1 Introducción
Las física de las heteroestructuras semiconductoras ha sido enriquecida debido a los desarrollos en las técnicas de crecimiento epitaxial y de nanolitografía [1]. Estas técnicas permitieron el desarrollo de materiales donde es posible el control del confinamiento de los portadores de carga en una, dos o tres dimensiones [2]. Este avance ha permitido el uso de esta tecnología en áreas como la óptica cuántica [3], la optoelectrónica [4] y la computación cuántica [5]. A nivel teórico las investigaciones se han centrado en diseñar, entender y controlar propiedades estructurales, ópticas y electrónicas en los diferentes tipos de sistemas nanoestructurados. Por ejemplo, en sistemas que incluyen puntos cuánticos en presencia de agentes externos tales como campos eléctricos [6] o magnéticos [7] han sido estudiados por sus diversas aplicaciones.
Simulaciones más realistas de los procesos físicos involucrados consisten en utilizar la teoría de los sistemas cuánticos abiertos para analizar procesos de emisión espontánea, procesos de pérdida de la fase coherente, procesos de pérdida de fotones a través de cavidades, entre otros mecanismos usualmente se describe en la ecuación maestra con términos de Lindblad [8, 9].
En este documento, se propone incluir en la ecuación maestra un término de Lindblad que modela el bombeo incoherente de excitaciones de la materia enfatizando el efecto de este término en la susceptibilidad óptica de puntos cuánticos. En la sección II, se describe el modelo físico del sistema. En la sección III, se identifica el procedimiento para encontrar una expresión de susceptibilidad óptica. En la sección IV, se presentan los resultados y en la sección V se muestran las conclusiones de este trabajo.
2 Modelo Físico
Se considera el sistema cuántico nanoestructurado como un punto cuántico de simetría esférica de radio R compuesto de GaAs/GaAsAl, en la aproximación de masa efectiva y en presencia de luz monocromática. El punto cuántico se modela como un sistema de dos niveles los cuales son representados por los vectores de estado base |g⟩ y excitado |e⟩, respectivamente. Dichos estados se escogen como el estado fundamental y el primer estado excitado del sistema.
2.1 Hamiltoniano electrónico
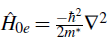
El Hamiltoniano electrónico H e consiste en la suma del Hamiltoniano para el electrón H0e presente en el punto cuántico considerado como una estructura de simetría esférica de radio R y el término de confinamiento del electrón V e (r) considerado es V e (r) ≤ R = 0 e infinito en otra región del espacio. Hamiltoniano que se escribir como [10]
con
escrito en geometría esférica donde m* representa la masa efectiva del electrón dentro del material.
Las funciones propias en la base de la posición se escriben como la funcion de onda Ψnlm(r,θ,φ) = f (r)Ym l (θ,φ), donde Ym l (θ,φ) son los armónicos esfericos. Por lo tanto, sustituyendo en la ecuación de Schrodinger HeΨnlm(r,θ,φ) = EΨnlm(r,θ,φ) se puede obtener las funciones radiales f (r) que satisfacen la siguiente ecuacion [10]:
donde k2 = 2m*E/h 2 . La solución en términos de las autofunciones y las autoenergías se escribe como la función radial f(r) [10]
y sus correspondientes valores de energía [10]
donde j l (kr) son las funciones esféricas de Bessel, x nl son las raíces de la ecuación j l (kR) = 0, donde n es el número cuántico radial que cuenta el número de serie de la raíz de la función esférica de Bessel para un valor dado de l y x nl = k nl R.
Para la parte del sistema que corresponde al término de interacción con luz monocromática se considera el operador Hamiltoniano en la aproximación dipolar de la luz V (t) =
En la región del espacio válida se puede escribir el operador Hamiltoniano total del sistema como
2.2 Dinámica disipativa y bombeo incoherente
Para modelar efectos más reales es necesario incorporar la interacción con diversos ambientes y es en este caso donde se emplea la teoría de los sistemas cuánticos abiertos. En este documento se utiliza la ecuación maestra escrita en la forma de Lindblad, la cual describe la tasa de cambio del operador de estado del sistema, expresión que se muestra a continuación
siendo
la parte que modela la disipación del sistema, donde
las expresiones
y
representan los procesos de emisión espontánea y pérdida de la fase coherente, con sus respectivas tasas de relajación γy y γφ. El término
representa el proceso de bombeo incoherente de excitaciones de materia con P la respectiva tasa de bombeo. Hay que notar el orden en los operadores de L
3
respecto al orden del operador en L1, este orden evidencia el bombeo de excitones en el sistema. Para este caso el operador
3 Procedimiento para obtener la susceptibilidad lineal
En este documento se utiliza el procedimiento análogo al de los trabajos [11, 12] proceso que se resume a continuación:
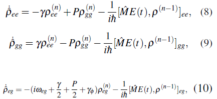
1. Se propone hacer una expansión perturbativa del operador densidad para resolver la ecuación maestra (7), con este fin, se define esta expansión como
2. Se realiza una expansión a orden n de los elementos de matriz de la ecuación maestra (7)
, la forma expandida de cada término se escribe como:
como se evidencia en las expresiones (8)-(10) se tiene que estas son expresiones iterativas, por lo que se debe tener el operador densidad a nivel de perturbación cero.
3. Se asume que el sistema alcanza soluciones estacionarias y por lo tanto a orden cero (0) se tienen los límites
y
.
