Services on Demand
Journal
Article
Indicators
-
Cited by SciELO -
Access statistics
Related links
-
Cited by Google -
Similars in
SciELO -
Similars in Google
Share
Ingeniería y Desarrollo
Print version ISSN 0122-3461On-line version ISSN 2145-9371
Ing. Desarro. vol.34 no.1 Barranquilla Jan./June 2016
https://doi.org/10.14482/inde.33.2.6368
http://dx.doi.Org/10.14482/inde.33.2.6368
Transferibilidad geográfica de modelos de generación de viajes urbanos: comparación de modelos de regresión y tasas de viajes para algunas ciudades colombianas
Geographic transferability of urban travel generation models: Comparison of regression models and trip rates for some Colombian cities
Luis Márquez*
Milena Días**
Universidad Pedagógica y Tecnológica de Colombia, uptc
Deisy Ortiz***
Universidad Central del Ecuador
* Magister en Ingeniería con énfasis en transporte, Universidad Pedagógica y Tecnológica de Colombia, Escuela de Ingeniería en Transporte y Vías, luis.marquez@uptc.edu.co
**Especialista en tránsito y transporte, Universidad Pedagógica y Tecnológica de Colombia, Escuela de Ingeniería en Transporte y Vías, milena. diaz@uptc.edu.co
*** Magíster en gestión y logística del transporte multimodal, Universidad Central del Ecuador, djod2008@hotmail.es
Correspondencia: Luis Márquez, Av. Universitaria 42A - 60, Tunja. 3166276714, lgmarquezd@gmail.com
Fecha de recepción: 20 de septiembre de 2014
Fecha de aceptación: 20 de noviembre de 2015
Resumen
La transferibilidad de modelos tiene importantes alcances prácticos ya que la posibilidad de utilizar parámetros estimados en otros contextos para estimar modelos en áreas con pocos recursos o con muestras disponibles muy pequeñas, se constituye en una solución económica para resolver problemas de planificación. Es importante analizar la transferibilidad de modelos de generación de viajes porque si se comprueba la existencia de ciertos patrones de viajes, sería posible ahorrar tiempo y dinero en la aplicación de grandes encuestas de movilidad. Este artículo examina la transferibilidad geográfica de los modelos de generación de viajes con base en encuestas domiciliarias de seis ciudades colombianas. Fueron calibrados modelos de regresión y de tasas de viajes a partir de variables como la tasa de motorización, el estrato socioeconómico y el tamaño del hogar. Se encontró que al comparar modelos agregados como los de regresión lineal resulta más fácil comprobar su transferibilidad entre ciudades, mientras que en el caso de los modelos de tasas de viajes la hipótesis de igualdad no se cumple plenamente debido posiblemente a la variación de la fiabilidad de los valores de las celdas del modelo, especialmente en las clases extremas para las que se tiene poca información.
Palabras clave: estabilidad geográfica de modelos; modelos de generación de viajes; planificación del transporte.
Abstract
The transferability of models has important practical scope because using parameters of other contexts in order to estimate models in areas with few resources or with very small samples available, constitutes an economic solution to solve planning issues. It is important to analyse the transferability of trip generation models because if we verify the existence of certain patterns of travel, we could save time and money in implementing large mobility surveys. This article examines the geographical transferability of trip generation models based on household surveys in six Colombian cities. Regression models and trip rates were calibrated based on variables such as the rate of motorization, socioeconomic status, and household size. We found that when comparing aggregate models such as linear regression, it is easier to check the transferability of parameters between cities, while in the case of rate models travel the hypothesis of equality is not met ever possibly due to the variation the reliability of the cell values of the model, especially in the extreme categories which have fewer observations.
Keywords: Geographic stability; Transportation planning; Trip generation models.
INTRODUCCIÓN
En Latinoamérica los procesos de urbanización de las últimas décadas han venido produciendo un fuerte impacto en la morfología y estructura de las ciudades [1], cuyas principales manifestaciones se pueden resumir así: expansión de los centros de actividad, proliferación de asentamientos marginales, insuficiencia en el suministro de servicios básicos, problemas de congestión de tráfico y polución, entre otros. Estos problemas adquieren especial trascendencia en las ciudades más grandes por la concentración de la población y de la industria, situación que obliga a las autoridades locales a iniciar procesos de planificación para tratar de formular alternativas de solución, tarea que no resulta fácil dada la insuficiencia presupuestal, empeorada habitualmente por el incremento de la deuda pública [1].
