INTRODUCCIÓN
La producción de frutales tropicales hace parte del renglón agrícola de Colombia, y a pesar de no ser representativo, la mayoría de los ingresos de las zonas productoras dependen de esta actividad [1] La mayoría de estos frutos presenta diversidad genética [2] y son altamente perecederos ante condiciones de alta precipitación y posterior desarrollo de microorganismos no deseables que alteran física, química y organolépticamente el producto [3]. Entre los factores que alteran esta producción están cambios climáticos [4,5], reducción de precios, estacionalidad de la producción y poco conocimiento en labores culturales al proceso de recolección, momento óptimo de cosecha y estado de madurez indicado; las perdidas pueden estar cerca del 30% de fruto en fresco ante ese tipo de situaciones adversas [6]
Debido a la problemática de altos costos de los alimentos en la producción animal, y considerando que Colombia es un país productor agropecuario y agroindustrial se deben crear estrategias que permitan el uso de los subproductos de estas industrias y no depender de materias primas importadas donde su precio depende de la variación de las divisas extranjeras, de modo tal que estos subproductos que son considerados desechos para otros puedan sustituir de modo parcial el uso de otras materias primas y constituyan una fuente importante de nutrientes logrando obtener un alimento de alta calidad que satisfaga los requerimientos nutricionales de los animales para su mantenimiento y producción. Para contribuir en la solución es necesaria la realización de investigaciones aplicadas las cuales profundicen en el tema de producción de alimentos alternativos los cuales se obtienen de forma simple, conservando inclusive resaltando el valor nutricional de los subproductos agrícolas y agroindustriales a un bajo costo obteniendo alimentos ricos en energía, proteínas vegetales y microbianas, así mismo es considerado un producto inocuo ya que el proceso de fermentación permite eliminar bacterias patógenas como E- coli, salmonella entre otras [7,8].
Entre las alternativas de suplementación animal, se encuentra la elaboración de ensilajes como proceso de conservación de materias primas para mitigar la escases de alimento y aumentar el aporte energético - proteico. Las condiciones apropiadas para el éxito de los ensilajes solidos es tener valores de materia seca superiores al 30%; altos contenidos de carbohidratos, baja capacidad de amortiguación y bacterias homo fermentativas que mejoran la presentación del forraje; disminuir el pH y aumentar ácidos orgánicos de cadena corta como el ácido láctico. Se han utilizado múltiples aditivos que permiten mejorar la estabilidad del ensilaje, la gran mayoría de trabajos han realizado ensilajes de forrajes y de cereales con altos contenidos de materia seca y carbohidratos altamente fermentables, siendo pocos los trabajos en estado líquido y con un alto porcentaje de humedad, por ello el objetivo de la investigación fue determinar el valor composicional y presencia de microorganismos en ensilaje liquido de durazno (Prunus pérsica).
MATERIALES Y MÉTODOS
Localización: El estudio se llevó a cabo en los laboratorios de Nutrición y Alimentación Animal y de Fisiología vegetal de la facultad de Ciencias Agropecuarias de la Universidad Pedagógica y Tecnológica de Colombia. El fruto empleado fue durazno (Prunus pérsica) var dorado en estado de madurez avanzado y recogidos de la finca San Carlos - municipio de Tuta, Boyacá (2600 msnm, T=14°C y precipitación - 1000 mm). Se tomaron 5 kg de tamaños distintos y se empacaron en recipientes plásticos.
Diseño experimental. Se utilizó un diseño completamente al azar con arreglo bifactorial correspondiente a dos porcentajes de inclusión de sulfato de amonio (1-3%) y dos porcentajes de melaza (10-20%) asignados de la siguiente forma: T1 (1% urea - 10% melaza), T2 (1% urea - 20% melaza), T3 (3% urea - 10% melaza) y T4 (3% urea - 20% melaza), cada tratamiento se repitió por triplicado, para un total de 12 Unidades experimentales (UE), cada una compuesta por 400 gr de fruto.
