Services on Demand
Journal
Article
Indicators
-
Cited by SciELO -
Access statistics
Related links
-
Cited by Google -
Similars in
SciELO -
Similars in Google
Share
Ingeniería y Desarrollo
Print version ISSN 0122-3461On-line version ISSN 2145-9371
Ing. Desarro. vol.29 no.2 Barranquilla July/Dec. 2011
Flujo de potencia óptimo reactivo descentralizado y coordinado en sistemas eléctricos de potencia multiárea
Coordinated-Decentralized Optimal Reactive Power Flow in Multi-Area Electric Power Systems
Julio César López Q.*
Universidad Estadual Paulista (Brasil)
Jesús María López Lezama** Universidad de Antioquia (Colombia)
José Roberto Sanches Mantovani***
Universidad Estadual Paulista (Brasil)
* Estudiante de doctorado de la Universidad Estadual Paulista (UNESP), Departamento de Ingeniería Eléctrica. jclopezq@yahoo.es
** Profesor auxiliar, Departamento de Ingeniería Eléctrica, Universidad de Antioquia (Colombia). jesusmarialopezl@yahoo.com
*** Profesor asociado de la Universidad Estadual Paulista (UNESP), Departamento de Ingeniería Eléctrica. mant@dee.feis.unesp.br
Correspondencia: Jesús María López Lezama. Universidad de Antioquia, calle 67 n° 53-108, Bloque 19, oficina 430. Teléfono: 574-2195555 fax: 574- 2195555. jesusmarialopezl@yahoo.com; lezama@udea.edu.co
Fecha de recepción: 26 de febrero de 2011
Fecha de aceptación: 14 de septiembre de 2011
Resumen
En este artículo se presenta una nueva metodología para la solución del problema de Flujo de Potencia Óptimo Reactivo (FPOR) en sistemas eléctricos de potencia interconectados multiárea. El principal aporte de este artículo es el uso de una estrategia descentralizada y coordinada que permite mantener autonomía y confidencialidad en los procesos de operación de cada área. En el modelo propuesto de FPOR multiárea, los Operadores del Sistema de Transmisión (OSTs) de cada área operan de forma independientemente, y no necesitan conocer explícitamente los datos de áreas vecinas, siendo solo necesario intercambiar información de frontera relacionada con las líneas de interconexión entre áreas. La metodología propuesta se basa en la aplicación de Programación Lineal Sucesiva (PLS) y el esquema de descomposición por áreas es desarrollado a través del método de Dantzig-Wolfe. Para probar la robustez y eficiencia de la metodología propuesta se utiliza un sistema de tres áreas, cada una de las cuales corresponde a un sistema IEEE de 118 barras. El problema es solucionado de forma centralizada y descentralizada y se obtienen resultados idénticos.
Palabras clave: Flujo de potencia óptimo reactivo, sistemas de potencia multiárea, técnicas de descomposición.
Abstract
This paper presents a novel methodology to solve the problem of Optimal Reactive Power Flow (ORPF) in interconnected multi-area power systems. The main contribution of this paper is the use of a coordinated- decentralized strategy that allows keeping autonomy and confidentiality in the operating processes of each area. In the proposed model of multiarea ORPF the Transmission System Operators (TSOs) of each area operate independently, and do not need explicit information regarding neighbor areas, being only necessary to exchange border information related to the interconnection lines between areas. The proposed methodology is based on the application of Successive Linear Programming (SLP) and the decomposition scheme by areas is developed through the Dantzing-Wolfe method. To show the robustness and efficiency of the proposed approach a three-area system is used, in which each area corresponds to an IEEE118-bus test system. The problem is solved in a centralized and decentralized fashion obtaining identical results.
Keywords: Optimal reactive power flow, multi-area power systems, decomposition techniques.
Nomenclatura
Áreas actual y adyacente respectivamente.
Costos de inyección de potencia reactiva capacitiva (1) e inductiva (2) en la barra k.
