1. INTRODUCTION
Colombia is the third most megadiverse country on Earth (Butler, 2016). However, its biodiversity is threatened by multiple factors, such as deforestation, loss and degradation of ecosystems, illegal mining of precious metals, introduction of exotic species, pollution, and illegal wildlife trade (WWF-Colombia, 2017). Particularly, this last threat factor has exerted a high pressure on the populations of Colombian wild fauna species (Contraloria General de la República [CGR], 2014b). In the Latin America and Caribbean region, Colombia (alongside Mexico and Brazil) had the highest number of cases of illegal wildlife trade by air from 2010 to 2020 (Connelly & Peyronnin, 2021). On the other hand, according to the latest report published by the Government of Colombia, the illegal trade of wild fauna in this country has a minimum of 569 target species (distributed in species of birds [62%], mammals [19%], reptiles [16%], amphibians [5%], and invertebrates [5%]), where some of the most trafficked animals are the Orange-chinned Parakeet (Brotogeris jugularis), the Colombian Slider (Trachemys callirostris), and the Red-tailed Squirrel (Sciurus granatensis) (Ministerio de Ambiente y Desarrollo Sostenible [MADS], 2012). This illicit activity in Colombia is mostly motivated by the pet trade, the human consumption of bushmeat, the market of fur, and traditional medicine (Ministerio del Medio Ambiente [MMA], 2002; Sollund & Maher, 2015).
In Colombia, there are environmental authorities at the national, regional, and local levels. The governing body for the management of the environment and natural resources in the country is the Ministry of Environment and Sustainable Development (Ministerio de Ambiente y Desarrollo Sostenible, MADS) (Departamento Administrativo de la Función Pública, 2011). The highest regional authorities in environmental matters are the Regional Autonomous Corporations (Corporaciones Autónomas Regionales, CARs) and the Corporations for Sustainable Development (Corporaciones para el Desarrollo Sostenible) (López & López, 2003). Lastly, the environmental authorities at the local level are the Urban Environmental Units (Unidades Ambientales Urbanas, UAUs), the Environmental Public Establishments (Establecimientos Públicos Ambientales, EPAs) and the Metropolitan Areas (Áreas Metropolitanas) (Molina, 2014). All these environmental authorities are empowered by law to impose sanctions on those who commit an environmental harm or on those who infringe environmental norms (Congreso de la República de Colombia, 2009). Specifically, infringements related to CITES (Convention on International Trade in Endangered Species of Wild Fauna and Flora) must be sanctioned by the Ministry of Environment and Sustainable Development (Departamento Administrativo de la Función Pública, 2011), while the rest of illegal wildlife trade activities carried out in the national territory must be sanctioned by the regional and local environmental authorities, according to their territory of jurisdiction.
The imposition of sanctions by the Colombian environmental authorities must be performed in accordance with the environmental administrative sanctioning procedure (i.e., Law 1333 of 2009). This Law established that environmental authorities may impose, on the infringer of the environmental norm, one or some of the seven sanctions listed in its 40th article. Specifically, one of these sanctions consists of daily fines up to five thousand (5 000) current legal monthly minimum wages. If the environmental authority decides to impose these fines, it must use the Methodology for the Calculation of Fines for Infringement of the Environmental Normative, which is a manual that explains the mathematical model and procedure that must be used to determine the amount of the fine (Ministerio de Ambiente, Vivienda y Desarrollo Territorial [MAVDT], 2010).
Although wildlife trafficking is one of the main threats to Colombian biodiversity, control agencies of this country have identified that regional and local environmental authorities rarely impose sanctions on this illicit activity (CGR, 2014a; Procuraduría General de la Nación [PGN], 2006). And as if that weren't enough, of the total of sanctions they impose on the illegal trade of wild fauna, only a few consist of fines (CGR, 2005; PGN, 2006).
The imposition of fines on illegal wildlife trade has been encouraged (Cruden & Gualtieri, 2016; Ratchford, Allgood, & Todd, 2013; United Nations Office on Drugs and Crime [UNODC], 2018), because fines fulfill two functions that are highly valued in the fight against wildlife crime: 1) to make the punishment proportional to the harms generated on the natural habitat or the species; and 2) to deter the offender and future offenders from committing these illicit activities (Einat, 2014; Hillsman, 1990; UNODC, 2012, 2018; Zimmerman, 2003).
