Services on Demand
Journal
Article
Indicators
-
Cited by SciELO -
Access statistics
Related links
-
Cited by Google -
Similars in
SciELO -
Similars in Google
Share
Ingeniería y Desarrollo
Print version ISSN 0122-3461
Ing. Desarro. vol.33 no.2 Barranquilla June/Dec. 2015
https://doi.org/10.14482/inde.33.2.5674
http://dx.doi.Org/10.14482/inde.33.2.5674
Modelos matemáticos y experimentales sobre el secado de biomasa
mathematical and experimental models for drying of biomass
Jorge Armando Villalba Vidales*
Nelson Arzola de la Peña**
Universidad Nacional de Colombia
* Estudiante del Programa de Maestría en Ingeniería Mecánica, Grupo de Investigación en Diseño Óptimo Multidisciplinario, Departamento de Ingeniería Mecánica y Mecatrónica, Universidad Nacional de Colombia. Ingeniero mecánico. joavillalbavi@unal.edu.co
** Profesor asociado, Grupo de Investigación en Diseño Óptimo Mul-tidisciplinario, Departamento de Ingeniería Mecánica y Mecatrónica, Universidad Nacional de Colombia. Doctor en Ciencias Técnicas. narzola@ unal.edu.co.
Correspondencia: Nelson Arzola de la Peña: Cra. 30 n° 45-03, Bogotá, D. C. Tel. (571)316 5000.
Fecha de recepción: 18 de septiembre de 2013
Fecha de aceptación: 25 de abril de 2015
Resumen
El secado de biomasa como proceso previo a la combustión se ha convertido en la actualidad en un factor decisivo para mejorar la eficiencia de dichos procesos en los sectores industrial y residencial. Debido a la creciente importancia de este proceso, los investigadores han desarrollado una gran cantidad de modelos, tanto teóricos como experimentales, que buscan predecir la cinética de secado de diferentes tipos de biomasa. Si bien se han logrado grandes avances en el desarrollo de modelos, aún no existe un modelo unificado que permita predecir los perfiles de temperatura y humedad para diversos materiales. Dichas dificultades se generan fundamentalmente por la amplia diversidad de biomateriales y las grandes diferencias entre los procesos existentes. El propósito de este artículo es brindar una panorámica sobre el estado del arte relativo a modelos, tanto matemáticos como experimentales, utilizados en la actualidad para simular procesos de secado de la biomasa. Asimismo, proponer los elementos fundamentales que deberá poseer un modelo de secado unificado.
Palabras clave: agroindustria, energía, humedad, modelo matemático, secado de biomasa.
Abstract
Drying of biomass prior to combustion process has now a day become a key factor in improving the efficiency of combustion processes in industrial and residential sectors. Given the growing importance of this process, the researchers have developed a large number of models, both theoretical and experimental, looking to predict the drying kinetics of different types of biomass. Although there have been great advances in the development of models, there is still no unified model to predict the temperature and moisture profiles for different materials. These difficulties arise because of the wide range of biomaterials and the great differences existing between processes.
The purpose of this article is to provide an overview of the state of the art on models, both mathematical and experimental, currently used to simulate the drying process of biomass. We also propose key elements must have a comprehensive unified model on this topic.
Keywords: agroindustry, biomass drying, energy, mathematical model, moisture.
INTRODUCCIÓN
La creciente demanda de energía, así como el inminente agotamiento de los combustibles fósiles, ha impulsado el desarrollo de tecnologías que permiten aprovechar fuentes alternativas de energía [1].
Una de las tecnologías más prometedoras como sustituto de los combustibles carbonados de origen fósil es la biomasa. En la actualidad este combustible ocupa la cuarta posición entre las fuentes primarias de energía. La biomasa suministra el 14 % de la energía a nivel mundial y el 35 % en países en desarrollo [2],[1]. Se estima que para 2050 la biomasa podría suministrar el 38 % de uso directo de combustible a nivel mundial y el 17 % de la electricidad mundial [3]. Si se tiene en cuenta que algunas biomasas pueden contener hasta la mitad del poder calorífico del carbón, podrían convertirse en una opción económicamente viable respecto a otras fuentes no convencionales de energía [2]. Ahora bien, el alto contenido de humedad y ceniza en los biocombustibles puede ocasionar problemas de ignición y combustión, menor temperatura de llama; también puede generar problemas de esco-rificación, debido a que la temperatura de fusión de la ceniza tiende a ser baja [2],[4]. Además de poseer una baja eficiencia en los procesos de transformación térmica. Es por esto que el secado de biomasa se hace necesario como proceso previo a la combustión. El secado mejora la eficiencia, facilita los procesos de transporte y almacenamiento, evita degradación, requiere menor limpieza de los gases, entre otras ventajas [5],[4],[6]. El secado es además requisito indispensable antes de la densificación [7], la cual requiere, dependiendo del tipo de biomasa, humedades en base húmeda que oscilan entre el 8 y el 10 % [8].
METODOLOGÍA
La revisión del estado del arte se llevó a cabo en dos fases. En la primera se realizó la actividad exploratoria preliminar, y se identificaron las contribuciones más importantes sobre los procesos de secado de material orgánico, tanto para el sector industrial como el agrícola. En esta fase se clasificaron los modelos empleados con más frecuencia y de mayor impacto para el estudio de la cinética de secado de material biológico. Luego, en la segunda fase, se realizó una búsqueda más exhaustiva usando como base la información recolectada previamente. Se interpretaron y se definieron de manera compacta los modelos matemáticos, los modelos experimentales, las tecnologías empleadas actualmente y sus aplicaciones. La búsqueda se centró principalmente en modelos multivariables usados en investigaciones sobre el secado convectivo y conductivo. Se tuvo un especial interés en los modelos matemáticos propuestos por Luikov y Fick. Las principales fuentes de información consultadas fueron las bases de datos científicas, como Redalyc, Elsevier Science Ltd y Taylor & Francis Group; además de tesis de posgrado y otros tipos de bibliografía especializada.
CARACTERÍSTICAS DE LA BIOMASA
La biomasa se constituye por el material orgánico de organismos vivos, en especial las plantas y subproductos de las mismas. Esta básicamente almacena la energía proveniente del sol [9], transformando los componentes del suelo principalmente a celulosa, hemicelulosa, lignina y pequeñas cantidades de lípidos y proteínas. La lignina es la más abundante, con un 50 % wt de la materia seca [10]. Los tipos de biomasa más comunes son madera, aserrín, bagazo, grasas y residuos agrícolas [11]. Debido a su origen biológico presenta una humedad inicial alta, entre el 50 y el 150 % en base seca [11]. Esta variabilidad depende del tipo de biomasa, lugar de crecimiento, época del año, entre otros factores [12]. Por otra parte, el poder calorífico de la misma varía entre 14 y 21 MJ/kg de materia seca [2]. Hasta el momento, la biomasa es el único sustituto orgánico del petróleo renovable conocido [2].