Potencia activa y reactiva generada en la barra n.
Potencia activa y reactiva demandada en la barra n.
Conjunto de indices de barras PQ y PV.
Potencia activa y reactiva inyectada en la barra n.
Límite mínimo y máximo de generación de potencia reactiva.
Precio marginal de la potencia reactiva en el área A.
Precio marginal de la potencia reactiva en el área adyacente AA.
Vector de variables de estado.
Límite mínimo y máximo de tensión.
Límite mínimo y máximo de tap de transformadores con control automático de taps.
Límite mínimo y máximo de las fuentes de potencia reactiva.
Incremento de inyección de potencia reactiva ficticia.
Incremento de flujo de potencia reactiva ficticia por los elementos de interconexión.
Incrementos de pérdidas de potencia activa en las líneas de transmisión.
Incremento en la magnitud de las tensiones de la red. Incremento en los ángulos.
Incremento en los valores del vector de variables de estado.
Número total de barras.
Número total de transformadores con control automático de tap.
Vector de barras con inyección ficticia de potencia reactiva.
Conjunto de barras que poseen fuentes de potencia reactiva en derivación (shunt).
Conjunto de barras de frontera con elementos de interconexión entre áreas.
Potencia reactiva capacitiva (1) e inductiva (2) inyectada en la barra k.
Factor de penalidad.
Factor de tolerancia de convergencia del problema reactivo.
Variable de decisión del problema maestro.
Multiplicador de Lagrange asociado a la ecuación de convexidad del problema maestro.
1. INTRODUCCIÓN
El problema de flujo de potencia óptimo reactivo (FPOR) tiene por objetivo realizar el despacho óptimo de las fuentes de potencia reactiva instaladas en un sistema de energía eléctrica. El objetivo principal del FPOR es mejorar el perfil de tensión en las barras del sistema eléctrico y reducir las pérdidas de potencia activa en las líneas de transmisión. Para ello se debe realizar un ajuste óptimo de las variables de control (ajustes de taps en transformadores y potencias reactivas inyectadas por generadores, capacitores e inductores), teniendo en cuenta restricciones de seguridad, operación y calidad del servicio. En la literatura especializada se encuentran diferentes metodologías que abordan este problema. Estudios recientes incluyen el uso de métodos de punto interior [1], lógica difusa [2], técnicas evolutivas [3]-[4] y métodos híbridos [5]-[6]. En este artículo se aborda el problema de FPOR desde una perspectiva descentralizada utilizando una técnica de descomposición. Este tipo de técnicas han sido comúnmente aplicadas al problema de flujo de potencia óptimo (FPO) descentralizado. Entre estas técnicas se destacan la relajación lagrangiana [7]-[8], lagrangiano aumentado [9]-[10] y técnicas basadas en la descomposición de las condiciones de optimalidad de Karush-Kunh-Tucker [11]. Por otro lado, la técnica de descomposición de Dantzig - Wolfe ha sido principalmente aplicada al problema de despacho económico [12]-[13] y al problema de Unit Commitment [14]. Las técnicas de descomposición de Dantzig-Wolfe, relajación lagrangiana y lagrangiano aumentado son métodos de descomposición análogos. Su diferencia principal consiste en la formulación del problema maestro. En general, las técnicas de relajación lagrangiana y lagrangiano aumentado pueden ser vistas como extensiones de la técnica de descomposición de Dantzig - Wolfe para el caso de problemas no lineales.
Los sistemas eléctricos de potencia son operados en cada región por un Operador del Sistema de Transmisión (OST). Cada OST es responsable del manejo y administración de su propio sistema regional, así como también de las transacciones fronterizas con los OSTs de las áreas vecinas. Una gestión óptima de los recursos de potencia reactiva resulta de gran interés, ya que la demanda aumenta de manera constante en el tiempo, y además existen cada vez más restricciones socioeconómicas y ambientales para la construcción de nuevas líneas de transmisión y plantas de generación.