Preparación del ensilado: Para la elaboración de ensilaje líquido, el fruto se cortó en partículas de 2 cm aproximadamente, depositados en recipientes plásticos con capacidad para 2lt con adición de melaza, sulfato de amonio correspondiente al tratamiento y agua hasta cubrir la mezcla, posteriormente fueron cerrados de forma hermética asegurando un medio anaerobio y depositados en un cuarto oscuro a temperatura ambiente
Caracterización fisicoquímica del fruto
se realizó determinando variables como
Firmeza del material vegetal (N) por medio de penetrómetro digital PCE-PTR200 con aproximación 0,05 N
Sólidos solubles totales (SST) se determinó a través de mediciones de grados Brix con un refractómetro digital marca Hanna de rango 0 a 85% con precisión 0,1 ° Brix
pH se determinó tomando 1 ml de sustrato producto del macerado del material vegetal previamente mezclado y medido con un potenciómetro previamente calibrado con soluciones buffer de pH 7,0
Acidez titulable (ATT) se midió utilizando 1 ml de sustrato al cual se le adiciono 3 gotas de fenoftaleína en una titulación potenciométrica hasta pH de 8,2
Madurez mediante la relación SST/ATT.
Análisis químico: Se les realizó análisis químico a las muestras tomadas a diferentes tiempos. El total de los sólidos que quedó en los recipientes se secaron y se molieron en un molino de martillo marca UDY®, con criba de 1 mm, para análisis de cuantificación.
pH: El contenido de los recipientes de cada tratamiento fue recolectado en su totalidad y homogenizado, luego se tomaron 5g de muestra que se colocaron en Erlenmeyer de 100 mL y se les adicionó 45 mL de agua destilada estéril. La preparación se agitó durante 30 minutos en un agitador eléctrico marca Adams® y posteriormente se obtuvo el filtrado para medición del pH en un potenciómetro automático marca Okaton®, Se realizaron mediciones a las 0, 24 y 48 horas del proceso de fermentación así mismo a los días 7 y 21 del estudio.
Materia seca (MS). El método se basa en el secado de una muestra en un horno y su determinación por diferencia de peso entre el material seco y húmedo, este procedimiento es considerado un método indirecto para la determinación de la humedad por diferencia.
Proteína bruta (PB), se determinó por el método de Kjeldahl; el material a analizar primero se digiere en H2SO4, acido que convierte el N en (NH4)2SO4, para la digestión se utilizó ácido sulfúrico y un catalizador de selenio. Para la destilación se empleó ácido bórico al 4%, para la titulación se utilizó una solución de HCL, la proteína cruda se calculó por la multiplicación del nitrógeno total por el factor de 6.25. [9]
Cenizas (Cz), se determinaron como el residuo que queda al quemar con mufla los componentes orgánicos a 550°C durante 5 horas, método establecidos por la AOAC (2005) [9]
Fibra Cruda (FC), Este método se basa en la digestión ácida y alcalina de la muestra obteniéndose residuo de fibra cruda y sales que con calcinación posterior se determina la fibra cruda. Se toman 2 gr de la muestra se llevan a ebullición, se le adicionaron 25 ml de hidróxido de sodio (0.556 N) durante 30 minutos, con recirculación constate de agua, se realizan lavados con agua destilada caliente; seguido de esto se adicionaron 25 ml de ácido sulfúrico (0.6 N) y se deja en el extractor de fibra cruda durante 30 minutos, pasado este tiempo fueron colocadas en la mufla a 600°C por aproximadamente tres horas, la pérdida de peso debido a la incineración corresponde a la FC (AOAC 1990) [9].
Las mediciones de las anteriores variables se realizaron en los días 0, 7 y 21 del proceso fermentativo.
Análisis microbiológico: En cuanto a la presencia y recuento de flora microbiana, se tomó una muestra de 10 ml del ensilaje liquido elaborado y se realizó siembra directa e invasiva sobre Agar Sangre y Agar MacConkey, estos cultivos se depositaron dentro de la cámara para anaerobiosis junto con un sobre Gaspak EZ Anaerobe Container System para realizar control del medio y eliminar el contenido de oxígeno, posteriormente fueron llevados a la incubadora a 28°c por 48 horas y finalmente se realizó morfología bacteriana y coloración de Gram. Para mesófilos aerobios, enterobacterias y coliformes se usó como medio de cultivo placas petrifilm en donde se depositó 1 ml sobre el espacio dispuesto, se llevaron a la cámara de anaerobiosis e incubaron por 48 Horas y finalmente se realizó conteo de unidades formadoras de colonia. La identificación de microorganismos se realizó en los días 0, 7, 14 y 21 del proceso experimental.
