Introducción
En la actualidad se busca el aprovechamiento de la materia orgánica por medio de biodigestores como alternativa para obtener biogás, contribuyendo así a la sustitución de energías derivadas de combustibles fósiles por fuentes renovables de energía. Según (1, p. 2), “el biogás es una mezcla de diferentes gases producidos por la descomposición anaeróbica de materia orgánica, como el estiércol y las basuras orgánicas”. En aras de desarrollar la tecnología de biodigestores, se debe asegurar una buena calidad del biogás, es decir, se debe garantizar una alta capacidad calorífica por medio de concentraciones altas de metano, evitando diluyentes como el dióxido de carbono, el hidrógeno, el nitrógeno, el monóxido de carbono, el oxígeno y el sulfuro de hidrógeno 2, lo cual ayuda a prevenir daños en equipos como la corrosión y la disminución de la capacidad calorífica, así como a reducir el peligro de exceso de oxígeno, que puede hacer combustión con el metano.
Se observó un problema recurrente en la metodología de cuantificación rigurosa para asegurar una alta calidad de inflamación en el biogás (Tabla I). Dada la falta de recursos tecnológicos o financiamiento, usualmente se recurre a diferentes metodologías de medición de alta precisión, lo cual puede aumentar los costos. Si estos costos se reducen, se podría invertir en mejorar los biodigestores. Con el presente proyecto se busca dar solución a la necesidad de crear un sistema de medición accesible y eficaz para proyectos académicos y de investigación en este campo.
Entre otros métodos de cuantificación están los sensores como el FIGARO TSG-2611-C00. Sin embargo, este método es poco exacto, pues involucra cantidades excesivas de aire que diluyen la muestra, cambiando el orden de 100:1 en proporción del volumen 3. También está el sensor CH4 NDIR, que logra detectar concentraciones metano de 0 a 100 % con mediciones precisas 4. No obstante, estos métodos de cuantifición del metano tienen un alto costo, lo cual cosntituye una limitación para muchos investigadores.
Tabla I Comparación de métodos de cuantificación de metano

Nota: Esta tabla presenta los diferentes métodos usados para cuantificar metano.
Los sensores de bajo costo llegan a ser de gran interés gracias a sus ventajas claves, no solo por su accesibilidad, sino por características deseables como menor tamaño, peso y consumo de energía. A esto se suma que emplean los mismos principios analíticos que los instrumentos de referencia mencionados anteriormente 11. Hay un catálogo de modelos para la detección de diferentes tipos de gases con la denominación MQ para su implementación en las placas de Arduino, donde figura el sensor MQ-4, especializado para la detección de metano, propano y gas natural. Sin embargo, uno de los problemas que yace en el sensor es su rango de detección dado que se encuentra en los 200-10.000 ppm). Estos equipos son normalmente utilizados como detectores y no como sensores, pues cuentan con una medición máxima de concentración de 1 %v/v. En el caso de un biodigestor, la generación de concentración de metano está entre 40 y 70 %v/v 12, lo cual restringe severamente el uso de estos dispositivos. Esto, debido a que en estos reactores se llega a exceder el límite del sensor. La cantidad mínima de analito (en este caso metano) requerida para obtener un resultado significativo se puede cuantificar a través del límite de detección (LDI) y el límite de cuantificación (LOQ), de acuerdo con lo que mencionan 13, el LDI es la mínima cantidad de analito que puede ser detectado, pero no así cuantificado con precisión y exactitud, mientras el LOQ es la mínima cantidad de analito que se puede determinar cuantitativamente y de manera exacta 13.
Con respecto a la problemática expuesta, es posible ajustar la concentración del gas al rango de medición del sensor MQ-4 implementando una cápsula y aumentando el tiempo de retención en la superficie del sensor, lo cual reduce el espacio entre las paredes internas de la cápsula y la superficie activa del sensor 14. Asimismo, se lleva a cabo una dilución de gases, en la cual se parte de una muestra de gas metano y aire en volúmenes determinados. Esta se inyecta por medio de una en la cápsula del sensor con el fin de mejorar su respuesta 14.
