento/P/procedimiento_presentacion_plan_de_negocio/procedimiento_presentacion_plan_de_negocio.asp. [ Links ]
13. Gómez, F. & Mitchell, D. (2014). Innovación y emprendimiento en Colombia: balance, perspectivas y recomendaciones de política, 2014-2018. Cuadernos de desarrollo Fedesarrollo 50. [ Links ]
14. Gümüs, Y. & Celikkol, H. (2011). "Data envelopment analysis: an augemented method for the analysis of firm performance". En: International research journal of finance and economics, 79, 137-142. [ Links ]
15. Guzmán, A. & Trujillo, M. (2008). "Emprendimiento social - revisión de literatura". En: Estudios Gerenciales, Universidad ICESI Colombia, 24 (109), 105-125. [ Links ]
16. Hernangómez, J., Borge, L., Urueña, B., Martín, N., De Benito, J., Ramos, L. & Revuelta, M. (2007) "Las Universidades de Castilla y León ante el reto del Espacio Europeo de Educación Superior. Un análisis de su competitividad y eficiencia". En: Revista de investigación económica y social de Castilla y León, Nº 10, (Ejemplar dedicado a: Trabajos seleccionados en el Premio de Investigación del Consejo Económico y Social de Castilla y León: Edición 2007), pp. 13-154. Edición electrónica disponible en Internet: www.cescyl.es/publicaciones/revista.php o en http://dialnet.unirioja.es/servlet/articulo?codigo=2489074. [ Links ]
17. Portafolio (2013). El 89 por ciento de los colombianos cree que ser emprendedor es una buena opción de carrera, por lo que buscan entidades públicas y privadas que los apoyan. Disponible en: http://www.portafolio.co/negocios/colombia-lider-emprendimiento. [ Links ]
18. Rodríguez, G. (2011). Indicadores DEA (Data Envelopment Analysis) de Eficiencia y Productividad Para las Actividades de Extensióm Universitaria. Aplicación en la Universidad Nacional de Colombia. Bogotá: Universidad Nacional de Colombia. [ Links ]
19. Rodríguez, G. & Arcelus F. (2009). "Modelo no paramétrico aplicado a la medición de eficiencia de la extensión universitaria, innovación aplicable a latinoamérica". Revista de Humanidades y Ciencias Sociales. Facultad de Ciencias Económicas, Administrativas y Financieras. Universidad Autónoma Gabriel René Moreno. Junio a diciembre, 43-68. [ Links ]
20. Savic, G., Radosavljevic, M. & Llievski, D. (2012). "DEA window analysis approach for measuing the efficiency of serbian banks based on panel data". En Management journal for theory and practice management, 65, 1-14. [ Links ]
21. SENA-Servicio Nacional de Aprendizaje (2007). Dirección General. Manual de Operación del Fondo Emprender, julio de 2007. [ Links ]
22. SENA-Servicio Nacional de Aprendizaje (2012). Dirección General. Resolución 01803 de 2012, 18 septiembre de 2012. [ Links ]
23. SENA-Servicio Nacional de Aprendizaje (2013). Consejo Directivo Nacional. Acuerdo 00010 de 2013, Septiembre 11 de 2013. [ Links ]
24. Shahroundi, K., Taleghani, M. & Mohsmmsdi, G. (2011). "Efficiency decomposition in Data Envelopment Analysis: an application to insurance cimpanies in Iran". En : Interdisciplinary journal of contemporary research in business, 3(4), 676-684. [ Links ]
25. Simón De Blas, C., Arias, A. & Simón Martín, J. (2007) "Aplicación de la técnica DEA en la medición de la eficiencia de las bibliotecas de la Universidad Complutense de Madrid". En: Revista Española De Documentación Científica 30(1), 9-23. [ Links ]
26. Urna de Cristal. (2012). Disponible en: http://www.urnadecristal.gov.co/gestion-gobierno/sab-as-que-colombia-es-pa-s-con-m-s-emprendedores. [ Links ]
27. Zárate R., Argüelles D., Aparicio S., Salcedo C., Ibarra A., Matíz F., Parra, L. & Argote, M. (2013). Emprendimiento: diferentes aproximaciones. Bogotá: Ediciones EAN. [ Links ]