Análisis estadístico: Los datos obtenidos de la caracterización fisicoquímica del fruto en fresco fueron sometidos a estadística descriptiva. Para el análisis estadístico se aplicó la prueba de homogeneidad de Levene, la prueba de normalidad por Shapiro willk, análisis de varianza (Anova) y comparación de promedios por Tukey (P ≤0,05), mediante el uso del software SAS v. 9.2 (Cary, N.C).
RESULTADOS Y DISCUSIÓN
Evaluación de las propiedades organolépticas del ensilado del fruto del durazno.
La evaluación organoléptica del producto ensilado se realizó de acuerdo a la metodología planteada por Bello [10], como se muestra en la (Tabla 2) se consideraron las condiciones de olor, color y consistencia, la valoración se realizó a los 0; 10; 15 días de conservado.
Tabla 1 Características físico-químicas del fruto de durazno (Prunus pérsica). Var. Dorado en estado de madurez avanzado.
Tabla 2 Descriptores para la evaluación organoléptica de la calidad del ensilado de acuerdo a sus características.
Según lo anterior y evaluado el producto final el fermentado cumple con lo establecido para un ensilaje bueno, teniendo en cuenta sus características organolépticas, para todos los tratamientos en todos los tiempos de fermentación.
La buena calidad del ensilaje de residuos poscosecha de durazno, coincide de acuerdo a las características organolépticas (olor, color y consistencia), pudo deberse al aporte significativo de carbohidratos solubles, materia seca, y pH bajo, estos parámetros son determinantes en la fermentación de los ensilados [11].
Caracterización fisicoquímica del fruto
Son pocos los trabajos realizados en estado líquido, por consiguiente, parte de la discusión se realizó a partir de ensayos elaborados con desechos de frutas sometidas a ensilaje sólido con y sin adicción de microorganismos y/o aditivos. Las condiciones que permiten elaborar un ensilaje líquido de óptima calidad son asegurar que el medio sea completamente anaerobio que favoreció el crecimiento de bacterias acido lácticas endófitas que van a disminuir o inhibir el crecimiento de microorganismos indeseables [12].
Evaluación del proceso fermentativo y valor composicional del ensilado
El principal indicador evaluado fue el pH (gráfica 1), se observó que el tratamiento 2 al final de la fermentación presento los valores más bajos 3.54 (p<0,05) sin embargo el comportamiento para todos los tratamientos fue lo esperado con un descenso progresivo hasta llegar a valores que permiten inferir una buena calidad del producto fermentado desde el punto de vista microbiológico.

Grafica 1 Comportamiento del pH en la fermentación de los residuales poscosecha de durazno. Promedios con letras distintas indican diferencia significativa, entre dietas para cada tiempo de muestreo, según la prueba de Tukey (P ≤0,05).
Valores de pH entre 3,8 y 4,2 son considerados adecuados para ensilajes conservados, porque en este rango hay restricción para el desarrollo de las enzimas proteolíticas de las plantas, de las enterobacterias y clostrídeos [13].
Proteina: se destacaron los tratamientos 3 y 4 con valores superiores al 11% lo cual es muy importante para la suplementación animal (grafica 2). El bajo pH obtenido en el proceso de fermentación podría inferir un crecimiento de bacterias deseables como las bacterias ácido lácticas (BAL), esta estabilidad se asocia a buenos crecimientos microbiales y por ende a buena producción de origen microbiano mejorando la proteína verdadera del alimento destacándose un significativo crecimiento de las proteínas en las fermentaciones sólidas y en especial las inoculadas con BAL. [14,15]. Asi mismo, este aumento está relacionado con el aporte de nitrógeno (urea) utilizado con los carbohidratos de fácil fermentación en la formación de protoplasma celular sin descartar una relación un incremento de la proteína por la reducción de la materia seca [16].

Grafica 2 Comportamiento de los indicadores de proteína en la fermentación de los residuales poscosecha de durazno. Promedios con letras distintas indican diferencia significativa, entre dietas para cada tiempo de muestreo, según la prueba de Tukey (P ≤0,05)
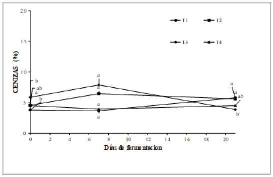
Cenizas: Se observó un comportamiento muy similar en la composición mineral del fermentado (p<0,05), estudios realizados señalaron que los minerales son importantes para el metabolismo de la microbiota; pero en pequeñas cantidades [17] (Grafica 3).