El objetivo de este artículo es crear un sistema para la medición de metano mediante sensores semiconductores de óxido de metales de la serie MQ-4. También se busca incentivar a otros académicos a hacer uso de prototipos similares de bajo costo para obtener resultados precisos acordes a las exigencias de sus respectivos campos de investigación.
Materiales y métodos
Descripción de la placa Arduino y el sensor
En este proyecto se propone la medición de la concentración de metano por medio de sensores que facilitan el monitoreo en línea de los biodigestores. Para ello existen diversos equipos que se acoplan a computadores o receptores de información, como también componentes que se acoplan a tarjetas inteligentes (Arduino). Arduino es una placa microcontroladora que sirve para recibir instrucciones y funciona como dispositivo IoT (Internet of Things).
Dentro del catálogo que ofrece Arduino, además de las ya mencionadas placas, se encuentran accesorios o componentes acoplables, entre los cuales se destacan los sensores de la serie MQ para medición de gas: “estos sensores reaccionan ante la presencia de gases en el ambiente, reduciendo su resistencia eléctrica mediante un material semiconductor a base de óxido de estaño (SnO2), el cual, al entrar en contacto con el gas metano y el dióxido de carbono, modifica sus propiedades conductivas, es decir, la resistencia sensitiva se reduce, por consiguiente, aumenta el voltaje de respuesta” (15, p. 69). La base del sensor electroquímico es el óxido de estaño, que tiene la capacidad de modificar su resistencia eléctrica por la presencia de gases afines. Este gas expulsa los electrones que absorbió en forma de iones, dejando un área de la superficie expuesta, la cual interactúa con los electrones del gas.
En la Fig. 1 se observa el módulo del sensor MQ-4, en cuyo lado derecho se observan las respectivas barras de conexión de la placa Arduino. Se observa cómo cada barra de conexión tiene una nomenclatura (Tabla II): de abajo hacia arriba, A0, Do, GND y VCC. La salida Do (digital) solo permite leer valores de 0 o 1 y funciona como un detector, mientras que la salida Ao (análoga) da valores en voltios entre 0 y 5 V representados en bits, lo cual permite examinar el cambio de voltaje del sensor. VCC es la entrada del voltaje de 5 V al módulo del sensor, y GND es la conexión a tierra para modular el voltaje interno 16.
La Tabla II describe la función de cada una de las salidas del modulo del sensor MQ-4:
Se utilizó la curva de calibración de fábrica para el sensor MQ-4 (Fig. 2), la cual se implementó como base para calibrar el sistema. Esta curva dicta el comportamiento de las concentraciones registradas y asegura que los datos de concentración en ppm obtenidos en la práctica sean verídicos en comparación con los datos del proveedor. En la curva se determina la relación RS/RO, donde RS es la resistencia del sensor electroquímico, el cual cambia según la presencia del gas muestra; y RO es la resistencia del sensor cuando el aire del ambiente no tiene trazas de metano, lo cual se toma como el inicio de la calibración del sensor.
Descripción de la cápsula
La cápsula se fabricó mediante un diseño computacional (o Computer Assisted Design, CAD), el cual se exportó mediante un archivo de direcciones y se materializó usando una impresora 3D. La cápsula se diseñó a partir de las dimensiones del sensor MQ-4, teniendo en cuenta la idea propuesta por 14, donde la cápsula tiene un volumen reducido que limita el movimiento del gas en su interior. Asimismo, el espacio disponible entre las paredes internas de la cápsula y la superficie activa del sensor permite que este reaccione mejor al gas. El diámetro interno y la altura son 1,2 y 2,2 cm respectivamente, y el sensor se acopla a la cápsula por medio de una boquilla (Fig. 3). Dado que el diseño está hecho a medida en materiales plásticos (PLA o ABS) -los cuales no son herméticos y/o impermeables debido a su estructura química, con espacios entre las cadenas poliméricas que a simple vista se aprecian poros en la cápsula. Por lo tanto, las mediciones se ven afectadas por la presencia de aire externo, un ambiente no del todo sellado, y por el material de la cápsula, lo cual resulta en valores inestables.