En el caso colombiano, el fuerte crecimiento urbano de las ciudades está marcado por patrones de expansión a lo largo de ejes viarios con características de discontinuidad espacial, mezcla de densidades y una fuerte estratificación social en cuanto a localización del territorio se refiere [2]. Este modelo de desarrollo y los problemas de transporte urbano deben ser vistos como fenómenos concomitantes que traen consigo mayores necesidades de desplazamiento e incremento de los tiempos de viaje, siendo cada vez más apremiante la necesidad de planificar.
En términos generales la planificación se puede definir como la disciplina que permite anticipar situaciones futuras y plantear soluciones realizables y factibles [3]; la planificación busca por medio del análisis de la situación actual, obtener soluciones que logren un sistema de transporte que garantice racionalmente la movilidad y la accesibilidad de sus usuarios. Para resolver los problemas de transporte urbano en la práctica, las autoridades de transporte adoptan diferentes estilos de toma de decisiones [4] entre los que se pueden citar: decisiones basadas en planes directores, teoría de la decisión normativa o racionalidad sustantiva, teoría conductual de la decisión, toma de decisiones en grupo, toma adaptativa de decisiones y estrategias mixtas en la toma de decisiones [5]. Al mismo tiempo, las autoridades de transporte, en el intento de satisfacer las necesidades de viaje de personas y movilización de mercancías, deben tomar medidas en distintos horizontes de planificación, cada uno con sus propias particularidades y alcances específicos.
Al respecto, la referencia [6] proporciona una importante lista de preguntas, que también es discutida por Ortúzar y Willumsen [5], y que a su juicio debería ser respondida por cualquier profesional interesado en la modelación de transporte; esta lista abarca desde aspectos generales, como los objetivos subyacentes a la construcción de modelos, hasta temas muy específicos referidos a las técnicas disponibles para la modelación. En ese contexto, es objeto del presente trabajo de investigación examinar la transferibilidad geográfica de modelos de generación de viajes con base en datos provenientes de encuestas domiciliarias.
La idea de examinar la transferibilidad geográfica de modelos de generación de viajes con base en datos provenientes de encuestas domiciliarias, está basada en los siguientes postulados:
Independientemente de la técnica empleada, la calibración de modelos de generación de viajes requiere un proceso de recopilación de datos intensivo y costoso, razón por la cual se ha estudiado con gran interés la posibilidad de transferir tasas y parámetros.
La literatura reporta varios casos de aplicación de modelos de generación fundamentados en los métodos tradicionales de pronóstico de viajes, que toman como insumo las principales características del hogar y de uso de suelo [8]. Estos métodos tradicionales suponen que las tasas de viaje para las mismas familias o tipos de uso del suelo en diferentes zonas son iguales, aunque en la práctica se pueden presentar diferencias significativas debido a la heterogeneidad en los niveles económicos y de uso de la tierra.
En el enfoque tradicional de los cuatro pasos, las predicciones de demanda inician en los modelos de generación de viajes y los pronósticos realizados influyen directamente en los tres pasos subsiguientes; por lo tanto, mejorar la forma como se aborda el problema de generación de viajes es indispensable para mejorar la precisión de los flujos de tránsito en la fase final del modelo [9] y para mejorar las decisiones que puedan tomarse a nivel de operación y de política pública [10].
Así mismo, al examinar la evolución demográfica y el crecimiento de la tasa de motorización en los últimos años se encontró para el caso colombiano que la población ha crecido un 35% mientras que el número de vehículos lo ha hecho en más del 200% [2]. Esto ha ocasionado un incremento de la tasa de motorización del país, de 43.89 vehículos por cada 1.000 habitantes en el año 1988, a un valor de 116.20 vehículos por cada 1.000 habitantes en el año 2007, con una clara tendencia alcista desde el año 2002. Esta tendencia estimula el interés por abordar seriamente procesos de planificación como apoyo a la toma de decisiones en materia de transporte, para lo cual los resultados obtenidos en la presente investigación pueden ser de gran importancia, ya que al comprobar que los parámetros estimados pueden ser transferibles de un contexto geográfico a otro, se podrían conseguir ahorros considerables en toma de información.
