Services on Demand
Journal
Article
Indicators
-
Cited by SciELO -
Access statistics
Related links
-
Cited by Google -
Similars in
SciELO -
Similars in Google
Share
Ingeniería y Desarrollo
Print version ISSN 0122-3461
Ing. Desarro. vol.33 no.2 Barranquilla June/Dec. 2015
https://doi.org/10.14482/inde.33.2.6451
http://dx.doi.Org/10.14482/inde.33.2.6451
Desarrollo de un indicador de la calidad de atención en Centros de Salud Familiar para la medición de la eficiencia técnica
Development of a quality service indicator for measuring technical efficiency of Family Healthcare Centers
Martha Teresa Ramírez-Valdivia*
Universidad de La Frontera (Chile)
Jennifer Lorena Mendoza-Alonzo**
Universidad de Los Lagos (Chile)
Ana Fabiola Moraga-Pumarino***
Universidad de La Frontera (Chile)
* Profesora asistente A, Directora Magister en Sistemas de Gestión Integral de la Calidad, Departamento de Ingeniería de Sistemas, Universidad de La Frontera (Chile). Doctora en Ciencias de la Ingeniería de la Pontificia Universidad Católica de Chile. martha.ramirez@ufrontera.cl.
** Profesora asistente B, Departamento de Gobierno y Empresa, Universidad de Los Lagos (Chile). Master of Science in Industrial Engineering, University of South Florida. jennifer.mendoza@ulagos.cl.
*** Profesora asistente A, Directora Académica de Pregrado, Departamento de Administración y Economía, Universidad de La Frontera (Chile). Master of Science in Social & Applied Economics, Wright State University. ana.moraga@ufrontera.cl.
Correspondencia: Martha Teresa Ramírez-Valdivia. Avenida Francisco Salazar 01145, Casilla 54 D, Departamento de Ingeniería de Sistemas, Universidad de La Frontera, Temuco (Chile). Teléfono: +56 45 274 4206.
Origen de subvenciones: Este artículo fue financiado por la Dirección de Investigación de la Universidad de La Frontera a través del programa de investigación DIUFRO DI10-0027.
Fecha de recepción: 04 de Junio de 2014
Fecha de aceptación: 10 de Junio de 2015
Resumen
Este trabajo desarrolla y valida un indicador que mide la calidad del servicio en la Atención Primaria de Salud e incorpora los atributos del Modelo de Atención Integral de Salud proveyendo una nueva variable para realizar estudios de Eficiencia Técnica. El indicador se desarrolló con base en una extensa revisión bibliográfica, recopilación de información primaria y secundaria, aplicación de encuestas, grupos focales y juicio de expertos. Está formado por dos elementos: estructura y proceso, definidos por cuatro dimensiones con sus respectivas ponderaciones, consolidándose como un indicador de calidad. Se presentan los resultados del diseño del indicador con base en 259 centros de salud familiar de distintas comunas de Chile; el cual fue posteriormente validado con base en 4 centros, y se obtuvieron valores del indicador iguales 0.461, 0.876, 0.640 y 0.880, respectivamente. El CESFAM, con el valor del indicador más alto, tiene una mejor calidad relativa, debido a la falta de un CESFAM estándar o ideal para comparar. Se concluye que es un indicador válido, pertinente y consistente, de acuerdo con el análisis del Coeficiente de Correlación de Pearson y el Alfa de Cronbach. Estudios posteriores requieren estimar el valor de este indicador a nivel nacional.
Palabras clave: atención primaria salud, calidad servicio, eficiencia, indicador.
Abstract
Using indicators to evaluate the quality of primary healthcare provided by family healthcare centers plays an important role in improving the service and evaluating its performance. The objective of this work is to develop and validate an indicator for primary healthcare quality service in Chile which is also consistent with the Integrated Healthcare Model with Emphasis on the Family and the Community; it also provides a new variable to evaluate Technical Efficiency. It is developed based upon a detailed literature review, gathering of primary and secondary data, survey applications, focus groups and expert opinions. It is made of two elements: structure and process, divided into four weighted dimensions which outcome is one quality indicator. We present the results of the calculation for the designed indicator based on 259 Chilean Familiy Healthcare Centers, which is validated through four centers, obtaining values of 0.461, 0.876, 0.640, and 0.880, respectively. The CESFAM with the highest value has a better relative quality since there is no standard CESFAM to compare. It is concluded the indicator is valid, useful and consistent; the Pearson Correlation Coefficient analysis and Cronbach's Alpha values confirm these results. Further studies require estimating the value of the indicator at national level.
Keywords: efficiency, indicator, primary healthcare provided, quality service.
INTRODUCCIÓN
La toma de decisiones en salud requiere contar con buena información sobre los resultados de las inversiones realizadas y la calidad del servicio. La ausencia de indicadores que midan los resultados de la utilización de los recursos en el contexto de reforma a la salud limita la caracterización productiva del sistema.
La Atención Primaria de Salud -APS-, como eje estructural del Sistema Nacional de Salud, necesita realizar esfuerzos para identificar las causas de las variaciones sistemáticas del desempeño entre las comunas proveedores de este servicio y coadyuvar en la mejora de su gestión y calidad.
Actualmente se evalúan los elementos claves de desempeño en la aps a nivel comunal por medio del cumplimiento de los Índices de Actividad de Atención Primaria de Salud, las Metas Sanitarias y las Garantías Explícitas de Salud -GES-. La gestión del desempeño requiere utilizar activamente estas y otras mediciones para mejorar el servicio que se ofrece, con base en brechas detectadas recientemente y utilizando metodologías de valoración de eficiencia técnica productiva [1].
