Services on Demand
Journal
Article
Indicators
-
Cited by SciELO -
Access statistics
Related links
-
Cited by Google -
Similars in
SciELO -
Similars in Google
Share
Revista MVZ Córdoba
Print version ISSN 0122-0268
Rev.MVZ Cordoba vol.18 supl.1 Córdoba Dec. 2013
ORIGINAL
Productividad acumulada y su relación genética con características reproductivas en hembras Brahman
Accumulated productivity and its genetic association with reproductive traits in females Brahman
Orlando Duitama C,1* M.Sc, Luis González H,2 Ph.D, Diogo Garcia,1 M.Sc, Michel Farah,1 M.Sc, Ricardo da Fonseca,3 Ph.D.
1Universidad Estadual Paulista UNESP, Departamento de Genética y Mejoramiento Animal, Jaboticabal-SP, Brasil.
2Universidad Tecnológica de Pereira UTP, Facultad de Medicina Veterinaria y Zootecnia, Pereira, Colombia.
3Universidad Estadual Paulista UNESP, Departamento de Zootecnia, Dracena-SP, Brasil.
*Correspondencia: loralndo82@hotmail.com
Recibido: Noviembre de 2012; Aceptado: Abril de 2013.
RESUMEN
Objetivo. Estimar parámetros genéticos para la característica de productividad acumulada (PAC) y correlaciones genéticas con edad al primer parto (EPP), intervalo entre el primero y segundo parto (IEP1) y longevidad (LONG). Materiales y métodos. Fueron usados 8584 registros de hembras Brahman, utilizando un modelo animal en análisis multi-característico con el método de máxima verosimilitud restricta, implementado en el software WOMBAT. Los modelos consideraron los efectos fijos de grupo contemporáneo, número de partos, y la covariable peso al destete del primer ternero; el único efecto aleatorio fue el genético aditivo directo. El peso al destete (P240) fue incluido para disminuir el efecto de la selección en la estimación de los componentes de varianza. Resultados. Las estimativas de heredabilidad fueron de 0.3±0.04, 0.11±0.03, 0.07±0.03 y 0.24±0.04 para EPP, IEP1, LONG y PAC respectivamente. Las correlaciones entre PAC y las otras características se presentaron de moderadas a altas y en sentido favorable. Conclusiones. PAC puede ser incluida en los programas de mejoramiento genético para Brahman, y utilizada como criterio de selección por su heredabilidad moderada y correlación genética favorable con las características reproductivas en estudio.
Palabras clave: Bovinos de carne, eficiencia reproductiva, heredabilidad, parámetros genéticos (Fuente: CAB, USDA).
ABSTRACT
Objective. Assessment of genetic parameters for accumulative productivity trait (ACP) and genetic correlations with age at first calving (AFC), between calving interval of first and second parity (BCI1) and longevity (LONG). Materials and methods. 8584 Brahman female records were used with an animal model in multi-trait analysis with restricted maximum likelihood method, implemented using the WOMBAT software. The models considered the fixed effects of contemporary group, parity and weaning weight of first calf covariate, the only random effect was the genetic additive direct. Weaning weight (P240) was included to reduce the effect of selection on the estimation of variance components. Results. The heritability estimates were 0.3±0.04, 0.11±0.03, 0.07±0.03 and 0.24±0.04 for AFC, BCI1, LONG and ACP respectively. Correlations between ACP and the other features were moderate to high and favorable. Conclusions. ACP can be included in breeding programs for Brahman, and used as selection criteria for its moderate heritability and genetic correlation with reproductive traits.
INTRODUCCIÓN
La producción de ganado de carne en Colombia se basa en razas cebuinas, con especial predominio de la raza Brahman, por presentar características de adaptabilidad a las condiciones tropicales. Los programas de mejoramiento genético en el país son pocos e incluyen en su mayoría características de crecimiento, como peso a distintas edades y ganancias de peso diario por su facilidad de medición, y presentar coeficientes de heredabilidad moderados a altos (1,2). Sin embargo, las características reproductivas son de importancia económica al determinar la frecuencia con la que eventos productivos suceden, influenciando directamente la cantidad de carne, leche, etc., producida por año y la eficiencia económica del sistema (3,4).
