Introducción
El trópico es una de las regiones con mayor biodiversidad del mundo 1, aspectos climáticos y edafológicos han incidido en una amplia diversidad de especies de flora y fauna 2, permitiendo que más del 40 % de la biodiversidad conocida a nivel mundial se ubique en esta región geográfica 1. Solo en Costa Rica se reportan más de 500.000 especies (6 % de la diversidad mundial) 3, con una presencia de más de 2.200 especies arbóreas, de las cuales únicamente se ha aprovechado un 10 % para fines comerciales en el país 4.
Ante tal biodiversidad se hace necesario el desarrollo de expediciones de colecta botánica que permitan la identificación, la caracterización y la geolocalización de las especies 5. Tradicionalmente las colectas se han enfocado en la colección de muestras de ramas y hojas, debido a su facilidad de recolección, manipulación y almacenamiento 6. Pero también existe otro tipo de colecta de material, de mayor dificultad en el caso de árboles, y que consiste en la colecta de muestras de madera para el estudio posterior. Generalmente, las piezas de madera que se obtienen del tronco o una rama gruesa 7, la muestra es secada y se mantiene en colecciones especializadas denominadas xilotecas 5
Las xilotecas cuentan con una basta información de la diversidad maderable de un país o una región, permiten además entender procesos de crecimiento de las especies 8, concentraciones de acumulación de carbono y variabilidad anatómica de una especie 9. Su implementación ayuda no solo a la identificación o caracterización de las especies, sino también al entendimiento de los procesos metabólicos y anatómicos que generan la madera, los procesos de acumulación de carbono y la similitud de las especies en cuanto a su composición anatómica por familias 10. Sin embargo, las xilotecas han tenido un retardo tecnológico en las últimas décadas debido a la poca implementación en el desarrollo de plataformas de acceso virtual 11. Tradicionalmente, la xiloteca se ha considerado un sitio de consulta presencial, en el que se debe localizar y analizar la muestra física y con un espacio de utilización de tecnología muy reducido; aspectos que han incidido en que el impacto científico de las xilotecas sea reducido a especialistas o a consultas específicas e imposibilitando el desarrollo de consultas en conjunto de colecciones de diferentes regiones o países en tiempo real 8. En la última década se ha iniciado un proceso de digitalización de material biológico con el fin de aumentar la accesibilidad de las colecciones, ampliar su utilización y permitir el desarrollo de investigaciones internacionales o poblacionales que consideren varias regiones 12. Para el proceso de digitalización de muestras de xiloteca a nivel macroscópico se deben considerar tres elementos fundamentales, según mencionan 13: i. la versión digital de la muestra debe preservar las características de dimensionalidad, estabilidad y colorimetría de la muestra física, ii. la manipulación de las propiedades de la muestra debe ser mínima, para evitar un sesgo en la imagen que pueda inducir en un sesgo en el entendimiento e identificación por parte del usuario y iii. se debe respetar y mantener toda la información complementaria presente en la muestra, para lo cual se debe considerar la ficha de metadatos de las muestras y anotaciones existentes en el material. Conforme mayor sea la similitud entre las propiedades visuales presentes en la muestra física y digital, mayor será la representatividad y la aplicabilidad de la especie con fines científicos.
A nivel mundial la creación de xilotecas se ha desarrollado en su mayoría en especies de climas templados, destacando colecciones en Europa (Alemania, Francia e Inglaterra) y en Estados Unidos con The Forest Laboratory in Madison, que cuenta con la colección más grande del mundo 14. En América Latina resaltan colecciones en Brasil, Argentina, Colombia y México, que cuentan con muestras de especies templadas y tropicales en menor cantidad 15, 16. Si el análisis se enfoca en colecciones con especies del trópico 16, se destaca el sureste asiático donde crearon una colección de tres especies nativas de la región con fotografías a tamaño natural y 10 X. Por su parte 8, en el oeste asiático desarrollaron una colección de muestras de dos especies arbóreas con imágenes de microscopio (40 X) y estereoscopio a 10 X. Mientras en México se han creado “demos” de colecciones de xiloteca hasta de cien especies en escala natural 17, en Colombia se dispone de amplias colecciones de especies tropicales que en su mayoría cuentan con pocos estudios y caracterización anatómica, física y mecánica de la madera 18; en cambio, en Italia desarrollaron un equipo de homologación fotográfica a escala natural para veinte especies arbóreas de la región 19. Sin embargo, no se cuenta con estudios que estandaricen las condiciones fotográficas óptimas para análisis anatómicos y colorimétricos de imágenes macroscópicas de especies maderables. Por lo que el presente estudio consistió en determinar las condiciones de luminosidad óptimas en fotografías macroscópicas para la identificación de variables anatómicas y colorimétricas en diez especies arbóreas tropicales de Costa Rica.