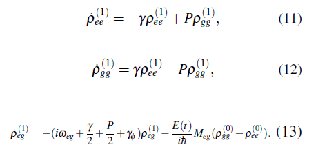
4. Definidas las expresiones de orden cero, queda por encontrar las expresiones a orden superior y para nuestro caso específico es suficiente con el primer orden quedando las expresiones como
5. Se expresan las ecuaciones (11)-(13) en el dominio de la frecuencia. Se compara la expresión para la polarización, P(t), donde se puede identificar el término de susceptibilidad óptica lineal
con la expresión obtenida del valor medio del operador de polarización
donde σ
v
es la densidad de portadores de carga en la nanoestructura. En el caso de interés de este trabajo y escogiendo el término a primer orden resonante se tiene la expresión de susceptibilidad lineal
Usando la ecuación (15) se calcula el coeficiente de absorción óptica
µ es la permeabilidad magnética del medio y µ R es la parte real de la permitividad.
4 Resultados y Análisis
Al aplicar la ecuación (16) con los parámetros del material propuesto, GaAs/GaAsAl, se tienen que los tiempos de relajación por emisión espontánea 1 ps equivalente a 0.026eV, perdida de la fase coherente 0.2ps equivalente a 0.005eV, la masa efectiva para el electrón 0.067m0 y la densidad electrónica 5 x 1024m-3 [10, 13].
En la figura 1 se muestra la respuesta óptica lineal como una función de la energía del fotón incidente para cinco valores diferentes de bombeo incoherente de excitones (P = 0, P = 0. 2 , P = 0. 4 , P = 0.6 γ, P = 0.9 y) en el régimen de bombeo débil (es decir: P < y) [12]. En este caso se observa que la intensidad de la respuesta óptica disminuye con el aumento del bombeo, este comportamiento se debe a que el aumento de la tasa de bombeo incoherente produce que la población del estado base disminuya mientras la población en el estado excitado aumente. También se observa que se presenta resonancia en el mismo valor de energía, lo que indica que el bombeo incoherente en el régimen débil no modifica la separación energética de los niveles.

Figura 1 Coeficiente de absorción óptica en el régimen de bombeo débil para cinco valores diferentes de bombeo incoherente de excitones P = 0, P = 0.2 y, P = 0.4y, P = 0.6 y, P = 0.9 y.
En la figura 2 se muestra la respuesta óptica lineal como una función de la energía del fotón incidente para cinco valores de bombeo incoherente (P = 1 .2 , P = 1.4y, P = 1.6 y, P = 1.8 y, P = 2 y) en el régimen de bombeo fuerte (es decir: P > y) [12], donde se evidencia que a medida que aumenta el bombeo la intensidad de la respuesta óptica aumenta en valor absoluto, manteniendo la energía de resonancia constante. Se evidencia el cambio de signo de la respuesta óptica lineal, característica presente en la respuesta óptica no lineal. En estudios sobre la respuesta óptica total en ausencia de bombeo incoherente se obtiene que la respuesta óptica lineal es positiva y la respuesta no lineal es negativa, siendo la lineal mayor en valor absoluto que la no lineal.

Figura 2 Coeficiente de absorcion optica en el régimen de bombeo fuerte para P = 1.2γ, P = 1.4γ, P = 1.6γ, P = 1.8γ, P = 2γ.
En este trabajo se encuentra que el aumento del bombeo en el régimen débil disminuye la intensidad de la respuesta óptica lineal. Esta interpretación está en concordancia con [14].
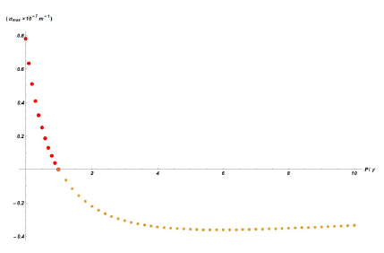
Con la finalidad de analizar el efecto del bombeo incoherente sobre el coeficiente de absorción óptica lineal, la figura 3 muestra la intensidad máxima del coeficiente de absorción óptica como una función del bombeo incoherente, donde se observa que en el régimen de bombeo débil a medida que se aumenta el bombeo, el coeficiente de absorción disminuye y en el régimen fuerte, a medida que aumenta el bombeo el coeficiente de absorción óptica aumenta con signo opuesto hasta que llega a un punto máximo de saturación. Se observa que cuando la tasa del bombeo es igual a la tasa de emisión espontánea el coeficiente de absorción óptica es cero. Este comportamiento se debe al término (
) denominado inversión de población del sistema cuántico descrito en la ecuación de la susceptibilidad óptica lineal que aparece al introducir el bombeo incoherente. Por ello, cuando P =γ se cumple la condición de equilibrio de población
en la cual la respuesta óptica es cero por estar todos los niveles cuánticos resonantes ocupados. Cuando P » y el coeficiente de absorción llega al estado saturación porque el estado cuántico fundamental está vacío y el estado excitado lleno, por lo que aumentar la tasa de bombeo no modifica los portadores de carga. Mediante la clasificación utilizada fue posible identificar dos tipos de régimenes de bombeo incoherente y en los dos se evidencia un comportamiento resonante de la respuesta del sistema.
5 Conclusiones
En este documento se obtuvo una expresión de la susceptibilidad óptica lineal en una nanoestructura que incluye el bombeo incoherente. Además se encontró que el bombeo incoherente de excitones produce inversión de población sin afectar la separación energética de los niveles del sistema cuántico. En el régimen de bombeo débil la intensidad de la respuesta óptica disminuye con el aumento del bombeo y en el régimen de bombeo fuerte la intensidad de la respuesta óptica aumenta en valor absoluto con el incremento del bombeo.


