However, it is worth mentioning that if fines are to be imposed on illegal wildlife trade, the procedures that precede such enforcement should be revisited (Morgera & Wingard, 2008). The aforementioned implies that procedures or regulations that determine, for example, how those fines must be calculated, should be evaluated in order to identify how suitable they are to deter illegal wildlife trafficking (International Consortium on Combating Wildlife Crime [ICCWC], 2016).
Consequently, the aim of this research was to identify the causes of the low imposition of fines on the illegal trade of wild fauna in Colombia, and to identify how much of the responsibility falls on the Methodology for the Calculation of Fines for Infringement of the Environmental Normative. It should be clarified that the fines addressed in this research are those that can be imposed by the regional and local environmental authorities of Colombia (i.e., fines enforced by the environmental administrative juridical system of Colombia), which implies that fines imposed from both the criminal system and the Colombian National Police, are out of the scope of this study.
In line with the above, to achieve the aim of this research, surveys were applied to public officials belonging to the regional and local environmental authorities.
Lastly, a concise account of both Law 1333 of 2009 and the Methodology for the Calculation of Fines for Infringement of the Environmental Normative will be presented below, in order to contextualize the readers on the normative provisions that regulate fines in the Colombian environmental administrative legal system, and to provide the necessary information for the understanding of the problematic addressed in this research.
Normative provisions that regulate the imposition of fines in the Colombian environmental administrative juridical system
Colombia has been committed to the fight against illegal wildlife trade mostly since 2002, when it created its national policy to diminish this illicit activity, entitled "National Strategy for the Prevention and Control of Illegal Wildlife Trade". In this policy, it was recognized that Colombia had normative issues, since there was not an updated environmental administrative sanctioning regime (MMA, 2002). These normative issues ended with the entry into force of Law 1333 of 2009, which is a legislation that prescribes the procedure that must be complied within the Colombian environmental administrative system, for the imposition of sanctions in environmental matters (Cardona González, 2012). This Law, specifically, empowers Colombian environmental authorities to carry out the aforementioned sanction imposition, in which they are allowed to impose a maximum of three sanctions on each environmental infringer (Art. 2, Paragraph 3 of Decree 3678/2010), out of the following seven stipulated in Art. 40 of Law 1333/2009:
Daily fines up to five thousand (5 000) current legal monthly minimum wages.
Temporary or permanent closure of the establishment, building, or service.
Revocation or expiration of the environmental license, authorization, concession, permit, or registration.
Demolition of work at the expense of the infringer.
Definitive seizure of specimens, exotic wild species, products and by-products, elements, means, or implements used to commit the infringement.
Restitution of specimens of wildlife species (fauna and flora).
Community work.
Regarding the daily fines sanction, the Government of Colombia, in 2010, published the Methodology for the Calculation of Fines for Infringement of the Environmental Normative (hereafter 'Methodology for the Calculation of Fines'), adopted by Resolution 2086 of 2010; this is a manual that establishes the conceptual and procedural elements that Colombian environmental authorities must apply to determine the fines to be imposed on environmental infringers (MAVDT, 2010). In accordance with this methodology, to calculate the fine, the following equation must be used:
Where, Illicit profit (B) refers to the economic gain that the infringer obtains as a result of his/her conduct; Temporality factor (a) indicates the duration of the infringement; Degree of environmental affectation (i) evaluates the seriousness of the illicit conduct in environmental terms; Aggravating and mitigating circumstances (A) is a score assigned based on specific factors associated with the behavior of the infringer; Associated costs (Ca) are expenses incurred by the environmental authority during the sanctioning process and which are responsibility of the infringer; and Socio-economic capacity of the infringer (Cs) reflects a set of conditions of infringers that allows for establishing their capacity to assume a pecuniary penalty.
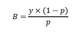
Out of all these variables, it is only pertinent to clarify how Illicit profit (B) and Degree of environmental affectation (i) must be calculated. Therefore, the Illicit profit (B) must be estimated through the following formula:
Where y is the income or economic perception obtained from the infringement, and p is the capacity of the environmental authority to detect this behavior.