Métodos
Sitio de estudio y especies
El estudio se desarrolló en la costa pacífica de Costa Rica (figura 1), región que cuenta con una amplia variedad de bosques tropicales que en la actualidad se han enfocado en un uso forestal sostenible para la obtención de madera con múltiples propósitos 21. Los cuatro sitios seleccionados mostraron una diversidad de especies representativa de la región; a continuación se presenta una caracterización de cada bosque seleccionado: Estación Forestal Experimental Horizontes ubicada en Guanacaste (10°42’10”N, 85° 33’12”O) a una altitud de 120 m, bosques en la región de Miramar, Puntarenas (10° 01’ 29” N, 84° 14’ 04” O) a una altitud de 270 m, en ambas regiones los bosques se caracterizaron por ser de tipo seco con régimen hídrico anual inferior a los 2.000 mm, temperaturas que oscilaron de 27 a 34°C y una estación seca definida de diciembre a mayo. También se colectaron muestras en la Península de Osa, Puntarenas, específicamente el bosque de los Mogos (8° 45’ 00” N, 83° 22’ 59” O) a una altitud de 40 m y San Juan (8° 39’ 02” N, 83° 27’ 53”O) a una altitud de 35 m; estos sitios se caracterizaron por tener una época seca muy reducida (de enero a abril), con una precipitación anual de 4.000 a 4.300 mm y temperatura anual con variación de 27 a 33 °C y con una humedad relativa anual de 70 a 90 %.
Se trabajó con diez especies forestales maderables, seleccionadas por su amplio uso en la industria en Costa Rica, además de que se encuentran consideradas en los programas de conservación y manejo sostenible de bosque natural, por lo que contar con información anatómica de alta calidad de las especies permite su correcta identificación 21. Por especie se seleccionaron como mínimo diez individuos a partir de estudios previos desarrollados por Valverde et al. (22, que determinaron que la cantidad mínima de individuos necesarios para este tipo de estudios es de nueve árboles.
En la tabla I se muestra la cantidad exacta colectada por especie en cada sitio, la variación entre especies se debió a facilidad de ubicación y colección de los árboles de cada especie, se utilizaron los criterios de Valverde et al. 21, con árboles que presentaron un diámetro superior a 30 cm con una distancia entre árboles superior a 15 m (esto con fin de aumentar la variedad de la especie en el sitio).
Tabla I Especies y cantidad de muestras analizadas en el estudio para validación del protocolo fotográfico de muestras
| Familia botánica | Especie | Sitio | Cubos fotografiados | |||
|---|---|---|---|---|---|---|
| EEFH | Miramar | Mogos | Total | |||
| Anacardiaceae | Spondias mombin L. | 6 | 6 | - | 12 | 60 |
| Bignoniaceae | Tabebuia rosea (Bertol.) DC. | 6 | 4 | - | 10 | 50 |
| Caryocaraceae | Caryocar costarricense Donn. Sm. | - | - | 12 | 12 | 60 |
| Clusiaceae | Symphonia globulifera L.f. | 8 | 4 | - | 12 | 60 |
| Fabaceae | Schizolobium parahyba (Vell). S.F.Black | 2 | 8 | 2 | 12 | 60 |
| Malvaceae | Pachira quinata (Jacq.) W.S. Alverson | - | 1 | 15 | 16 | 80 |
| Meliaceae | Cedrela odorata L. | 3 | 3 | 9 | 15 | 75 |
| Phyllanthaceae | Hieronyma alchorneoides L. | - | 1 | 9 | 10 | 50 |
| Rutaceae | Zanthoxylum ekmanii (Urb.) Alain | - | 3 | 7 | 10 | 50 |
| Vochysiaceae | Vochysia gentryi Marc.-Berti | - | - | 12 | 12 | 60 |
| Total | 121 | 605 | ||||
Proceso de colecta del material
Por cada árbol evaluado se extrajo una única muestra (121 muestras en total para el estudio), cada muestra se caracterizó por tener un tamaño de 75 mm de longitud y 25 mm de diámetro, fue obtenida mediante un muestreo no destructivo que consistió en el uso de una broca de tipo cortadora de tapones en espiral, implementada en un taladro de batería de 20 v. En cada árbol a una altura de 1,3 m sobre nivel del suelo se limpió un área de 4 cm2 , la cual se liberó de la corteza y se colocó la broca para perforar el fuste, la perforación se realizó con una velocidad de 1.750 RPM; posterior a que se realizara la perforación con la broca, la pieza de madera se extrajo con una pinza y se introdujo en una bolsa con una disolución acuosa de alcohol al 15 %, esto con el fin de impedir pérdida de contenido de humedad del material para el posterior procesamiento, además de evitar la formación de hongos que afectaran el color y la calidad de las muestras.