La biomasa difiere del carbón en varios aspectos, entre los que se destacan: el contenido de material orgánico e inorgánico, contenido de energía y propiedades físicas. Adicional a esto, en comparación con los combustibles sólidos, la biomasa contiene menor carbono, más oxígeno, más silicio y potasio, menos hierro y aluminio, menos poder calorífico, mayor contenido de humedad y menos densidad y una temperatura pico relativamente baja, la cual oscila entre 560 y 575 K [2].
La biomasa es una de las fuentes de energía más antiguas conocida por el hombre, especialmente en áreas rurales; se estima que para el año 2000 solamente Estados Unidos generaba 3500 billones de kWh anuales. Este valor es mayor que los 2500 MWe de energía eólica y también superior a los 2500 MWe de la energía geotérmica [9]. Adicional a esto representa hasta un 15 % del uso industrial de energía [13].
VENTAJAS DEL USO DE LA BIOMASA
Según estimaciones del Panel Intergubernamental para el Cambio Climático, más de la mitad de las emisiones de CO2 equivalentes (3.5 de 6 Gt/año) son originadas por los combustibles fósiles en la generación de energía en el sector industrial [5]. Es por esto que el uso de biocombustibles podría generar un efecto potencial en la reducción de dichas emisiones [2]. El uso de biomasa reduce los costos asociados a la compra de combustibles, las emisiones netas de CO2, CO, NOx y SO2 [9], [14] y las emisiones de metales pesados [9],[6]. La mayoría de la biomasa como combustible tiene un potencial significativamente menor en emisión de polución que la mayoría de carbones [9]. Dado que las emisiones liberadas durante su combustión corresponden a plantas que han sido removidas recientemente, mientras que los combustibles fósiles han capturado el carbono durante millones de años para ser liberado luego en un periodo de varios siglos [9]. La biomasa contiene menos azufre (con frecuencia 1/100 del carbón), menos nitrógeno (menos de 1/5 del carbón) y posee un menor contenido de ceniza [9].
DIFICULTADES DEL PROCESO DE SECADO
Una de las principales desventajas a la hora de secar biomasa es su baja temperatura de autoignición, entre 260 y 280 °C. Lo anterior limita la temperatura máxima del medio de secado, en especial cuando se trabaja con aire. Además, las temperaturas elevadas generan mayores emisiones de material orgánico volátil [11],[13],[15]. Las principales emisiones son mon-terpenes, las cuales se incrementan con temperaturas superiores a 100 °C. Sin embargo, una posible solución es trabajar a temperaturas superiores con tiempos de residencia bajos (<1h) [12]. Los principales materiales condensables son ácidos grasos, ácidos de resina, diterpenes y triterpenes. Aunque estos últimos solo están presentes a temperaturas entre 180 y 220 °C [11]. Adicional a esto, el uso de temperaturas elevadas ocasiona el deterioro del producto [16] y la reducción del poder calorífico del mismo [8].
MODELOS EXPERIMENTALES
Ivanova et al. [7] y Agustun et al. [17] desarrollaron modelos experimentales para el secado hibrido (solar-térmico) de desechos biológicos. El dispositivo de Ivanova et al. [7] constaba de una cámara de secado dividida en tres secciones: una cámara de mezclado de aire, una cámara de secado y un colector solar. Adicional a esto tenía un sistema de respaldo que suministraba calor a través de intercambiadores de calor conectados a una caldera.
Agustun et al. [17] evaluaron un secador combinado, el cual constaba de un colector solar, un lecho rocoso y un horno gasificador de biomasa con un intercambiador de calor. Las pruebas fueron realizadas para secar chile rojo a una temperatura de 60 °C, con un suministro de aire caliente de 90 m3/min.
Rada et al. [15] diseñaron un prototipo de biosecador que aprovecha las reacciones exotérmicas para la evaporación de gran parte del agua presente en los desechos. Durante el proceso experimental realizaron tres muestras diferentes: residuos de uva, aguas residuales (25 %) y desechos municipales, con 25 y 50 % de fracción orgánica, respectivamente.
Por su parte, Rada et al. [18] desarrollaron un modelo teórico-experimental para evaluar la variación del poder calorífico de la biomasa tratada durante el proceso de biosecado.
Inazu et al. [19] estudiaron experimentalmente el efecto de la velocidad del aire en el secado de fideos japoneses. Para ello variaron la velocidad en un rango de 0.5 a 3 m/s, manteniendo constantes la temperatura y la humedad relativa del medio de secado (40 °C y 70 % hr).
Lerman y Wennberg [20] realizaron un estudio experimental del proceso de secado de partículas de madera en pila de dos tipos diferentes (astillas de abeto y aserrín).
Chowdhury et al. [21] efectuaron un análisis experimental de la eficiencia exergética del proceso de secado solar de frutas. Se desarrollaron cuatro procesos experimentales; para cada una de las corridas el equipo fue cargado con 50 kg de "jackfruit juice".
Bengtsson [22] llevó a cabo un estudio experimental de secado en lecho fijo de madera. Para ello usó una unidad experimental, la cual consta de un ventilador centrífugo, un calentador eléctrico y una cámara de secado. La cantidad de agua evaporada fue determinada primero comparando el peso final e inicial de la muestra; también realizó un balance de masa en el flujo de aire de secado. Al igual que Lerman et al. [20], Bengtsson identificó que la transferencia de masa se lleva a cabo en una zona reducida denominada "zona de secado".
Steps et al. [23] llevaron a cabo un estudio experimental para determinar el efecto del secado en múltiples etapas en la eficiencia global en plantas combinadas de generación de calor y potencia.
Frei et al. [24] estudiaron el biosecado termofílico de lodos producidos en la producción de papel con el fin de hacer eficiente su combustión para la generación de vapor.
Como se puede observar, el estudio experimental del secado de biomasa involucra una gran variedad de materias primas, procedimientos y geometrías. Esta variabilidad dificulta la obtención de modelos matemáticos unificados.
MODELOS MATEMÁTICOS
El proceso de secado ha sido empleado por el hombre durante siglos; sin embargo, el modelado de su cinética no es trivial y aún en la actualidad se trabaja en ello. Esto se debe principalmente a la complejidad inherente al proceso simultáneo de transferencia de calor y masa, así como a la complejidad de los compuestos biológicos sobre los que se aplican los modelos [3].
A continuación se presenta una breve revisión de modelos matemáticos que buscan predecir la cinética del secado de material orgánico. Estos modelos pueden clasificarse en dos grandes categorías: mecanísticos y fenomeno-lógicos; los mecanísticos se fundamentan en modelos físicos sólidos y los fenomenológicos se basan en la observación de los modelos físicos.
Modelos fenomenológicos
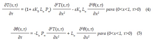
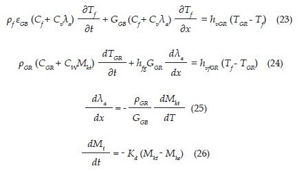
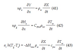
Uno de los modelos fenomenológicos más conocidos es el planteado por Luikov, el cual ha sido empleado en varios trabajos [25]-[28]. En dicho modelo las ecuaciones macroscópicas de transferencia de calor y masa están basadas en el modelo fenomenológico de la termodinámica del no equilibrio. Este modelo relaciona la temperatura, el contenido de humedad y la presión del gas como variables primarias, a través de tres ecuaciones:

Wu et al. [26] modelaron el fenómeno de transferencia de calor y masa durante el secado de mezclas de alimentos. Mientras que Pandey et al. [27] usaron una nueva aproximación para solucionar el sistema de ecuaciones planteado por Luikov. Dicho modelo tiene la particularidad de tener en cuenta las raíces complejas que se generan en la solución. Las relaciones usadas son:

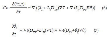
Por su parte, Bouddour et al. [28] usaron el modelo planteado por Vries y Philip, el cual es aplicado exitosamente para describir el proceso simultáneo de calor y masa de amplio rango de medios porosos. Para ello plantean un sistema de ecuaciones acopladas para la transferencia de calor y masa:

Adicional a esto Dong [29] desarrolló un estudio de secado de alimentos y material biológico. En este trabajo se consideró que los efectos de la temperatura y la presión son insignificantes, por lo que el modelo es resuelto asumiendo difusividad constante.
En opinión de los autores de este trabajo, en la actualidad los modelos denominados fenomenológicos son vitales para predecir la cinética del secado de material biológico. Si bien aún presentan diferencias considerables con los resultados experimentales, son de fácil uso y arrojan resultados satisfactorios a la hora de diseñar dispositivos de secado.
Formulación de evaporación distribuida
Data [25], [30] presentó el modelo planteado por Whitaker, el cual parte de las ecuaciones de continuidad de calor y masa para cada fase. Este modelo es usado en el estudio de calentamiento convectivo, calentamiento por mi-croondas, cocción y procesos de freído [31]. Las ecuaciones de conservación para vapor, agua líquida, aire y energía en el medio poroso se escriben como

Por su parte, Bartzanas et al. [32] implementaron dos modelos matemáticos para predecir el secado en el campo de paja. En su trabajo, el modelo de humedad en función del tiempo puede ser determinado a partir de (12) y (13). Estas expresiones fueron resueltas en forma analítica y numérica, respectivamente.