Meanwhile, Degree of environmental affectation (i) must be calculated as:
Where SMMLV corresponds to the Colombian current legal monthly minimum wage, and the variable I is equivalent to the Importance of the affectation. Likewise, in order to determine this last variable, the following equation must be used:
Where, Intensity (IN) is the degree of incidence of the conduct on the 'environmental asset of protection' (i.e., environmental factor that deserves to be protected); Extent (EX) refers to the geographical area in which the affectation occurs; Persistence (PE) consists in the time that the affectation's effects would remain; Reversibility (RV) is the natural capacity of the environmental asset of protection to return to its conditions prior to the affectation; and Recovery (MC) refers to the recovery capacity of the environmental asset of protection, through the implementation of environmental management measures. Each of these last five variables has an assessment scale, which allows for determining the value they will take.
2. METHODOLOGY
Survey design
An online survey (Google Forms) was created to be answered by public officials (belonging to the regional and local environmental authorities of Colombia) in charge of the prevention and control of illegal wildlife trade, and who have also prepared the technical concepts that motivate the process of sanction individualization, within the environmental administrative sanctioning process for infringements of illegal wildlife trade.
The survey was intended to obtain the opinion of the public officials surveyed regarding the following topics:
The sanctions (contained in Law 1333/2009) that regional and local environmental authorities generally impose on individuals engaged in the illegal trade of wild fauna.
The frequency with which regional and local environmental authorities impose fines on illegal trade of wild fauna.
The ease (or difficulty) of applying the Methodology for the Calculation of Fines in the case of illegal trade of wild fauna.
Which variables of the Methodology for the Calculation of Fines are difficult to determine in cases of illegal trade of wild fauna.
Whether the way in which the Methodology for the Calculation of Fines has been formulated leads to regional and local environmental authorities to refrain from imposing fines on illegal trade of wild fauna.
Whether the 'Methodology for the Calculation of Fines' should be replaced, modified, or kept as is.
Which are the main difficulties in applying the Methodology for the Calculation of Fines in the case of infringements due to illegal trade of wild fauna.
The survey did not ask public officials to specify their full name, nor the environmental authority in which they work, with the aim of encouraging their participation in the survey and their truthful answers. Lastly, it was clarified to them that the results of the survey would be used only for academic purposes.
The original text of the survey is available in Appendix S1.
Contact information gathering and survey sending
Firstly, the name and e-mail of the public officials were gathered through the website of their respective environmental authority, or by telephone communication with the entity. Subsequently, an e-mail invitation containing the survey link was sent to the public officials from May 7 to June 11, 2019. Finally, the online survey was available to be completed until November 18, 2019.
3. RESULTS
Contact information gathering
The contact information of 70 public officials was obtained.Those officials belonged to a total of 35 environmental authorities in Colombia. This number of public officials is greater than the number of environmental authorities, because, generally within these entities, more than one public official works in the area of prevention and control of illegal wildlife trade.
It was impossible to establish communication with five environmental authorities, and therefore no information from their public officials was obtained. These entities are: Corponariño; CSB (Corporación Autónoma Regional del Sur de Bolivar); CVS (Corporación Autónoma Regional de los Valles del Sinú y del San Jorge); EPA Barranquilla Verde; and DADMA (which is now known as Departamento Administrativo Distrital de SostenibilidadAmbiental - DADSA).
Survey results
From the 70 public officials to whom the survey was sent, only 40 answered it. Nevertheless, only 32 of the surveys were taken into account in this research, because the eight remaining officials indicated that they had not prepared technical concepts that motivate the process of sanction individualization within the environmental administrative sanctioning process for infringements of illegal wildlife trade. Below, are the results of the aforementioned 32 surveys.
Firstly, two sanctions are considered by the public officials for being the most common to impose on the illegal trade of wild fauna in Colombia. The first of them is the sanction consisting of definitive seizure of specimens and a fine, while the second sanction corresponds exclusively to the definitive seizure of specimens (Table 1).