Estas dificultades están induciendo a los OSTs a gestionar interconexiones con sistemas vecinos, que permitan mantener un adecuado nivel de seguridad de los diversos sistemas eléctricos interconectados, a un costo de operación mínimo que facilite autonomía y confidencialidad en los procesos de mercado internos de cada región.
En este artículo se propone una nueva aplicación de la técnica de descomposición de Dantzig-Wolfe al problema de FPOR multiárea. El objetivo del modelo propuesto es proporcionar mecanismos de coordinación para llevar a cabo estudios de despacho de unidades de generación de potencia reactiva en sistemas multiárea de forma descentralizada, maximizando la autonomía y la confidencialidad de cada área y asegurando la economía global del sistema completo. De esta forma, el modelo propuesto considera diferentes OSTs regionales y un coordinador. En este caso se mantiene la confidencialidad de los datos de cada área, siendo solamente necesario intercambiar información referente a las variables de estado en las barras de frontera entre el agente coordinador y los OSTs. El proceso consiste en que cada área o región realiza su despacho óptimo de potencia reactiva de forma individual, los valores de las variables de estado de las fronteras son enviadas al coordinador (problema maestro), quien propone los precios de importación/exportación de potencia reactiva en las barras de frontera, así los operadores del sistema (subproblemas) deciden cuánta potencia reactiva adquirir o vender a estos precios.
2. FORMULACIÓN GENERAL DEL PROBLEMA DE FPOR
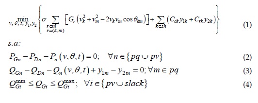
Las ecuaciones (1) - (9) representan el modelo matemático tradicional no lineal del problema de FPOR basado en un esquema de control centralizado [15]:


Donde (1) representa la función objetivo, que consiste en determinar el mínimo costo de inyección de potencia reactiva con el propósito de mantener la operación óptima y factible del sistema; (2) - (3) representan las ecuaciones de balance de potencia activa y reactiva; (4) representa la capacidad de potencia reactiva de los generadores; (5) asegura la operación del sistema manteniendo la tensión en las barras dentro de los límites establecidos; (6) proporciona los límites de taps de transformadores con control automático de taps; (7) - (8) representan la capacidad máxima de potencia reactiva capacitiva/inductiva de las fuentes de potencia reactiva y (9) garantiza que el despacho de potencia activa sea constante durante el despacho reactivo.
El problema (1) - (9) puede ser linealizado en torno de un punto de operación considerando sus variables de control como variables continuas [16]. Las variables de control del problema son asociadas con la potencia reactiva, niveles de tensión de generadores, bancos de capacitores y reactores, capacidad propia de generadores, compensadores síncronos y estáticos. La linealización de las ecuaciones (2) - (3) es obtenida a través de la matriz Jacobiana Reactiva Lc, desarrollada por Carpentier en [17]. Por otro lado, los incrementos de pérdidas de potencia activa están relacionados con los cambios en las tensiones de las barras y pueden ser representados de forma general como se muestra en (10):

El modelo de FPOR linealizado, para un esquema de control centralizado, puede ser representado mediante el sistema de ecuaciones (11) - (19):

3. PROBLEMA DE FPOR MULTIÁREA
El modelo de FPOR lineal centralizado presentado en (11) - (19) es descompuesto y transformado en un modelo de optimización equivalente multiárea. Una condición necesaria para aplicar técnicas de descomposición regional consiste en que tanto la función objetivo como las restricciones sean separables y sus variables puedan ser asociadas únicamente a una región. La metodología de descomposición ocurre en torno de los elementos que interconectan las diferentes áreas del sistema, utilizando generadores ficticios que representen los flujos de potencia reactiva a través de los elementos de interconexión, resultando en la adición de dos nuevas variables por elemento de interconexión 
. Estas variables representan los incrementos en los flujos de potencia reactiva del área A hacia el área AA, y del área AA hacia el área A respectivamente. Este conjunto de variables forman el vector de variables de frontera y son asociados con las áreas A y AA respectivamente, como se muestra en la figura 1:

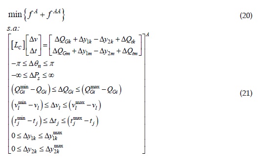
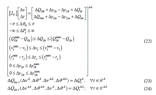
Por lo tanto, con este esquema de descomposición las variables de frontera son duplicadas, resultando en la separación de (11) - (19) en subproblemas de FPOR, formulados matemáticamente como se indica en (20) - (24), donde y fAA corresponden a las funciones objetivo de las áreas A y AA respectivamente.