El uso de dimensiones relevantes, comprensibles y accesibles permite medir los resultados de la utilización de los recursos por medio de variables relacionadas con las dimensiones técnicas y de calidad del servicio. Sin embargo, actualmente no existen en el país indicadores de desempeño que den cuenta de los atributos del Modelo de Atención Integral de Salud y que, a su vez, sean útiles para modelar la eficiencia técnica en la aps.
Según la Organización Mundial de la Salud -OMS-, la APS es la estrategia fundamental para mejorar el bienestar en salud de toda la población. Por tal razón es de gran relevancia valorar el nivel de calidad del servicio ofrecido.
El propósito de esta investigación fue desarrollar un indicador de desempeño útil para valorar la calidad del servicio ofrecido en los centros de APS, que sirva como variable de resultado en estudios de valoración de eficiencia técnica productiva.
Este estudio es de tipo descriptivo-explicativo, y se realizó con base en información recopilada por medio de fuentes primarias y secundarias de 259 centros de salud familiar de distintas comunas de Chile. Partiendo de la hipótesis de que los indicadores de desempeño utilizados actualmente para evaluar la eficiencia técnica de la aps [1] no dan cuenta de los atributos del Modelo de Atención Integral de Salud, se realizó este esfuerzo para entender y evaluar el desempeño y calidad del servicio en el sistema de la aps. Se utilizaron técnicas cualitativas para identificar variables relevantes que permiten desarrollar un indicador consensuado para monitorear el desempeño de la calidad del servicio en la aps.
ANTECEDENTES Calidad en la salud
En el sector salud es complejo valorar la calidad del producto "atención o cuidado de la salud"; para este producto no existe un mercado en el sentido tradicional, no es posible asociarle un "precio". Una persona que solicita un servicio clínico espera obtener como resultado una mejora en su estado actual de salud. Es difícil evaluar el resultado del proceso (e.g., la mejora en el estado de la salud) y el efecto que tuvo el servicio brindado en el corto plazo. Esto se debe a que el proceso generador del producto "atención de la salud" no es el único determinante en el resultado.
El valor agregado que la atención de salud ofrece como "producto" se clasifica en tres categorías: (i) la calidad del servicio o satisfacción del paciente más allá del efecto de la salud; (ii) la percepción del usuario de la salud adicional que adquiere; (iii) el desempeño. Esto dificulta la "medición" real del resultado de quien solicita atención médica, debido a: (i) la heterogeneidad de los usuarios del servicio, cuya salud puede verse afectada por variables externas -estilos de vida, medio ambiente, dotación genética y biológica-; (ii) la dificultad de medir el valor agregado de la atención médica -no es posible observar el estado de salud previo a la atención o conocer los efectos de no realizar procedimientos médicos-; (iii) las condiciones posteriores al proceso de atención -autocuidado, seguimiento del tratamiento, etc. -; (iv) la recopilación de información, ya que un registro completo del resultado del proceso de atención de cada paciente puede tomar varios años, siendo utópico y poco práctico esperar años para evaluar el desempeño. Además, la recolección de este tipo de información generaría costos excesivos para el sistema público de salud. Por tanto, es común y necesario utilizar mediciones intermedias generadas en el proceso; e.g., la cantidad y el tipo de actividades que se realizan durante la atención del paciente, como proxies de los resultados.
Atención primaria de salud
Varios estudios sugieren que en igualdad de condiciones los países con sistemas de salud con una sólida orientación a la APS suelen obtener resultados en salud mejores y más equitativos, son más eficientes, tienen costos de atención más bajos y logran mayor satisfacción del usuario que aquellos sistemas de salud con escasa orientación hacia la aps [2]-[4].
Chile puede considerarse uno de los países en que la APS ha contribuido a una mejor situación en salud y un menor gasto en este rubro. Registra la menor tasa de mortalidad materna en Latinoamérica y la tercera más baja en toda América, después de Canadá y Estados Unidos [5]. Asimismo, se sitúa en una posición similar a Canadá, Cuba, Estados Unidos y Costa Rica en lo referente a la mortalidad en menores de 5 años. En cuanto a la esperanza de vida, lidera el índice en América del Sur tanto en hombres como mujeres, con 77.1 y 82.7 años, respectivamente [6].
Estos índice deben mantenerse y/o mejorarse en base al Modelo de Atención Integral con Enfoque Familiar y Comunitario, aprobado en la última Reforma de Salud, el cual se compone de [7]: enfoque bio-psicosocial; centrado en la familia; población a cargo; sectorización; equipo de cabecera por cada 5000 pacientes inscritos -asistente social, enfermero(a), matrón(a), médico, técnico(a) paramédico-; equipo transversal por cada 10 000 pacientes inscritos -kinesiólogo(a), nutricionista, odontólogo(a), psicólogo(a)-; énfasis en la promoción y prevención; mirada transdisciplinaria; continuidad de la atención de los cuidados; resolutividad.
Valoración de la calidad de la salud
Definir "calidad" en la atención en salud es complejo, debido a su perspectiva multidimensional. Donabedian [8] la define como
[...] el grado en que los medios más deseables se utilizan para alcanzar las mayores mejoras posibles en la salud. Como las consecuencias de la atención se manifiestan en un futuro que frecuentemente resulta difícil de conocer, lo que se juzga son las expectativas de resultado que se podrían atribuir a la atención del paciente.