Table 1 Public officials' opinion regarding which one is the most common sanction imposed by Colombian environmental authorities on the illegal trade of wild fauna
On the frequency with which Colombian environmental authorities impose fines on the illegal trade of wild fauna, more than half of the officials surveyed believe that such sanction is imposed sometimes or almost never, while the remaining respondents consider that fines are always or almost always imposed (Fig. 1).

Figure 1 Public officials' opinion regarding the frequency with which Colombian environmental authorities impose fines as a sanction to the illegal trade of wild fauna.
The public officials who answered that fines are imposed sometimes or almost never, indicated that the causes that motivate this low frequency of fines imposition on the illegal trade of wild fauna, are the following seven:
(1) Socio-economic capacity of the infringer:
In most cases, the people who illegally trade wild fauna do not have the economic capacity to pay the fines, as is the case of those infringers who are registered in the Colombian Identification System of Potential Beneficiaries of Social Programs (SISBEN, by its acronym in Spanish), or who are part of the indigenous population. In such situations, some public officials of the regional and local environmental authorities prefer not to impose fines, in order to avoid an "administrative wear" during the fines collection procedure that would be more costly for some environmental authorities with limited economic sources, such as the Corporations for Sustainable Development.
(2) Applicability of the Methodology for the Calculation of Fines:
The Methodology for the Calculation of Fines is applicable in the industrial sector, but not in cases of illegal trade of wild fauna.
It is difficult to calculate the environmental impact generated by the illegal possession of a specimen in particular.
(3) Amount of the fine:
When public officials find a way to apply the Methodology for the Calculation of Fines in cases of illegal trade of wild fauna, the amount of the calculated fines is very high, which consequently hinders its payment by the infringers. This, in turn, makes it impossible or difficult for regional and local environmental authorities to collect the fines, thus ending in the administrative procedure of coercive collection.
(4) Decisions of the Legal Office:
Occasionally, the Legal Office of the environmental authority does not order the calculation of the fine when the infringement committed has been the illegal trade of wild fauna.
In some cases, the Legal Office of the environmental authority concludes that the technical and circumstantial support is not enough to initiate an environmental sanctioning process on infringements of illegal trade of wild fauna.
(5) Importance assigned to the illegal trade of wild fauna:
Sometimes no importance is given to the illegal trade of wild fauna, or there is an apathy to handling the issue within the regional or local environmental authority.
(6) Identification or location of the infringer:
Sometimes, infringers provide false information, so it is not possible to identify them.
There is difficulty in locating the infringer after they commit the illegal activity.
(7) Specific conditions in the area of jurisdiction of the environmental authority:
There are regional and local environmental authorities whose area of jurisdiction is characterized by few seizures or few flagrant situations, and by a high number of voluntary deliveries of wildlife, on which no fine is imposed.
On the other hand, regarding specifically to the Methodology for the Calculation of Fines, the vast majority of public officials (i.e., 81%) consider that this methodology is difficult to apply in the case of illegal trade of wild fauna; while 19% of the officials surveyed think the opposite, that is, that its application is easy. Specifically, most of the officials agree that the variable of this methodology known as Degree of environmental affectation is difficult to determine when illegal trade of wild fauna has been the infringement committed. The remaining six variables of the Methodology are also considered difficult to determine in such illegal activities, but less than half of the officials think this (Table 2).
Table 2 Public officials' opinion regarding the difficulty of applying the variables of the Methodology for the Calculation of Fines, in the case of illegal trade of wild fauna
Additionally, more than half of the surveyed public officials consider that the Methodology for the Calculation of Fines, and the way in which it has been formulated, causes some regional and local environmental authorities to refrain from imposing fines on the illegal trade of wild fauna (Fig. 2). Accordingly, most of the officials believe that the mentioned methodology should be modified in some aspects (Fig. 3).

Figure 2 Public officials' response to the question: Do you think that the way in which the Methodolocy for the Calculation of Fines has been formulated causes some Colombian recional or local environmental authorities to refrain from imposinc fines on those who have committed illecal trade of wild fauna?
Modified in some aspects (84.4%) | Replaced by a new methodology (9.4%) | Kept as it currently is (6.2%)

Figure 3 Public officials' response to the question: Should the Methodolocy for the Calculation of Fines be modified, replaced by a new methodolocy, or kept as it currently is?