De acuerdo con los autores de este trabajo, los modelos basados en el estudio de los procesos evaporativos presentan ventajas considerables con respecto a los modelos fenomenológicos al estar basados en principios me-canísticos, sin embargo, su principal dificultad consiste en la complejidad de medir experimentalmente las variables que luego son consideradas en el modelamiento.
Modelos basados en la Segunda Ley de Fick
Ciro et al. [33], Srikiatden et al. [34] y Barati et al. [35], [36] basaron sus estudios sobre el secado para diferentes productos utilizando la Segunda Ley de Fick. Esta última es análoga a la ley de conducción de calor de Fourier, y establece que la velocidad de la transferencia de masa a través de una unidad de área normal a la sección es proporcional al gradiente de concentración:

Por su parte, Barati et al. [35] plantearon el modelo para predecir el secado de tablas en pila. En su trabajo emplearon las siguientes ecuaciones para las transferencias de masa y calor:

Los mismos autores [36] plantean dichas ecuaciones, pero esta vez para el secado convectivo de cortes rectangulares de zanahoria, de la siguiente manera:

Por su parte, Ciro-Velásquez et al. [33] formularon un modelo que simula numéricamente el secado de café en capa delgada; para lo cual usaron las expresiones

Srikiatden y Roberts [34] implementaron el modelo para predecir la cinética de secado de muestras cilíndricas de papa y zanahoria, usando para ello las ecuaciones siguientes:

Es notable que a pesar de que los modelos usados se basan en un mismo principio, se evidencian diferencias significativas en el planteamiento de las expresiones que los describen formalmente.
Chauhan et al. [37] formularon un modelo matemático para predecir la cinética de secado en pila de 500 kg de cilantro en lecho profundo. Para ello utilizaron un sistema combinado de colector solar y de lecho rocoso de almacenamiento de energía. El modelo matemático, resumido por (2326), parte de las ecuaciones de transferencia de calor y masa, aplicadas a la cámara de secado y al lecho rocoso:

Los autores de este trabajo consideramos que la importancia de los modelos basados en la Segunda Ley de Fick es marginal, debido a que se usa principalmente para el estudio de secado de elementos individuales. Sin embargo, como una de sus principales ventajas se resalta que es adecuado cuando el principal mecanismo de secado es el difusivo. Por tanto, suele ser aplicada durante el periodo de velocidad decreciente.
Modelos conservativos
En estas investigaciones, el punto de partida son las ecuaciones de conservación de masa, momento y energía.
Chandra y Talukdar [3] y Kaya et al. [38] desarrollaron un modelo para determinar la transferencia de calor y masa de objetos húmedos sujetos a secado convectivo. Una característica importante de este modelo consiste en que realiza estudios independientes en el interior y exterior del objeto de estudio.
Las ecuaciones para el exterior son:

Mientras que las ecuaciones en el interior del objeto son:

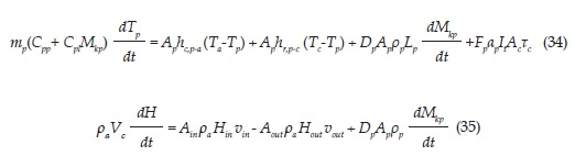
Otro enfoque a los modelos basados en conservación es el planteado por Janjai et al. [39], quienes desarrollaron un modelo teórico - experimental para modelar el secado de chile, banano y café. En este modelo se consideran los balances de energía y masa para cada uno de los componentes del sistema; por ejemplo, el balance sobre el material quedaría expresado por (34 y 35):

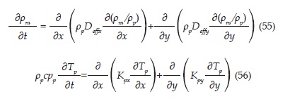
Por su parte, Defraeye et al. [40] estudiaron la influencia de los coeficientes de transferencia de calor y masa en el proceso de secado convectivo. Lo anterior es llevado a cabo mediante la formulación de un modelo conjugado basado en las ecuaciones de conservación, aplicado a la fase sólida (matriz sólida) y a la gaseosa (medio de secado).
Las expresiones para la transferencia de masa, momento y energía quedan como

Mientras que las ecuaciones de balance para la matriz sólida quedan como

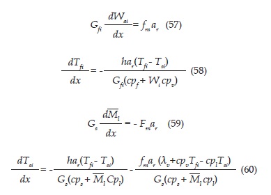
Pang y Mujumdar [11] aplicaron modelos de conservación de masa y energía al estudio de secadores de flujo cruzado y rotativo. Para el secador de flujo cruzado se obtienen las siguientes expresiones:

En este último estudio se puede observar la existencia marcada de dos secciones: la primera de secado constante y una segunda de caída de secado. Estas pueden ser representadas por líneas rectas con un contenido de humedad crítico de 55 %. Por otra parte, el secador rotativo se modeló a través de un sistema de ecuaciones diferenciales parciales. Para ello se asume que el proceso se lleva a cabo en estado estable.
Xu et al. [41] aplicaron el mismo modelo al estudio de un secador rotativo de biomasa de la industria maderera. El modelo fue validado experimentalmente; y se puede concluir que el secado en contracorriente permite mayores reducciones de humedad (hasta el 2 %). Aunque dicha reducción incrementa los riesgos de autoignición debido a las temperaturas relativamente altas del medio de secado. Este modelo es representado de manera compacta por (44-47):


Gigler et al. [42] desarrollaron un modelo dual (matemático - experimental) para predecir la cinética de secado de partículas de sauce, tanto en capa delgada como en pila, el cual es expresado por (48). El equipo para estudiar el secado consiste en una serie de canastas perforadas en el fondo. A través de dichas perforaciones se hacía circular aire a una temperatura constante de 20 °C y una humedad relativa del 60 %. El modelo matemático contiene cuatro ecuaciones de balance acopladas aplicadas al producto y al aire de secado. El sistema es resuelto por el método de diferencias Crank Nicolson para el caso de secado en pila, y por el método de Euler hacia adelante para el secado en capa delgada.
Los autores de este trabajo valoran la importancia del estudio de los modelos conservativos, en la medida que tienen fundamentos físicos y matemáticos sólidos; lo cual es vital cuando se buscan modelos que tengan un mayor rango de aplicaciones. Al igual que los modelos de evaporación distribuida, presentan dificultades a la hora de medir experimentalmente los parámetros usados en el modelo.