Procesamiento del material
Cada muestra cilíndrica se segmentó en cinco subcilindros de 13 mm de longitud, en cada cara transversal se realizó un pulido para dejarla lo más lisa posible; posteriormente, cada subcilindrose convirtió de manera manual mediante cortes en cubos de 10 mm de cara con superficies lo más lisas posibles y libres de defectos. Seguidamente, se secaron a una temperatura de 65 °C por 72 horas acorde a trabajos previos de Valverde et al. 22 que mostraron que muestras de tamaños reducido deben tener un secado paulatino para evitar contracciones significativas y defectos por madera juvenil, esto con el fin de no tener contracciones drásticas de la madera al ser expuesta en poco tiempo a altas temperaturas. Posterior al secado, los cubos se rectificaron en vías de disponer una cara transversal lo más limpia posible, libre de torceduras, defectos de secado o marcas del proceso de corte, en total se obtuvieron 605 cubos de madera, el detalle de la cantidad de cubos por especie se presenta en la Tabla I.
Procedimiento de fotografiado
Se implementó el uso de un estereoscopio electrónico marca Celestron© con una resolución de 5 MP y un aumento de 20 X (aumento que presenta la mayoría de lupas comerciales y que permiten los celulares de gama, además de que es ampliamente usado en entrenamiento de algoritmos de identificación automática 23; las imágenes se tomaron en la cara transversal de la madera, esto debido a que estudios previos desarrollados por Figueroa 24 determinaron que es la cara óptima para la identificación de especies tropicales mediante fotografías macroscópicas (con aumentos inferiores a 100 X), es la cara transversal. El uso de cara radial y longitudinal tiende a presentar mayores problemas en análisis macroscópico 20, por tanto el estudio no consideró ambos cortes. Se manejó con una luminosidad estándar LED para hacer que el área de fotografía fuera uniforme, la temperatura de la luz empleada fue de 4500 K. En el estudio se probaron cuatro intensidades de luminosidad en las piezas de madera que fueron: i. 25 %, en este tratamiento se utilizó la fuente de luz del estereoscopio con una intensidad de 75 lux combinada con la luz ambiente que fue de 150 lux (figura 2a) generando una luminosidad total de 225 lux; ii. 50 %, se implementó la luz LED del microscopio con una intensidad de 150 lux (luminosidad total con la ambiental de 300 lux) (figura 2b); iii. 75 %, se implementó la luz LED del microscopio a una intensidad de 225 lux (luminosidad total de 375 lux) (Figura 2c ) y iv. 100 % se implementó la luminosidad en máxima capacidad de 300 lux (luminosidad total de 450 lux) (figura 2d). El control de la luminosidad se realizó con dos luxómetros marca UNI-T modelo UT382, uno de estos se utilizó únicamente para verificar que la luminosidad ambiental se mantuviera homogénea durante el estudio, mientras el segundo se utilizó para verificar que la luminosidad de cada tratamiento se mantuviera constante en el proceso de fotografiado.
Análisis anatómicos considerados
Cada fotografía se procesó con el programa “Image J” y se estimó la densidad y el diámetro promedio de los vasos, además de la relación vasos-fibras, para lo cual se implementó la metodología de Valverde y Arias 25 para especies arbóreas latifoliadas del trópico, la configuración del programa se realizó de manera automática con la relación de 1 mm equivalente a 240 px, una angulación de procesamiento de 90° y una constante dimensional de áreas de submuestreo de 300 x 300 px con un total de cinco subáreas de análisis ubicadas de forma aleatoria con la restricción que no se repitieran puntos de muestreo. Complementariamente se utilizó el método tradicional de observación con estereoscopio que implementó el mismo aumento y puntos de medición empleadas en la metodología fotográfica.