En razas cebuinas, diversos autores (5-8) han evaluado las características reproductivas con intención de incluirlas en programas de mejoramiento genético. Cada característica presenta ventajas y desventajas: la edad al primer parto, es fácil de medir, presenta heredabilidad moderada y muestra correlación favorable con longevidad (5-10); el intervalo entre partos, de forma general tiene heredabilidad baja (11), pero determina la frecuencia de nacimientos; la longevidad indica la habilidad reproductiva de la vaca, porque hembras que presentan fallas reproductivas son descartadas más rápido, sin embargo, es una característica de tardía medición, disminuyendo así su progreso genético (5).
Con la intención de evaluar de forma integral el desempeño reproductivo de las hembras, se han creado índices que involucran varias características reproductivas como el caso de: Eficiencia reproductiva (6); índice vaca, utilizado en Colombia en ganado doble propósito (12) y productividad acumulada, que presenta heredabilidad moderada (11,13).
El índice de productividad acumulada, presenta ventajas sobre otros índices, porque incluye de forma indirecta la edad al primer parto y permite comparar vacas con diferente número de partos. Productividad acumulada, indica la capacidad de la hembra de parir regularmente y destetar terneros más pesados, así como la precocidad al primer parto (14), lo que le permite ser un indicador de eficiencia reproductiva y económica, estas cualidades sumadas a la heredabilidad moderada que presenta, posibilitan su inclusión en programas de mejoramiento genético y su uso como criterio de selección.
Parámetros genéticos para el índice de productividad acumulada (PAC) en razas cebuinas son encontrados para Nelore (11,13,15), estimativas en Brahman no fueron encontradas. El objetivo de este trabajo fue estimar parámetros genéticos para PAC y su asociación genética con las características reproductivas de: edad al primer parto (EPP), intervalo entre el primero y segundo parto (IEP1) y longevidad (LONG) en hembras Brahman; y definir si PAC puede ser usada como criterio de selección.
MATERIALES Y MÉTODOS
Sitio de estudio y condiciones de manejo. Los datos utilizados en el presente trabajo fueron suministrados por la agropecuaria “La Ceiba S.A.”, fueron utilizadas informaciones de 8584 hembras de la raza Brahman, nacidas entre 1985 y 2008 distribuidas en dos fincas, una localizada en la región Caribe en el municipio de San Sebastián (Magdalena), y la otra en la región de los Llanos Orientales en el municipio de Puerto Gaitán (Meta). La población estaba constituida por animales puros registrados en ASOCEBU y animales comerciales. Los animales fueron criados en pastoreo rotacional con suplementación mineral ad-libitum, el destete ocurrió entre 8 y 9 meses de edad. El manejo reproductivo se hizo con monta natural continúa durante todo el año e inseminación artificial, los toros se manejaron de forma independiente con un grupo de vacas de forma que se conociera el padre de los terneros nacidos. Las hembras de remplazo fueron seleccionadas usando los criterios de peso corporal e histórico reproductivo de las madres, siendo retenidas las hembras con mayores pesos e hijas de vacas con desempeño reproductivo por encima del promedio; las novillas iniciaron su actividad reproductiva alrededor de los 24 meses de edad y con peso próximo a los 300 kg.
Los motivos de descarte de hembras fueron: destete consecutivo de terneros con pesos inferiores al promedio, anormalidades fisiológicas en el tracto reproductivo y dificultad para preñar nuevamente.
Tipo de análisis. Las características evaluadas fueron la edad al primer parto (EPP), intervalo entre primero y segundo parto (IEP1), longevidad (LONG) y productividad acumulada (PAC); también fue incluido en los análisis el peso al destete ajustado a 240 días (P240), con el propósito de mitigar el efecto en la disminución de la varianza genética, causada por la selección realizada en el destete (16).
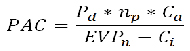
La LONG fue definida como la diferencia entre la edad al momento del descarte y la edad al primer parto; PAC fue definida como citado por Lôbo et al (14), con la siguiente expresión:

En donde: PAC= productividad acumulada (Kg de ternero destetado por año); Pd = promedio de peso de los terneros destetados (kg); np=número total de terneros producidos por la vaca (terneros nacidos); Ca=constante igual a 365 días que permite expresar la fertilidad en base anual; EVPn=edad de la vaca al último parto (días); Ci=constante igual a 550 días, aproximadamente 18 meses, representando la edad a la primera concepción. En la medida que disminuya la constante Ci se estará haciendo mayor presión de selección para hembras más precoces, porque animales que tienen edades al primer parto menor tendrán mayores valores para PAC.