Modelos simplificados
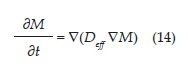
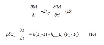
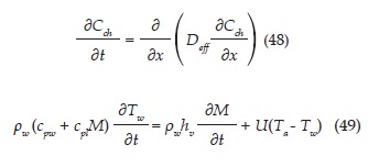
Una forma de facilitar el manejo de las ecuaciones de transferencia de calor y masa, asociados al proceso de secado, es asumir un valor de difusión constante. Dicha característica, denominada difusividad efectiva Deff, representa un valor combinado de la difusión de líquido y vapor. Además, este valor incluye mecanismos de transporte como flujo capilar, flujo de presión, así como cualquier otro posible mecanismo [25].
Este mismo modelo también fue usado por Giner et al. [43], quienes modificaron la expresión con el fin de poderla aplicar a una geometría circular. Este trabajo se desarrolló con el fin de determinar la influencia del número Biot (Bi) en el proceso de deshidratación de manzana y trigo.
La expresión principal para este modelo es

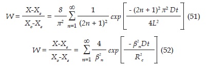
Adicional a esto, Khraisheh et al. [44] y Chemkhi et al. [45] solucionaron analíticamente la ecuación de difusión de Fick bajo condiciones iniciales de frontera específicas. Khraisheh et al. [44] aplicaron el modelo a la determinación la cinética de secado de papa bajo dos geometrías diferentes: cilindro y rebanadas y partiendo de la ecuación básica. La solución analítica para rebanadas está expresada por (51) y para cilindros por (52), respectivamente. Mientras que Chemkhi et al. [45] desarrollaron un modelo equivalente pero para la arcilla.

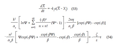
Ruiz y García [46], por su parte, presentan una solución analítica para el estudio del secado de rebanadas de mango en lecho fijo. Dicho modelo parte de la suposición de que el secado es controlado por la difusión y que este proceso ocurre a temperatura constante. Adicional a esto incluyen en la solución la variabilidad del coeficiente de difusión durante el proceso. Las ecuaciones de gobierno son:

También Ruiz y García [46] propusieron en este sentido un modelo experimental para determinar algunos parámetros y verificar los resultados. El material usado para el experimento fue rebanadas de mango. El método de secado seleccionado fue convectivo, usando aire caliente como medio de secado. Durante el proceso experimental se usaron varias temperaturas, manteniendo la velocidad del aire constante.
Sun et al. [47] desarrollaron un modelo matemático asumiendo que la difusión es el único mecanismo de transferencia de masa. Además consideraron que la transferencia de energía se produce únicamente por conducción. Los mismos autores desarrollaron una bomba de secado en pila, que permite el uso de diferentes métodos de transferencia de energía. Dicho proceso fue aplicado al secado de rodajas de papa. Las ecuaciones que contempla este modelo son:

Assis et al. [48] y Lacerda et al. [49] estudiaron el secado de geometrías cilindricas. Assis et al. [48] desarrollaron un modelo teórico - experimental con el cual pretendían verificar la influencia del perfil de velocidad del aire en la cinética de secado. Para esto implementaron un dispositivo cilíndrico de secado empleando como biomasa semillas de soya. Esta instalación física está provista de sensores radialmente distribuidos que permiten determinar la cinética de secado en función del radio. Adicional a esto plantearon un modelo matemático, para el cual partieron de un balance de masa y energía para la fase líquida y sólida, mientras que Lacerda et al. [49] desarrollaron un modelo simultáneo de transferencia de calor y masa en un secador de lecho móvil con flujo paralelo, empleando como material de secado semillas de soja. El modelo está basado en el balance de masa de las fases sólidas y líquidas, de acuerdo con (57-60), y obtuvieron las siguientes expresiones:

Pang y Dakin [16] usaron un modelo basado en un balance entre la capacidad calorífica, los cambios en el medio de secado y los cambios de humedad de la madera:

Estos modelos simplificados, igual que los modelos fenomenológicos, son útiles a la hora de estudiar un determinado proceso de secado para un biomaterial en específico; dicha característica limita sustancialmente la masificación de su uso.
Modelos experimentales
Junmeng et al. [4] desarrollaron un modelo para determinar la cinética de secado bajo condiciones no isotérmicas. Para ello realizaron un análisis gravimétrico controlado por computador. También usaron los resultados experimentales para verificar la precisión de modelos matemáticos comúnmente usados en la literatura (ver tabla 1).
Li et al. [50] presentaron un modelo matemático para determinar la difusividad en condiciones no isotérmicas. Adicionalmente realizaron la validación del modelo mediante un análisis termogravimétrico.
Chavan et al. [51] ejecutaron un diseño experimental orientado al secado de la macarela; y posteriormente procedieron a estudiar un total de once modelos matemáticos con el fin de evaluar cuál se adecuaba mejor a los datos obtenidos experimentalmente.
Por su parte, Mazutti et al. [52] realizaron una investigación sobre la influencia de la fermentación en la cinética de secado de bagazo de caña. Sometieron a secado convectivo diferentes muestras de bagazo (fermentado y no fermentado) con el fin de obtener las curvas experimentales de secado.
Tanto Chavan et al. [51] como Mazutti et al. [52] usaron los métodos estadísticos para determinar cuál de los modelos se ajustaba mejor a los datos experimentales.
En la tabla 2 se listan los modelos matemáticos usados por ambos autores.
En opinión de los autores de este trabajo, estos modelos completamente experimentales se constituyen en una de las herramientas más útiles a la hora de simplificar el estudio de los procesos de secado porque permiten determinar de forma simple y con un grado de precisión aceptable la cinética de secado.
DISCUSIÓN
Existe una amplia variedad de modelos matemáticos para predecir la cinética de secado de diversos materiales. Estos modelos son usados dependiendo del tipo de material, la geometría, la tecnología usada y las condiciones del proceso. Resulta destacable el hecho de que casi la totalidad de los modelos requieren desarrollos experimentales paralelos para ser solucionables. Por un lado, la síntesis de los modelos teóricos tiene como fin tecnológico principal formalizar los resultados experimentales de manera que puedan ser utilizados en procesos de diseño de dispositivos secadores, mientras que, por otro lado, la ejecución de ensayos experimentales busca determinar los parámetros físicos y térmicos necesarios para las soluciones específicas de los modelos teóricos.
También es importante resaltar que entre los modelos existentes en la literatura se pueden encontrar distintos niveles de complejidad. La variabilidad en el grado de dificultad se presenta principalmente por el tipo y número de variables usadas en el desarrollo de dichos modelos. Es por esto que los modelos empíricos, semiempíricos y experimentales buscan a partir de un número reducido de variables (en muchos casos sin ningún significado físico) reducir la complejidad del proceso físico estudiado, sacrificando la aplicabilidad de dichos modelos al estudio de más de un tipo de proceso de secado. Mientras que los modelos conservativos y mecanísticos se fundamentan en el estudio de la física fundamental; razón por la cual involucran un mayor número de variables (en su mayoría con significado físico). Estos modelos incluyen los mecanismos de transporte de la humedad y de transmisión del calor, considerando la naturaleza porosa del medio que se va a secar y su complejidad física y química.
Si bien aún no existe un modelo unificado, se espera que a partir de estos estudios se desarrollen modelos con un mayor grado de aplicabilidad. Sin embargo, estos nuevos modelos matemáticos deberán ser alimentados con información específica de cada tipo de biomasa y su condición (especie, variedad, condiciones de cosecha, preparación pos cosecha, entre otros factores).
En opinión de los autores de este artículo, la síntesis de modelos, teóricos y físicos, para el secado de la biomasa continuará en aumento durante la actual década. La investigación en esta línea se verá impulsada por la necesidad de procesos de secado más eficientes y a un menor costo; y también por el empleo más extendido de los residuos agrícolas y forestales como combustible, como estrategia de protección al medio ambiente y disminución del efecto invernadero.
CONCLUSIONES
La gran diversidad de tecnologías de secado existentes en el mercado, la variabilidad de características físicas y químicas de los materiales que se van a procesar, así como la variación de las propiedades de los mismos durante el secado, dificultan la formulación de un modelo unificado para el estudio del secado. Es por esta razón que algunos de los modelos más utilizados en la actualidad buscan superar dichas dificultades usando valores promedio de las propiedades y modelos empíricos. Sin embargo, desarrollar estudios basados en las teorías fundamentales del proceso de transferencia de calor y masa es vital a la hora aumentar el rango de aplicabilidad de dichos modelos. De esta forma se puede potencialmente reducir los tiempos de desarrollo de nuevas tecnologías de secado.
Nomenclatura