Medición del color
El color se evaluó posterior al secado del material, esto debido que el estándar de uso de muestras en xiloteca cuenta con material seco (contenido de humedad inferior al 30 %), por tanto la valoración del color no se realizó en condición de presecado21, 22, se analizó tanto en la muestra física como la imagen fotografiada. Con las muestras físicas, la medición del color se realizó con un espectrofotómetro NIX Pro de cromatografía CIE estandarizado. El color se determinó entre el rango de los 400 a 700 nm con un puerto de medición de 10 mm de diámetro. Para la observación de la reflexión del componente especular (SCI modo) se incluyó en un ángulo de 10°, que es normal para la superficie de la madera (D65 / 10); y con un D65 (correspondiente a la luz del día en 6500 K). En cada muestra se midió el color en la cara transversal de la muestra y en total se recolectaron tres mediciones. En el caso de las fotografías, el color se determinó con el programa Adobe Photoshop CC2020, se implementó la herramienta a cuentagotas y por cada fotografía se analizaron 25 mediciones en áreas que no correspondieran a vasos.
El color se evaluó en formato CIELAB, el cual generó tres parámetros para explicar el color que consistieron en: L* (luminosidad), a* (tendencia de color de rojo a verde) y b* (tendencia de color de amarillo a azul).
Diferencial del color
El diferencial de color (∆E*) se definió como la variación neta del color entre dos escenarios, según lo establecido por la norma ASTM D 2244 26, cuya fórmula es detallada en la ecuación 1. El ∆E* se implementó para encontrar diferencias en el color entre las fotografías y las muestras físicas y con ello identificar el grado de representatividad del color utilizando las categorías de Cui et al. 27, que establecen cinco niveles de cambio de color percibido por el ojo humano: si 0 < ∆E* > 0,5, el cambio de color no es percibido por el ojo humano; si 1,5 < ∆E* > 3, el cambio de color apenas se percibe; si 3 < ∆E* >6, se percibe el cambio; si 6 < ∆E* > 12, el cambio de color es bastante notable para el ojo humano, y finalmente si ∆E* > 12, hay un cambio total de color.
Donde: ∆E* es el diferencial del color; ∆L* corresponde a la diferencia entre la luminosidad estimada a partir de la fotografía y la luminosidad medida en la muestra física; ∆a* corresponde a la diferencia entre el valor a* promedio estimado a partir de la fotografía y la medida en la muestra física; ∆b* es b* corresponde a la diferencia entre el valor b* promedio estimado a partir de la fotografía y la medida en la muestra física.
Diferencial chroma
Se evaluó el diferencial chroma (∆C*), que se definió como la variación neta de la saturación del color (a* y b*) entre dos escenarios, según lo establecido por la norma ASTM D 2244 26, cuya fórmula es detallada en la ecuación (2). Este parámetro permite estimar si hay pérdida o ganancia de color, indiferente de la luminosidad.
Donde: ∆C* es el diferencial del chroma; ∆a* es a* del protocolo de fotografía analizado - a* en la muestra física; ∆b* es b* del protocolo de fotografía analizado - b*en la muestra física.
Análisis estadístico
Primeramente se generó una caracterización colorimétrica de las muestras físicas con los parámetros L*, a* y b* con el fin de identificar variaciones de color entre la albura (definida como la parte joven de la madera, correspondiente a los últimos anillos de crecimiento del árbol) y duramen (definido como la parte del tronco que forma parte del llamado xilema, leño, o tejido leñoso) de cada muestra, y a su vez establecer las diferencias estadísticas, para lo cual se realizó un análisis de varianza (ANDEVA de una vía), una validación de los supuestos y en caso de determinar un efecto significativo se aplicó una prueba de Tukey para identificar las diferencias.
Posteriormente, se analizó la diferencia entre los valores de color y la saturación del color de la muestra física con respecto a los distintos protocolos de fotografía, con el fin de identificar los valores que generaron menor diferencial del color, para lo cual se aplicó nuevamente un ANDEVA con las condiciones anteriormente descritas.
Todos los análisis se realizaron con una significancia de 0,05 y se utilizó el programa OriginPro 2020.