El problema dado por (20) - (24) es equivalente al problema de programación lineal dado por (11) - (19), con una importante característica, que consiste en la generación de dos restricciones adicionales (23) y (24) que están en función de las variables de los elementos que interconectan con las áreas adyacentes en las barras de frontera.
4. METODOLOGIA
El modelo de FPOR descentralizado propuesto en este artículo es abordado usando el método de descomposición de Dantzing-Wolfe como se describe a continuación.
4.1. Problema de FPOR multiárea: esquema descentralizado
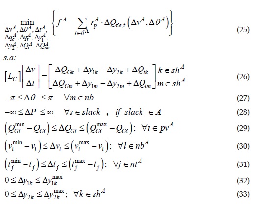
El método de descomposición de Dantzig - Wolfe es apropiado para resolver problemas que contienen restricciones en estructura de bloque angular, comúnmente conocidas como restricciones de complicación. Observando el modelo dado por (20)-(24) es fácil deducir que pertenece a este tipo de problemas. El objetivo de la aplicación del método de Dantzig -Wolfe será relajar las restricciones (23) y (24) con el fin de transformar las restricciones en estructura de bloque angular de la matriz original en una estructura diagonal. De esta forma, el coordinador (problema maestro) se encargará de las restricciones de acoplamiento (23) y (24) y los subproblemas se encargarán de los correspondientes bloques de restricciones, teniendo estos la libertad de controlar sus propios recursos, incluidos los intercambios con los sistemas vecinos. Con la aplicación de las consideraciones antes mencionadas y considerando el modelo previo, el subproblema de FPOR para cada área puede ser formulado como se ilustra en (25)-(33):

Donde la función objetivo representa el costo de inyección de potencia reactiva y de minimización de pérdidas correspondientes a cada subproblema, condicionados además a los precios en la barras de frontera propuestos por el coordinador. Debe mencionarse además que por la estructura del problema, todos los subproblemas pueden resolverse en forma descentralizada (en paralelo). En cada iteración, la estructura del problema es invariante, solo cambian los precios de potencia reactiva importada/exportada en las barras de frontera. Aplicando la descomposición de Dantzig - Wolfe, utilizando los resultados acumulados por los subproblemas y tomando en cuenta las restricciones de acoplamiento, el problema maestro puede ser definido como se ilustra en (34)-(36):

La ecuación (34) consiste en la estimación individual de los costos de cada área más los costos de potencia reactiva importada o exportada. La ecuación (35) asegura la factibilidad global de los incrementos de flujo de potencia reactiva individuales en las barras de frontera. La ecuación (36) es llamada ecuación de convexidad o unificada (una para cada área) y asegura la factibilidad de los resultados individuales en el problema maestro. El problema maestro combina de manera óptima los resultados enviados por los subproblemas y calcula también de manera óptima los precios, mejorando así la economía del sistema completo. En la resolución del problema propuesto, el proceso iterativo termina cuando el criterio de optimalidad del coordinador se cumple. Dicho criterio está dado por (37):

4.2. Algoritmo de solución del FPOR multiárea
El algoritmo de solución del FPOR multiárea se ilustra a continuación:


5. RESULTADOS