Por esto, para cuantificar y evaluar las diferentes dimensiones del estado de salud se utilizan indicadores. La calidad y utilidad de estos indicadores requiere que posean validez -si efectivamente miden lo que intentan medir-y consistencia interna; además, que estos, vistos solos o en grupos, generen valores que sean posibles, coherentes y no se contradigan.
Donabedian [10] sugiere estimar los atributos a través de la valoración de su estructura, proceso y resultado, bajo el supuesto de que una buena estructura incrementa la posibilidad de un buen proceso, y este último, la posibilidad de un buen resultado.
Estructura son aquellas características relativamente estables de los centros de salud y tienen como objetivo facilitar la atención. Proceso son las actividades que ocurren en la interacción entre los profesionales y los pacientes. Resultado son aquellos cambios en el estado de salud actual o futuro de las personas o comunidades, positivos o negativos, atribuibles a la atención en salud previa o actual, siendo de difícil valoración.
Asimismo, Ramírez-Valdivia et al. [1] afirman: "[...] medir los resultados de la actividad de un sistema de salud es una tarea compleja. Los resultados médicos a largo plazo e indicadores a nivel de los pacientes no se encuentran disponibles". Sin embargo, Pinillos [11] expresa que
[...] una forma de superar este inconveniente es suponer que es más probable que una buena estructura y un buen proceso lleven a un buen resultado que en caso contrario y, mientras no sea posible valorar el resultado en términos de salud, se debe estimar la calidad del producto de la atención primaria mediante el análisis de la calidad de la estructura y del proceso, exclusivamente.
Valoración de la eficiencia técnica en la atención primaria de salud
La inexistencia de un mercado competitivo en la salud pública requiere de la regulación del sistema por medio de mediciones comparativas de desempeño. Esta tarea se aborda eficazmente a través de la valoración de la eficiencia técnica productiva, la cual depende de la definición del resultado al proveer el servicio.
Murray et al. [12] consideran que tal valoración debe realizarse sobre la base de indicadores que relacionen el logro de metas con los recursos disponibles y permitan caracterizar coherentemente el sistema. La ausencia de mediciones de ciertas variables relevantes en la forma de indicadores limita este cometido y, por ende, la generación de evidencia para tomar decisiones en políticas de salud.
Un indicador facilita el análisis de datos y tendencias sobre los cambios que se producen en un determinado aspecto y permite observar una situación y las tendencias o cambios generados en relación con ciertos objetivos. Es útil para: evaluar la gestión, identificar áreas de mejora, realizar ajustes en metas y objetivos, apoyar la toma de decisiones y comunicar resultados de forma compacta. Sin embargo, no es típico que los indicadores de salud relacionen los recursos con los resultados [13]. Esto ocasiona que la mayoría de las veces tales indicadores resulten inadecuados para estudios de valoración de eficiencia.
Ante la falta de indicadores no se recomienda utilizar aquellos desarrollados en otros países, sino generarlos acorde con las necesidades detectadas y según el uso que se les dará. Estos deben ser desarrollados siguiendo criterios uniformes relacionados con las metas del Sistema Nacional de Salud.
Estudios preliminares detectaron la necesidad de incorporar nuevas variables en forma de indicadores de calidad en los modelos de evaluación de Eficiencia Técnica. Los estudios de valoración de eficiencia en la salud se han concentrado en aplicaciones a hospitales públicos y privados [14], [15].
Respecto a la APS, la investigación es más bien escasa [11], [16]-[22]. Estos estudios han utilizado como variables de insumo o resultado aquellas disponibles en las bases de datos (e.g., cantidad de staff, número de controles, o costos asociados), limitando así el análisis. El desarrollo de indicadores que puedan incluirse como variables de interés al estudio no ha sido abordado previamente. La utilización de fronteras no paramétricas, como la usada por el Análisis Envolvente de Datos -AED-, se considera idónea para ser aplicada al sector público; y se recomienda su empleo para encontrar debilidades en el sistema y definir estrategias o políticas orientadas a incrementar su nivel de eficiencia [23].
La reciente utilización de aed por la oms para comparar la eficiencia técnica de los sistemas de salud de los países miembros [21], así como su utilización por varios autores a nivel internacional, avalan la utilización de esta herramienta y la forma de abordar el tema.
Como ya se mencionó, en Chile se mide el desempeño de la aps por medio del cumplimiento de los Índices de Actividad de Atención Primaria, las Metas Sanitarias y las actividades de las ges. Estas mediciones incorporan algunos atributos del Modelo de Atención Integral de Salud. A nivel internacional se han desarrollado indicadores para las actividades de la aps [24]-[28].
La inclusión de una variable que mide la calidad del servicio desde el contexto del proveedor como resultado del proceso provee un nuevo enfoque a la estimación tradicional de la eficiencia técnica en la aps.
Partiendo de la hipótesis de que los indicadores de desempeño utilizados actualmente para evaluar la Eficiencia Técnica de la aps [27] no dan cuenta de los atributos del Modelo de Atención Integral de Salud: centrado en las personas, integralidad de la atención y continuidad del cuidado, en este estudio se hizo un esfuerzo mayor por entender y evaluar el desempeño y calidad del sistema.
