Services on Demand
Journal
Article
Indicators
-
Cited by SciELO -
Access statistics
Related links
-
Cited by Google -
Similars in
SciELO -
Similars in Google
Share
Ingeniería y Desarrollo
Print version ISSN 0122-3461On-line version ISSN 2145-9371
Ing. Desarro. no.22 Barranquilla July/Dec. 2007
Aplicación de los conjuntos difusos en la evaluación de los parámetros de la vulnerabilidad sísmica de edificaciones de mampostería
Fuzzy sets application to assess the parameters of the masonry building seismic vulnerability
Esperanza Maldonado Rondón*, Iván Gómez Araújo**, Gustavo Chio Cho***
*Universidad Industrial de Santander. Grupo de Investigación INME. emaldona@uis.edu.coCorrespondencia: Carrera 27 Calle 9 de Bucaramanga (Colombia).
**Universidad Industrial de Santander. Grupo de Investigación INME. igomezar@condorito.uis.edu.co
***Universidad Industrial de Santander. Grupo de Investigación INME. gchioch@uis.edu.co
Subvenciones y apoyo: Trabajo financiado por la Alcaldía de Florida Blanca, Universidad Industrial de Santander y Colciencias.
Fecha de recepción: 5 de febrero de 2007
Fecha de aceptación: 29 de noviembre de 2007
Resumen
La evaluación de la vulnerabilidad sísmica de estructuras de mampostería de las ciudades colombianas es una necesidad cada vez más latente, pues es uno de los sistemas estructurales que predominan en el país. Actualmente, los programas de atención posterremoto obligan a contar con una buena planificación de los elementos que involucran su desarrollo; y las edificaciones de vivienda son un aspecto importante que se debe considerar, y dentro de éstas, uno de los elementos de mayor prioridad son las edificaciones de mampostería. Existen diferentes metodologías para su evaluación, pero muchas de ellas han sido construidas con base en registros de daños observados y modelos mecánicos que son complejos, los cuales las hace aplicables solamente al sitio donde fueron construidas. Por consiguiente, es importante proponer modelos que se ajusten a las condiciones colombianas y para ello es necesario identificar los parámetros que más influyen en la vulnerabilidad de las estructuras de mampostería de nuestras ciudades. Es así, como en este trabajo se presenta la identificación y valoración de estos parámetros a partir de opiniones de expertos. Finalmente, se expone el modelo que relaciona el grado de vulnerabilidad de cada uno de los parámetros y su valor de importancia, en la estimación de la vulnerabilidad total de la estructura.
Palabras claves: Vulnerabilidad sísmica, conjuntos difusos, mampostería, índice de vulnerabilidad.
Abstract
The evaluation of seismic vulnerability of masonry buildings in Colombian cities is a pressing need, as it is one of the most predominant structural systems. Day to day, the post earthquake attention programs force us to consider a good planning of the elements involved in the development of the cities. The housing buildings are an important aspect into consideration, and among them, the masonry building are elements of major priority. There are different methodologies for its evaluation but many of these have been built based on records of observed damages and analytic models both are complex, making its application only to the place were built. Therefore, is it important to propose models adjustable to Colombian conditions and for doing this, it is necessary to identify the parameters which influence the most in the vulnerability of masonry structures of our cities. The aim of this paper is to present the identification and assessment of these parameters. This study was based on the opinion of experts. Finally, it is presented the model that allows the correlation between vulnerability degrees of each one of the parameters with its value of importance; this correlation leads to calculate the seismic vulnerability.
Key words: Seismic vulnerability, fuzzy sets, masonry, vulnerability index.
INTRODUCCIÓN
Es frecuente encontrar que las edificaciones de mampostería construidas en los países en desarrollo no siguen una cultura constructiva basada en la sismo-resistencia, debido al incumplimiento de la aplicación de la normativa o simplemente a su desconocimiento o inexistencia. Por consiguiente, la construcción de edificaciones de mampostería es realizada, por lo general, a través de reglas empíricas y diseñadas sólo para resistir cargas gravitacionales. Esta problemática ha generado que las edificaciones de mampostería se conviertan en una de las mayores causas de pérdidas y de muertes en terremotos debido a su colapso [1, 2].