En el proceso de edición de las informaciones fenotípicas fueron eliminados los animales que tuvieran los dos padres desconocidos, por no aportar información para la estimación de la varianza aditiva; también fueron eliminados registros que estuvieran 3.5 desviaciones estándar por encima o por debajo del promedio, para evitar incluir registros outliers.
Para la estimación de componentes de co-varianza fue empleada la metodología de Máxima Verosimilitud restringida libre de derivadas (REML), con un modelo mixto como presentado por Henderson (17).
Y = Xβ + Z1a + e
donde: Y= vector de observaciones fenotípicas de cada característica (EPP, IEP1, LONG y PAC); X= matriz de incidencia asociada a los efectos fijos; β= vector de soluciones para los efectos fijos; Z1= matriz de incidencia asociada al efecto genético aditivo directo; a= vector de soluciones para el efecto aleatorio genético aditivo directo; e= vector aleatorio de residuos.
Para determinar los efectos fijos (ambientales) que influencian cada característica fue empleado el método de mínimos cuadrados del procedimiento GLM de SAS (18), fue considerado un modelo factorial: finca (2 niveles), año de nacimiento (23 niveles), época de nacimiento (4 niveles), número de partos (3 niveles) y la covariable de peso al destete del primer ternero. La época de nacimiento fue dividida en cuatro clases, la primera incluyo los meses de enero a marzo y las otras tres los meses subsecuentes siguiendo el mismo patrón. El número de partos fue dividido en tres clases, la primera incluyo vacas de uno a tres partos, la segunda de cuatro a seis y la tercera vacas que tenían más de seis partos.
El software WOMBAT (19) fue utilizado para la estimación de los componentes de varianza, con una estrategia de iteración que uso el algoritmo PX-EM (modificación del algoritmo EM) en los primeros ciclos y después el algoritmo AI, disminuyendo la sensibilidad que tiene el último algoritmo a los valores iníciales. La convergencia fue alcanzada cuando el cambio entre una interacción y otra fue menor que 1 x 10-9 para el Log de la función de verosimilitud. Las características fueron analizadas usando un modelo animal, primero de forma uni-característica para obtener estimativas de las varianzas, que posteriormente fueron usadas como valores iníciales en el análisis multi-característica. En todos los análisis fue utilizada una matriz de parentesco con 11544 animales.
El modelo multi-característica escrito em forma matricial puede ser representado como:

Donde Yi= vector de observaciones de la i-esima característica,
bi=vector de efectos fijos de la i-esima característica,
ai= vector aleatorio de efectos genéticos aditivos directos para la i-esima característica,
ei= vector aleatorio de efectos residuales para la i-esima característica,
Xi y Zi son las matrices de incidencia que relacionan los registros de la i-esima característica a los efectos fijos y aleatorios respectivamente.
Las presuposiciones con relación a los componentes del modelo fueron:
Esperanzas.
E[yi]=Xiβi, E[ai]=0 y E[ei]=0
Varianzas.

Donde gij= representa un elemento de la matriz [G] de varianzas y covarianzas para el efecto genético directo,
A= es la matriz de parentesco entre los animales, rij= representa un elemento de la matriz [R] de varianzas y covarianzas residuales,
I= matriz identidad.
RESULTADOS
La estructura de los datos y la estadística descriptiva para los valores fenotípicos de las características en estudio son presentadas en la tabla 1.
El análisis de varianza, realizado para determinar los factores ambientales que afectan cada característica es mostrado en la tabla 2, sólo son presentadas las interacciones entre factores que fueron significativas por lo menos para una de las características.
Con base en el análisis de varianza fueron creados grupos contemporáneos (GC) con los factores que mostraron interacción para cada característica, con el propósito de disminuir los parámetros a ser estimados en el modelo mixto. De esta forma el GC para EPP fue conformado por los factores de finca, año de nacimiento y época de nacimiento; para las características de IEP1, LONG y PAC fue conformado sólo por finca y año de nacimiento. Los GC que tuvieron menos de 8 animales, o que sólo tuvieran hijas de un único toro fueron eliminados, mejorando así la corrección para los efectos fijos en el modelo multi-característica.