Metodología
Descripción de la población
Este estudio es del tipo descriptivo-explicativo. Para elaborar el indicador se utilizó información de la población bajo estudio, correspondiente a las 259 comunas a nivel nacional que poseen datos válidos para estimar un puntaje de eficiencia técnica productiva con base en resultados de 2010.
Definición y selección de la muestra
Para validar el indicador de calidad desarrollado, dado que no existen criterios ni reglas para definir el tamaño de la muestra en estudios cualitativos, esta se determinó con base en las necesidades de información, guiándose por el principio de saturación de datos, es decir, hasta el punto en que la información que se obtiene empieza a ser redundante. Por esto, se realizó un muestreo intencionado a personal que labora en aps en las comunas -municipalidades- del país y que tiene una responsabilidad directiva específica para validar los resultados obtenidos de las consultas realizadas en relación con los elementos que se van a incorporar para estimar el indicador. Posteriormente se trabajó en un caso de estudio con cuatro centros de salud familiar -cesfam- de la ciudad de Temuco para la aplicación y estimación de valores para el indicador. Cada cesfam atiende la población inscrita sin discriminación de género, edad, ni condición social. Estos cesfam fueron seleccionados con base en la disposición de proveer la información completa de las variables requeridas no disponibles a través del Ministerio de Salud -minsal-.
Técnicas de recolección de información
En primer lugar se tomó como base un estudio de Eficiencia Técnica de la aps realizado por Ramírez-Valdivia et al. [1]. Posteriormente se utilizó un método cualitativo con técnicas de grupos focales y entrevistas para identificar los factores que los expertos y profesionales que laboran en la aps consideran importantes de incluir -validación por expertos-. Para esto se realizó un proceso de consenso y opinión de expertos, coordinando las relaciones y la comunicación entre los participantes -investigadores, autoridades sanitarias, proveedores de aps, otros interesados-. Las entrevistas se realizaron de forma presencial, telefónica o vía correo electrónico según la disponibilidad de los participantes.
Proceso de toma de datos
La información primaria se obtuvo de dos fuentes: (i) grupos de discusión o grupo nominal entre los investigadores y las autoridades del minsal que laboran en el Departamento de Atención Primaria. Esto permitió identificar y priorizar indicadores que caracterizan mejor el proceso de aps que puedan ser utilizados en la evaluación del desempeño.
El uso de grupos de discusión requirió incorporar, como factores a priori, algunos indicadores representativos de dimensiones definidas como áreas prioritarias de desarrollo en la aps y la evidencia de la literatura revisada, a saber: accesibilidad, continuidad, resolutividad, prevención y promoción, satisfacción usuaria y participación comunitaria. Este grupo generó evidencia para diseñar un borrador preliminar de indicadores.
Con la información resultante de los grupos de discusión, la cual fue grabada y transcrita, se realizó un análisis del contenido, del cual surgieron los elementos para desarrollar los indicadores preliminares. Las categorías a priori utilizadas fueron: criterios de evaluación de la aps, concepto de Eficiencia Técnica que manejan los tomadores de decisiones y acuerdos; (ii) entrevistas y/o sesiones de consulta con directores comunales y otros involucrados en la provisión del servicio -e.g., directores de cesfam- como parte del proceso de creación de consenso. Para esto se diferenciaron las comunas según criterios de: (i) ubicación -rural/urbano- e (ii) tamaño -pequeño/grande-.
Se inició con el proceso de entrevistas, tomando como referencia aquellas comunas con mayor/menor población inscrita validada en los estratos urbano y rural. Según las categorías emergentes a lo largo del estudio y basados en las necesidades de información detectadas en los primeros resultados, se amplió el número de entrevistas según fue necesario con el fin de incluir la experiencia de otros expertos y validar los resultados. Se garantizó a los participantes la confidencialidad de las entrevistas, previa firma del consentimiento informado.
Concluido el proceso de entrevistas personales, se complementó el estudio con un proceso Delphi de dos rondas en el que los involucrados -expertos-realizaron una valoración del tipo Likert de 5 puntos. Los indicadores que alcanzaron un consenso positivo durante las rondas del proceso constituyen parte del conjunto final de indicadores.
Respecto a la información secundaria, esta se obtuvo de bases de datos nacionales -e.g., Dirección de Estadística e Información en Salud, Fondo Nacional de Salud, Sistema Nacional de Información Municipal. Con esta información se contrastó lo existente con la necesidad identificada en los modelos de eficiencia. Finalmente, se realizó una prueba piloto con cuatro cesfam de la comuna de Temuco con el fin de identificar dificultades en la recolección de información que se iba a utilizar en el indicador.
Análisis de datos
El proceso de análisis de datos se realizó en tres fases. La primera fase incluyó la planeación y evaluación de la información necesaria. Para esto, luego de contactar telefónicamente a los responsables de los cesfam en las 259 comunas, se envió una carta explicativa informando sobre el alcance del proyecto y la participación requerida. La información recibida fue compilada y resumida en un documento borrador. La segunda fase requirió la definición de requerimientos y análisis de brechas, así como la priorización de áreas de desarrollo, en la cual, luego de reuniones de análisis y consenso de las variables que se debían incluir en el indicador, se priorizaron los elementos que se iban incorporar con base en su importancia, disponibilidad de datos y literatura existente. La tercera fase incluyó el desarrollo y refinamiento del indicador, en la cual se envió un cuestionario a cada uno de los participantes con el fin de validar su utilidad y realizar ponderaciones a las variables de consenso.