Montaje del sistema de cuantificación
En la metodología se plantean 5 muestras de volumen del gas de calibración (Tabla III), es decir, metano para luego diluirlo con aire dentro de una jeringa, completando un volumen de mezcla total de fluido de 10 mL, de acuerdo con lo propuesto por 14. La secuencia que se implemento es la siguiente: 1 mL de gas con 9 mL de aire; 4 mL de gas con 6 mL de aire; 6 mL de gas con 4 mL de aire; 7 mL de gas con 3 mL de aire; y 8 mL de gas con 2 mL de aire. Todas las muestras se elaboraron por triplicado.
A partir lo descrito anteriormente se crea una curva de calibración para el sistema, con un rango de operación entre una concentración de metano entre 10-80 %v/v, teniendo en cuenta la información dicha previamente dado que un biodigestor tiene la capacidad de producir biogás con una concentración de hasta 70 %v/v. Sin embargo, el rango propuesto para la medición se extiende en caso que se utilice el sistema para otras aplicaciones. Para elaborar la curva de calibración se determinan los volúmenes de los gases, en vista de que la concentración del gas de calibración (marca Merk) utilizado tiene una concentración de 99,99 %v/v.
La Fig. 4 muestra el montaje del equipo de registro para metano compuesto de un sensor MQ-4 encapsulado, conectado a la placa Arduino y una jeringa graduada para la inyección del gas diluido (acoplada a la cápsula). La placa va conectada a un computador (de preferencia portátil) que la alimenta con 5 V y permite la comunicación con un dispositivo con interfaz de visualización.
Para los datos del sensor se debe tener en cuenta una correlación con la calibración, a fin de que los resultados arrojados por el sensor se adapten al comportamiento correspondiente según el gas de calibración y se obtengan los resultados reales aproximados de la concentración. Teniendo en cuenta la ecuación descrita por 14, el coeficiente de correlación se define una constante C, que se calcula a través de la siguiente expresión:
definiendo Yi como
‘’donde Yi es la relación de un volumen dado, se define n como las repeticiones realizadas, Mi viene siendo la concentración de gas medido por el sensor en un determinado volumen, Ri es la concentración de gas objetivo en el gas estándar para un volumen definido, dado que i es el gas utilizado” (14, p. 10).
Resultados
Una vez ejecutada la metodología, se recopilan las concentraciones determinadas por el sensor para cada uno de los volúmenes propuestos con una réplica. Teniendo en cuenta que una relación de concentración de 1 %v/v es de 10.000 ppm, se calculan las proporciones de concentración correspondiente para poder compararlas con los valores esperados (Tabla IV) mediante la Ec. 1 del coeficiente de correlación, que se multiplica por el valor obtenido por el sensor en aras de obtener un valor corregido para la concentración de metano.
Mediante los datos recopilados en la Tabla IV se crea una gráfica semilogarítmica (Fig. 5), donde la variable independiente está en la ordenada (i.e., el logaritmo natural de la concentración medida en el sensor en ppm) y la variable dependiente en la abscisa está representada por la concentración de metano corregido en %v/v. Al graficar los valores promedio se obtiene un coeficiente de correlación del 0,99 (Fig. 5), lo cual garantiza un ajuste fiable dada la alta correlación que hay entre la concentración medida experimentalmente y la corregida. En consecuencia, los ensayos futuros generarán analitos fiables.
