Introducción
La promoción de la salud fue descrita en la Carta de Ottawa como el proceso para promover las herramientas necesarias para optimizar la salud en las comunidades al involucrar a los diferentes miembros de la sociedad y fortalecer sus habilidades y capacidades para apropiarse de su salud 1. Las universidades saludables son instituciones que fomentan los valores y los principios asociados a la promoción de la salud 2, y que cuentan con un conjunto de estrategias y actividades articuladas que buscan promover el cuidado de la salud, fortalecer entornos y favorecer el desarrollo humano y el mejoramiento de la calidad de vida por medio de la implementación de unas líneas de acción 2. Específicamente, en Latinoamérica, la promoción de la salud tiene cada vez más aceptación, puesto que los gobiernos asumen como compromiso el bienestar de sus poblaciones, para lo cual la voluntad política es un aspecto crucial para este movimiento 3,4. Desde el ámbito académico también se aprecia un avance importante por parte de las universidades para articular la promoción de la salud en los programas de estudios y de bienestar 5.
Tras analizar las publicaciones sobre universidades saludables publicadas entre 1997 y 2013, Dooris et al. 6 resumen que son entendidas como intervenciones complejas entre diferentes actores y espacios, que tienen raíz en la Carta de Ottawa y en buena medida están desarrolladas a través del modelo ecológico o socio-ecológico de intervenciones en salud y la teoría de cambio en todo el sistema 6. También se recomienda que las intervenciones de universidades saludables sean orientadas a todos los potenciales beneficiarios, sean interconectadas y permitan ligar el concepto de salud al espíritu y cultura de la universidad y su contexto.
En experiencias previas, como es el caso de la Universidad Internacional de la Florida, el programa de universidad saludable presenta diversos componentes como las relaciones de poder, diferencias en recursos, liderazgos y alianzas, y recomienda la identificación de un balance entre las ganancias en salud y bienestar, las intervenciones físicas y de entorno, y los aspectos relacionados con gobernanza universitaria, actividades académicas y participación de la comunidad. También se exhorta a considerar que los proyectos de universidad saludable holísticos y de largo término, con estrategias incluyentes e interdisciplinarias, sean continuamente monitoreados y evaluados 7.
En un estudio de caso adelantado en Londres, se identificaron cinco temas asociados con universidades saludables: construcción de salud y bienestar en la universidad, los procesos para manifestar el concepto de “universidad saludable”, potencializadores de salud y bienestar, inhibidores de salud y bienestar, y el ideal “universidad saludable” 8. Para el caso de Colombia, Duarte-Cuervo 9 realizó un estudio cualitativo sobre la implementación y comprensión de la promoción de la salud, los entornos saludables y las universidades promotoras de la salud en instituciones de educación superior. Los hallazgos de esa investigación relatan tres posibilidades dentro de las instituciones analizadas: la inexistencia de un ente encargado de la articulación de las acciones de promoción de la salud, la subordinación de las acciones a la dependencia encargada de salud, o una instancia articuladora de la promoción de la salud que tiene influencia en varias dependencias 9.
Con base en las experiencias anteriores, es importante conocer las posturas, necesidades, opiniones y conceptos alrededor de promoción de la salud de los diferentes actores sociales de la Universidad [Anónimo]. En este contexto, este estudio tuvo como objetivo el diseño de una encuesta que busca conocer la percepción de la comunidad universitaria sobre los conceptos de salud, universidad saludable y elementos constitutivos, como un aporte al proceso de formulación de una política de universidad saludable.
Materiales y métodos
Para el diseño de la encuesta se utilizó un enfoque exploratorio y descriptivo. Cada pregunta se acompañó de afirmaciones incluidas en la encuesta, la cual fue construida mediante la revisión de literaturay análisis de documentos académicos y del marco normativo institucional, nacional e internacional en materia de salud y promoción de la salud, así como políticas en salud de Colombia, el marco referencial de los Objetivos de Desarrollo Sostenible (ODS) (material suplementario 1). La primera versión de la encuesta fue revisada en mesas de trabajo por un equipo multidisciplinario conformado por seis expertos en salud, promoción de la salud, políticas y programación, en las áreas de sociología, economía, matemáticas, medicina, enfermería e ingeniería con formación profesional posgradual de maestría o doctorado.