Sus dimensiones se analizaron con base en tres aspectos relacionados entre sí: (i) las características y estrategias que operativizan al Modelo aplicado en los cesfam; (ii) la información cuantitativa disponible; (iii) el método para valorar la calidad en la atención en salud de Donabedian [8].
La definición de las variables finales incorporados en el instrumento de evaluación es resultado del consenso del equipo de trabajo, así como sus dimensiones, ponderaciones y forma de medición de cada subindicador.
Se analizó la validez del indicador por medio de técnicas de Correlación de Pearson y su consistencia interna por medio del Alfa de Cronbach estandarizado (ecuación 1).
En la ecuación 1, m representa el número ítems (subindicadores) y p la media de las correlaciones lineales en valor absoluto entre cada uno de los ítems.
RESULTADOS Y DISCUSIÓN Dimensiones del indicador
De conformidad con lo propuesto por Donabedian [10] y Pinillos [11], y tomando en consideración los requerimientos del Modelo de Atención Integral con Enfoque Familiar y Comunitario, se desarrolló un indicador compuesto por dos subindicadores de estructura y proceso. Cada dimensión cuenta con sus respectivas dimensiones y ponderaciones. Como resultado se obtuvo para cada cesfam un valor único o indicador de la calidad válido y factible de utilizar como variable de resultado en estudios de eficiencia técnica de la APS chilena.
La tabla 1 presenta las dimensiones D1 y D2 junto con los subindicadores y sus ponderaciones utilizadas para medir la estructura del sistema.
La dotación adecuada del recurso humano y la capacitación continua de los equipos en materia de Salud Familiar favorecen la eficiencia de las prestaciones y contribuyen a que el equipo de salud sea más resolutivo. El factor capital apoya la labor de los equipos de salud; este debe ser manejado adecuadamente, acorde con los programas de salud y en función de una mayor capacidad resolutiva posible. En cuanto al espacio físico, los cesfam deben contar con una planta física adecuada para realizar satisfactoriamente las actividades que contemplan los programas de salud: cantidad adecuada de boxes de atención con capacidad de recibir a más de un miembro de la familia simultáneamente, salas multiuso con capacidad de realizar actividades grupales y comunitarias, y salas de trabajo para que el equipo de salud pueda desarrollar capacitación y docencia [29].
Otro factor que satisface la estructura del cesfam es el transporte del cual disponen; un número apropiado de vehículos conlleva un mayor número de visitas a terreno, lo cual mejora el acceso de la población.
La relación entre estructura y calidad se origina en que algunas deficiencias del proceso pueden estar al menos parcialmente explicadas por problemas de estructura.
Respecto al proceso, este se compone de dos dimensiones, D3 y D4, desglosadas en subindicadores, como se muestran en la tabla 2.
El análisis de la extensión de uso se realizó teniendo en cuenta que la salud tiene dos componentes básicos: la protección de la salud y los problemas de salud o enfermedades. El minsal fomenta y desarrolla el primer componente para impedir llegar al segundo. En este contexto, la extensión de uso de las acciones de promoción y prevención coadyuvan a cumplir con los objetivos del Modelo de Atención. Sin embargo, no es posible evitar las consultas por morbilidad completamente, por lo que se debe aumentar la cobertura en prevención y promoción sin que se produzca deterioro en la solución oportuna y eficiente de la demanda por morbilidad [29].
Se incluye la dimensión de resolutividad, puesto que mejorar este aspecto es un resultado esperado con el cambio del Modelo.
La capacidad resolutiva se define como
[...] la posibilidad de dar respuesta a los problemas de salud en cada uno de los establecimientos que compone la red, con el mejor grado de calidad y con los recursos diagnósticos y terapéuticos disponibles. Esto implica, para la APS, la capacidad de resolver sin necesidad de derivar los pacientes a otros niveles de atención y, por lo tanto, en un lugar más cercano a la población, dignificando la atención en salud y creando vínculos permanentes con su población a cargo, que verá satisfecha, en un alto porcentaje sus necesidades de salud [30].
Puesto que la definición de resolutividad expresa que un cesfam es más resolutivo si posee una mayor capacidad de solucionar los problemas sin necesidad de derivar los pacientes a otros niveles de atención, se considera esta perspectiva para valorar la dimensión. Asimismo, se tiene en cuenta lo expuesto en la dimensión de estructura, puesto que una dotación completa y capacitada, junto a una infraestructura adecuada, contribuye a que el cesfam logre ser más resolutivo.
Cálculo del indicador
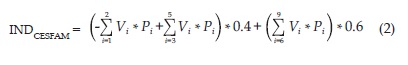
El cálculo del indicador se realiza como indica la ecuación 2:
El primer término de la ecuación 2 representa la medición de la estructura, y lo llamaremos "indicador de estructura - IE", y el segundo término la medición del proceso, y lo llamaremos "indicador de proceso - IP". Los términos correspondientes a V1 y V2 (tabla 1) se restan en la ecuación 2, dado que sus cómputos corresponden a una desviación respecto a un valor fijo de personal recomendado por el minsal, por lo cual en ambos subindicadores idealmente debieran ser igual a 0. Los valores de V3, la dimensión del D2 y la medición del proceso -D3 y D4- son valores positivos en la ecuación 2, dado que son mejores mientras más alto sea su valor relativo. El valor se considera relativo, puesto que frente a la falta de un cesfam estándar o ideal, el indicador debe ser utilizado para la comparación entre diversos cesfam o en el rastreo de las acciones de un mismo cesfam a lo largo del tiempo.