Finally, below, the opinion that public officials have regarding the main difficulties that each of them has detected when applying the Methodology for the Calculation of Fines in the case of illegal trade of wild fauna:
Illicit profit (B):
There is no standardized range to determine whether Capacity to detect the behavior by the environmental authority (p) is high, medium, or low.
Illicit profit (B), as well as Direct income from the activity (y1), are difficult to calculate, since the price of the specimens of fauna and flora in the illegal market is unknown.
It is not possible to accurately determine the value of Infringer's avoided costs (y2), since the activities of illegal wildlife trade are not regulated, and, therefore, there is no administrative procedure that has been evaded by the illegal trader of wild fauna.
Temporality factor (a):
The determination of the temporality factor is difficult, because, in most cases, the illegal traders of wild fauna are in flagrante delicto, and, therefore, the duration of these illicit acts is unknown.
Degree of environmental affectation (i):
It is complex to estimate the environmental affectation, since, in order to calculate this variable, it would be necessary to have information about the specimen illegally traded and the ecosystem to which it belongs, as well as detailed population statistics that allow for executing reliable estimates. However, such information is not generally available.
It is difficult to calculate Importance of the affectation (I), specifically, the attributes that compose it [i.e., Intensity (IV), Extension (EX), Persistence (PE), Reversibility (RV), and Re-coverability (MC)], since these cannot be determined when specimens of fauna have been affected; instead, those attributes were designed to be determined on affectations that fall on any of the three natural resources of water, air, or soil.
It is difficult to determine the "deviation" in the attribute Intensity (IN). General aspects of the Methodology for the Calculation of Fines:
The variables of the equation are not pertinent or appropriate to determine the fine in the case of illegal use or exploitation of wild fauna.
The methodology becomes confusing, inapplicable, or subjective when it comes to evaluating cases of illegal trade of wild fauna. Instead, this methodology is appropriate to other environmental infractions such as pollution or others.
Lastly, the complete and original answers of each of the public officials surveyed are available in Appendix S2.
4. DISCUSSION
In this research, I identified that regional and local environmental authorities of Colombia have several reasons not to impose fines on the illegal trade of wild fauna. Some reasons are related to characteristics of the infringer; in this way, if the environmental authority identifies that the illegal trader of wild fauna does not have the capacity to pay the fine, then it does not impose this specific sanction in order to avoid an "administrative wear" when collecting the fine. Additionally, sometimes the fine cannot be imposed, due to the impossibility of identifying or locating the infringer.
Other reasons are related to the unwillingness of the environmental authorities to impose the fine, since they consider that the illegal trade of wild fauna is a matter of minor importance. Or, on the other hand, it may happen that regional and local environmental authorities do not impose fines because in its own jurisdiction what predominates are voluntary deliveries of wild fauna, and, in such cases, they consider it is not necessary to impose fines.
Lastly, there are reasons that are directly related to the Methodology for the Calculation of Fines (which is the regulation that Colombian environmental authorities must apply to determine the amount of these fines). The results of the applied survey allowed identifying that this methodology is the most important cause of the low application of fines on illegal trade of wild fauna in Colombia. This is because it is a methodology that does not serve the purpose of estimating fines for infringements related to this illicit activity. In other words, although environmental authorities have the will to impose fines on the illegal trade of wild fauna, they cannot apply that sanction because the methodology they must use to calculate the fines was not designed for such cases.
The specific reason behind this non-applicability of the Methodology for the Calculation of Fines is the fact that it is a methodology that does not provide the possibility of calculating the environmental affectation (i.e., variables IN, EX, PE, RV, and MC; and therefore, variables I and i) that is generated from infringements that impact fauna. Conversely, the way in which the methodology was designed only allows for determining of the environmental affectation when water, air, or soil are the natural resources impacted upon by environmental infringements (which, generally, are committed by the industrial sector).