Los efectos fijos considerados en el modelo para cada característica fueron: EPP=GC; IEP1=GC, año del primer parto y la covariable de peso al destete del primer ternero; LONG= GC; PAC= GC y número de partos de la vaca.
Las estimativas para los componentes de varianza y parámetros genéticos para el análisis multi-característica son presentadas en la tabla 3.
La distribución de los registros entre las características reproductivas es presentada en la tabla 4. El 89.2% de los animales tuvieron información por lo menos para dos de las características evaluadas, garantizando así una adecuada estructura de los datos para estimar las covarianzas y correlaciones.
DISCUSIÓN
El promedio para EPP fue de 40.2 meses siendo similar a los valores encontrados en ganado Nelore (14,20) y Brahman en Colombia (21), sin embargo, valores inferiores fueron reportados por (11,13). Indicando la necesidad de colocar más atención a la selección para precocidad sexual, esto traerá mayor eficiencia económica por dos motivos a) disminución del tiempo y el costo del levante de las novillas de remplazo y b) inicio de la vida productiva de las hembras más rápido.
Los valores fenotípicos para IEP1 y LONG se encuentran dentro de los valores reportados en la literatura para ganado cebuino en condiciones tropicales (6,19,22). Como se muestra en la tabla 1 la variabilidad fenotípica de LONG fue alta como consecuencia de la influencia directa de los criterios de descarte utilizados y la tasa de remplazo; en la medida que esta última sea mayor, el tiempo de permanencia de la hembras será menor. Con base en LONG las vacas tuvieron en promedio 4 partos durante su vida productiva.
El valor promedio para PAC fue inferior a los reportados por Grossi et al (13) y Schwengber et al (23) y similar a los reportados por Azevêdo et al (15) en ganado Nelore. PAC presentó valores mínimo y máximo de 27.2 a 189 Kg, este amplio rango de valores es resultado de la influencia de factores ambientales, siendo el de mayor importancia el número de partos, porque vacas con menos de tres partos destetan terneros menos pesados y tienen mayores intervalos entre partos, mientras que vacas más viejas se tornan más eficientes.
Las estimativas de varianzas y parámetros genéticos son presentadas en la tabla 3. El valor de heredabilidad para EPP fue similar al encontrado por Mercadante et al (5) y Gressler et al (24) en ganado Nelore y mayor al reportado por Espinoza et al (25) y Vergara et al (22) en ganado Brahman. Mostrando que tiene suficiente variabilidad genética, y si se considera su importancia económica y facilidad para registrarla a edades tempranas debe incluirse en los programas de mejoramiento genético.
Las heredabilidades para IEP1 y LONG se presentaron próximas a los valores encontrados en la literatura para las razas cebuinas, que muestran que el componente genético explica poco de la varianza fenotípica observada (6,21,26). La alta influencia de factores ambientales en estas características dificulta los progresos a través de selección, por tal motivo es más ventajoso usar otras estrategias como el uso de cruzamientos y el mejoramiento de factores ambientales como la nutrición y el manejo reproductivo. LONG también tiene la desventaja de ser una característica de medición tardía lo que dificulta la inclusión en programas de mejoramiento genético, para contrarrestar esta desventaja se creó una característica binomial llamada habilidad de permanencia que es medida a edades más tempranas y presenta mayores valores de heredabilidad (8).
La heredabilidad para PAC fue similar a los valores encontrados para la raza Nelore (11,13), indicando que existe suficiente variabilidad genética y que es posible obtener progresos genéticos y fenotípicos a través del uso de selección, logrando así vacas más eficientes. PAC puede ser considerado como criterio de descarte de las hembras, porque es un índice que puede ser evaluado en cualquier edad, y considera características productivas y reproductivas, logrando resumir de forma muy eficiente el historial productivo de las vacas.
