Services on Demand
Journal
Article
Indicators
-
Cited by SciELO -
Access statistics
Related links
-
Cited by Google -
Similars in
SciELO -
Similars in Google
Share
Ingeniería y Desarrollo
Print version ISSN 0122-3461On-line version ISSN 2145-9371
Ing. Desarro. no.24 Barranquilla July/Dec. 2008
Herramienta para la predicción de la radiopropagación en una celda inalámbrica
Tool for radio propagation prediction in a wireless cell
Diego R. Bernal*, Carlos A. Díaz**, Carlos I. Páez***, Roberto Bustamante****
* Ingeniero Electrónico, Universidad Javeriana. Regional Project Manager de la Empresa Americas Symsoft INC. diegorbernal@etb.net.co
** Ingeniero Electrónico, Universidad Javeriana. Director de operaciones en Diveo de Colombia. cadiaz@diveo.net.co
*** Ingeniero Electrónico, Universidad Javeriana. Magíster en Eléctrica, Universidad de los Andes. Docente, investigador y jefe de la Sección de Comunicaciones del Departamento de Electrónica, Universidad Javeriana. paez.carlos@javeriana.edu.co Correspondencia: Universidad Javeriana, Facultad de Ingeniería, Departamento de Electrónica, Cra. 7ª N° 40-62, Bogotá (Colombia).
**** Electrical and Electronics Engineering, University of Surrey, Doctoral Electrical Engineering, University of Surrey. Docente, investigador y director del Departamento de Ingeniería Eléctrica y Electrónica, Universidad de los Andes. rbustama@uniandes.edu.co
Fecha de recepción: 8 de mayo de 2008
Fecha de aceptación: 15 de julio de 2008
Resumen
En el presente artículo se presentan los resultados de una nueva herramienta asistida por computador desarrollada para la predicción de la cobertura en una celda inalámbrica válida para la banda de VHF y UHF. Esta aplicación está basada en el modelo electromagnético de dos rayos en combinación con el modelo de difracción planteado por Vogler. Para la validación de los resultados encontrados por medio de la herramienta, se utilizó un sistema de monitoreo automático y se registraron los niveles de potencia en dos trayectos en la ciudad de Bogotá, Colombia. Con los niveles de potencia medidos se propuso un nuevo modelo empírico simplificado, que permite predecir el cubrimiento de regiones urbanas conformada por construcciones cuya altura es comparable con la altura del transmisor.
Palabras claves: propagación, mediciones, modelado de canal.
abstract
The following paper shows the result of a new tool assisted by computer developed for cell coverage prediction in the VHF and UHF bands for urban environments. The application is based on the two ray electromagnetic model in combination with Vogler model, which takes into account the diffraction effects. There were taken several power measurements in Bogota (Colombia), using an automatic monitoring system, in order to validate the implemented model. Based on the power measurement data a new simplified empirical model was proposed which lets predict the coverage in urban scenarios with buildings where the height is comparable with that of the transmitter’s.
Key words: propagation, measurements, channel modeling.
1. INTRODUCCIÓN
En la actualidad las comunicaciones inalámbricas en Colombia han adquirido un lugar preponderante debido a la creciente demanda que se tienen de sus servicios móviles y fijos. El crecimiento de este tipo de redes plantea la necesidad de una constante evaluación, mejora y reingeniería de los sistemas ya operativos. Una de las principales actividades realizadas en la planeación y optimización de estos sistemas, es la utilización de herramientas de diseño asistido por computador para la predicción de la propagación de las ondas de radiofrecuencia en una zona determinada, con el fin de determinar la zona de cubrimiento de una celda inalámbrica. Este tipo de herramientas pueden ser clasificadas de acuerdo a los modelos que describen el canal inalámbrico, destacándose la clasificación según [1]-[2] de modelos empíricos como en [3], teóricos como en [4] y específicos del sitio como en [5].