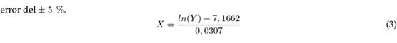
Se usa la ecuación de la recta descrita en la Fig. 5 para corregir los datos mostrados por el sensor, los cuales están dentro de su rango limitado de medición, corrigiendo el valor al rango extendido descrito en la gráfica. Se despeja la concentración corregida ( %v/v) y se calcula con la relación de la concentración en ppm leída por el sensor, implementando pendiente y corte con la ordenada descrita por la línea de tendencia. En la Ec. 3 se define X como la concentración de metano esperada y Y como las ppm registradas por el sensor. Cabe agregar que se determinó un error del ± 5 %
Se obtuvo la Ec. 3 con la regresión lineal de los datos de la Tabla IV para generar una correlación entre los datos suministrados y el analito, generando una medición con errores mínimos. Esto, con el objetivo de facilitar y aumentar la fiabilidad al momento de obtener los datos registrados por el sensor (ppm), así como de lograr un resultado preciso en la concentración de metano. Cabe resaltar que el uso de una cápsula para disminuir el espacio entre el sensor y el gas de calibración mejora en gran medida la linealidad de la medición, logrando superar ampliamente el límite de medición de fábrica en relación con otros métodos o técnicas de cuantificación. Esto representa una mejora con respecto a casos de uso de sensores de la serie MQ-4 para la medición de metano reportados en la literatura, como es el caso de 19, que presentó incertidumbres al momento de registrar datos coherentes, pues el sensor MQ-4 no pudo proporcionar valores aceptables debido a su limitación de detección y mostró una respuesta bruta limitada a las posteriores concentraciones de metano. A lo anterior se suma la opción de revisar la concentración del metano para asegurar la calidad de combustión del biogás.
Para determinar el límite de detección (LDI) y límite de cuantificación (LOQ), se siguió la metodología propuesta por 13. La ecuación que correlaciona la desviación estándar con la concentración de metano generó la Ec. 4 con una correlación de 0,9543.
Se puede observar que el valor de Sbl = 0,1995. Por tanto, los limites teóricos de detección y cuantificación fueron LDI= 0,5985 % y LOQ= 1,197 %.
Uno de los factores que influyen en la creación de prototipos de cuantificación de metano con sensores MQ es la facilidad con la que se pueden conseguir los componentes, la accesibilidad que ofrecen (Tabla V), su portabilidad y su menor consumo energético. Además, estos sensores solucionan la limitación del rango de medición. Asimismo, reemplazar los componentes no supone ninguna desventaja, dada la poca dificultad que conlleva el proceso. Se puede hacer una comparativa de inversión: la Tabla VI muestra la cotización por muestreo de varios laboratorios para los años 2020 y 2021.
En vista de lo anterior, se realiza una descripción de las diferentes entidades que efectúan la medición por GC (cromatografía de gases), con el fin de comparar los costos de este servicio (Tabla VI) con el costo de fabricación del sistema de cuantificación de metano descrito (Tabla V), demostrando la accesibilidad que representa el crear un prototipo como el planteado en este documento.
El sistema propuesto emplea materiales sencillos. De igual forma, se pueden desarrollar e incorporar mejoras que pueden llegar a influir significativamente en la toma de datos. Esto, mediante módulos de acoplamiento a la placa procesadora, conocidos como shields, los cuales brindan funcionalidad adicional al sistema, e.g., un modulo que permite controlar el Arduino a través de Internet o de una red local (LAN). Esta conectividad de Ethernet llega ser bastante útil para monitorear la toma de datos sin la necesidad de observar físicamente el sistema. A su vez, este módulo se complementa con otro denominado como Wifi shield, que es de gran ayuda para el control remoto de la placa procesadora. Asimismo, existen diferentes shields que proporcionan una mayor autonomía al sistema y brindan una mayor movilidad al dispositivo. Se recomienda realizar una comparación con un método riguroso como la cromatografía de gases, en aras de garantizar una mejor precisión en el sistema de cuantificación de metano y disminuir el porcentaje de error, ya que gases como CO2 pueden ser igual de afines que el metano al (SnO2) distorsionando la cuantificación.