Las correlaciones genéticas son presentadas en la tabla 3 y la distribución de los registros entre las características reproductivas en la tabla 4. De forma general, las correlaciones genéticas entre PAC y las características reproductivas se mostraron moderadas y en sentido favorable; las correlaciones fenotípicas presentaron la misma tendencia pero con valores mayores. Este comportamiento es esperado, porque, para el cálculo de PAC están involucradas de manera directa o indirecta las otras características.
La asociación genética entre PAC y EPP fue negativa y alta, pero en sentido favorable, concordando con los valores obtenidos por Grossi et al (13). Este valor de correlación indica que novillas preñadas a edades más tempranas producirán más kilos de terneros destetados por año. Esta correlación favorable ocurre, porque, EPP hace parte de forma indirecta en la fórmula de PAC, mediante la constante Ci (Edad esperada para la primera preñez=550 días), de forma que beneficia las vacas que tuvieron su primera preñez cerca de esta edad.
La correlación genética entre PAC y IEP1 fue moderada y en sentido favorable, esto era esperado, porque el intervalo entre partos está considerado dentro del cálculo de PAC por medio de los parámetros np (número de partos) y la diferencia de EVPn (edad ultimo parto) con Ci en el denominador. No fueron encontrados valores de correlación para estás dos características.
PAC mostró una correlación genética alta y favorable con LONG, indicando que vacas más longevas tendrán mayores índices de PAC. Este comportamiento está relacionado con los criterios de descarte usados por el productor, porque, parte de ellos son considerados en el cálculo de PAC, de manera que las vacas más longevas son las que mejores parámetros productivos tienen. Valores similares de correlación genética fueron reportados por Mercadante et al (5) entre el índice de eficiencia reproductiva y longevidad en ganado Nelore.
Basado en la correlaciones genéticas se puede concluir que la selección a favor del índice de productividad acumulada (PAC) traerá progresos genéticos favorable para las características de edad al primer parto y longevidad, y en menor intensidad para el intervalo entre el primer y segundo parto en ganado Brahman.
En conclusión la productividad acumulada puede ser incluida en el programa de mejoramiento genético de ganado Brahman y usada como criterio de selección por su moderado valor de heredabilidad y correlaciones genéticas favorables con características reproductivas de importancia económica.
Agradecimientos
A la agropecuaria “La Ceiba S.A.” por facilitar el acceso a la base de datos y suministrar información adicional para llevar a cabo este trabajo de investigación.
REFERENCIAS
1. Manrique C. Parámetros genéticos de la raza Brahman en Colombia. Rev Col Cienc Pec 2003; 16 Supl VII ENICIP:48. [ Links ]
2. Montes DV, Vergara GO, Prieto ME, Rodrígez PA. Estimación de los parámetros genéticos para el peso al nacer y al destete en ganado bovino de la raza brahman. Rev MVZ Córdoba 2008; 13(1):1184-1191. [ Links ]
3. Ponzoni RW, Newman S. Developing breeding objectives for Australian beef cattle production. Anim Prod 1989; 49:35-47. [ Links ]
4. Phocas F, Bloch C, Chapelle P, Bécherel F, Renand G, Ménissier F. Developing a breeding objetive for a French purebred beef cattle selection programme. Livest Prod Sci 1998; 57:49-65. [ Links ]
5. Mercadante ME, Lôbo RB, Oliveira HN. Estimativas de (co)variâncias entre características de reprodução e de crescimento em fêmeas de um rebanho Nelore. Rev Bras Zootec 2000; 29(4):997-1004. [ Links ]
6. Baldi F, Alencar MM, Freitas AR, Barbosa RT. Parâmetros genéticos para características de tamanho e condição corporal, eficiência reprodutiva e longevidade em fêmeas da raça Canchim. Rev Bras Zootec 2008; 37(2):247-253. [ Links ]