Resultados
Caracterización inicial de la madera
Se encontraron distintos patrones entre la albura y el duramen de las diez especies en estudio (tabla II), para T. rosea no se encontraron diferencias significativas entre albura y duramen, mostrando una coloración rojizo-amarillenta con luminosidad baja (L* de 40,3; a* de 8,1 y b* de 12,0); las restantes nueve especies sí mostraron variaciones entre la albura y el duramen con los tres parámetros de color. Con el parámetro de luminosidad (L*), únicamente V. gentryi no mostró diferencias en la albura y el duramen, con un valor promedio de 49,01, las restantes nueve especies sí mostraron diferenciación entre ambas secciones, encontrándose que el duramen mostró un mayor oscurecimiento que la albura, que varió del 5 al 20 %. Con respecto al parámetro a* que evaluó tendencia de rojo a verde, se encontraron tres tendencias, con C. costarricense, T. rosea, P. quinata y V. gentryi no se dieron diferencias significativas entre albura y duramen, encontrándose tendencias de coloración a ser rojizas, por su parte con S. mombin y H. alchorneoides se dio un decrecimiento de a* en el duramen de un 10 a 15 % con una reducción en la escala del color rojo, finalmente la tercera agrupación se conformó por S. globulifera, S. parahyba, C. odorata y Z. ekmanii en las que se dio un incremento en la rojosidad de la madera en el duramen de un 5 al 20 %.
Tabla II Valores de color L*, a* y b* obtenidos en forma directa en la cara trasversal de la madera seca de diez especies arbóreas en Costa Rica
| Especie | Color Albura | Color Duramen | ||||
|---|---|---|---|---|---|---|
| L* | a* | b* | L* | a* | b* | |
| S. mombin | 58,4 A (8,9) | 7,6 A (1,3) | 13,7 A (3,5) | 54,0 B (3,8) | 5,0 B (2,2) | 10,8 A (1,8) |
| T. rosea | 40,6 A (6,2) | 7,9 A (0,9) | 12,1 A (4,2) | 39,2 A (2,5) | 8,2 A (3,1) | 11,9 B (1,5) |
| C. costarricense | 43,7 A (6,6) | 13,4 A (1,6) | 16,3 A (2,7) | 37,0 B (4,0) | 11,8 A (1,9) | 12,6 A (1,6) |
| S. globulifera | 59,0 A (5,2) | 5,8 A (1,9) | 13,5 A (2,5) | 48,0 B (3,3) | 7,2 B (1,8) | 11,6 B (1,7) |
| S. parahyba | 66,2 A (4,4) | 8,4 A (1,3) | 17,6 A (2,0) | 54,2 B (2,8) | 11,5 B (2,1) | 13,9 A (1,4) |
| P. quinata | 43,4 A (3,9) | 13,5 A (2,1) | 18,8 A (1,9) | 34,3 B (3,5) | 12,4 A (2,0) | 11,6 A (1,7) |
| C. odorata | 53,9 A (3,5) | 11,9 A (1,5) | 17,2 A (2,1) | 46,9 B (2,7) | 14,9 B (2,2) | 14,2 A (2,0) |
| H. alchorneoides | 57,8 A (2,9) | 16,4 A (1,5) | 13,4 A (1,5) | 45,4 B (3,6) | 12,3 B (2,5) | 9,2 B (2,2) |
| Z. ekmanii | 42,2 A (3,3) | -2,4 A (0,9) | 4,9 A (1,7) | 30,9 B (3,8) | 0,2 B (2,2) | 5,2 B (2,3) |
| V. gentryi | 49,1 A (5,5) | 9,7 A (1,1) | 11,3 A (20) | 49,2 A (3,6) | 8,4 A (1,8) | 16,7 A (2,5) |
Nota: Valores entre paréntesis corresponden a la desviación estándar. Letras diferentes muestran diferencias con un nivel de significa α = 0,05
Con el parámetro b*, la tendencia de la mayoría de las especies fue la disminución de b* en el duramen de un 6 a 20 %, siendo las especies S. mombin, C. costarricense, S. parahyba, P. quinata y C. odorata las que mostraron dicho comportamiento y manteniendo una coloración levemente amarillenta. Mientras las especies S. globulifera, H. alchorneoides y Z. ekmanii no mostraron diferencias entre el color de la albura y el duramen, presentando valores promedio de b* de 12,4. Finalmente, con la especie V. gentryi se incrementó el amarillamiento del duramen en un 9 %.