Dichas mesas de trabajo realizaron un total de cinco revisiones en reuniones presenciales, que tuvieron lugar entre septiembre del 2019 y febrero del 2021, donde se discutió y valoró la formulación de las preguntas con su respectiva lista de afirmaciones, así como la representatividad de las mismas, considerando los temas a evaluar, hasta que se logró la última versión del instrumento, que posteriormente fue organizado como encuesta digital en una plataforma web.
La encuesta se diseñó para ser dirigida a la comunidad universitaria e incluyó como criterios de inclusión el pertenecer y estar activo en la universidad como docente, funcionario o estudiante y llevar mínimo seis meses vinculado al momento del diligenciamiento. Este estudio fue autorizado por el comité de ética de la universidad bajo el código interno n.° 111-020.
Interpretación de preguntas tipo ranking
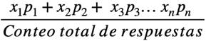
Las tres preguntas que se incluyeron en la versión final de la encuesta (¿Qué es la salud? ¿Qué es una universidad saludable? ¿Cuáles son los elementos constitutivos para el diseño de la política institucional de universidad saludable?), fueron acompañadas de una serie de afirmaciones propuestas, para que los encuestados las compararan entre sí y asignaran un orden jerárquico basado en su preferencia 10. Con estas preguntas tipo ranking se calcula la jerarquía promedio para cada opción de respuesta, y así determinar cuál es la preferida en general.
Mediante el cálculo presentado en la ecuación 1 se pueden calcular los rankings promedio.
p = ponderación de la posición clasificada
x = conteo de respuestas para la opción de respuesta
Las ponderaciones se aplican en orden inverso. En otras palabras, la opción preferida del encuestado tiene la ponderación mayor, mientras que la última opción escogida tiene la menor. Al momento de aplicar la encuesta, se emplearon las ponderaciones de esta manera para garantizar la claridad en cuanto a la respuesta preferida de los encuestados.
Resultados
A partir del análisis documental y con la guía de los expertos, se diseñó la primera versión de la encuesta dividida en cuatro partes, la primera, fue dedicada a la recolección de datos sociodemográficos; la segunda, estuvo conformada por seis afirmaciones acerca del concepto de salud; la tercera, por cuatro afirmaciones acerca del concepto de universidad saludable; y la cuarta, por 23 afirmaciones enfocadas en el desarrollo de una política de universidad saludable. Las respuestas de cada parte de la encuesta se presentaron en una escala Likert de nivel de aprobación con las siguientes opciones: totalmente en desacuerdo, en desacuerdo, neutral y totalmente de acuerdo, como se presentó en el material suplementario 1.
Esta primera versión de la encuesta se modificó de acuerdo con el marco referencial de los ODS, y se cambió la escala Likert por las preguntas tipo ranking, al considerar que la jerarquización de las afirmaciones propuestas para cada concepto era la mejor forma de obtener la mayor cantidad de información de los encuestados y un mejor análisis de su opinión. Posteriormente, mediante la revisión conjunta de los conceptos asociados a universidad saludable por el panel de expertos, se construyó la última versión del instrumento con tres preguntas y 32 afirmaciones. Con el apoyo de los expertos en programación se alojó la encuesta en la plataforma web denominada MATUSDD un espacio virtual, en el que se ancló la aplicación Lime Survey (software libre).
La primera sección estuvo compuesta de preguntas de caracterización sociodemográfica e institucional, la segunda, estuvo compuesta de una pregunta sobre el concepto de salud y de 12 afirmaciones asociadas (Tabla 1). Cabe aclarar que dichas afirmaciones se centraron en el modelo salutogénico, el cual propone que las acciones en salud se deben enfocar hacia el bienestar, la conservación, el crecimiento y el envejecimiento saludable, desde un enfoque positivo de la salud en el que se desvincula del enfoque médico patogénico 11. La tercera sección se compone de una pregunta acerca del concepto de universidad saludable y de 8 afirmaciones asociadas (Tabla 2).
Para responder las preguntas de la sección 2, 3 y 4 se utilizó un diseño digital que permitía al encuestado arrastrar cada afirmación desde la columna que las contenía hacia una columna vacía en el orden de importancia considerado.