MARCO TEÓRICO
En el caso específico de los modelos de generación de viajes, la importancia de analizar su transferibilidad radica en que su comprobación puede sugerir la existencia de ciertos patrones en el comportamiento de los viajes urbanos, que permitirían una reducción sustancial de tiempo y dinero en la aplicación de grandes encuestas de movilidad.
De acuerdo con Ortúzar y Willumsen puede ser más fácil examinar la transferibilidad geográfica en lugar de la transferibilidad (o estabilidad) temporal, ya que no siempre se cuenta con datos de similar calidad en dos secciones temporales diferentes. En cambio, puede ser más fácil conseguir datos de dos contextos geográficos distintos. La misma fuente señala que la transferibilidad geográfica debe ser vista como un atributo importante de cualquier modelo de la demanda de viajes por las siguientes razones:
Sugiere la existencia de ciertos patrones repetibles en el comportamiento de los viajes que pueden ser recogidos y reflejados por los modelos.
Es un indicador de la posibilidad de que también existe estabilidad temporal.
Permite reducir sustancialmente la necesidad de costosas encuestas de transporte a gran escala en diferentes ciudades.
Es importante destacar el hecho de que no todas las características de los viajes pueden ser transferibles entre diferentes ciudades, ya que variables tales como la duración media de los viajes o las tarifas, es obvio que dependen del contexto [5], por ejemplo, la duración media de los viajes dependerá, entre otros factores, del tamaño de la ciudad y de su forma. Ahora bien, la transferibilidad de las tasas de viajes no debe ser vista como una alternativa poco realista ya que sus valores pueden ser comunes a ciertos grupos homogéneos y se puede esperar que sigan siendo estables y geográficamente transferibles dentro de un mismo contexto cultural [5].
De los parámetros del modelo, al ser estimados con información del año base, se espera que se mantengan estables en el tiempo, entre el año de referencia y el horizonte de planificación adoptado o año de diseño. Este supuesto de estabilidad temporal ha sido estudiado, especialmente en el contexto de los modelos de generación de viajes, mediante la comparación de tasas de viajes observadas y coeficientes de regresión calibrados, encontrando normalmente diferencias significativas.
En el ámbito espacial, varios estudios han abordado el problema de trans-feribilidad en cada una de las etapas que definen el enfoque clásico secuen-cial de planificación de transporte. McArthur et ál. [11] estudiaron si los parámetros estimados para un modelo gravitatorio en un área geográfica determinada pueden ser utilizados razonablemente para predecir el patrón de flujos de otras regiones; al observar nueve casos diferentes encontraron que existen diferencias significativas en las predicciones. Trabajos similares han sido adelantados por otros autores [12], [13].
En Asia el análisis de transferibilidad temporal y espacial de modelos de elección modal calibrados en la región de Nagoya y en las tres áreas metropolitanas de Bangkok, Kuala Lumpur y Manila, consideradas las más grandes y congestionadas de Asia, dieron como resultado que aunque existen patrones comunes en las tendencias de viaje no todos los parámetros estimados resultan transferibles espacialmente [14].
Bekhor y Prato [15] examinan la posibilidad de transferir modelos de elección de ruta mediante el análisis de datos acopiados en Boston y Turín, encontrando que no todos los modelos de elección de ruta son transferibles a nivel de la especificación del modelo y que, en general, no son transferibles a nivel de los parámetros del modelo.
En Colombia también ha sido abordado el problema en el contexto de modelos de transporte de carga en una investigación empírica sobre la estabilidad temporal de los parámetros de los modelos de demanda de transporte en el corto y medio plazo, con base en siete encuestas nacionales de origen-destino, encontrando evidencias sobre la presencia de estabilidad temporal, tanto en los modelos de generación de carga (producción y atracción) como en el modelo de distribución [16].