The above assertions were highlighted by the surveyed public officials when they were asked to openly state their perception regarding both the causes that motivate the low frequency of fines imposition on the illegal trade of wild fauna in Colombia, and the main difficulties they have detected when applying the Methodology for the Calculation of Fines on this illicit activity. Besides, those answers are also consistent with the following survey results: a) 81% of the public officials responded that the methodology is difficult to apply in cases of illegal trade of wild fauna; b) 56% of the public officials stated that the methodology (and the way in which it was formulated) causes environmental authorities to refrain from imposing fines on illegal trade of wild fauna (Fig. 2); and c) 78% of the public officials indicated that the variable Degree of environmental affectation (i) is difficult to determine in the case of this particular illicit activity (Table 2).
The latter statements are particularly relevant, because they highlight the most probable chain of adverse consequences that follow them: if fines cannot be calculated in cases of illegal trade of wild fauna in Colombia, then fines cannot be imposed on such infringements, and thus, little or no deterrence can be generated on this illicit activity. In this manner, it is noteworthy that as long as legislative and enforcement loopholes exist (such as that of the Methodology for the Calculation of Fines), illegal wildlife traders will take advantage of it and continue to commit their illicit activity (UNODC, 2020).
Nevertheless, despite the previous findings, the survey also showed that: a) 47% of the public officials agree that the most common sanction to impose on illegal trade of wild fauna is composed of definitive seizure of specimens and a fine (Table 1); b) 44% of the public officials consider that fines are always or almost always imposed by environmental authorities on illegal trade of wild fauna (Fig. 1); and c) 44% of the public officials think that the way in which the methodology has been formulated does not refrain Colombian environmental authorities from imposing fines on illegal trade of wild fauna (Fig. 2). This indicates that, although the Methodology for the Calculation of Fines is useless in infringements of illegal wildlife trade of wild fauna, it has not completely impeded regional and local environmental authorities from sanctioning this illicit activity with fines. According to the results of the survey, this imposition of fines is being achieved through a certain degree of discretion that public officials of some environmental authorities are applying when using the referred methodology.
This last situation, although it is well-intentioned, might not be entirely appropriate. As Del Valle (2014) clearly explains about the principles that govern the environmental administrative sanctioning procedure (Law 1333/2009), Colombian environmental authorities must apply the rules and procedures established to enforce administrative sanctions, where any excess by the environmental authority will be considered in breach of the principle of legality. Therefore, the subjective adjustment of the methodology's criteria (especially, of the variables Degree of environmental affectation [i] and Importance of the affectation [I]) that some public officials are performing with the purpose of calculating fines on illegal trade of wild fauna, may not be compliant with that principle.
Consequently, in order to remediate these two undesired scenarios that, according to this study, are presented within the punishment of illegal trade of wild fauna in Colombia [i.e., a) Some regional and local environmental authorities refrain from imposing fines on this illicit activity; and b) Some regional and local environmental authorities are sanctioning this illicit activity with fines that do not comply with the principle of legality], it is necessary to modify the Methodology for the Calculation of Fines (or to formulate a new one).
Considering the previous needs, four key aspects that should be taken into account when calculating fines on illegal wildlife trade are presented below. These aspects, along with the difficulties pointed out by the surveyed public officials (which are summarized in the Results section), could be contemplated at the moment of modifying or creating a new methodology in Colombia. The four key aspects are:
Fines should consider the socio-economic capacity of the infringer (Felbab-Brown, 2017), in conformity with Art. 40, Paragraph 2 of Law 1333/2009.
Fines should be higher than the illicit profit (i.e., estimated commercial value of the specimens in the black market) (Wyatt, 2013; Zimmerman, 2003).
Fines should be commensurate with the environmental affectation (or gravity of the environmental infringement) generated (World Wildlife Fund [WWF], 2016). In this manner, the referred affectation should be established based on the threat status (Lowther, Cook, & Roberts, 2002; St. John, Edwards-Jones, & Jones, 2012) and value of the affected species, which in turn must be determined by its ecosystem functions, particular characteristics, and the level of threat to which it is subjected (in conformity with Art. 7, numeral 11 of Law 1333/2009).