En la figura 3 se presenta el diferencial del color ∆E*, obtenido entre los colores tomados a las muestras físicas, y el color generado por cada protocolo de fotografiados aplicado tanto a la parte de albura como de duramen, a partir de ello se obtuvieron las siguientes características del estudio: i. todas las especies mostraron un patrón de comportamiento similar, con valores de ∆E* similares por tratamiento (con una variación inferior al 18 %); ii. el patrón también se mantuvo entre la albura y el duramen de las muestras teniendo comportamientos similares de los dos segmentos de la madera; iii. se determinó que la luminosidad al 50 % fue la que presentó valores ∆E* inferiores a 6, considerados como cambios percibidos por el ojo humano, este patrón fue constante con todas las especies; iv. el tratamiento de luminosidad al 100 % fue el tratamiento menos funcional con valores de ∆E* superiores a 8 en albura y a 6 en duramen, lo cual se considera como cambios bastante notables del color por el ojo humano; v. los tratamientos de luminosidad al 25 y 75 % mostraron variaciones en especie y albura y duramen, encontrando de manera general percepción de cambio notable del color de la madera y siendo tratamientos menos funcionales que la luminosidad al 50 %.

Nota: Las líneas rojas indican los valores máximos de aceptabilidad de cambio de color
Figura 3 Valores de diferencial de color (∆E*) o según luminosidad en las secciones de albura y duramen en madera de diez especies arbóreas
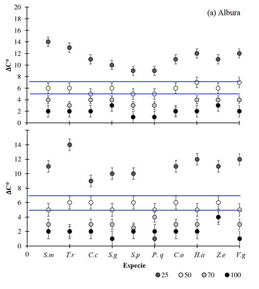
Al analizar el diferencial de saturación del color (∆C*), se determinó un mismo patrón para todas las especies, tanto en albura como en duramen (figura 4). Conforme la luminosidad se incrementó. el diferencial disminuyó, encontrándose que la luminosidad al 25 % generó una saturación muy alta del color con valores de ∆C* superiores a 10, mientras la saturación al 75 y 100 % fue muy baja (inferior a 5), lo que incidió en que la saturación de color fuese menor y los colores parecieran grisáceos; únicamente la luminosidad al 50 % presentó un mejor comportamiento en cuanto ∆C*, obteniendo valores entre 5 y 7, considerados como el nivel de saturación óptimo del color fotográfico con respecto a la muestras físicas: valores superiores a 7 denotan una alta saturación del color, mientras valores inferiores a 5 denotan poca saturación de colores y por ende una coloración muy tenue.
Variación anatómica
En la tabla III se presenta la variación de la densidad y el diámetro promedio de los vasos con los cuatro tratamientos implementados. Con respecto a la densidad de vasos, se estimó un valor de 6 a 11 vasos por mm2, no encontrándose diferencias significativas en la luminosidad de 25 a 50 % de las diez especies, siendo valores estadísticamente similares; aspecto que varió con la luminosidad al 75 %, la cual únicamente en las especies S. mombin, P. quinata y H. alchorneoides no mostró diferencias con los tratamientos de luminosidad al 25 y 50 %, caso opuesto con el tratamiento de luminosidad al 100 %, que mostró diferencias significativas con los demás tratamientos en las diez especies y subestimando hasta en un 50 % la densidad de vasos, esto con respecto a la cantidad de vasos identificados con los métodos tradicionales con estereoscopio, obteniendo que los más exactos son al 25 y 50 %. Con respecto al diámetro de vasos, se determinó una variación de 95 a 185 µm, no encontrándose diferencias significativas en los tratamientos de luminosidad de 25 y 50 % y mostrando valores significativamente similares a los métodos tradicionales con estereoscopio, pero con diferencias entre los tratamientos de 75 y 100 %, que mostraron valores considerablemente inferiores (subestimaciones) del diámetro.