Los modelos empíricos son eficientes para ambientes donde es predominante la región rural o los fenómenos en ellas encontradas [3]-[6]. Desafortunadamente en ambientes urbanos propios de una ciudad metropolitana con una densa población, el valor obtenido por este tipo de modelos se desvía de su valor real en gran medida [7]-[8]. Los modelos específicos de sitios son muy aproximados para regiones urbanas donde la información topográfica y morfológica es detallada; sin embargo, consumen demasiados recursos de computación y tiempo de ejecución [1].
En el presente artículo se presentan los resultados obtenidos al implementar una nueva herramienta de diseño asistido por computador que utiliza el modelo teórico electromagnético de los dos rayos [9] en combinación con el modelo teórico de difracción planteado por Vogler en [10], y que fue comprobada en la capital de la república de Colombia: Bogotá. Ambos modelos plantean los fenómenos de la onda transmitida directamente, la onda reflejada en tierra y el fenómeno de difracción de los edificios modelados por medio de bordes de cuchillo sobre un trayecto predefinido. Casos de estudio equivalentes al presente, con análisis de diversos modelos de propagación en diferentes partes del mundo, pueden encontrarse en [11]-[19].
2. DESARROLLO
Como metodología de trabajo se dividió el proyecto en tres fases. La primera fue la creación de una base de datos de la región de prueba y la escogencia de una plataforma de desarrollo conveniente para el manejo de datos y su presentación al usuario; la segunda fue la implementación de los modelos electromagnéticos en un lenguaje de programación orientado a objetos, que en este caso por conveniencia fue C++. Por último, se realizó una recopilación de mediciones en campo en una región urbana para comparar los resultados teóricos versus los experimentales y así estimar el error del modelo planteado. Con los datos obtenidos a través de la experimentación, fue posible plantear un nuevo modelo de radiopropagación empírico el cual permite modelar la radiopropagación de una celda con una considerable cantidad de obstrucciones bajo las condiciones del experimento. A continuación se detallan cada una de esas fases metodológicas.
2.1. Base de datos y plataforma de desarrollo
Se escogió como zona de pruebas del algoritmo de radio de propagación la zona central de la capital de Colombia, Bogotá, comprendida hacia el norte por la calle 53, hacia el sur por la calle 34 y la avenida de las Américas, hacia el oriente por la carrera séptima y hacia el occidente por la avenida 68. La información de curvas de nivel asociadas a las alturas del relieve fue procesada a partir de los mapas disponibles en el Instituto Geográfico Agustín Codazzi. La información de la distribución de calles y las manzanas fue adquirida en forma digital del DANE (Departamento Administrativo Nacional de Estadística). La información de la altura de cada edificio no fue posible adquirirla a un costo razonable y, por ende, se adquirió de forma visual promediando la altura de los edificios por manzana en la región de prueba. En la figura 1 se ilustra parte de la región de prueba utilizada en el proyecto, suministrada por Tes América Andina en el 2007, donde se identifican la información recopilada por las manzanas y las curvas de nivel procesadas. En esta figura se detalla para referencia, el Hospital San Ignacio localizado en la Pontifica Universidad Javeriana.
En la figura 2 se ilustra también parte región de prueba con una vista tridimensional, facilitada por Tes America Andina en el año 2007, donde se visualiza la información de las curvas de nivel que fueron procesadas. En la figura se detalla, de igual forma, el Hospital San Ignacio, localizado en la Pontificia Universidad Javeriana con fines de referencia.
Toda la información recopilada fue integrada en una base de datos tipo GIS (Geographic Information System) con el fin de tener una entrada, almacenamiento y representación eficiente de datos tanto espaciales como descriptivos. El GIS escogido para el desarrollo e integración de la plataforma fue ArcView, en el cual se implementó toda la plataforma de diseño y optimización de una celda inalámbrica.