Tabla 1 Primera sección de la encuesta, enfocada en las afirmaciones asociadas al concepto de salud y su jerarquización.
| ¿Qué es salud? |
|---|
| Asistir al servicio médico al menos una vez al año |
| Realizar acciones individuales y colectivas que favorezcan el cuidado del medio ambiente |
| Sentirse bien con la persona que es, la mayor parte del tiempo |
| Realizar mínimo 150 minutos semanales de actividad física |
| Respetar la individualidad e integridad del otro para favorecer una sana convivencia |
| Cuidar y velar por un medio ambiente saludable y sostenible |
| Resolver los propios conflictos por medio del diálogo |
| Manejar las emociones ante los constantes cambios que ofrece el ambiente físico, social y político |
| Alimentarse de forma saludable y balanceada |
| Ser solidario o humanitario con los que le rodean |
| Disfrutar de entornos verdes, oxigenados, tranquilos y limpios |
| Relacionarse, expresar sentimientos y emociones con los que le rodean |
Fuente: elaboración propia.
Tabla 2 Segunda sección de la encuesta, enfocada en las afirmaciones asociadas al concepto de universidad saludable y su jerarquización.
| ¿Qué es una universidad saludable? |
|---|
| Institución que trabaja por una cultura del cuidado de la salud a través de intervenciones sociales y ambientales destinadas a beneficiar y proteger la salud y la calidad de vida de toda la comunidad universitaria |
| Institución que promueve campus universitarios con ambientes verdes, oxigenados, tranquilos y limpios |
| Institución que favorece la realización de estrategias creativas e innovadoras en sus entornos, en pro de mejorar la calidad de vida de la comunidad universitaria |
| Institución que promueve el desarrollo de conocimientos, habilidades y destrezas que generen consciencia para el autocuidado y gestión del propio bienestar |
| Institución que impulsa acciones que promuevan y fortalezcan la salud a partir de la articulación de los diferentes actores universitarios |
| Institución que contempla en los diversos programas académicos, cursos y espacios de práctica, promover la salud de manera transversal y aportar a la formación integral de los estudiantes |
| Institución que fortalece el tejido social y crea condiciones de desarrollo, sana convivencia y respeto |
| Institución que fortalece la cultura de cooperación y unión para la consecución de objetivos en pro del bienestar de la comunidad universitaria |
Fuente: elaboración propia.
Por último, la cuarta sección se compuso de una pregunta acerca de los elementos constitutivos para una política institucional de universidad saludable y 12 afirmaciones asociadas. En el diseño inicial que se dio a esta pregunta, se le solicitaba al encuestado que en sesiones presenciales indicara qué afirmación se ubicaría en cada recuadro numerado (Figura 1), según orden de importancia, siendo 1 el más importante y 12 el menos importante.

Fuente: elaboración propia.
Figura 1 Cuarta sección. Recuadro con numeración del 1 al 12 para que los encuestados arrastren las afirmaciones dadas según el orden de importancia que consideren que deben tener en la política institucional de universidad saludable.
No obstante, este diseño fue cambiado debido al inicio de la pandemia, al considerar que no sería pertinente una encuesta en físico como estaba planeado. En la Tabla 3 se presenta el formato final que se aplicó virtualmente mediante una plataforma en línea.
Tabla 3 Cuarta sección de la encuesta, enfocada en los elementos constitutivos para una política institucional de universidad saludable y su jerarquización.
| ¿Cuáles son los elementos constitutivos para diseñar una política institucional de universidad saludable? |
|---|
| Educación de calidad, inclusiva y equitativa |
| Alimentación saludable y nutritiva, recreación y deporte |
| Cultura del cuidado de los recursos naturales |
| Igualdad de género y empoderamiento de la mujer |
| Infraestructura amigable con el ambiente |
| Inversión en fuentes de energía limpia |
| Desarrollo de habilidades mentales, cognoscitivas, emocionales y relacionales |
| Oportunidad laboral, trabajo decente y crecimiento económico |
| Bienestar, calidad de vida universitaria y educación para la salud |
| Protección de los ecosistemas y cuidado del medio ambiente |
| Entornos democráticos, justos y pacíficos |
| Articulación intrainstitucional y extrasectorial que garantice el cumplimiento de objetivos de desarrollo |
Fuente: elaboración propia.
Mediante la revisión de contenido realizada por expertos del tema se logró formular una encuesta adecuada para la población universitaria que considera los estamentos: docente, funcionario y estudiantil. La versión final, con el consentimiento informado y las 4 secciones de preguntas, se encuentran disponibles en línea1.