A continuación se presentan algunas recomendaciones la toma de datos:
Realizar un precalentamiento de por lo menos una hora, conectando el sensor y la placa Arduino a un computador, en aras de garantizar un buen funcionamiento del sensor.
Si se sabe que el gas tiene un concentración alta de metano, se recomienda diluirlo o comenzar con una concentración baja de metano pues, de lo contrario, el sensor puede saturarse, lo cual evita que este realice mediciones. Si esto ocurre, se debe dejar reposar el sensor de 30 minutos a 1 hora al aire libre para que se dispersen las trazas del gas de calibración 19.
Al momento de inyectar el gas de calibración, se debe mantener la jeringa en el lugar de inyección para evitar fugas. Entre mediciones se debe desmontar la cápsula y dejar en reposo el sensor por al menos 2 minutos. Esto, con el fin de despejar todo rastro de gas de muestra de la medición anterior.
Es posible que el dispositivo funcione de manera errónea bajo ciertas condiciones ambientales. Se debe tener en cuenta que la humedad relativa debe ser menor a 95 %, la temperatura de operación oscila entre 20 ◦C y 50 ◦C y la concentración de oxígeno puede afectar la sensibilidad (el estándar con el que que trabaja el sensor es 21 %).
Conclusiones
A partir de la comparación de los rangos de medición de fábrica del sensor MQ-4 (entre 200 y 10.000 ppm, lo cual equivale a una concentración entre 0,02 y 1 %v/v), al diluir el metano con aire e implementar una cápsula que aumenta los tiempos de retención del gas de calibración, se logra aumentar los rangos de medición con respecto a los de la curva de calibración propuesta, con un intervalo de 10-80 %v/v. Se recomienda no extrapolar datos, pues esto puede resultar en un error de medición mayor a lo establecido.
Se desarrolló un sistema de cuantificación de metano fiable y de bajo costo, con el fin de mejorar el seguimiento estricto de producción de metano en biodigestores. Este sistema es accesible a proyectos de investigación de todo tipo y no se debe limitar solo a la cuantificación de metano, dada la variedad de modelos de sensores MQ, con aplicaciones en gases como metano, hidrógeno, monóxido de carbono, alcoholes, entre otros. Si se cambia la curva de calibración, este sistema puede adaptarse a sensores diferentes al descrito.
El uso de un sistema basado en Arduino para la cuantificación de metano sigue siendo, por un amplio margen, la mejor opción en términos de precisión. Esto, en comparación con otros métodos para la determinación de metano (i.e., pruebas de inflamabilidad, desplazamiento volumétrico y sus variantes). Este tipo sistema es, además, más económico que el método por cromatografía, y su buen rendimiento se debe a que utiliza una cápsula parcialmente cerrada, ofreciendo al sensor un mejor desempeño al momento de inyectar el gas de calibración, pues esta retiene por más tiempo la muestra frente al sensor, evitando la dispersión del gas de calibración en el ambiente y dando tiempo al sensor para realizar una medición correcta.
Se proponen estudios adicionales del sistema de medición en aras de identificar la durabilidad del sensor en condiciones de exposición permanente a biogás, así como la aplicación directa a biodigestores tanto en sistemas por lotes como de manera continua. También se pretende establecer su uso para la medición de otros gases, incluyendo hidrógeno, dióxido de carbono, amoniaco y sulfuros como posibles gases generados en los procesos de digestión anaerobia.
Este primer prototipo tiene ventajas sobre los sistemas actuales de medición. Sin embargo, también posee algunas debilidades como la fragilidad del circuito integrado, el riesgo de saturación del sensor, la necesidad de aireación del sensor para eliminar la saturación y el requerimiento de energía a través de un computador o fuente de 5 V.




