Additionally, according to the UNODC (2018), the cost of rehabilitating the specimens involved should also be considered when determining the fines on the illegal trade of wild fauna; however, in the case of the Colombian environmental administrative judicial system, such cost must be charged to the infringer through the imposition of the Restitution of specimens of wildlife species sanction stipulated in Art. 40, numeral 6 of Law 1333/2009 (see also Art. 2 of Resolution 2064/2010).
Lastly, it is pertinent to mention that three caveats should be considered when analyzing the findings of this research: In the first place, once the Government of Colombia has enacted a methodology for the calculation of administrative fines that could be used adequately in infringements of illegal trade of wild fauna, the regional and local environmental authorities (and their public officials) must have the willingness to use that methodology, as well as to impose such sanction. Otherwise, it would be useless to have fines available in the legislation, and a suitable regulation for its estimation, if they are not applied as a punishment (UNODC, 2012).
Secondly, although this research encourages the use of fines to punish and deter the illegal trade of wild fauna, it is important to clarify that it is not a rule of thumb that fines are the only sanction that should be imposed on this illicit activity (UNODC, 2018). As indicated in the introductory section, there are seven sanctions available in Law 1333/2009, of which Colombian environmental authorities may select a maximum of three to impose on environmental infringers. Therefore, in the case of illegal trade of wild fauna, regional and local environmental authorities must decide which is the most suitable sanction (or combination of sanctions) to apply to each particular infringer (Nurse, 2015).
Thirdly, and finally, it should be noted that fines generally produce a deterrent effect on individuals (Prinsloo, Riley-Smith, & Newton, 2020), with the exception of two types of infringers (Harrison et al., 2015; Wyatt, 2013): 1) individuals belonging to chronically poor households who have no alternative but to engage in illegal wildlife trade, and who are unable to pay the fines; and 2) the top-level criminals of the wildlife trafficking network, who can afford to pay fines or bribes. Consequently, on the first type of infringers, Colombian environmental authorities should not impose fines, but other sanctions such as community service, or attendance to education programs about conservation of species (Wyatt, 2013), as also indicated by some of the surveyed public officials. And in the case of the second type of infringers, Colombian environmental authorities must sanction them according to the seriousness of the infringement (Morgera & Wingard, 2008), and additionally, should forward the case to the criminal jurisdiction, in order to (whenever possible and appropriate) charge and judge such offenders under a combination of relevant offences (e.g., fraud, conspiracy, corruption, possession of weapons, tax evasion, racketeering) that lead to the highest penalties (ICCWC, 2016; UNODC & Asia/Pacific Group on Money Laundering, 2017).
5. CONCLUSION
Colombia, the third most megadiverse country on Earth, does not have a suitable regulation within its environmental legislation to impose fines on the illegal trade of wild fauna. Specifically, this statement indicates that Colombia's Environmental Administrative Sanctioning Procedure (Law 1333/2009) does not have a suitable Methodology for the Calculation of Fines in the case of this particular illicit activity.
The referred methodology, although should be able to be used by Colombian environmental authorities to estimate the fines to be imposed on all those who commit illegal trade of wild fauna, does not currently achieve such purpose. Which is due to the fact that this methodology does not provide for the possibility of calculating the Degree of environmental affectation that is generated on fauna due to environmental infringements.
This loophole in the Methodology for the Calculation of Fines has generated two types of behaviors in the regional and local environmental authorities of Colombia: 1) Some have refrained from imposing fines on the illegal trade of wild fauna; 2) Others have opted to make some modifications to the methodology (particularly, to the Degree of environmental affectation variable), in order to calculate and, therefore, impose fines on this illicit activity. However, neither of the two previous behaviors are suitable, either from the point of view of the functions (e.g., deterrence) or the guiding principles (e.g., legality) of the imposition of sanctions. In this manner, it could be stated that currently, Colombia's law enforcement capabilities to fight against illegal trade of wild fauna are highly limited and in urgent need of improvement.
Due to all of the above, this research calls for the Government of Colombia to enact a methodology (either new or modified) for the calculation of fines, which must be compatible with the inherent characteristics and environmental affectations of the illegal wildlife trade of wild fauna. This is imperative to be done, if the desire is to protect and conserve the valuable and irreplaceable biodiversity of Colombia.

