Diversos estudios enfocados en conocer la opinión y la perspectiva de las personas han utilizado este tipo de preguntas 12,13,14, ya que brindan información más realista, con menos sesgos de respuesta y es fácil de analizar estadísticamente. Se realizó una evaluación del contenido del formulario con un panel de expertos, se revisó cada pregunta mediante opiniones argumentadas con el fin de identificar las fortalezas y debilidades del instrumento 15. Dicho panel de expertos de carácter multidisciplinario incluyó, además de representantes de la salud, otras disciplinas como humanidades, ciencias exactas e ingeniería. Con la retroalimentación dada por los especialistas, se logró la toma de decisiones respecto a qué partes modificar, eliminar o añadir.
Discusión
El concepto de universidades promotoras de salud o universidades saludables continúa en construcción con el objetivo de garantizar la pertinencia y practicidad en el contexto de la educación superior 16. Fundamentalmente busca incorporar en las instituciones y sus entornos físicos y psicosociales las condiciones de bienestar y fomento de una cultura orientada hacia valores y principios asociados a la promoción de la salud y al cuidado de la vida, al establecer una política saludable 17. Bajo este enfoque, las universidades buscan crear un entorno que promueva la salud y el bienestar toda la comunidad universitaria 18.
Las experiencias de promoción de la salud y universidades saludables recomiendan intervenciones complejas e incluyentes, de largo aliento y con directrices claras 19. El diseño que se propone en este documento buscó alinearse con esas recomendaciones. Para procurar la efectividad de la encuesta y con miras a la consolidación en políticas institucionales, se tomaron en cuenta a todos los estamentos de la comunidad universitaria (estudiantes, docentes y funcionarios), así como sus concepciones o perspectivas acerca de los conceptos asociados a salud, universidad saludable y elementos constitutivos a incluirse en la política 20.
La construcción de las preguntas buscó estar ajustada a las necesidades, particularidades y oportunidades percibidas por todas las voces de la comunidad universitaria, por su tipo de vinculación y saberes. Siempre conscientes de otros factores subyacentes a los participantes: capital cultural, edad, área del conocimiento al que pertenece, campus universitario y contexto social2. Como ya se ha reportado en diferentes universidades que han buscado una transición a universidad saludable, la participación de la comunidad universitaria es clave para la formulación e implementación a futuro de una política de universidad saludable 19,21,22,23,24. Uno de los estudios recientes que ha reportado una fase inicial para la transición hacia una universidad saludable es el realizado por Sanci et al. 21, el cual consistió en realizar una encuesta en línea a estudiantes de una universidad australiana, con el propósito de conocer su perspectiva respecto a los determinantes de salud, académicos y de bienestar. Los resultados que se obtuvieron permitieron establecer la prevalencia de problemas de salud mental en la comunidad universitaria. Además, de acuerdo con los autores, se espera que estos hallazgos contribuyan a la formulación de un marco de bienestar estudiantil en la universidad, que pueda guiar la promoción de la salud y el bienestar de todos.
La participación de expertos de diferentes áreas disciplinares permitió diversificar las opciones planteadas en la encuesta para que los respondientes lograsen ver representados sus intereses y visiones asociadas a una universidad saludable dentro de su institución educativa.
Este diseño constituye una herramienta de importancia, que se suma a los esfuerzos dentro de lo que debe ser un trabajo de largo aliento para eventualmente constituirse en política dentro de la Universidad [Anónimo]. Posteriores procesos de validación de instrumentos, así como nuevas investigaciones e intervenciones que involucren diferentes modelos, deben ser aplicados para acercar a la comunidad universitaria a una universidad saludable. En ese mismo sentido, se detecta la importancia de mantener transversal la construcción de su política respecto a los diferentes contextos sociales y geográficos, subgrupos poblacionales y áreas del conocimiento, así como la promoción de liderazgos y determinación de una dirección para este proyecto.
Conclusiones
El concepto de universidad saludable y su transformación en una política para la universidad requiere de un proceso de participación que dé cuenta de una acción colectiva que muestre la coordinación y cooperación de actores clave y el desarrollo de capacidades institucionales. Este trabajo describe el proceso de construcción de una encuesta que permite reflejar conocimientos e intereses de la comunidad, identificación de prioridades y puntos de encuentro entre la diversidad de posiciones que naturalmente habitan en una universidad. Por supuesto, es el inicio de un proceso enmarcado en la promoción de la salud, que reconoce la necesidad de ahondar en las perspectivas de sus participantes y significado de sus respuestas, lo cual posibilita, de una manera rápida y eficaz, tener información y a la vez, movilizar el desarrollo de nuevas iniciativas de investigación, intervención y prácticas que alimentan la formulación de la política de universidad saludable.