Con base en los resultados obtenidos con el grupo focal se determina una ponderación de un 40 % para la Estructura y de un 60 % para el Proceso, puesto que se considera que la interacción que se produce entre pacientes y equipos corresponde al momento trascendente en la entrega y satisfacción que pueda sentir el paciente con la atención recibida.
Validación del indicador
Se estimó la calidad de la atención en cuatro cesfam de la ciudad de Temuco para verificar el desempeño del instrumento (tabla 3). La comuna de Temuco concentra alrededor del 45 % de la población de la provincia de Cautín, territorio bajo la responsabilidad del Servicio de Salud Araucanía Sur. Por lo tanto, la situación de salud de la comuna de Temuco impacta en forma importante en los resultados de este Servicio.
La validez del indicador se analiza a través del Coeficiente de Correlación de Pearson y la consistencia interna por medio del Alfa de Cronbach. De acuerdo con Pinillos [11], la característica de validez del indicador requiere de un análisis de tres aspectos adicionales: la validez de contenido, la validez de concepto y la validez de criterio.
La validez de contenido se verifica a través de las fundamentaciones del modelo propuesto por Donabedian [8] utilizado en esta investigación y de la opinión de expertos en cuanto a la selección de las dimensiones, ponderaciones y criterios. Para este ámbito se contó con la retroalimentación de un profesional del minsal en la coordinación del desarrollo del Modelo de Atención, específicamente en materia relacionada con la gestión de programas en los centros de APS y Especializada Ambulatoria, y del director de Atención Primaria del Servicio de Salud Araucanía Sur.
La validez de concepto se verifica a través del razonamiento lógico y análisis empíricos que lo corroboren. El análisis lógico se logra suponiendo que una buena estructura aumenta las posibilidades de desarrollar un buen proceso y un buen proceso las posibilidades de un buen resultado. El análisis empírico se ratifica a través de las correlaciones de los valores obtenidos para cada subindicador V1, .. .,V9 respecto a IE y a IP. La tabla 4 muestra los valores para el caso del cesfam 1; los subindicadores V1, .. .,V9 se calcularon utilizando sus respectivas fórmulas y los valores de e se obtuvieron utilizando la ecuación 2.
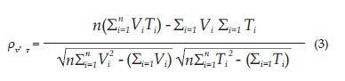
Luego, utilizando la ecuación 3 se correlacionaron cada uno de los subin-dicadores: V1, V2, V3, V4 y V5 con IE y los subindicadores V6, V7, Vg, V9 con Ip (tabla 5).
En la ecuación 3, n representa el número de observaciones de la muestra, a un subindicador del i-ésimo cesfam y T el indicador de estructura o el indicador de proceso del i-ésimo cesfam. En la tabla 5 en general se observan elevadas correlaciones entre estos elementos, lo cual da cuenta que unas y otras valoran el mismo fenómeno.
Por otro lado, el Coeficiente de Correlación de Pearson entre el IE e IP es igual a 0.399, valor que se obtuvo adecuando la ecuación 3; este valor se considera demostrativo de que ambos criterios miden diferentes aspectos de la calidad del servicio. Sin embargo, debido a las características del indicador, es necesario que el indicador de estructura y el indicador de proceso manifiesten cierta relación, porque los fundamentos del modelo utilizados para construir el instrumento señalan que una mejor estructura afecta la realización de mejores procesos.
La correlación entre la variable indcesfam y los indicadores e (tabla 6) es alta -0.712 y 0.945, respectivamente-, lo cual da cuenta que ambos miden lo mismo.
La validez de criterio se determina comprobando si las valoraciones del instrumento de medida guardan alguna relación con algún criterio externo [11], [31], [32]. Este criterio de comparación corresponde a la suma de los subindicadores que lo han definido [11]. Esta correlación también es alta, 0.874 (tabla 6).
La característica de consistencia interna de los indicadores se verifica a través del Coeficiente Alfa de Cronbach. La consistencia interna establece que los valores de los subindicadores vistos individualmente o en conjunto son posibles y no se contradicen. En este contexto, en la tabla 7 se observa la existencia de un buen grado de consistencia interna debido al alto valor del Coeficiente Alfa, tanto para la estructura como para el proceso.
Los centros de APS en Chile comúnmente han sido evaluados en algunos estudios a partir de los resultados obtenidos en programas de salud, lo cual ha resultado en una larga lista de metas sanitarias. Este trabajo presenta una propuesta de indicador que mide el resultado de calidad del servicio de los CESFAM desde la perspectiva del proveedor en un valor único.
El indicador desarrollado en esta investigación tiene ciertas ventajas: (i) permite determinar cuáles son los factores que afectan de forma positiva o negativa la calidad de la atención prestada tomando en cuenta el actual Modelo de Atención Integral utilizado en Chile; (ii) resume en una sola cifra la información proporcionada en las diferentes dimensiones que lo componen, las cuales tienen un significado cuantitativo y cualitativo; (iii) es flexible, puesto que pueden incorporarse nuevas dimensiones; (iv) disminuye el sesgo en la información reportada, dado que cerca del 50 % de los datos arrojados por el indicador -40 % correspondiente a la estructura y aproximadamente 9 % del subindicador V9- pueden ser fácilmente verificados por cualquier entidad del Sistema de Salud; (v) genera una variable que mide la calidad de la APS desde la perspectiva del proveedor, elemento invaluable para futuros estudios de eficiencia técnica, los cuales a la fecha carecen de este componente complejo de medir de forma cuantitativa.