METODOLOGÍA
El trabajo de investigación para estudiar la transferibilidad geográfica de modelos de generación de viajes se basó en información de encuestas domiciliarias realizadas en Colombia, en las ciudades de Barrancabermeja
(2005), Bogotá (2005), Cajicá (2010), Manizales (2000), Pasto (2005) y Tunja
(2003). Estas encuestas miden habitualmente varios atributos del sistema de actividades, del sistema de transporte, del medio ambiente, de los hogares y de los individuos; casi siempre la medición se hace en forma homogénea puesto que las técnicas utilizadas siguen los lineamientos del manual para estudios de origen y destino de transporte de pasajeros y mixto en áreas municipales distritales y metropolitanas, adoptado por el Ministerio de Transporte de Colombia mediante la reglamentación, situación que facilita los análisis comparativos entre ciudades.
En primer lugar se hicieron comparaciones generales entre los principales indicadores que permitieron caracterizar cada ciudad en los ámbitos demográfico, geográfico y de movilidad. Buena parte de los atributos considerados en el análisis fueron extraídos directamente de las encuestas domiciliarias ya mencionadas, aunque algunos indicadores demográficos y socioeconómicos fueron tomados de los datos censales reportados por el Departamento Nacional de Estadística, no solo con fines de caracterización, sino como fuente primaria de validación de las variables principales.
Las encuestas fueron procesadas teniendo el cuidado de identificar correctamente los viajes basados en el hogar, para establecer las zonas productoras y atractoras de viajes, con el fin de obtener el número total de viajes generados por los hogares de cada zona. Una vez procesadas las encuestas se construyeron modelos de generación de viajes, utilizando técnicas de análisis por categorías y regresión lineal, tratando de explicar los viajes producidos por hogar en función de variables socioeconómicas asociadas a los hogares tales como el tamaño del hogar, tasa de motorización y estrato socioeconómico, como una aproximación razonable al ingreso. La tabla 1 muestra la manera como se conformaron las categorías para la estimación de modelos.
Debido a que en general no hay un modo eficiente para elegir las variables de clasificación o para elegir la mejor clasificación de cada variable [5] se propuso un sistema de clasificación por percentiles para todas las ciudades en conjunto, para garantizar un número adecuado de hogares en cada categoría y tratar de minimizar la desviación estándar de la distribución de frecuencias en cada clase.
Para calcular las tasas correspondientes a cada celda se utilizó el método estándar [5] que consiste en asociar los hogares, en los datos de calibración, a cada una de las celdas y calcular el número de viajes observados. La obtención de las tasas de viajes se hizo para un único motivo de viaje general, evaluando la ecuación (1)
Donde,
tp(h): tasa de viajes
Tp(h): número de viajes
H(h): número de hogares
Luego se procedió a la estimación de modelos de regresión lineal múltiple. El análisis de estos modelos consideró la racionalidad de signos, el tamaño del intercepto, la significancia estadística de los coeficientes estimados e indicadores de bondad de ajuste como el coeficiente determinación y la prueba de Fisher. Se verificó que los signos de los parámetros estimados fuesen razonables con relación al efecto esperado de la variable sobre la producción de viajes. La significancia estadística se evaluó con una confianza del 95%. En todos los casos se mantuvo el intercepto, buscando que estuviese en términos relativos cercano al origen.
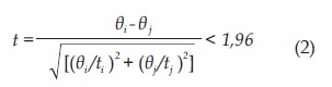
Los modelos de regresión lineal fueron estimados para las mismas variables utilizadas en los modelos de análisis por categorías. El estrato socioeconómico fue tratado como una variable muda que tomó el valor 1 para los estratos medios y altos (3 a 6) y 0 en el caso de los estratos bajos (1 y 2). Al igual que en la verificación de los modelos de análisis por categorías, los mejores modelos de regresión lineal fueron objeto de exámenes de transferibilidad, aplicando pruebas de igualdad de parámetros a partir de la formulación de hipótesis estadísticas. La evaluación de la diferencia absoluta entre los coeficientes de modelos en dos contextos diferentes, fueron calculados los estadísticos t y por lo tanto, si se satisface (2) la hipótesis nula de que la diferencia es 0 no puede ser rechazada a un nivel del 95% [5]:

Donde,
0: cada uno de los coeficientes
t: valor de la distribución t de student
i: contexto original
j: contexto nuevo
RESULTADOS
Como se muestra en la Tabla 2, fueron estudiadas áreas urbanas con características demográficas diferentes: Cajicá, la población más pequeña con un poco más de 50.000 habitantes y una densidad de 841 hab/km2; Tunja y Barrancabermeja, ciudades intermedias entre 150.000 y 200.000 habitantes y densidades menores a 200 hab/km2; Manizales y Pasto, ciudades con población cercana a los 400.000 habitantes aunque con densidades distintas, y Bogotá, la capital de Colombia con cerca de 7.000.000 de habitantes en el año 2005 y una densidad urbana que supera los 4,200 hab/km2.