La escogencia de Arcview fue acertada, ya que incorpora un seudolenguaje de programación que permitió tener acceso a casi todas las funciones, ventanas y estructura de datos geográficos y descriptivos a través de código, permitiendo construir una plataforma de diseño robusta y flexible. La capacidad de integración de la plataforma con funciones externas desarrolladas fue posible a través de módulos DLL (Dynamic Linking Library) y, por ende, aunque la plataforma de desarrollo no es eficiente en la implementación de función con alta carga matemática o de funciones iterativas, su desarrollo fue posible a través de la integración de otros lenguajes de alto nivel.
2.2. Modelo de radiopropagación
A continuación se detalla el modelo de propagación utilizado para predecir el nivel de potencia de una estación base.
2.2.1. Modelo de dos rayos
El modelo de propagación que se propone incluye el fenómeno del rayo directo y el rayo reflejado en tierra en un trayecto definido. El modelo describe analíticamente dicho fenómeno y se denomina modelo de dos rayos [9]. En este modelo, la potencia recibida depende de la onda directa existente entre el transmisor y el receptor y de la onda reflejada en la tierra, como se ilustra en la figura 3.
El nivel de potencia que se predice en el receptor, utilizando el modelo de dos rayos, está descrito por la ecuación (1).
Donde
av : es el coeficiente de reflexión
Δψ: es la diferencia de fase entre el rayo directo y el rayo reflejado
Ptx : es la potencia transmitida
Prx : es la potencia recibida
d : es la distancia entre el transmisor y el receptor
λ : es la longitud de onda
Por medio de las relaciones de óptica simple, se establece que la diferencia de fase entre los dos rayos está dada por la ecuación (2).
En aplicaciones de telefonía celular en ambiente rurales y ambientes urbanos, el coeficiente de reflexión toma el valor de -1 [9]. Con esta condición, el nivel de potencia que describe el fenómeno de los dos rayos se encuentra por medio de la expresión (3).
Modelo de difracción de Vogler
En este modelo de radiopropagación, los obstáculos, como los edificios y casas, se aproximan por medio de bordes de cuchillo con radio cero compuesto de un material perfectamente conductor. Dada esta condición, la formulación para la radiopropagación de las ondas electromagnéticas difractadas para cada obstáculo se puede expresar analíticamente. Para esta aproximación, la principal restricción es que la fuente, el receptor y los diversos bordes de cuchillo deben estar lo suficientemente espaciados para garantizar la convergencia del algoritmo.
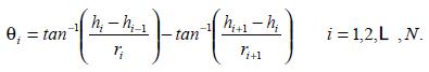
En la figura 4, se ilustra la geometría asociada con la difracción debido a múltiples bordes de cuchillo planteado por Vogler. Donde N es el número total de bordes de cuchillo; r1,r2...rN+1 son las distancias entre los bordes de cuchillo consecutivos; h1,h2...hN son las alturas correspondientes a los bordes de cuchillo referenciadas a algún plano; ho y hN+1 son las alturas del transmisor y receptor, respectivamente; θ1, θ2...θN son los ángulos de difracción que se pueden obtener por la altura y separación de los bordes de cuchillo.
Los ángulos de difracción se pueden obtener por medio de la geometría tradicional, con la expresión (4) como resultado.
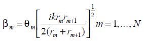
Por medio de las relaciones geométricas que describen los bordes de cuchillo y que son obtenidas de forma simple a partir de la información contenida en la base de datos, es posible definir los parámetros αm y βm por medio de (5) y (6), respectivamente.
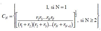
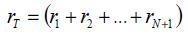
Con lo anterior, la atenuación por el fenómeno de difracción relativa al espacio libre, sobre una trayectoria con una distancia total rT y conformada por N bordes de cuchillo, se puede expresar por medio de (7).
Donde se cumplen las relaciones (8), (9), (10) y (11).