Una implicación de este indicador en la formulación de políticas públicas consiste en que, al estar dividido en estructura y proceso, es posible orientar esfuerzos para mejorar la calidad del servicio de aquellos CESFAM de una comuna que obtengan un puntaje considerablemente inferior a sus pares en uno u otro aspecto, respectivamente. Una limitación del estudio es su aplicación a un caso de estudio en la ciudad de Temuco. Por tal razón, las acciones futuras requieren incorporar una mayor cantidad de comunas al estudio para su estimación.
La definición del indicador requirió contar con apoyo de expertos y realizar actividades de consenso a nivel directivo en los cesfam a nivel nacional, lo cual permitió obtener una propuesta respaldada por un equipo de líderes de la aps en el país usando los elementos "estructura" y "proceso" del modelo de Donabenian [10]. No obstante, debido a las características de la aps, no fue posible incorporar el elemento "resultado" al indicador.
En relación con el tamaño del grupo de expertos no existe en la literatura revisada acuerdo alguno sobre la cantidad de participantes. En este trabajo se contó con grupos de expertos, que variaron entre 5 y 40 personas según la etapa de desarrollo: elaboración de cuestionario, consenso, ponderación, validación y prueba piloto. Esto se considera suficiente, ya que al ser información de tipo cualitativa, la información obtenida de un grupo más numeroso puede ser redundante, considerando que la mayoría de los participantes trabajan en cesfam con características similares.
Para evitar el sesgo debido a la autoprotección de los directivos de los cesfam se contó con la participación de autoridades a nivel local, regional y nacional, dando así mayor credibilidad a los resultados derivados.
CONCLUSIONES
El desarrollo de este indicador que mide la calidad del servicio desde la perspectiva del proveedor incorpora las principales características del Modelo de Atención Integral de Salud-y del enfoque propuesto por Donabedian [10]. Su arreglo asegura medir el cumplimiento de las Metas Sanitarias; consolidado esto en un valor único y cuantificable basado en la literatura nacional e internacional y elaborado en consenso con las autoridades sanitarias. Esta variable de resultado discriminante puede incorporarse a estudios de eficiencia técnica de la aps, lo cual era inexistente previo a este estudio.
El desarrollo y constitución de cada uno de los subindicadores y sus respectivas ponderaciones permitiría reproducir este estudio en comunas similares. En primer lugar, la medición generada por cada subindicador coadyuva a determinar el nivel de cumplimiento de metas y objetivos de cada cesfam. En segundo lugar, la medición provee información de desempeño tanto a los que proveen como a los que reciben servicios, y puede llevar a un aumento en el compromiso del personal del cesfam con sus usuarios. En tercer lugar, la medición generada permite liberar a los administradores de la toma de decisiones sobre detalles operacionales del servicio, dedicando más tiempo al ámbito estratégico. Y en cuarto lugar, la medición de desempeño al estimar la eficiencia técnica permitiría tomar decisiones para una utilización de recursos más efectiva con el fin de implementar soluciones que facilite el monitoreo de metas y objetivos.
Contar con un estándar representa el punto de comparación para el indicador. Así, el diseño de un Centro de Salud "ideal" permite valorar cada centro sin necesidad de realizar comparaciones con establecimientos, es decir, se elimina la competencia negativa entre centros. Por ejemplo, con V1 y V2 se obtienen subindicadores que expresan desviaciones respecto a una dotación aconsejable por el minsal respecto a la cantidad necesaria de personal para un buen desempeño. De igual forma, se recomienda que para los otros subin-dicadores: Capacitaciones del Equipo de Cabecera y Transversal, el Espacio Físico, la Dotación de Vehículos, la Extensión de Uso de las Actividades de Promoción, de Prevención y de Consultas y las Derivaciones a la Red Asis-tencial, se establezcan estándares de comparación. Esto requiere de estudios acabados de acuerdo con los perfiles epidemiológicos, demográficos y de riesgos de la población, tal como el minsal lo ha dispuesto con la Dotación del Recurso Humano. El indicador fue validado a nivel local por medio de un caso de estudio en la ciudad de Temuco utilizando juicio de expertos con representantes del minsal Regionales y a través de una muestra piloto seleccionada para la cual se contaba con información completa relacionada con las variables que se iban a incluir en el indicador.
Los principales desafíos enfrentados por los CESFAM a nivel nacional son: las brechas de información, la heterogeneidad de las comunas y la asociación de incentivos económicos al cumplimiento de indicadores, los cuales son autorreportados. En este contexto, el indicador provee información relevante para elaborar un perfil de la situación de salud a nivel nacional; a futuro es necesario estimar el indicador a nivel país.