En nuestro medio es importante el estudio de este tipo de edificaciones, pues es la tipología estructural predominante en las ciudades colombianas, y porque han sido construidas sin las suficientes consideraciones de sismo resistencia. Para reducir el riesgo sísmico sobre estas estructuras la primera medida que se debe implementar es evaluar la vulnerabilidad, y así mediante un análisis de costo-beneficio, que considere criterios técnicos, económicos, sociales, políticos y de funcionamiento, decidir la factibilidad de reforzamiento, reubicación, cambio de uso, mejoramiento o demolición de las edificaciones de mayor vulnerabilidad.
Por consiguiente, es importante desarrollar un modelo de evaluación de edificaciones de mampostería, aplicable a gran escala, con base en la definición de los parámetros más relevantes en la respuesta de la edificación ante la acción del sismo y en la identificación del grado de influencia que tiene cada uno de ellos en la valoración de la vulnerabilidad sísmica de edificaciones de mampostería.
Debido a la inexistencia de datos de daño, se optó por utilizar la opinión de expertos regionales, nacionales e internacionales para la definición de los parámetros del modelo. La utilización de la opinión de expertos para la definición de modelos de evaluación de la vulnerabilidad sísmica de estructuras como edificaciones y puentes ya ha sido utilizada [3, 4, 5], demostrando ser una buena opción para la construcción de modelos propios de las zona de interés de estudio. Por ello, se decidió su implementación utilizando las propiedades de los conjuntos difusos para manejar la ambigüedad de la información recolectada por medio de encuestas a los expertos.
PARÁMETROS QUE INFLUYEN EN LA VULNERABILIDAD SÍSMICA DE EDIFICACIONES DE MAMPOSTERÍA
Para establecer los parámetros que tienen mayor influencia en la vulnerabilidad sísmica de una estructura de mampostería, se llevaron a cabo cuatro etapas. En la primera etapa se identificaron los parámetros de mayor relevancia en la evaluación de la vulnerabilidad sísmica de edificaciones de mampostería propuestas por otras metodologías a nivel mundial. En segunda instancia se realizaron modelamientos de estructuras de mampostería, para establecer el grado de influencia de los parámetros en su respuesta dinámica. Como tercer paso se establecieron las clasificaciones o las condiciones de calidad de cada parámetro y, por último, se evalúo la importancia de cada uno de los parámetros, al igual que el grado de vulnerabilidad de las clasificaciones a partir de las opiniones de expertos.
Metodologías de evaluación de la vulnerabilidad sísmica de edificaciones de mampostería
En la actualidad existen diferentes modelos de evaluación de la vulnerabilidad sísmica de edificaciones de mampostería aplicables a gran escala, y se basan en parámetros asociados a aspectos geométricos, constructivos, estructurales, de cimentación, de suelo y entorno [6, 7, 8, 9, 10, 11]. Comparando los parámetros considerados en cada modelo, se observa la relevancia de algunos de ellos, como el tipo y capacidad del sistema estructural, la irregularidad en planta y elevación, y el tipo de suelo (ver Tabla 1).
De esta manera, con base en el estudio de los anteriores modelos, se identificaron inicialmente 11 parámetros como los de mayor influencia en la valoración de la vulnerabilidad sísmica de edificaciones de mampostería:
- Sistema estructural
- Calidad del sistema resistente
- Resistencia estructural
- Posición de la cimentación
- Suelo y pendiente del terreno
- Diafragmas horizontales
- Configuración en planta
- Configuración en elevación
- Distancia máxima entre los muros
- Tipo de cubierta
- Estado de conservación
La definición de los parámetros finalmente se complementó con el estudio del comportamiento estructural de la mampostería y las opiniones de expertos. De esta manera, los 11 parámetros seleccionados inicialmente fueron ratificados.
ESTUDIO DEL COMPORTAMIENTO SÍSMICO DE ESTRUCTURAS DE MAMPOSTERÍA
Paralelo a la revisión de las metodologías de evaluación de la vulnerabilidad sísmica aplicable a ciudades, se realizó un estudio del comportamiento dinámico de edificaciones de mampostería, con el objetivo de analizar la influencia de los parámetros en su comportamiento ante la acción de un sismo. Una de las prioridades estudiadas correspondió al efecto del sistema estructural en el comportamiento de las edificaciones. Este análisis fue realizado a una muestra de edificaciones ubicadas en algunos de los sectores de la ciudad de Bucaramanga, donde predomina la mampostería.