Tabla III Densidad de vasos y diámetro de vasos de diez especies arbóreas de Costa Rica generados por cuatro niveles de luminosidad en fotografía macroscópica
| Especie | Densidad de vasos (vasos*mm-2) | Diámetro vasos (µm) | ||||||||
|---|---|---|---|---|---|---|---|---|---|---|
| Tradicional | 25 % | 50 % | 75 % | 100 % | Tradicional | 25 % | 50 % | 75 % | 100 % | |
| S. mombin | 10 A (2) | 11 A (2) | 10 A (3) | 11 A (2) | 8 B (2) | 103 A (24) | 113 A (23) | 102 A (23) | 78 B (23) | 57B (38) |
| T. rosea | 11 A (2) | 12 A (2) | 12 A (2) | 9 B (3) | 6 B (3) | 100 A (20) | 115 A (21) | 95 A (22) | 59 B (35) | 50 B (42) |
| C. costarricense | 9 A (3) | 9 A (3) | 9 A (2) | 7 B (2) | 5 B (3) | 105 A (23) | 126 A (26) | 109 A (28) | 75 B (38) | 58 C (39) |
| S. globulifera | 6 A (2) | 6 A (2) | 5 A (3) | 4 B (3) | 3 B (2) | 180 A (27) | 189 A (29) | 178 A (30) | 108 B (36) | 95 B (39) |
| S. parahyba | 7 A (3) | 6 A (3) | 7 A (2) | 5 B (3) | 4 B (3) | 228 A (31) | 237 A (33) | 228 A (26) | 201 B (37) | 195 B (44) |
| P. quinata | 5 A (2) | 5 A (2) | 5 A (2) | 4 A (3) | 3 B (2) | 130 A (20) | 135 A (26) | 125 A (31) | 98 B (36) | 81 B (39) |
| C. odorata | 7 A (3) | 6 A (3) | 6 A (3) | 4 B (2) | 3 B (3) | 229 A (20) | 239 A (24) | 224 A (28) | 195 B (39) | 161 B (45) |
| H. alchorneoides | 4 A (2) | 4 A (2) | 4 A (3) | 3 A (3) | 2 B (2) | 123 A (30) | 135 A (36) | 122 A (22) | 96 B (37) | 76 B (41) |
| Z. ekmanii | 8 A (3) | 8 A (3) | 8 A (2) | 6 B (3) | 4 B (2) | 109 A (23) | 108 A (27) | 98 A (32) | 68 B (38) | 58 B (42) |
| V. gentryi | 11 A (3) | 11 A (3) | 12 A (3) | 9 B (3) | 5 B (3) | 2186 A (25) | 204 A (28) | 185A (38) | 157 B (44) | 138 B (40) |
Nota: Valores entre paréntesis corresponden a la desviación estándar. Letras diferentes muestran diferencias con un nivel de significa α = 0,05.
Discusión
Diferenciación entre albura y duramen y su efecto en la fotografía
La diferenciación en la colorimetría entre la albura y el duramen de la madera se debe a que el primero cuenta con una acumulación de ceras, taninos y enzimas que se van acumulando debido a los procesos fisiológicos del árbol. Ayala et al. 13 mencionan que xilema que forma parte del duramen se caracteriza por tener una actividad fisiológica limitada y es considerado un reservorio de agua que es utilizado cuando el individuo entra a un estrés por déficit hídrico, esto permite acumular residuos y nutrientes que afectan significativamente el color de la madera; aspectos que según Marcelo-Peña et al. 17 se debe a compuestos orgánicos como: ceras, taninos y enzimas que tiende a oxidarse y reducirse al momento del secado la madera, lo que produce un cambio en la coloración en la madera. En el caso de la albura que forma parte del floema y las partes más activas del xilema, la dinámica fisiológica es mayor por el transporte de agua y nutrientes, con lo que la reserva de agua es menor y por tanto la acumulación de extraíbles, de ahí que se denote la madera con una mayor luminosidad y menores valores de a* y b* 12.
En el proceso de creación de la digitalización de material se deben tener claras las condiciones de fotografía y cómo la claridad de la albura y el duramen puede afectar la calidad de la imagen, Fioravanti et al. 6 mencionan que conforme mayor sea el conocimiento de la variación de color de una especie y cómo este debe ser considerado en la digitalización de material, la calidad de las imágenes será mayor. Ma y Min 18 destacan, para especies tropicales, la necesidad de conocer los rangos de luminosidad en los que se debe ajustar el microscopio en la secciones de albura y duramen, ya que pueden variar dependiendo las características de la especie 19.
Efecto del protocolo en la colorimetría de las muestras
En el proceso de virtualización de xilotecas, el color es una variable fundamental que debe ser controlada y manejada de forma protocolaria con el fin de mantener la reproducibilidad y representatividad de la imagen con respecto a la muestra física. Giachi et al. 9 consideraron fundamental la creación de estándares que homogenicen las condiciones de fotografiado y se minimice el sesgo por cambios de luminosidad o de equipo utilizado, ya que cambios no reportados del proceso pueden generar pérdida de precisión al momento de realizar análisis anatómicos o caracterización de las imágenes por parte de los expertos.