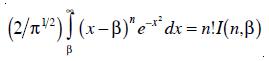
La integral múltiple propuesta por Vogler enunciada en (7) debe ser transformada en una expresión que se pueda evaluar numéricamente. La forma de lograr este objetivo es propuesta por el mismo autor y corresponde a la expansión del factor exp(2f) en series de potencia. La expresión resultante es una serie de integrales repetitivas de la función de error denotada por I(n,β) y definida por medio de (12).
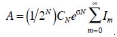
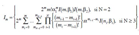
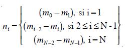
La expresión que describe la atenuación de intensidad de campo por motivo del fenómeno de difracción relativa al espacio libre en términos de las funciones de error se enuncia en (13).
Donde se cumplen las relaciones (14) y (15).
La expresión (13) es implementada por medio de funciones con características iterativas, según la cantidad de bordes de cuchillo que sean consideradas. Un mayor detalle en la implementación numérica de las expresiones (13), (14) y (15) es detallada en [4],[10],[20].
2.2.3. Modelo de propagación total
El modelo electromagnético total implementado que describe el valor del nivel de potencia en un punto dado es descrito por la ecuación (16).
Donde se cumplen las relaciones (17) y (18).
La implementación computacional de (16) fue realizada en C++ y fue enlazada con el software Arcview para el intercambio de parámetros y su € presentación al usuario final.
2.3. Metodología de mediciones en campo
Para estimar el error del modelo de radiopropagación implementado, se utilizó un sistema de medición de señal con características móviles, conformado por un analizador de espectros, un sistema de adquisición de datos, unas antenas con patrones de la frecuencia de operación y un automóvil. El diagrama esquemático del sistema de medición suministrado por Tes America Andina se puede observar en la figura 5 y la instalación del mismo en una unidad de monitoreo móvil versión 2007 en la figura 6.
En el sistema de adquisición de datos utilizado, se implementaron los procedimientos de análisis de señales para convertir la secuencia de datos adquiridos en un promedio válido que represente el desvanecimiento a gran escala.
Esta metodología de mediciones se encuentra descrita en detalle en la referencia [20]-[23], en la cual se determina el nivel de potencia de la señal que incorpora el desvanecimiento a pequeña escala, conformado por la múltiple trayectoria de la onda electromagnética, y lo convierte en una medida que represente el desvanecimiento a gran escala, formado por la atenuación, reflexión y difracción de las grandes construcciones.
Como sistema de transmisión se utilizó un radio para vehículos (radio base), que fue programado para transmitir temporalmente una señal sinusoidal o tono puro, en una banda libre de frecuencias. La unidad transmisora fue localizada en la torre del radio club que se encuentra localizada en el edificio de Ingeniería de la Pontifica Universidad Javeriana, como se ilustra en la figura 7.
Esta torre tiene aproximadamente 15 metros de altura, que sumados a la altura del edificio permite tener una altura total aproximada de 33 metros para el transmisor. La radio base fue configurada para transmitir una portadora de 806.9875 MHz con una potencia de 28 W (44.47 dBm). Las antenas que se utilizaron tanto para la transmisión como para la recepción fueron de tipo dipolo homologadas con una ganancia de 3 dBi. Los niveles de potencia fueron registrados con un analizador de espectro HP 8563A de especificaciones militares.
Los trayectos seleccionados para realizar las mediciones fueron escogidos por las alturas de los edificios que los conformaban. En el primer trayecto, las alturas de los edificios que lo superan son similares o comparables a la altura en donde se ubicó el transmisor.
En la Figura 8, se ilustran simultáneamente las curvas de nivel y las alturas promedio de las manzanas, modeladas como bordes de cuchillo en el trayecto descrito, con una longitud total de 4150 m.
El segundo trayecto fue escogido teniendo en cuenta edificaciones bajas en comparación con la altura del transmisor. En este, se identifica la región donde se encuentra la Universidad Nacional de Colombia, pues allí existen áreas abiertas. En la figura 9, se ilustran simultáneamente las curvas de nivel y las alturas promedio de las manzanas, modeladas como bordes de cuchillo en el trayecto descrito, con una longitud total de 4370 m.