Se planteó abarcar los sistemas estructurales de mampostería confinada y no confinada, ambos no reforzados, por corresponder al sistema predominante en algunas ciudades colombianas, como el caso de Bucaramanga [12]. Establecidos los dos sistemas estructurales que se iban a modelar, se decidió abarcar alternativas de confinamiento parcial, es decir, considerar viviendas donde el confinamiento existe pero no en toda la edificación.
Luego, para analizar el comportamiento de las edificaciones de mampostería de dos pisos, los tipos de sistemas que se plantearon fueron los siguientes: a) confinada en los dos pisos, b) sin vigas en el 2° piso, c) sin vigas en el 1° piso, d) sin vigas en el 1° y 2° piso, e) sin columnas en el 2° piso, f) sin columnas en el 1° piso, g) sin columnas en el 1° y 2° piso, y h) sin columnas y vigas en los dos pisos.
El análisis realizado a los modelos consistió en cuantificar la resistencia global de la estructura, a partir del cortante basal y de la deformación, con lo cual se construyeron las curvas de capacidad de las estructuras, hasta llegar a una deformación determinada (ver Figura 1). Con este análisis se pretende sólo establecer diferencias en cuanto a la rigidez inicial de la estructura. Por consiguiente, se aplican desplazamientos pequeños a la estructura, las cuales no inducen deformaciones no lineales del material y no linealidad geométrica.
Según la Figura 1, se corroboró que la capacidad para soportar carga de una estructura, para una misma configuración arquitectónica, disminuye a medida que la estructura cuenta con una menor cantidad de elementos de confinamiento. También es evidente que la inexistencia de columnas disminuye en mayor grado la resistencia que la no inclusión de vigas, algo totalmente razonable debido a la función que cumplen vigas y columnas en el sistema estructural. La disminución de la capacidad de la estructura es más perceptible, al no incluir columnas de confinamiento en el piso inferior, debido a que se genera un piso débil.
A su vez, debido a la existencia de estudios de caracterización dinámica de edificaciones en la ciudad de Bucaramanga se analizaron los resultados obtenidos a nivel de períodos fundamentales, modos de vibración, factores de participación y derivas ante acciones sísmicas [13, 14, 15, 16]. Se identificaron problemas asociados a la falta de regularidad en planta y altura, a la existencia de muros en una sola dirección y al sistema de cimentación de las edificaciones en ladera.
DETERMINACIÓN DE LAS CLASIFICACIONES DE CADA PARÁMETRO
Definidos los 11 parámetros como los de mayor influencia en la evaluación de la vulnerabilidad sísmica de edificaciones de mampostería, a cada uno de ellos se le estableció tres o cuatro condiciones de calidad (A, B, C y D). Por ejemplo, según el análisis efectuado a los diferentes sistemas estructurales planteados en el ítem anterior, se estimaron los siguientes grados de vulnerabilidad, para el parámetro sistema resistente:
- Edificación en mampostería reforzada o confinada en todas las plantas.
- Edificación en mampostería que no posee vigas de confinamiento en alguna de las plantas o no posee columnas de confinamiento en los pisos superiores.
- Edificación en mampostería que no posee columnas de confinamiento en ninguna de las plantas o el piso inferior.
- Edificación en mampostería que no posee vigas y columnas de confinamiento en ninguna de las plantas. El anterior procedimiento se le realizó a los restantes 10 parámetros; en el estudio referenciado como UIS-Alcaldía de Floridablanca [17] se encuentra la información completa.
OPINIÓN DE EXPERTOS
En las etapas citadas se determinaron los parámetros que se considera que poseen mayor influencia en la vulnerabilidad sísmica de edificaciones de mampostería, así como también sus clasificaciones A, B, C y D. Como etapa final de este proceso se planteó la necesidad de determinar la importancia y el grado de vulnerabilidad de cada clasificación dentro del parámetro, teniendo en cuenta la experiencia y opinión de expertos en el tema.
Las opiniones de los diferentes expertos fueron recopiladas mediante la realización de dos encuestas. La primera tenía como finalidad obtener la importancia de las condiciones de calidad de cada parámetro y, la segunda, la determinación de la importancia de los mismos dentro de la vulnerabilidad total de la edificación. A manera de ejemplo, en la Figura 2, se ilustra parte de la encuesta; en la parte a) se muestra lo correspondiente a la calificación del parámetro 11, Estado de conservación de la edificación y en la b) la calificación de la importancia de todos los parámetros.