Para verificar la eficacia y robustez del modelo propuesto se utilizó un sistema de tres áreas compuesto por tres subsistemas IEEE de 118 barras. El sistema equivalente posee 354 barras, 564 líneas de transmisión, 27 transformadores con control automático de tap, 162 unidades de generación, 42 bancos de capacitores shunt y 6 líneas de interconexión. La barra de referencia del sistema interconectado fue asumida como la misma barra de referencia del subsistema A1. Los datos de las líneas de interconexión se muestran en la tabla 1, en la que el primer dígito de la barra indica el área a la cual pertenece. Las simulaciones fueron realizadas considerando un incremento en la demanda nominal del 30%. Los límites de tensión mínimo y máximo en las barras del sistema fueron considerados en el rango de [0,95 - 1,05] pu respectivamente. Los límites de taps de transformadores con control automático de taps fueron considerados en el rango de [0,9 - 1,1] pu. La simulación fue realizada en una estación de trabajo de 1,8GHz 2GB RAM PC, utilizando el solver comercial CPLEX 23.2 en GAMS y usando una tolerancia
. Para este sistema, el tiempo de cálculo es de 1,87 segundos. Las tablas 2 y 3 muestran los valores resultantes de los taps de los transformadores y el despacho de fuentes reactivas respectivamente. En la tabla 4 se ilustra el intercambio de potencia reactiva entre áreas. El signo en la última columna indica si el área AA está recibiendo o importando potencia reactiva. Por ejemplo, en la fila dos se puede observar que el área A2 está importando 0,552MVAR del área A1 . Dicha importación se hace a través de la línea de interconexión 1116-2001, la cual une el nodo 116 del área A1 con el nodo 001 del área A2. En estos nodos, el valor marginal de la potencia reactiva es de 32,320 y 36,812 $/MVAR, los cuales representan los costos de exportación e importación respectivamente. En las figuras 2, 3 y 4 se ilustra el perfil de tensiones de las áreas A1, A2 y A3 respectivamente. Puede observarse que en todas las áreas los valores de las tensiones permanecen dentro de los límites preestablecidos. Adicionalmente, se obtuvo una reducción en las pérdidas activas de 15,31%, siendo las pérdidas iniciales 5,85, 7,34 y 6,01MW en las áreas A1 A2 y A3 respectivamente y las pérdidas finales 5,09, 5,75 y 5,42MW, para las áreas ya mencionadas, respectivamente.
Para validar los resultados obtenidos con la metodología propuesta se realizó una simulación utilizando un esquema tradicional centralizado, y se obtuvieron resultados idénticos. Los tiempos de cálculo con la metodología centralizada fueron ligeramente menores; esto es de esperarse, dado que en un esquema centralizado no se realiza la coordinación de información entre áreas.







CONCLUSIONES
En este artículo se propone una nueva aplicación del algoritmo de descomposición de Dantzig-Wolfe para la solución del problema de FPOR en sistemas eléctricos de potencia multiárea. El modelo propuesto garantiza la autonomía y confidencialidad en la operación de cada región. En lo referente a autonomía, se garantiza que cada región mantiene el control del planeamiento de la operación con mecanismos de coordinación absolutamente individuales y en completa libertad. En cuanto a confidencialidad, la información local no necesita ser compartida, solo se declara la información sobre potencia reactiva importada o exportada y los costos de operación agregados efectuados en el mercado local. Una de las ventajas de la metodología propuesta radica en el hecho de que permite la coexistencia de diferentes políticas regionales, lo cual es de especial interés en un entorno de mercado eléctrico internacional. La principal ventaja del método propuesto consiste en que se requiere de mínima información de intercambio entre operadores de sistemas interconectados y el agente coordinador.