7. Boligon AA, Vozzi PA, Nomelini J, Rorato PR, Bezerra LA, Lôbo RB. Parâmetros genéticos para idade ao primeiro parto estimados por diferentes modelos para rebanhos da raça Nelore. Cienc Rural 2008; 38(2):432-436. [ Links ]
8. Buzanskas ME, Grossi DA, Baldi F, Barrozo D, Silva LO, Torres Júnior RA et al. Genetic associations between stayability and reproductive and growth traits in Canchim beef cattle. Livest Sci 2010; 132:107-112. [ Links ]
9. Martin LC, Brinks JS, Bourdon RM, Cundiff LV. Genetic effects on beef heifer puberty and subsequent reproduction. J Anim Sci 1992; 70:4006-4017. [ Links ]
10. Dias LT, El Faro L, Albuquerque LG. Estimativas de herdabilidade para idade ao primeiro parto de novilhas da raça Nelore. Rev Bras Zootec 2004; 33(1):97-102. [ Links ]
11. Faria CU, Magnabosco CU, Reyes A, Lôbo RB, Bezerra LA, Sainz RD. Bayesian inference on field data for genetic parameters for some reproductive and related traits of Nellore cattle (Bos indicus). Genet Mol Biol 2007; 30(2):343-348. [ Links ]
12. Galeano AP, Manrique C. Estimación de parámetros genéticos para características productivas y reproductivas en los sistemas doble propósito del trópico bajo colombiano. Rev Med Vet Zoot 2010; 57:119-131. [ Links ]
13. Grossi DA, Frizzas OG, Paz CC, Bezerra LA, Lôbo RB, Oliveira JA et al. Genetic associations between accumulated productivity, and reproductive and growth traits in Nelore cattle. Livest Sci 2008; 117:139-146. [ Links ]
14. Lôbo RN, Madalena FE, Vieira AR. Average estimates of genetics parameters for beef and dairy cattle in tropical regions. Animal Breeding Abstract 2000; 68:433-461. [ Links ]
15. Azevêdo DM, Filho RM, Lôbo RN, Lôbo RB, Moura AA, Pimenta Filho EC, Malhado CH. Produtividade acumulada (PAC) das matrizes em rebanhos Nelore do Norte e Nordeste do Brasil. Rev Bras Zootec 2005; 34(1):54-59. [ Links ]
16. Meyer K. Estimating variances and covariances for multivariate animal models by restricted maximum likelihood. Genet Sel Evol 1991; 23:67-83. [ Links ]
17. Henderson CR. Best linear unbiased prediction of breeding values not in the model for records. J Dairy Sci 1977; 60(5):783-787. [ Links ]
18. SAS INSTITUTE. SAS Online Doc 9.1.3. Cary: SAS Institute, 2004. [ Links ]
19. Meyer K. WOMBAT. A tool for mixed model analyses in quantitative genetics by REML, J Zhejiang Uni 2007; 8:815-821. [ Links ]
20. Castellanos AF. Evaluación del desempeño reproductivo de hembras brahman de exposición en Colombia. Revista de Investigación Universidad La Salle 2007; 7:133-139. [ Links ]
21. Bertazzo RP, Freitas RT, Gonçalves TM, Pereira IG, Eler JP, Ferraz JB et al. Parâmetros genéticos de longevidade e produtividade de fêmeas da raça nelore. Rev Bras Zootec 2004; 33(5):1118-1127. [ Links ]
22. Vergara OD, Elzo MA, Cerón-Muñoz MF. Genetic parameters and genetic trends for age at first calving and calving interval in an Angus-Blanco Orejinegro-Zebu multibreed cattle population in Colombia. Livest Sci 2009; 126:318-322. [ Links ]
23. Schwengber EB, Bezerra LA, Lôbo RB. Produtividade acumulada como critério de seleção em fêmeas da raça Nelore. Cienc Rural 2001; 31(3):483-486. [ Links ]
24. Gressler MG, Pereira CC, Bergmann JA, Andrade VJ, Paulino MF, Gressler SL. Aspectos genéticos do peso à desmama e de algumas características reprodutivas de fêmeas Nelore. Arq Bras Med Vet Zootec 2005; 57(4):533-538. [ Links ]
25. Espinoza JL, Palacios A, Luna R, Ávila N, Guerra D, Gonzalez-Peña D et al. Componentes de (co)varianza para caracteres de crecimiento y reproducción en ganado cebú en cuba. Arch Zootec 2007; 56(216):919-927. [ Links ]
26. Montes D, Vergara O, Prieto E. Una nota sobre La estimación Del intervalo entre partos en hembras bovinas de ganado Brahman. Livestock Research for Rural Development 2009; 21(1). URL Disponible en: http://www.lrrd.org/lrrd21/1/mont21002.htm. [ Links ]
