A pesar de estas características distintas, se encontró que el número de personas por hogar oscila entre 3.5 y 3.9, rango relativamente pequeño si se toma en cuenta las diferencias demográficas de las ciudades estudiadas; esta situación evidenció cierta homogeneidad en el tamaño de los hogares, lo cual es apropiado en términos de la construcción de modelos de generación puesto que cada familia es tomada como un vector de datos de entrada al modelo.

En todas las ciudades se encontró un pequeño porcentaje de hogares con actividad económica, en un rango de valores que va de 2,4% en Cajicá, hasta 9,2% en Pasto; en todos los casos se encontró un mayor porcentaje de hogares con actividad económica en aquellos municipios con niveles socioeconómicos más bajos.
Con respecto a la movilidad, se encontró que a medida que aumenta el tamaño de la ciudad disminuye la tasa de viajes producidos por hogar, en este sentido, las menores tasas de generación de viajes las tiene Bogotá, en el rango de 2,35 a 2,27 viajes producidos por hogar. En general se distinguió un comportamiento razonable de las tasas de viajes con respecto a la tasa de motorización de los hogares, siendo evidente que a mayor tasa de motorización, mayor cantidad de viajes producidos por hogar.
Modelos de tasas de viajes
Las Tablas 3 a 8 muestran las tasas de viajes para cada una de las ciudades estudiadas. De acuerdo con las variables y categorías consideradas, en cada caso fueron estimadas 24 tasas de viajes distintas; aunque lo ideal hubiese sido obtener al menos 50 observaciones por celda [5], en algunos casos, debido al tamaño muestral utilizado no fue posible alcanzar dicha cuantía. Ese problema fue particularmente crítico en el caso de Cajicá y Tunja, siendo evidente que en las celdas extremas no se contó con suficiente información para estimar correctamente las tasas de viajes. Esa situación, aunque previsible, no pudo corregirse ya que la metodología de comparación de tasas de viajes implicaba la utilización de las mismas categorías en todas las ciudades.
Las ciudades con tasas de viaje más altas son las de menor población, es decir Cajicá, Pasto y Tunja, en las cuales se encontró valores entre 11 y 13 viajes diarios para hogares con más de 6 integrantes.
Modelos de regresión lineal
La Tabla 9 resume los modelos de regresión lineal para los viajes producidos por hogar en cada una de las ciudades estudiadas. En la mayoría de los casos fueron estimados 4 parámetros: 1 intercepto y 3 coeficientes que corresponden a las variables tamaño del hogar, número de autos y estrato socioeconómico; en los casos de Cajicá y Manizales el coeficiente del estrato socioeconómico no resultó significativo y en consecuencia los modelos de regresión de esos municipios fueron estimados únicamente con 3 parámetros.
Los signos obtenidos para los parámetros estimados fueron correctos; así mismo, todos los coeficientes fueron aceptados como mínimo al 95%, a excepción del estrato socioeconómico para el municipio de Pasto que se aceptó al 92%. Los coeficientes de determinación encontrados varían de 0.36 a 0.60 y se consideran aceptables para este tipo de modelos.







Análisis de transferibilidad de modelos
Los parámetros de los modelos calibrados fueron analizados estadísticamente con el fin de comprobar su igualdad en contextos geográficos diferentes. Las Tablas 10 a 15 muestran los test de igualdad para las tasas de viaje para cada una de las ciudades consideradas en el estudio. Las tablas contienen los estadísticos t que permiten probar estadísticamente si las tasas de viaje de cierta categoría son iguales entre ciudades. Con una confianza del 95%, valores de t que sean inferiores a 1,96 muestran igualdad de parámetros, en tanto que valores mayores indican que hay diferencia significativa entre los parámetros estimados.