La muestra de expertos incluyó a 85 ingenieros: 10 de la región, 24 nacionales y 51 internacionales. La mayoría de los expertos son académicos e investigadores que están vinculados a universidades y centros de investigación nacionales e internacionales afines con el tema de vulnerabilidad sísmica. A su vez, se buscó las opiniones de expertos consultores, quienes aportaron sus puntos de vistas desde el diseño y construcción de edificaciones sismorresistente. En el ámbito internacional, los expertos correspondieron a países como México, Chile, Argentina, Puerto Rico, Estados Unidos, Italia, Perú y Venezuela.
Se realizaron dos encuestas; la primera tenía como objetivo comparar el grado de vulnerabilidad (nada, poco, medianamente, muy y absolutamente vulnerable) de cada una de las clasificaciones (A, B, C y D) para un determinado parámetro Ki; la segunda tenía como propósito conocer la importancia relativa que existe entre los diferentes parámetros.
De los 85 expertos a los que se les envió las encuestas, 22 (26% de la muestra total) respondieron: 6 regionales, 6 nacionales y 10 internacionales. De esta manera la participación entre los nacionales e internacionales fue equitativa.
TRATAMIENTO DE LA INFORMACIÓN POR CONJUNTOS DIFUSOS
Al recurrir a la opinión de expertos se reconoció que esta información posee un alto grado de subjetividad, imprecisión e incertidumbre. Por esta razón, una de las mejores alternativas para manejar este tipo de situación es a través de la matemática de conjuntos difusos [18, 19].
Teoría de conjuntos difusos
El concepto de conjunto difuso lo introduce Zadeh [18], como un intento de vencer la severidad de la teoría clásica de conjuntos y poder reunir proposiciones que, por la naturaleza de lo que representaban, contienen incertidumbre, imprecisión, ambigüedad, generalidad, errores, aproximaciones, borrosidad.
La teoría difusa es una teoría matemática, que se llama difusa porque recoge un aspecto de incertidumbre. Lo difuso es la ambigüedad que puede ser encontrada en la definición de un concepto o en el significado de una palabra. Por ejemplo, la incertidumbre en las expresiones como, "puente`levemente dañado", "grieta considerable", "estructura funcionalmente obsoleta", "alta seguridad", o "estructura poco vulnerable".
Por ejemplo, al estudiar la ambigüedad del significado de "grieta grande", en términos de tamaño, con un rango que varía entre 2 y 10 mm, el grado en el cual el tamaño x (mm) puede ser llamado "grande" es µ; esto es, al tamaño x le corresponde el grado µ que varía entre 0 y 1. Si se establece un eje horizontal x y un eje vertical µ, se conforma una gráfica como la de la Figura 3, que representaría la ambigüedad del término "grieta grande" en términos de tamaño.
La cantidad en el eje horizontal de la Figura 1 es el tamaño de la grieta en milímetros, es decir, es la cuantificación de la palabra, y el eje vertical muestra el grado en el que una grieta puede ser etiquetada como "grande". En otras palabras, es la cuantificación del grado de ambigüedad.
Hablando en términos más simples, la "teoría de conjuntos difusos" parte de la teoría de clásica de conjuntos, añadiendo una función de pertenencia al conjunto µ generalmente definida como un número natural entre 0 y 1. Así, se introduce el concepto de conjunto difuso asociado a un determinado valor lingüístico, definido por una palabra, adjetivo o etiqueta lingüística A. Para cada conjunto difuso se define una función de pertenencia o inclusión µA(x), que representa el grado en que la variable x está incluida en el concepto representado por la etiqueta A.
Representación de los conjuntos difusos
Si X es una colección de objetos, denotados generalmente por x, X = {x1, x2,..., xn}, luego un subconjunto difuso A en X es un conjunto de pares ordenados
Donde µA(x) es llamada la función de pertenencia o grado de pertenencia (también grado de compatibilidad o grado de verdad) de x en A, es decir, µA(x) define el grado en el cual el elemento x del conjunto X está incluido en el subconjunto A. Es así como la función de pertenencia es la que define el conjunto difuso.
El rango de la función de pertenencia puede ser un conjunto de números reales no negativos, aunque sea práctica general que la función de pertenencia esté definida entre 0 y 1 como µA (x): X → [1,0].