Grafica 3 Comportamiento de los indicadores de Ceniza en la fermentación del residual pos cosecha de durazno. Promedios con letras distintas indican diferencia significativa, entre dietas para cada tiempo de muestreo, según la prueba de Tukey (P ≤0,05)
Materia seca: se comportó según lo esperado (6 y 8%) ya que es un fruto altamente suculento sin embargo con esta materia seca y una baja fibra hace posible la alimentación de animales especialmente monogástricos, sin embargo, en la alimentación de rumiantes se recomienda ser mezclado con una fuente mayor de fibra (Grafica 4).

Grafica 4 Comportamiento de los indicadores de MS en la fermentación de los residuales poscosecha de durazno. Promedios con letras distintas indican diferencia significativa, entre dietas para cada tiempo de muestreo, según la prueba de Tukey (P ≤0,05)
Fibra: se encuentra un incremento en los porcentajes de esta, con diferencias significativas (p<0,05), que fácilmente duplica este indicador en la reportado para el fruto del durazno. El incremento de la fibra se puede deber a que el tiempo de fermentación incrementa significativamente el contenido de paredes celulares, en relación al contenido de almidón del producto usado [18] y a la fermentación de los azúcares por los microorganismos que se desarrollan en el sistema [19].
Análisis microbiológico
Presencia de Microorganismos. La actividad de crecimiento microbial varió durante el periodo de fermentación, y se caracterizó por la presencia y ausencia de colonias bacterianas. La siembra realizada sobre agar Sangre y agar Macconkey en cada uno de los tratamientos tuvo variabilidad en la presencia de colonias. En agar Sangre hubo crecimiento microbial en todos los tratamientos, mientras que en agar Macconkey después del día 7 no se registró crecimiento en ninguno de los tratamientos. No hubo crecimiento de mesofilos aerobios, enterobacterias ni coliformes en placas Petrifilm al simular un ambiente de anaerobiosis. El crecimiento de levaduras presento diferencias estadísticas significativas (≥ 0,01), ya que en el día 0 cero no se registró crecimiento de colonias de levaduras en ninguno de los tratamientos, el día 7 solo registro crecimiento de levaduras en el tratamiento 2 (20% melaza - 1% SAM) a razón de 2.1x 106. Para el día 21 se registró presencia de levaduras en el tratamiento 3 y 4 a razón de 3.4x 106 y 4x 103 respectivamente, como se observa en la tabla 3.
Dentro del trabajo no se realizó crecimiento específico para bacterias acido lácticas, sin embargo este tipo de bacterias crecen de forma adecuada entre los 25° a 40 ° C [20] y cuentan con alta capacidad fermentadora y fortalecen el proceso de ensilaje a partir de la flora epifita más cuando favorecen temperaturas de ambientes cálidos y descenso rápido del pH como lo sucedido en el estudios realizados elaborando ensilajes en dos ecorregiones de Colombia [19]; donde encontró mayor crecimiento de microrganismos en ensilajes líquidos de clima cálido con respecto a los de climas frio con datos de 8.0 E+10 Y 1.5 E+9 respectivamente, posiblemente por las condiciones iniciales de temperatura que permitió un mayor crecimiento de este tipo de bacterias, coincidiendo con trabajos realizados con sacharina concluyeron que pH ácidos y con altas temperaturas incrementan el crecimiento bacteriano [21].
CONCLUSIONES
Los procesos de fermentación, permiten que microorganismos eficientes usen los sustratos como fuente de alimento para su multiplicación y la realización de diferentes procesos metabólicos que se generan mediante el consumo minerales, lípidos y nitrógeno en un medio favorable permitiendo el incremento en el valor de proteína cruda obtenidos partir del trabajo realizado por microorganismos principalmente bacterias acido lácticas.
El ensilaje del fruto poscosecha de durazno, presenta niveles de pH adecuados para garantizar la inocuidad del mismo, además presenta nutricionalmente condiciones adecuadas para ser utilizado como un suplemento alimenticio rico en energía y con niveles aceptables de proteína, fibra y materia seca que al ser suministrado con otras materias primas podría llegar a suplir parcialmente alimentos balanceados comerciales con un costo muy bajo frente a los mismos, para ello se recomienda realizar investigaciones con animales de diferentes especies y estados productivos suplementados con residuos de durazno fermentados para evaluar el comportamiento productivo del mismo. Al igual se sugieren realizar estudios de estabilidad, conservación y escalado del alimento obtenido por fermentación de residuos poscosecha de Durazno.