En cada trayecto se definieron 20 puntos de medición georreferenciados y sobre cada uno de estos, se realizaron entre dos y tres registros del nivel de potencia con el fin de obtener un promedio en la medida.
3. ANÁLISIS DE LOS RESULTADOS
3.1. Tiempo de ejecución
La función que describe la atenuación debido a la difracción planteada por Vogler y enunciada en (18) es de costo computacional grande en términos de tiempo de ejecución. Para su implementación en tiempos razonables, fue necesario el desarrollo de algoritmos propietarios que aprovechan algunas simetrías y convergencias que surgen en la evaluación de (18). Dicha implementación requirió mayores recursos de memoria y tiempo de desarrollo del software. La evaluación de los tiempos de ejecución incluyendo los algoritmos propietarios, se realiza a partir de un escenario básico conformado por N bordes de cuchillo igualmente espaciados ( r1 = r2 = ... = rN+1 ) y de igual altura ( h0 = h2 = ... = hN+1). Se evaluó la función (18) en su versión truncada representada por (19).
En la figura 10 se observa el tiempo de ejecución asociado al cálculo de la atenuación debido a la difracción según se utilice el modelo de Vogler, varíe la cantidad de borde de cuchillo y consideren diferentes valores en la € sumatoria truncada enunciada en (19) utilizando un computador Pentium II® de 233 MHz.
Para evaluar el compromiso computacional relacionado con el tiempo de ejecución versus la aproximación de la sumatoria truncada (19), se presenta la figura 11 en donde se detalla para cada caso de análisis el porcentaje de error de cada respuesta.
3.2. Análisis estadístico de las mediciones
En la figura 12 se observan los datos obtenidos a partir de la medición del primer trayecto versus los cálculos simplificados del modelo en espacio libre, el modelo de los dos rayos incluyendo el espacio libre y la curva de tendencia obtenida a partir de una regresión logarítmica de los datos. En esta figura se observa que los datos son consistentes con la atenuación encontrada en la literatura, que se encuentra documentada entre 30 dB/década y 40 dB/década para una zona urbana [21].
El sistema de adquisición de datos utilizado y el procesamiento de señales desarrollado sobre el mismo, pueden apoyar la toma de decisiones de ingeniería y la optimización de la celda, puesto que si son aprovechados para compensar modelos simplificados, evitan el desarrollo de modelos electromagnéticos complejos. Sin embargo, ante los cambios de la red como la alteración de las alturas de los transmisores o receptores, o la construcción de edificios de alturas considerables en un punto clave del trayecto, se tendría como consecuencia la reevaluación de los modelos simplificados a partir de la nueva adquisición y el posterior procesamiento de los datos, que hacen de esta labor un proceso dispendioso y costoso.
Debido a que la forma como se representa una manzana es por medio de un borde de cuchillo, existe una incertidumbre inherente al modelo de difracción. Cada borde de cuchillo podría localizarse en cualquier posición dentro de la manzana y, por ende, fue necesario determinar en donde se tiene una mejor representación del nivel de potencia medido. Aunque en el software> es posible localizar el borde de cuchillo en cualquier lugar dentro de cada manzana, se evaluó de manera comparativa situándolo solo al principio y en la mitad de la misma. No se lo evaluó al final de la manzana, debido a criterios de convergencia de (18). En la figura 13 se observan los datos de medición obtenidos del segundo trayecto versus el cálculo teórico del modelo de propagación, considerando la localización del borde de cuchillo al comienzo y en la mitad de la manzana. A partir de los datos comparativos del modelo, se determinó que cuando el borde de cuchillo se ubica al comienzo de la manzana en ambos trayectos, el error promedio del algoritmo determinístico implementado es de -0.43 dB con una desviación estándar de 5.63 dB, mientras que en el otro caso tiene un error promedio de 2.63 dB y una desviación estándar de 5.24 dB, los cuales son resultados atractivos considerando los valores reportados en la literatura en [24]-[29].