Tipos de función de pertenencia
La función de pertenencia es un conjunto de números ordenados si la variable es discreta, o una función continua si no lo es. En los casos que es continua puede ser de tipo trapezoidal, singleton, triangular, S, exponencial, tipo , ver la Figura 4. [20].
Concepto de variable lingüística
Se denomina variable lingüística a aquella que puede tomar por valor términos del lenguaje natural, como edad, peso, altura, daño, capacidad, vulnerabilidad..., nada, poco, mucho, positivo, negativo, bueno, malo, etc., las cuales a su vez son las que hacen el papel de etiquetas en un conjunto difuso.
Por ejemplo, el daño producido por un sismo en una edificación es una variable lingüística si sus valores son "daño leve", "daño moderado", "daño fuerte", "daño severo", "daño total o colapso". Cada valor de una variable lingüística representa un conjunto difuso en un universo determinado como lo muestra la Figura 5.
[21]
Variable lingüísticas utilizadas
En la definición de los grados de vulnerabilidad y de los valores de importancia de los parámetros que definen la vulnerabilidad sísmica de las edificaciones de mampostería mediante la utilización de la opinión de expertos fue necesario definir adecuadamente las variables lingüísticas para describir los diferentes grados de vulnerabilidad.
Investigaciones sobre evaluación del daño de estructuras o evaluación del estado de estructuras afectadas por el sismo [22, 23], en las cuales el uso de la forma lingüística se maneja mediante teoría difusa, han servido de base para la definición de las variables utilizadas en este estudio.
Así pues, las variables lingüísticas naturales seleccionadas para calificar los grados de vulnerabilidad fueron: "nada", "poco", "medianamente", "muy" y "absolutamente" vulnerable. Cada variable requirió la asignación de un valor numérico, y se escogió arbitrariamente una escala comprendida entre 0 y 10 para identificar cada grado de vulnerabilidad.
Los valores numéricos asignados a cada variable para la materialización de las encuestas fueron:
0 NADA vulnerable
3 POCO vulnerable
5 MEDIANAMENTE vulnerable
7 MUY vulnerable
10 ABSOLUTAMENTE vulnerable
Posteriormente, los valores citados se representaron por medio de conjuntos difusos compuestos de valores numéricos. En esta investigación, los conjuntos difusos que representan las variables relativas al grado de vulnerabilidad se asumen como:
Nada = {1|0, 0|3}
Poco = {0|0, 1|3, 0|5}
Medianamente = {0|3, 1|5, 0|7}
Muy = {0|5, 1|7, 0|10}
Absolutamente= {0|7, 1|10}
Siendo de la forma:
Donde µ(x) denota el grado de pertenencia de x, definiendo x como el universo de la vulnerabilidad de la edificación en los conjuntos difusos.
La representación gráfica de las funciones de pertenencia de las variables lingüísticas utilizadas en este estudio se muestra en la Figura 6:
Construcción de las funciones de pertenencia
Para la generación de las funciones de pertenencia se tomó la información de las respuestas de las encuestas de los 22 expertos de los diferentes países: México, Chile, Argentina, Puerto Rico, Estados Unidos, Italia, Perú, Venezuela y Colombia. Los valores de pertenencia se calcularon con base en el número de respuestas favorables a cada clasificación en particular.
A modo de ejemplo, se presenta a continuación la forma de obtención de la función de pertenencia del Parámetro 11, el cual corresponde al "Estado de conservación". En la Tabla 2 se presenta el número de respuestas favorables a las calificaciones de 0 a 10 que corresponden al parámetro en cuestión.
Los anteriores valores se ajustaron a una escala comprendida entre 0 y 1, dividiendo el número de respuestas favorables por el número total de encuestados.
Luego los valores se normalizaron de tal manera que uno de sus valores, llegue a 1.
A cada clasificación se tuvo que considerar la ley de convexidad [20], o una continuidad de la función de pertenencia.
Por último, se consideraron las funciones solamente con los valores 0, 3, 5, 7 y 10 por corresponder a los valores numéricos asociados a cada variable lingüística en la recopilación de la opinión de expertos. A partir de estos valores se construyeron las funciones de pertenencia para las clasificaciones A, B, C y D. En la Figura 7 se tiene una representación gráfica de dicha funciones para el parámetro 11.