REFERENCIAS
[1] M. Balat and G. Ayar, "Biomass Energy in the World , Use of Biomass and Potential Trends", Energy Sourrces, vol. 27, pp. 37-41, 2006. [ Links ]
[2] A. Demirbaç and M. F. Demlrbaç, "Biomass and Wastes : Upgrading Alternative Fuels", Energy Sourrces, vol. 25, pp. 37-41, 2010. [ Links ]
[3] V. P. Mohan Chandra and P. Talukdar, "Three dimensional numerical modeling of simultaneous heat and moisture transfer in a moist object subjected to convective drying", Int. J. Heat Mass Transf., vol. 53, pp. 4638-4650, 2010. [ Links ]
[4] J. Cai and S. Chen, "Determination of Drying Kinetics for Biomass by Ther-mogravimetric Analysis under Nonisothermal Condition", Dry. Technol., vol. 26, pp. 1464-1468, 2008. [ Links ]
[5] B. Wahlund, J. Yan, and M. Westermark, "A total energy system of fuel upgrading by drying biomass feedstock for cogeneration : a case study of Skel-lefte a bioenergy combine", Biomass and Bioenergy, vol. 23, pp. 271-281, 2002. [ Links ]
[6] G. Svonja, "Drying of grain residues and sludges using biomass fuels", Chem. Eng., vol. 790, pp. 37-39, 2007. [ Links ]
[7] T. Ivanova, B. Havrland, V. Pobedinsky, and A. Muntean, "Analysis of System of Biomass Drying By Use Of Experimental Dryer", Energy Rural Dev., vol. 26, pp. 336-342, 2011. [ Links ]
[8] M. Stahl, K. Granström, J. Berghel, and R. Renström, "Industrial processes for biomass drying and their effects on the quality properties of wood pellets", Biomass and Bioenergy, vol. 27, pp. 621-628, 2010. [ Links ]
[9] E. Hughes, "Biomass cofiring : economics , policy and opportunities", Biomass and Bioenergy, vol. 19, pp. 457-465, 2000. doi:10.1016/S0961-9534(00)00057-X [ Links ]
[10] J. E. White, W. J. Catallo, and B. L. Legendre, "Pyrolysis Biomass pyrolysis kinetics : A comparative critical review with relevant agricultural residue case studies", J. Anal. Appl. Pyrolysis, vol. 91, pp. 1-33, 2011. [ Links ]
[11] S. Pang and A. S. Mujumdar, "Drying of Woody Biomass for Bioenergy : Drying Technologies and Optimization for an Integrated Bioenergy Plant", Dry. Technol, vol. 28, pp. 690-701, 2010. doi:10.1080/07373931003799236 [ Links ]
[12] J. G. Brammer and A. V Bridgwater, "Drying technologies for an integrated gasification bio-energy plant", Renew. Sustain. Energy Rev., vol. 3, pp. 243 - 289, 1999. [ Links ]
[13] H. Li, Q. Chen, X. Zhang, K. N. Finney, V. N. Sharifi, and J. Swithenbank, "Evaluation of a biomass drying process using waste heat from process industries : A case study", Appl. Therm. Eng. , vol. 35, pp. 71-80, 2012. [ Links ]
[14] S. V Vassilev, D. Baxter, L. K. Andersen, and C. G. Vassileva, "An overview of the chemical composition of biomass", Fuel, vol. 89, pp. 913-933, 2010. [ Links ]
[15] E. C. Rada, M. Ragazzi, L. Fiori, and D. Antolini, "Bio-drying of grape marc and other biomass : a comparison", Water Sci. Technol., vol. 60, pp. 10651071, 2009. [ Links ]
[16] S. Pang and M. Dakin, "Drying Rate And Temperature Profile For Superheated Steam Vacuum Drying And Moist Air Drying of Softwood Lumber", Dry. Technol., vol. 17, pp. 37-41, 2007. [ Links ]
[17] M. A. Leon and S. Kumar, "Design and Performance Evaluation of a Solar-Assisted Biomass Drying System with Thermal Storage", Dry. Technol., vol. 26, pp. 37-41, 2008. [ Links ]
[18] E. C. Rada, A. Franzinelli, M. Taiss, M. Ragazzi, V. Panaitescu, and T. Apostol, "Lower Heating Value Dynamics during Municipal Solid Waste Bio-Drying", Environ. Technol., vol. 28, n° 4, pp. 463 - 470, 2007. [ Links ]
[19] T. Inazu, K. Iwasaki, and T. Furuta, "Effect of air velocity on fresh Japanese noodle ( Udon ) drying", Leb. Wiss Technol, vol. 36, pp. 277-280, 2003. [ Links ]
[20] P. Lerman and O. Wennberg, "Experimental method for designing a biomass bed dryer", Biomass and Bioenergy, vol. 35, pp. S31-S39, 2011. DOi:10.1016/j.biombioe.2011.04.033 [ Links ]
[21] M. M. I. Chowdhury, B. K. Bala, and M. A. Haque, "Energy and exergy analysis of the solar drying of jackfruit leather" , Biosyst. Eng., vol. 110, pp. 222229, 2011. [ Links ]
[22] P. Bengtsson, "Experimental Analysis of Low-Temperature Bed Drying of Wooden Biomass Particles", Dry. Technol. , vol. 26, pp. 37-41, 2008. [ Links ]
[23] J. Spets and P. Ahtila, "Improving the power-to-heat ratio in CHP plants by means of a biofuel multistage drying system", Appl. Therm. Eng. , vol. 22, pp.1175-1180, 2002. [ Links ]
[24] K. M. Frei, D. Cameron, and P. R. Stuart, "Novel Drying Process Using Forced Aeration Through a Porous Biomass Matrix", Dry. Technol. , vol. 22, pp. 1191-1215, 2004. [ Links ]
[25] A. K. Datta, "Porous media approaches to studying simultaneous heat and mass transfer in food processes . I : Problem formulations", J. Food Eng., vol. 80, pp. 80-95, 2007. [ Links ]
[26] Y. Wu and J. Irudayaraj, "Analysis of Heat , Mass and Pressure Transfer in Starch Based Food Systems", J. Food Eng., vol. 29, pp. 399-414, 1996. [ Links ]
[27] R. N. Pandey, S. K. Srivastava, and M. D. Mikhailov, "Solutions of Luikov equations of heat and mass transfer in capillary porous bodies through matrix calculus: a new approach", Int. J. Heat Mass Transf., vol. 42, pp. 2649 - 2660, 1999. [ Links ]