3.3. Propuesta de un modelo empírico
Aunque la cantidad de datos obtenidos durante la fase de medidas en campo no es suficiente para obtener un modelo estadístico general e independiente de la frecuencia de operación, a continuación se presenta un modelo simplificado para ambientes urbanos que podría describir el comportamiento de la atenuación de la onda electromagnética en el radio de cubrimiento de una celda celular típica funcionando bajo las condiciones del experimento. El modelo descrito está basado en el fenómeno de espacio libre, en el modelo de los dos rayos y en un modelo empírico que modela la difracción a partir de las mediciones obtenidas. Las ecuaciones que describen el modelo serían válidas para las condiciones del experimento y son descritas por medio de la ecuación (20), con (21), (22), (23), (24) y (25).
Donde N representa la cantidad de obstáculos en el trayecto y ZF es la mayor Zona de Fresnel ocupada por los obstáculos en el mismo. El modelo € planteado fue obtenido a partir de la regresión de los datos experimentales considerando diversas variables físicas que podrían representar el fenómeno de difracción de forma simple y que se encuentran detalladas en la referencia [20]. En la figura 14 se observan simultáneamente los datos obtenidos a partir de la experimentación y la predicción del modelo estadístico planteado para ambos trayectos.
Como se puede observar en la figura 14, el modelo empírico planteado representa el nivel de potencia medido con mayor precisión cuando en el trayecto se presentan obstáculos cuya altura es comparable con la altura del transmisor. La aplicabilidad del modelo empírico propuesto para el segundo trayecto no tiene el mismo desempeño y, por ende, se requiere ampliar la propuesta a trayectos donde la altura de los edificios es menor que la altura donde se encuentra instalado el transmisor. La aplicabilidad del modelo planteado aun así es relevante para las aplicaciones celulares, ya que en este tipo de sistemas lo usual es que la altura del transmisor sea comparable con la altura de las edificaciones en la vía del trayecto de la onda electromagnética.
4. CONCLUSIONES
La combinación del modelo de Vogler con el de dos rayos permite una excelente predicción de los niveles de potencia para ambientes urbanos en Bogotá, ya que considera la distribución de los edificios y la altura de la antena transmisora y receptora típicos de la ciudad. La implementación de diversos modelos de radiopropagación determinísticos, como el planteado en el presente documento, tienden a alcanzar un costo importante a nivel computacional, a nivel de implementación y a nivel de optimización de los algoritmos.
El modelo de radiopropagación empírico propuesto, permite bajo las condiciones del experimento, tener un nuevo modelo simplificado aplicable a un trayecto conformado por edificaciones cuya altura es comparable a la del transmisor. No obstante lo anterior, debido a los altos costos relacionados con las mediciones en campo en el momento que se realizó el proyecto, no fue posible explorar la aplicabilidad del modelo empírico planteado en diversos escenarios y, por tanto, su aplicabilidad general es una hipótesis a ser confirmada. Es posible con un sistema de adquisición de datos optimizado, replicar el experimento con una mayor cantidad de datos y producir a través de las técnicas de minería de datos, sistemas expertos, redes neuronales, filtros adaptables o no lineales, un modelo de radiopropagación empírico de mayor confiabilidad.
La escogencia de una plataforma GIS apropiada para el desarrollo de las herramientas de diseño asistido por computador en aplicaciones de redes inalámbricas, permite la integración de soluciones flexibles, robustas y de tiempos de diseño y programación razonables. Este tipo de plataformas permiten centrar los esfuerzos de investigación no en una interfase de usuario y manejo de datos geográficos, sino en el desarrollo de algoritmos de optimización y reingeniería propios de la red.
Agradecimientos
Se agradece a la Empresa Tes América Andina y a su presidente Daniel Rosas, ingeniero especialista, por el suministro de los equipos de prueba y adquisición de datos en la fase de experimentación.