Posteriormente, las funciones de pertenencia se corrigieron eliminando las colas, de manera que se disminuyó la ambigüedad de las calificaciones. A su vez, tomando los valores del valor de importancia para este parámetro, se obtuvo la función de pertenencia que se muestra en la Figura 8.
El anterior procedimiento fue desarrollado para los parámetros restantes; las funciones completas se presentan en el documento referenciado como UIS-Alcaldía de Bucaramanga, 2006.
Números difusos e intervalos difusos
Un número difuso debe representar algún valor numérico determinado imprecisamente. Un número difuso A es una cantidad difusa µA: R →[0,1] que satisface las siguientes condiciones: a) debe ser convexo, es decir, no debe tener distintos puntos máximos; b) la µA debe estar normalizado, es decir, existe un x que pertenece a los R con µA(x)=1. Este punto x, según Zimmermann [24], se denomina "valor medio" de A.
Según algunos autores como Kaufmann y Gil [25], de entre todos los números difusos el que ofrece mayor facilidad en su utilización es el número difuso triangular.
En la Figura 9 se presentan dos ejemplos de números difusos [21], el número difuso triangular "alrededor de 4" y el número difuso trapezoidal "más o menos entre 5 y 7". El número trapezoidal se describe de mejor manera, por algunos autores, como un "intervalo difuso"; es el caso de Bandemer y Gottwald [20] que expone la diferencia entre número e intervalo difuso.
Operaciones aritméticas con números e intervalos difusos
Además de la aritmética conectiva y de la aritmética ponderada [26], existe un tercer tipo de aritmética ligada a las cantidades o a los números borrosos. Para calcular con números e intervalos difusos, primero se necesita la definición de las operaciones aritméticas básicas para ellos. Para ello, se aplica el principio de extensión [18]. Luego la suma, multiplicación y la división de dos números o intervalos difusos se determina de la siguiente forma:
A partir de la definición de los conjuntos A y B como:
donde µ(i) y µ(j) son los grados de pertenencia de los elementos i y j, respectivamente.
Las operaciones citadas se expresan como:a) Adición
b) Producto
c) División
Desfusificación
Los sistemas que se basan en sistemas difusos, generalmente, originan resultados apoyados en sus reglas lingüísticas, que corresponden a conjuntos difusos. Pero en muchas de las aplicaciones, los resultados que se requieren son precisamente los "no difusos". Para transformar los resultados difusos en no difusos se ha desarrollado la "desfusificación". Siendo el desfusificador la función que transforma un conjunto difuso, el cual normalmente corresponde a la salida de un dispositivo de inferencia difusa, en un valor no difuso. Para esta tarea existen diversos métodos: el procedimiento máximo, el centro de gravedad, el centroide aproximado, el centro de área y operadores paramétricos [20, 27].
Resultados de la encuesta a expertos
Una manera de visualizar los resultados de la encuesta realizada a los expertos sobre las condiciones de calidad y los valores de importancia de cada uno de los parámetros, sin necesidad de ilustrar todas la funciones de pertenencia, es por medio de un valor numérico no difuso, el cual se define como el valor numérico del centro de gravedad de la función de pertenencia respectiva (proceso de "desfuzificación"). En la Tabla 5 se presentan estos valores para las condiciones A, B, C y D y para las calificaciones de importancia W de cada parámetro. A su vez, a partir de las variables lingüísticas utilizadas en el presente artículo se define el valor cualitativo de la importancia de los parámetros, el cual se estima en su mayoría como "Muy importante".
INCORPORACIÓN DE LOS PARÁMETROS EN UN MODELO DE EVALUACIÓN DE LA VULNERABILIDAD SÍSMICA
Construidas y corregidas las funciones de pertenencia se llegó a la definición de los grados de vulnerabilidad de las condiciones de calidad de los 11 parámetros que influyen en la vulnerabilidad sísmica de las edificaciones de mampostería y de sus valores de importancia, a partir de las opiniones de expertos y mediante la utilización de "conjuntos difusos", se procedió a relacionarlos dentro de un modelo que permita evaluar la vulnerabilidad sísmica de las edificaciones.