En el estudio se determinó que la potencialidad de reproducir el material a nivel macroscópico con una representatividad a la muestra física es posible, siempre y cuando las condiciones ambientales sean homogéneas y se realicen pruebas de calidad de imágenes. Bueno et al. 20 destacan que disponer de sistemas de fotografiado validados que sean reproducibles a nivel de región (por ejemplo el trópico), permite mejorar el desarrollo de investigaciones a nivel internacional y comparar y analizar poblaciones o especies a nivel macro, permitiendo tener un entendimiento más global de su comportamiento y desarrollo.
Ventajas y desventajas del protocolo propuesto
La metodología propuesta de luminosidad al 50 % mantiene valores de color y calidad de imagen suficientes para ser comparados directamente con las muestras en físico, aspecto que mantiene exactitud y precisión en comparación con la muestra real; Valverde et al. 22 destacan como fundamental para el proceso de digitalización de colecciones de xilotecas mantener la representatividad de las propiedades del material físico. En la actualidad hay una carencia de protocolos estandarizados para la representación de muestras, cada colección y organización ha propuesto protocolos que en muchos casos carecen de una metodología clara o validada 28, por tanto la propuesta actual permite mostrar una opción con una validez científica. Estudios previos desarrollados por Figueroa et al. 24 mostraron que los protocolos tradicionales se han enfocado en el escaneo de muestras con un control mínimo de la colorimetría y del efecto de luminosidad en las visualización de vasos y fibras en la cara transversal de la madera, por lo que la calidad de imágenes en mucho casos es difícil de comparar con otras xilotecas o colecciones académicas de fotografías.
Otra de las ventajas que muestra el protocolo es que se ha desarrollado por completo para especies tropicales, aspecto que es interesante ya que la diversidad colorimétrica y anatómica de las especies es mayor que en las regiones templadas, por tanto, estandarizar un procedimiento permitiría generar colecciones homogéneas que sean funcionales para procesos de aprendizaje con inteligencia artificial y creación de claves tradicionales de identificación 21. Pero también presenta limitaciones; primeramente, cuenta con un aumento específico de fotografiado de imagen, en este caso de 20 X, el cual debe ser nuevamente calibrado si se implementan otros aumentos, igualmente debe ser analizado con más especies forestales y es recomendable un nuevo estudio en el que se analicen especies comerciales ampliamente estudiadas en regiones tropicales, aspecto que permitiría hacer comparaciones con estudios previos. Además, sería relevante su realización con distintas marcas de instrumentación y condiciones de uso, con fin de afinar la metodología, la cual en primera instancia puede ser considerada como una línea base para la homogenización fotográfica bajo estándares en común 28.
Conclusiones
Se determinó que es posible generar un protocolo de ajuste fotográfico macroscópico en que la colorimetría de la imagen sea representativa a la muestra física. Los resultados no mostraron un patrón claro para las diez especies entre la albura y el duramen, encontrándose variaciones en los valores de color con énfasis en la luminosidad. Con respecto a la selección del mejor protocolo, se determinó para las diez especies tanto en albura como duramen que el uso una luminosidad al 50 % (correspondiente a 300 lux) es la óptima para tener coloraciones similares a la muestra física. Usar mayores luminosidades genera un aclaramiento de la muestra, lo cual se evidencia con mayor cambio del ∆E* y disminución del ∆C*, lo cual infiere que la representación no sea la mejor y en los análisis anatómicos se tienda a una subestimación de la densidad y el diámetro de los vasos. En cambio, el uso de una luminosidad inferior al 50 % generó un cambio susceptible del color, con un incremento de la saturación del color ∆C*, lo cual no repercutió en la parte del análisis anatómico y no mostró diferencias significativas con el tratamiento de luminosidad al 50 %.
Se debe considerar la propuesta metodológica como una línea base para el proceso de homogenización y estandarización de imágenes macroscópicas en especies tropicales, aspecto que permitiría en el futuro hacer estudios de mayor impacto al comparar especies desarrolladas en distintas regiones, o evaluar procesos de aprendizaje con inteligencias artificiales, igualmente se recomienda continuar con esta línea de estudios comparando especies comerciales ampliamente estudiadas y equipos con distintas características bajo las condiciones óptimas identificadas.



