REFERENCIAS
[1] M.F. ISKANDER and Z. YUN, "Propagation Prediction Models for Wireless Communication Systems", IEEE Trans. on Microwave Theory and Techniques, vol. 50, n.° 3, pp. 662-673, Mch. 2002. [ Links ]
[2] T.K. SARKAR, Z. JI, K. KIM, A. MEDOURI and M. SALAZAR-PALMA, "A Survey of Various Propagation Models for Mobile Communication", IEEE Antennas and Propagation Magazine, vol. 45, n.° 3, pp. 51-82, Jun. 2003. [ Links ]
[3] K. LÖW, "Comparison of urban propagation models with CW-measurements", Proc. Vehicular Technology Conference VTC'92, pp. 936-942, 1992. [ Links ]
[4] L.C. ONG and C.C. CONSTANTINOU, "Evaluation of Multiple Diffraction Integrals: Computational Speed and Accuracy Considerations", IEE Proc.- Microw. Antennas Propag., vol. 144, n.° I, pp. 35-41, Feb. 1997. [ Links ]
[5] S.Y. SEIDEL and T.S. RAPPAPORT, "Site-Specific Propagation Prediction for Wireless In-Building Personal Communication System Design", IEEE Trans. on Vehicular Technology, vol. 43, n.° 4, pp. 879-891, Nov. 1994. [ Links ]
[6] Y. OKUMURA et. al., "Field strength and its variability in VHF and UHF land- mobile radio service", Review of Elec. Commun. Lab., vol. 16, pp. 825-873, Sept. 1968. [ Links ]
[7] Ð PAUNOVIC, Z. STOJANOVIC and I. STOJANOVIC, "Choice of a Suitable Method for the Prediction of the Field Strength in Planning Land Mobile Radio Systems", IEEE Trans. on Vehicular Technology, vol. 33, n.° 3, pp. 259-265, Aug. 1984. [ Links ]
[8] S.R. SAUNDERS and F.R. BONAR, "Prediction of Mobile Radio Wave Propagation Over Buildings of Irregular Heights and Spacings", IEEE Trans. Antennas Propag., vol. 42, pp. 137-144, Feb. 1994. [ Links ]
[9] K. PAHLAVAN and A.H. LEVESQUE, "Wireless Information Networks, John Wiley & Sons, Inc., 1995. [ Links ]
[10] L.E. VOGLER, "An attenuation function for multiple knife-edge diffraction," Radio Sci., vol. 17, n.° 6, pp. 1541-1546, Nov./Dec. 1982. [ Links ]
[11] N. AMITAY, "Modeling and Computer Simulation of Wave Propagation in Lineal Line-of-Sight Microcells", IEEE Trans. on Vehicular Technology, vol. 41, n.° 4, pp. 337-342, Nov. 1992. [ Links ]
[12] Th. KURNER, D.J. CICHON and W. WIESBECK, "Verification of Deterministic Wave Propagation Models for Rural and Urban Areas", IEEE Antennas and Propagation Society International Symposium, pp. 1376-1379, Jul. 1992. [ Links ]
[13] T. KURNER, D.J. CICHON and W. WIESBECK, "Concepts and Results for 3D Digital Terrain-Based Wave Propagation Models: An Overview", IEEE Journal on Selected Areas in Communications, vol. 11, n.° 7, pp. 1002-1012, Sept. 1993. [ Links ]
[14] S.Y. TAN and H.S. TAN, "Propagation Model for Microcellular Communications Applied to Path Loss Measurements in Ottawa City Streets", IEEE Trans. on Vehicular Technology, vol. 44, n.° 2, pp. 313-317, May 1995. [ Links ]
[15] M. FEISTEL, A. BAIER, "Performance of a Three-Dimensional Propagation Model in Urban Environments", Sixth IEEE International Symposium on Personal, Indoor and Mobile Radio Communications, pp. 402-407, Sept. 1995. [ Links ]