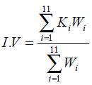
El modelo se estableció a partir de una representación íntegra de la información necesaria para obtener una cuantificación de la vulnerabilidad sísmica de edificaciones de mampostería llamado "Índice de Vulnerabilidad". El cálculo del índice de vulnerabilidad se encuentra con base en la relación del grado de vulnerabilidad de los diferentes parámetros y su respectivo valor de importancia. La aritmética difusa se utilizó para relacionar las calificaciones de cada parámetro con su respectivo valor de importancia. El método tradicional para combinar información difusa con diferentes pesos o importancia es el llamado "Promedio Ponderado Difuso" el cual fue utilizado en este modelo para calcular el índice de vulnerabilidad sísmica de edificaciones de mampostería, que se expresa como:
Donde I.V es el índice de vulnerabilidad sísmica de la edificación de mampostería, Ki es una medida del grado de vulnerabilidad de la categoría del parámetro i. Los valores Wi son una medida de la importancia asociada con el parámetro i con respecto a los demás parámetros.
A partir de la relación del grado de vulnerabilidad de los diferentes parámetros y su respectivo valor de importancia en el índice de vulnerabilidad, se califica a la estructura entre nada, poco, medianamente, muy y absolutamente vulnerable, asociándole un valor numérico o desfusificación de la función de pertenencia resultante y una representación de la ambigüedad de la respuesta, es decir, la función de pertenencia.
El concepto de "desfusificador" se ha introducido con el fin de transformar la función de pertenencia resultante del cálculo de promedio ponderado difuso (con el cual se define el índice de vulnerabilidad sísmica) a un valor numérico.
CONCLUSIONES
Este trabajo ha servido para definir el grado de vulnerabilidad y el valor de importancia de cada uno de los parámetros más influyentes en la evaluación de la vulnerabilidad sísmica de las edificaciones de mampostería, a partir de opiniones de expertos y mediante la utilización de la teoría de los conjuntos difusos. Es así, como las condiciones de cada parámetro se clasifican de A a D, siendo A la menos vulnerable y la D la de mayor vulnerabilidad.
A su vez, con base en la opinión de expertos, se determinó el grado de importancia de cada uno de los parámetros, y resultaron los más importantes el parámetro 1 (Sistema estructural), el parámetro 2 (Calidad del sistema resistente) y el parámetro 3 (Resistencia estructural).
La determinación del grado de vulnerabilidad y del valor de importancia de estos parámetros es la base para proponer un modelo de análisis de vulnerabilidad sísmica de edificaciones de mampostería a gran escala, el cual puede ser calibrado luego con registros de daños sobre edificaciones propias, donde se corrobore el grado de vulnerabilidad de cada una de la condiciones de calidad y la importancia de los parámetros.
Agradecimientos
Este trabajo ha sido financiado por la Alcaldía de Floridablanca, la Universidad Industrial de Santander y Colciencias.
REFERENCIAS
(1) COBURN, A.W., SPENCE, R.J. y POMONIS, A. Factors determining human casualty levels in earthquakes: Mortality prediction in building collapse. Proceedings of the Tenth World Conference on Earthquakes Engineering, Madrid, 1992. [ Links ]
(2) DOWLING, D. "Adobe housing reconstruction after the 2004 El Salvador earthquake", Lessons learned over time, learning from earthquake series, Volume V, EERI, 2004. [ Links ]
(3) MALDONADO, E., CASAS J.R., CANAS, J.A . Utilización de lo conjuntos difusos en modelos de vulnerabilidad sísmica. Monografía CIMNE IS-39, 2000a. [ Links ]
(4) MALDONADO, E., CASAS J.R., CANAS, J.A. Modelos de vulnerabilidad sísmica de puentes basados en "Conjuntos difusos". Monografía CIMNE IS-39, 2000b. [ Links ]