REFERENCIAS
[1] M. T. Ramírez-Valdivia, S. Maturana, and S. Salvo-Garrido, "A multiple stage approach for performance improvement of primary healthcare practice", Journal of medical systems, vol. 35, pp. 1015-1028, 2011. [ Links ]
[2] B. Starfield, Primary care: concept, evaluation, and policy. USA: Oxford University Press, 1992. [ Links ]
[3] K. Baicker and A. Chandra, "Medicare Spending, The Physician Workforce, and Beneficiarie'Quality of Care", Health Affairs-Millwood VA then bethesda MA, vol. 23, n° 3, pp. 291-291, 2004. [ Links ]
[4] J. Macinko, F. Guanais, and M. F. Souza, "An Evaluation of the Impact of the Family Health Program on Infant Mortality in Brazil, 1990-2002", Journal of Epidemiology and Community Health, vol. 60, pp. 13-19, 2006. [ Links ]
[5] UNICEF, "Estado mundial de la infancia 2009. Salud materna y neonatal", 2009. [ Links ]
[6] Organización Panamericana de la Salud, "Situación de salud en las Améri-cas: Indicadores básicos 2013", 2013. [ Links ]
[7] Gobierno de Chile, "Modelo de Atención Integral de Salud, Subsecretaría de Redes Asistenciales", 2005. [ Links ]
[8] A. Donabedian, An introduction to quality assurance in health care. Oxford University Press, 2002. [ Links ]
[9] Organización Panamericana de la Salud, "Situación de Salud en las Améri-cas: Indicadores Básicos 2011", 2011. [ Links ]
[10] D. Avedis, "Approaches to assessment: What to assess in evaluating the quality of medical care? ", MilbankMemFundQuart, vol. 44, pp. 167-170, 1986. [ Links ]
[11] M. Pinillos, "Una medida de la calidad del producto de la atención primaria aplicable a los análisis DEA de eficiencia", 2004. [ Links ]
[12] C. J. Murray and J. Frenk, "A framework for assessing the performance of health systems", Bulletin of the world Health Organization, vol. 78, pp. 717-731, 2000. [ Links ]
[13] C. A. Filipe Amado and R. G. Dyson, "On comparing the performance of primary care providers," European Journal of Operational Research, vol. 185, pp. 915-932, 2008. [ Links ]
[14] B. Hollingsworth, "Data envelopment analysis and productivity analysis: A review of the options," Economic Journal, pp. F458-F462, 1999. [ Links ]
[15] B. Hollingsworth, "Non-parametric and parametric applications measuring efficiency in health care", Health care management science, vol. 6, pp. 203-218, 2003. [ Links ]
[16] M. Pinillos and F. Antoñanzas, "Factores determinantes de la Eficiencia de los Centros de Salud". La Rioja (España): Ed. Universidad de La Rioja, 2001. [ Links ]
[17] M. Pinillos and F. Antoñanzas, "La atención primaria de salud: descentralización y eficiencia", Gaceta Sanitaria, vol. 16, pp. 401-407, 2002. [ Links ]
[18] J. Puig-Junoy, "Eficiencia en la atención primaria de salud: una revisión crítica de las medidas de frontera", Rev Esp Salud Pública, vol. 74, pp. 483-95, 2000. [ Links ]
[19] J. Puig-Junoy and E. Dalmau, "¿Qué sabemos acerca de la eficiencia de las organizaciones sanitarias en España? Una revisión de la literatura económica", XX Jornadas de Economía de la Salud, 2000. [ Links ]
[20] A. Giuffrida and H. Gravelle, "Measuring performance in primary care: econometric analysis and DEA", Applied Economics, vol. 33, pp. 163-175, 2001. [ Links ]
[21] A. Nevárez-Sida, P. Constantino-Casas, and F. García-Contreras, "Comparación de la eficiencia técnica de los sistemas de salud en países pertenecientes a la oms", Economía, sociedad y territorio, vol. 7, pp. 1071-1090, 2007. [ Links ]
[22] J. García and E. González, "Aplicación y utilidad del análisis envolvente de datos en la medida de la eficiencia de los equipos de atención primaria de Asturias", XXIV Jornadas de Economía de la Salud, El Escorial, 2004. [ Links ]
[23] R. Dios Palomares, "El Análisis de Eficiencia en el Sector Público mediante Métodos Frontera", 2004. [ Links ]
[24] Webster G, "Indicators for Primary Health Care, Canadian Institute for Health Information", 2005. [ Links ]
[25] J. McDonald, G. P. Davies, J. Cumming, and M. F. Harris, "What can the experiences of primary care organisations in England, Scotland and New Zealand suggest about the potential role of divisions of general practice and primary care networks/partnerships in addressing Australian challenges?", Australian Journal of Primary Health, vol. 13, pp. 46-55, 2007. doi: 10.1071/PY07023. [ Links ]
[26] P. Giesen, M. Willekens, H. Mokkink, J. Braspenning, W. Van Den Bosch, and R. Grol, "Out-of-hours primary care: development of indicators for prescribing and referring", International Journal for Quality in Health Care, vol. 19, pp. 289-295, 2007. DOl:10.1093/intqhc/mzm027. [ Links ]
[27] R. Castro, "Midiendo la eficiencia de la salud municipal", Serie Informe Social, 2006. [ Links ]
[28] D. A. Caplin, J. K. Rao, F. Filloux, J. F. Bale, and C. Van Orman, "Development of performance indicators for the primary care management of pedi-atric epilepsy: expert consensus recommendations based on the available evidence", Epilepsia, vol. 47, pp. 2011-2019, 2006. [ Links ]
[29] Gobierno de Chile, "Modelo de Atención con Enfoque Familiar en la Atención Primaria de Salud", 2006. [ Links ]
[30] Gobierno de Chile, "Programa de Resolutividad en Atención Primaria", Ministerio de Salud, 2008. [ Links ]
[31] J. L. Carrión, Manual de neuropsicología humana, 1995. [ Links ]
[32] S. C. López M, Diseño de Cuestionarios. Nuevo León, México, "Instituto Tecnológico y de Estudios Superiores de Monterrey", 2002. [ Links ]






