[16] Z. LIU and W. MENDE, "Modelling Microcellular Radio Wave Propagation", IEEE 46th Vehicular Technology Conference, pp. 1278-1282, Apr.-May 1996. [ Links ]
[17] P.A. THOMAS, S.M. NABRITT and M.A. BELKERDID, "Propagation Models used in Wireless Communications System Design", Proceedings IEEE Southeastcon, pp. 230-233, Apr. 1998. [ Links ]
[18] L. JUAN-LL'ACER, L. RAMOS and N. CARDONA, "Application of Some Theoretical Models for Coverage Prediction in Macrocell Urban Environments", IEEE Trans. on Vehicular Technology, vol. 48, n.° 5, pp. 1463-1468, Sept. 1999. [ Links ]
[19] B.Y. HANCI and I.H. CAVDAR, "Mobile Radio Propagation Measurements and Tuning the Path Loss Model in Urban Areas at GSM-900 Band in Istanbul-Turkey", IEEE 60th Vehicular Technology Conference, pp. 139-143, Sept. 2004. [ Links ]
[20] D.R. BERNAL, C.A. DÍAZ y C.I. PÁEZ, "Software para el análisis de propagación en ambientes urbanos en las bandas de VHF y UHF, Pontificia Universidad Javeriana, 1997. [ Links ]
[21] W.C. LEE, "Mobile Cellular Telecommunications: Analog and Digital Sys- tems". McGraw-Hill Professional, 1995. [ Links ]
[22] IEEE Vehicular Technology Society Committee on Radio Propagation, "Coverage Prediction for Mobile Radio Systems Operating in the 800/900 MHz Frequency Range", IEEE Trans. on Vehicular Technology, vol. 31, n.° 1, Feb. 1988. [ Links ]
[23] J.B. ANDERSEN, T.S. RAPPAPORT, and S. YOSHIDA, "Propagation Measurements and Models for Wireless Communications Channels", IEEE Communications Magazine, vol. 33, n.°1, pp. 42-49, Jan. 1995. [ Links ]
[24] P. SCHNEIDER, F. LAMBRECHT and A. BAIER, "Enhancement of the Okumura- Hata propagation model using detailed morphological and building data", Seventh IEEE International Symposium on Personal, Indoor and Mobile Radio Communications, pp. 34-38, Oct. 1996. [ Links ]
[25] N.C. GONÇALVES and L.M. CORREIA, "A Propagation Model for Urban Microcellular Systems at the UHF Band", IEEE Trans. on Vehicular Technology, vol. 49, n.° 4, pp. 1294-1302, Jl. 2000. [ Links ]
[26] C. TZARAS and S.R. SAUNDERS, "Comparison of Multiple-Diffraction Models for Digital Broadcasting Coverage Prediction", IEEE Trans. on Broadcasting, vol. 46, n.° 3, pp. 221-226, Sept. 2000. [ Links ]
[27] V.S. ABHAYAWARDHANA, I.J. WASSELL, D. CROSBY, M.P. SELLARS and M.G. BROWN, "Comparison of Empirical Propagation Path Loss Models for Fixed Wireless Access Systems", IEEE 61st Vehicular Technology Conference, pp.73-77, May-Jun. 2005. [ Links ]
[28] D. SHEN, Y. YANG and T. Liu, "Physical-statistical Propagation Model for the Land Mobile Communications", Asia-Pacific Conference Proceedings Microwave Conference Proceedings, Dec. 2005. [ Links ]
[29] J.N.C. DE OLIVEIRA, M.S. ALENCAR , V.C. DA ROCHA Jr. and W.T.A. LOPES, "A New Propagation Model for Cellular Planning", International Telecommunications Symposium, pp. 35-37, Sept. 2006. [ Links ]




















