Las celdas sombreadas que se ven en las Tablas 10 a 15 resaltan todos los valores de t que se encuentran por debajo del valor crítico de la prueba y que, por lo tanto, apoyan la hipótesis de transferibilidad. Además, aquellos grupos que exhiben un comportamiento más consistente han sido resaltados con un marco para destacar los casos en los que la transferibilidad de tasas de viaje es aceptada. En términos generales, una proporción superior al 50% de las tasas de viajes resultaron ser transferibles entre contextos geográficos diferentes.
Entre Barrancabermeja y Manizales, las tasas de viajes para todos los estratos y tamaños de hogar con 1 auto resultaron ser transferibles y en el caso de hogares con dos o más autos, únicamente se halló diferencias significativas en los hogares con cuatro integrantes. En el caso de Bogotá se descubrió que el comportamiento de los hogares que no poseen auto es similar al que se presenta en otras ciudades, con algunas diferencias importantes para el caso de Manizales, especialmente en el estrato socioeconómico bajo (1 y 2) que manifestó un comportamiento estadísticamente diferente.
La comparación de las tasas de viaje de Cajicá con respecto a las obtenidas en las demás ciudades evidenció un comportamiento similar en los hogares con cuatro o más integrantes que no poseen auto. Nuevamente se encontraron diferencias significativas con respecto al caso de Manizales; no obstante, al comparar Manizales con Barrancabermeja se encontró la posibilidad de transferir tasas de viajes entre todos los hogares que poseen un auto.
En el caso de los modelos de regresión, los resultados han sido resumidos en la Tabla 16, que muestra los valores del estadístico t para la comparación entre ciudades de cada uno de los parámetros estimados en los modelos de regresión. Las celdas resaltadas en gris contienen valores de t inferiores a 1,96 que apoyan estadísticamente la hipótesis de igualdad.

Se encontró transferibilidad entre todos los contextos estudiados para la variable tamaño del hogar; también se comprobó la transferibilidad del parámetro asociado con la variable número de autos, cuyo efecto es estadísticamente semejante entre las ciudades de Barrancabermeja, Ma-nizales, Pasto y Tunja; sin embargo, el efecto del número de autos resultó ser estadísticamente distinto para el caso de Cajicá que solamente resultó ser transferible con Bogotá, posiblemente debido a la fuerte relación que existe entre estos dos contextos geográficos, dado que Cajicá es considerada una ciudad dormitorio de Bogotá, es decir, aunque las personas viven en Cajicá desarrollan sus actividades en la ciudad capital. La Tabla 16 resume los test de igualdad para los parámetros de los modelos de regresión de las seis ciudades estudiadas.
CONCLUSIONES
Se examinó la transferibilidad geográfica de modelos de generación de viajes con base en datos provenientes de encuestas domiciliarias, encontrando que la clase de modelo utilizado para explicar los viajes producidos por los hogares en diferentes contextos determina en parte la transferencia geográfica de sus parámetros.
Parece claro que al utilizar modelos con menos parámetros, como es el caso de los modelos de regresión frente a los de análisis por categorías, la transferibilidad geográfica se evidencia con mayor intensidad. Eso se comprobó al comparar estadísticamente la igualdad del coeficiente del tamaño del hogar entre todas las ciudades analizadas; es decir, que en el caso de los modelos de regresión se puede concluir que el efecto del tamaño del hogar sobre la producción de viajes es el mismo estadísticamente y en consecuencia es transferible, sin importar las características de las ciudades que se estén analizando.
En cuanto al efecto del número de autos en los modelos de regresión se concluye que ese parámetro es transferible solamente entre ciudades de características similares. Bogotá y Cajicá, al compartir características, especialmente en cuanto a las actividades realizadas, hacen posible la transferencia de ese parámetro (0,47 y 0,42 viajes producidos por cada auto adicional), mientras que en el caso de ciudades localizadas en otros contextos geográficos distintos el efecto de cada auto es mayor pero transferible entre sí.
Los modelos de análisis por categorías, al tener un mayor número de parámetros (24 en cada caso, frente a 4 o 3 de los modelos de regresión lineal) hacen menos evidente la presencia de transferibilidad. No obstante, se encontró que la proporción de tasas de viajes transferibles entre diferentes contextos geográficos es superior al 50%, aunque los resultados no se consideran concluyentes debido a los errores de estimación de las tasas de viajes en las celdas más extremas, especialmente en los municipios con menor número de hogares y por lo tanto con tamaño muestral más pequeño.