(5) MALDONADO, E., CASAS J.R., CANAS, J.A. Aplicación de los conjuntos difusos en la evaluación de los parámetros de la vulnerabilidad sísmica de puentes. Revista Internacional de Métodos Numéricos para Cálculo y Diseño en Ingeniería, Vol 18, 2, 209-226, 2000. [ Links ]
(6) FEMA 154/Report ATC-21. Rapid Visual Screening of Building for Potential Seismic Hazard, Washington, 1988. [ Links ]
(7) EUROPEAN SEISMOLOGICAL COMMISION. European Macroseismic Scale 1998 EMS-98, Editor G GRÜNTHAL, Luxembourg, 1998. [ Links ]
(8) BENEDETTI, D. y PETRINI, V. Sulla Vulnerabilitá Sísmica di Edifici in Muratura: Prioste di un Método di Valutazione. Lindustria delle Costruzioni, Roma, 1984. [ Links ]
(9) CARDONA, O. y HURTADO, J. Propuesta metodológica para los análisis de vulnerabilidad. Informe de consultoría, proyecto UNDRO/ACDI/ONAD para la Mitigación de Riesgos en Colombia, Santiago de Cali, 1990. [ Links ]
(10) AIS y FOREC. Manual de Construcción, Evaluación y Rehabilitación Sismo Resistente de Viviendas de Mampostería, Bogotá, 2001. [ Links ]
(11) APPLIED TECHNOLOGY COUNCIL. Earthquake damage evaluation data for California, ATC-13, Redwood City, California, USA, 1985. [ Links ]
(12) MALDONADO, E. y CHIO, G. Visión estructural de las edificaciones de la ciudad de Bucaramanga, en edición, 2007. [ Links ]
(13) ABREO, G. J. y ARGUELLO, S. A. Caracterización dinámica de las edificaciones ubicadas en el sector de Ciudadela Real de Minas (Bucaramanga). Trabajo de grado, Escuela de Ingeniería Civil, Universidad Industrial de Santander, Bucaramanga, 2003. [ Links ]
(14) CARREÑO, O. y RODRÍGUEZ, R. Caracterización estructural de edificaciones de uno y dos niveles ubicadas en la meseta de Bucaramanga. Trabajo de grado, Escuela de Ingeniería Civil, Universidad Industrial de Santander, Bucaramanga, 2003. [ Links ]
(15) ARDILA, R. y MENDEZ, A. Caracterización dinámica de las edificaciones ubicadas en el sector de Morrorrico (Bucaramanga). Trabajo de grado, Escuela de Ingeniería Civil, Universidad Industrial de Santander, Bucaramanga, 2003. [ Links ]
(16) CASTELLANOS, C.J. y GARCÍA, O.M. Caracterización estructural de edificaciones de primer y segundo nivel ubicadas en una zona de Bucaramanga. Trabajo de grado, Universidad Industrial de Santander, Bucaramanga, 2003. [ Links ]
(17) UIS y Alcaldía de Floridablanca. Metodología para la evaluación del riesgo debido a amenazas naturales en zonas urbanas de ciudades colombianas. Caso de estudio Floridablanca. Fase I Riesgo sísmico. Convenio ínter administrativo 012-2006. [ Links ]
(18) ZADEH, L. "Fuzzy sets", Information and control, Vol. 8, 1965. [ Links ]
(19) TERANO, T., ASAI, K. y SUGENO, M. Fuzzy system theory and its applications, Academic press, Boston, 1992. [ Links ]
(20) BANDEMER, H., GOTTWALD, S. Fuzzy sets, fuzzy logic, fuzzy Methods with Applications. Jhon Wiley and sons, New York, 1995. [ Links ]
(21) KACPRZYK, J. Multistage Fuzzy Control, a model-based approach to fuzzy control and decision making. Jhon Wiley and sons, New York, 1997. [ Links ]
(22) SOUFLIS C. y GRIVAS, D.A. "Fuzzy set approach to linguistic seismic load and damage assessments", Journal of Engineering Mechanics, Vol. 112 N° 6, 1986. [ Links ]
(23) YAO, J.T.P. "Damage assessment of existing structures" Journal of Engineering Mechanics Division, ASCE, Vol. 106, (EM4), 1980. [ Links ]
(24) ZIMMERMANN, H.J. Fuzzy set theory and its Applications, third edition, Kluwer Academic Publishers, Boston, 1996, 435 pg. [ Links ]
(25) KAUFMANN, A. Y GIL ALUJA, J. Introducción de la teoría de los subconjuntos borrosos a la gestión de las empresas, Editorial Milladoiro, Santiago de Compostela, 1986. [ Links ]
(26) TRILLAS, E., ALSINA, C. y TERRICABRAS, J. Introducción a la lógica borrosa, Editorial Ariel, Barcelona, 1995. [ Links ]
(27) RUNKLER, T.A. "Selection of Aprópiate Defuzzification Methods Using Application Specific Properties" Transactions on Fuzzy Systems, IEEE, 5(1)", 1997. [ Links ]































(8)