REFERENCIAS
[1] W. Yan, J. Yu, D. C. Yu, and K. Bhattarai, "A new optimal reactive power flow model in rectangular form and its solution by predictor corrector primal dual interior point method," IEEE Transactions on Power Systems, vol. 21, pp. 61-67, 2006. [ Links ]
[2] B. Venkatesh, M. K. George, and H. B. Gooi, "Fuzzy optimal reactive power flow incorporating UPFC," IEE Proceedings on Generation Transmission and Distribution, vol. 151, pp. 625-629, 2004. [ Links ]
[3] C. H. Liang, C. Y. Chung, K. P. Wong, and X. Z. Duan, "Comparison and improvement of evolutionary programming techniques for power system optimal reactive power flow," IEE Proceedings on Generation Transmission and Distribution, vol. 153, pp. 228-236, 2006. [ Links ]
[4] C. H. Liang, C. Y. Chung, K. P. Wong, X. Z. Duan, and C. T. Tse, "Study of differential evolution for optimal reactive power flow," IET Generation Transmission and Distribution, vol. 1, pp. 253-260, 2007. [ Links ]
[5] W. Yan, C. Y. Chung, and K. P. Wong, "A hybrid genetic algorithm-interior point method for optimal reactive power flow," IEEE Transactions on Power Systems, vol. 21, pp. 1163-1169, 2006. [ Links ]
[6] C. Y. Chung, C. H. Liang, K. P. Wong, and X. Z. Duan, "Hybrid algorithm of differential evolution and evolutionary programming for optimal reactive power flow," IET Generation Transmission and Distribution, vol. 4, pp. 84-93, 2010. [ Links ]
[7] A. J. Conejo and J. A. Aguado, "Multi-area coordinated decentralized DC optimal power flow," IEEE Transactions on Power Systems, vol. 13, pp. 12721278, 1998. [ Links ]
[8] J. A. Aguado, V. H. Quintana, and A. J Conejo, "Optimal power flows of interconnected power systems," IEEE PES Summer Meeting, vol. 2, pp. 814819, 1999. [ Links ]
[9] B.H. Kim and R. Baldick, "Coarse-grained distributed optimal power flow," IEEE Transactions on Power Systems, vol. 12, pp. 932-939, 1997. [ Links ]
[10] R. Baldick, B. H. Kim, C. Chase, and Y. Luo, "A fast distributed implementation of optimal power flow," IEEE Transactions on Power Systems, vol. 14, pp. 858863, 1999. [ Links ]
[11] J. Nogales, F. J. Prieto, and A. J. Conejo, "Multi-area AC optimal power flow: A new decomposition approach," Proceedings on Power Systems Computing Conference. Trondheim, Norway, 1999, pp. 1201-1206. [ Links ]
[12] F. J. Nogales, F.J. Prieto, and A. J. Conejo, "A decomposition methodology Applied to the multi-area optimal power flow problem," Annals of Operations Research, vol. 120, pp. 99-116, 2003. [ Links ]
[13] P. N. Biskas and A. G. Bakirtzis, "Decentralized OPF of large multi-area power system," IEE Proceedings on Generation Transmission and Distribution, vol. 153, pp. 99-105, 2006. [ Links ]
[14] C. B. Somuah and N. Khunaizi, "Application of linear programming redispatch technique to dynamic generation allocation," IEEE Transactions on Power Systems, vol. 5, pp. 20-26, 1990. [ Links ]
[15] S. Granville and M.C.A. Lima, "Application of Decomposition Techniques to VAr Planning: Methodological & Computational Aspects," IEEE Transactions on Power Systems, vol. 9, pp. 1780-1787, 1994. [ Links ]
[16] J.R.S. Mantovani, S.A.G. Modesto, and A.V. Garcia, "VAr Planning Using Genetic Algorithm and Linear Programming," IEE Proceedings on Generation Transmission and Distribution, vol. 148, pp. 257-262, 2001. [ Links ]
[17] J.L. Carpentier, "CRIC, a new active reactive decoupling process in load flows, optimal power flow and system control," Proceedings of IFAC Conference on Power System and Power Plant Control, Beijing, China, 1986, pp. 65-70. [ Links ]