Como trabajo futuro se sugiere estudiar y proponer una metodología para la determinación de categorías en los modelos de tasas de viajes, con el fin de estandarizar los procesos de planificación basados en esta clase de modelos.
BIBLIOGRAFÍA
[1] A. Zárate, "Notas sobre el modelo urbano latinoamericano", Espacio, tiempo y forma, Serie VI, Geografía, t. 2, 1989, pp. 267-290. [ Links ]
[2] D. A. Escobar, Instrumentos y metodología de planes de movilidad y transporte en las ciudades medias colombianas, Tesis doctoral, Universidad Politécnica de Cataluña, Departamento de Infraestructuras del Transporte y del Territorio, Programa de doctorado, "Gestión del territorio e infraestructuras del transporte", Barcelona, 2008 [ Links ]
[3] A. Ardila, "La planeación del transporte: una nueva propuesta con énfasis en la operación y el mantenimiento", Revista de Ingeniería, Universidad de Los Andes, no. 9, 1999, pp. 28 - 37. [ Links ]
[4] P. Ch. Nutt, "Some guides for the selection of a decision-making strategy", Technological Forecasting and Social Change, vol. 19, Issue 2, March 1981, Pages 133-145, ISSN 0040-1625. [ Links ]
[5] J. D. Ortúzar, y L. G. Willumsen, Modelling transport, 3a ed. John Wiley & Sons, Chichester, 2011, 499 p. [ Links ]
[6] A. G. Wilson, Urban and Regional Models in Geography and Planning, Jhon Wiley & Sons Ltd. Chichester, (1974) [ Links ]
[7] J. M. Ulmer, A. K. Goswami, J. S. Miller, y L. A. Hoel, Residential trip generation: ground counts versus surveys, Virginia Transportation Research Council, Charlottesville (2003) [ Links ]
[8] L. Yao, H. Guan, y H. Yan, "Trip Generation Model Based on Destination Attractiveness", Tsinghua Science & Technology, vol. 13, Issue 5, October 2008, pp. 632-635. [ Links ]
[9] F. T. Golob, "A simultaneous model of household activity participation and trip chain generation", Transportation Research Record, Journal of the Transportation Research Board, no. 34, TRB. Washington, USA, 2000, pp. 355-376. [ Links ]
[10] J. S. Miller, L. A. Hoel, A. Goswami, y J. M. Ulmer, "Assessing the utility of private information in transportation planning studies: A case study of trip generation analysis", Socio-Economic Planning Sciences, vol. 40, Issue 2, June 2006, pp. 94-118. [ Links ]
[11] D. P. McArthur, G. Kleppe, I. Thorsen, y J. Ub0e, "The spatial transferability of parameters in a gravity model of commuting flows". Journal of Transport Geography, vol. 19, pp. 596-605, 2011. [ Links ]
[12] S. P. Gorman, R. Patuelli, A. Reggiani, P. Nijkamp, R. Kulkarni, y G. Haag, "An application of complex network theory to German commuting patterns". In: Friesz, T.L. (Ed.), Network Science, Nonlinear Science and Infrastructure Systems, first ed. Springer, New York, NY, pp. 167-185. [ Links ]
[13] J. Rouwendal, y P. Nijkamp, "Living in two worlds: a review of home-to-work decisions", Growth and Change, vol. 35, no. 3, 2004, 287-303. [ Links ]
[14] D. Dissanayake, S. Kurauchi, T. Morikawa, y S. Ohashi, "Inter-regional and inter-temporal analysis of travel behavior for Asian metropolitan cities", Transport policy, vol. 19, no. 1, 2011, pp. 36-46. [ Links ]
[15] S. Bekhor, y C. G. Prato, "Methodological transferability in route choice modeling", Transportation Research Part B, no. 43, 2009, pp. 422-437. [ Links ]
[16] J. Holguín-Veras, I. Sarmiento, y C. González, "Parameter stability in freight generation and distribution demand models in Colombia." Revista DYNA, vol. 78, no. 166, 2011, pp. 17-20. 2145-9371 (on line) [ Links ]


