[28] A. Bouddour, J. L. Aurialult, and M. Mhamdi-Alaoui, "Heat and mass transfer in wet porous media in presence of evaporation-condensation", Int. J. Heat Mass Transf., vol. 41, pp. 2263-2277, 1998. [ Links ]
[29] X. Dong Chen, "Moisture Diffusivity in Food and Biological Materials", Dry. Technol., vol. 25, pp. 37-41, 2007. [ Links ]
[30] A. K. Datta, "Porous media approaches to studying simultaneous heat and mass transfer in food processes . II : Property data and representative results" , J. Food Eng., vol. 80, pp. 96-10, 2007. [ Links ]
[31] H. Ni, A. K. Datta, and K. E. Torrance, "Moisture transport in intensive microwave heating of biomaterials: a multiphase porous media model", Int. J. Heat Mass Transf, vol. 42, pp. 1501-1512, 1999. [ Links ]
[32] T. Bartzanas, D. D. Bochtis, C. G. Sorensen, A. A. Sapounas, and O. Green, "A numerical modelling approach for biomass field drying", Biosist. Eng., vol. 106, pp. 458 - 469, 2010. [ Links ]
[33] H. Ciro velázquez, L. Abud Cano, and L. R. Pérez Alegría, "Numerical Simulation of Thin Layer Coffee Drying by Control Volumes", Dyna, vol. 77, pp. 270 - 278, 2010. [ Links ]
[34] J. Srikiatden and J. S. Roberts, "Predicting moisture profiles in potato and carrot during convective hot air drying using isothermally measured effective diffusivity" , J. Food Eng., vol. 84, pp. 516-525, 2008. doi: 10.1016/j.jfoodeng.2007.06.009 [ Links ]
[35] E. Barati and J. A. Esfahani, "Mathematical modeling of convective drying : Lumped temperature and spatially distributed moisture in slab", Energy, vol. 36, pp. 2294-2301, 2011. [ Links ]
[36] E. Barati and J. A. Esfahani, "Mathematical simulation of convective drying : Spatially distributed temperature and moisture in carrot slab", Int. J. Therm. Sci., vol. 56, pp. 86-94, 2012. doi:10.1016/j.ijthermalsci.2012.01.003 [ Links ]
[37] P. M. Chauhan and C. Choudhury, "Comparative Performance of Coriander Dryer", Appl. Therm. Eng., vol. 16, pp. 475 -486, 1996. [ Links ]
[38] A. Kaya, O. Aydin, and I. Dincer, "Numerical modeling of heat and mass transfer during forced convection drying of rectangular moist objects", Int. J. Heat Mass Transf., vol. 49, pp. 3094-3103, 2006. [ Links ]
[39] S. Janjai, P. Intawee, J. Kaewkiew, C. Sritus, and V. Khamvongsa, "A large-scale solar greenhouse dryer using polycarbonate cover : Modeling and testing in a tropical environment of Lao People ' s Democratic Republic", Renew. Energy, vol. 36, pp. 1053-1062, 2011. [ Links ]
[40] T. Defraeye, B. Blocken, and J. Carmeliet, "Analysis of convective heat and mass transfer coefficients for convective drying of a porous flat plate by conjugate modelling", Int. J. Heat Mass Transf., vol. 55, pp. 112-124, 2012. [ Links ]
[41] Q. Xu and S. Pang, "Mathematical Modeling of Rotary Drying of Woody Biomass", Dry. Technol., vol. 26, pp. 37-41, 2008. [ Links ]
[42] J. K. Gigler, W. K. P. Van Loon, M. M. Vissers, and G. P. A. Bot, "Forced convective drying of willow chips", Biomass and Bioenergy, vol. 19, pp. 259-270, 2000. doi:10.1016/S0961-9534(00)00037-4 [ Links ]
[43] S. A. Giner, R. M. Torrez, S. Cicuttín, and C. Fiorentini, "The variable nature of Biot numbers in food drying", J. Food Eng., vol. 101, pp. 214-222, 2010. [ Links ]
[44] M. A. M. Khraisheh, T. J. R. Cooper, and T. R. A. Magee, "Transport Mechanisms of moisture during air drying processes", Inst. Chem. Eng., vol. 75, pp. 34 - 40, 1997. [ Links ]
[45] S. Chemkhi and F. Zagrouba, "Water diffusion coefficient in clay material from drying data", Desalination, vol. 185, pp. 491-498, 2005. doi: 10.1016/j.desal.2005.04.052 [ Links ]
[46] M. A. García and I. I. Ruiz - López, "Analytical solution for food-drying kinetics considering shrinkage and variable diffusivity", J. Food Eng. , vol. 79, pp. 208-216, 2007. doi:10.1016/j.jfoodeng.2006.01.051 [ Links ]
[47] L. Sun, R. Islam, J. C. Ho, and A. S. Mujumdar, "A diffusion model for drying of a heat sensitive solid under multiple heat input modes", Bioresour. Technol., vol. 96, pp. 1551-1560, 2005. doi: 10.1016/j.biortech.2004.12.016 [ Links ]
[48] A. J. De Assis, T. S. De Lira, V. V Murata, and M. A. S. Barrozo, "Concurrent Drying of Soybean Seeds : The Effect of Radial Air Profile", in 14th International Drying Synposium (IDS 2004), 2004, August, pp. 640-647. [ Links ]
[49] A. F. Lacerda, M. H. Lisboa, and M. A. S. Barrozo, "Heat and mass transfer in a countercurrent moving bed dryer", Appl. Therm. Eng. , vol. 25, pp. 26412652, 2005. [ Links ]
[50] Z. Li and N. Kobayashi, "Determination of Moisture Diffusivity by Thermo-Gravimetric Analysis under Non-Isothermal Condition" , Dry. Technol., vol. 23, pp. 1331-1342, 2005. [ Links ]
[51] B. R. Chavan, A. Yakupitiyage, and S. Kumar, "Mathematical Modeling of Drying Characteristics of Indian Mackerel ( Rastrilliger kangurta ) in Solar-Biomass Hybrid Cabinet Dryer", Dry. Technol., vol. 26, pp. 1552-1562, 2008. [ Links ]
[52] M. A. Mazutti, G. Zabot, G. Boni, A. Skovronski, D. de Oliveira, M. Di Lucioano, J. V. Oliveira, M. I. Rodrigues, H. Treichel, and F. Maugeri, "Mathematical modeling of thin-layer drying of fermented and non-fermented sugarcane bagasse", Biomass and Bioenergy, vol. 34, pp. 780-786, 2010. [ Links ]














