Services on Demand
Journal
Article
Indicators
-
Cited by SciELO -
Access statistics
Related links
-
Cited by Google -
Similars in
SciELO -
Similars in Google
Share
Ingeniería y Desarrollo
Print version ISSN 0122-3461On-line version ISSN 2145-9371
Ing. Desarro. vol.34 no.2 Barranquilla July/Dec. 2016
https://doi.org/10.14482/indc.33.2.6368
http://dx.doi.Org/10.14482/indc.33.2.6368
Estudio del impacto de las discrepancias entre los tamaños de lote de producción y distribución en el nivel de servicio
Study of the impact of discrepancies between production and distribution lot size on the service level
Juan Pablo Orejuela Cabrera*
Juan José Bravo**
Universidad del Valle (Colombia)
* M.Sc. Profesor Escuela de Ingeniería Industrial Universidad del Valle, Cali, Colombia. Telf: 3334903 ext. 101 o 223.juan.orejuela@correounivalle.edu.co
** Ph. D. Profesor Escuela de Ingeniería Industrial Universidad del Valle, Cali, Colombia. Telf. 3334903, ext. 101 o 220. juan.bravo@correounivalle.edu.co
Correspondencia: Juan Pablo Orejuela Cabrera.Calle 13 n° 100 - 00, oficina 2007-2, edificio 357, Cali (Colombia). Telf. 3334903, ext. 101 o 223.
Fecha de recepción: 12 de marzo de 2014
Fecha de aceptación: 01 de junio de 2016
Resumen
En este artículo se estudian posibles discrepancias que pueden ocurrir entre el lote de producción y el lote preliminarmente solicitado a producción por el área de logística y el impacto que estas discrepancias pueden tener en el nivel de servicio al cliente. Para esto se empleó la programación entera-mixta como estrategia metodológica. Se determinó que a pesar de que discrepar puede ocasionar faltantes o un impacto negativo en el servicio al cliente, no siempre debe asociarse la discrepancia con empeoramientos del nivel de servicio. Se encontró que incluso en escenarios de alto costo de faltante, con alto nivel de servicio, puede haber presencia de discrepancias beneficiosas que generan disminuciones en los costos con un nivel de servicio constante. Se concluyó que el concepto de integración entre producción y logística no implica necesariamente que un área va a estar subordinada a lo que otra área defina. Lo que se plantea es que la integración debe estar definida mejor en función del beneficio en el sistema global, marco donde la discrepancia puede tener algún protagonismo.
Palabras clave: discrepancias, nivel de servicio, sistemas de producción y logística, tamaño de lote.
Abstract
Discrepancies that may occur between the production lot size and the production lot preliminarily requested by the area of logistics and the impact that these differences may have on the level of customer service are studied in this paper. We used mixed integer programming as our methodological approach and we found that although lot sizing disa-greements may cause a negative impact on customer service, it should not always be associated with worsening in the service level. We found that even in scenarios of high shortage cost, with high level of service, beneficial discrepancies could appear, generating cost reductions with a constant service level. It was concluded that the concept of integration between production and distribution do not necessarily imply that any area should always do what the other define. Rather, the integration must be posed better in terms of the benefit in the global system, under which the discrepancy may have some important role.
Keywords: discrepancies, lot sizing, production and logistics systems, service level.
INTRODUCCIÓN
Las empresas se encuentran en una constante competencia, alimentada por la alta complejidad en el comportamiento de los mercados, donde el éxito que estas puedan tener depende en gran medida del conjunto de estrategias que desarrollen para dar repuesta al entorno. Cada empresa como un sistema debe garantizar que las estrategias se materialicen mediante la integración de los esfuerzos de sus subsistemas o áreas funcionales que la componen.
De manera particular, en las empresas que manufacturan y distribuyen sus productos es importante que las áreas de producción y de logística de distribución trabajen de manera sincronizada para garantizar que las estrategias de nivel de servicio, eficiencia y costo puedan conducir a un mejor desempeño global. De hecho, muchos autores han reconocido la importancia de la coordinación de las dos áreas; pueden verse, por ejemplo, los trabajos de [1], [2], [3], [4], [5], entre otros.
Uno de los elementos importantes en esta integración es la definición de un lote de producción que sea compatible con el lote que requiere el área de logística para cumplir cierto nivel de servicio al cliente. Si Logística plantea un requerimiento de producción con base en el nivel de servicio que debe prestar, relacionado seguramente con las políticas de inventario y despachos, es posible que este requerimiento (o lote sugerido por logística) no pueda ser manufacturado por el área de producción por diversos factores, entre los cuales están: capacidad de producción limitada, inflexibilidad de la programación preestablecida de la producción, prioridades en producción (secuenciación) distintas a las prioridades en Logística, costos prohibitivos del lote solicitado por logística, etc.
Si bien es cierto que el área de producción debe ajustar su planeación pensando de alguna manera en el nivel de atención o servicio al cliente final, también logística debe tener muy presente las limitaciones del área de producción para no hacer unos requerimientos sobreestimados.
En la literatura existen múltiples artículos que trabajan el tamaño de lote óptimo en logística sin considerar aspectos relacionados con producción; por ejemplo, los trabajos de [6], [7], [8], entre otros. Una mayor cantidad de artículos han trabajado el lote óptimo en producción sin considerar aspectos de logística; por ejemplo, [9] y [10], entre otros.
Chaudra y Fisher [11] escribieron uno de los primeros trabajos relacionados con la integración de las dos áreas. Reconocen que ante exceso de inventario, los problemas por descoordinación no existirían, y es por eso que incluyen el movimiento de inventarios pero no incluyen específicamente alguna política de inventarios en particular. No estudian el impacto de las discrepancias entre los tamaños de lote de producción y distribución, y concluyen que la poca capacidad de la flota vehicular podría hacer diluir los beneficios de una integración entre las áreas.
En la revisión realizada se encontró que de los artículos que estudian la modelación integrada de producción y logística, ninguno considera de manera explícita el manejo de las discrepancias entre los tamaños de lote de producción y logística. Véase, por ejemplo, también los trabajos de [1], [12], [13], [14], [15], [16], [17], entre otros. La estrategia principal de dichos trabajos es plantear una estructura jerárquica de análisis en la que en un primer nivel de jerarquía está logística, el cual encuentra el lote óptimo de acuerdo con sus restricciones; información que alimenta en una segunda fase a un subproblema de producción al cual se le exige cumplir con el lote solicitado por logística. En [18] es producción el subproblema dominante, y la planta es la que decide cuánto producir. Los trabajos anteriores son equivalentes a una subordinación, en la que un área recibe órdenes de la otra respecto al lote que se va a manejar.
Pocos artículos mencionan los inconvenientes asociados a las discrepancias entre los tamaños de lote de producción y logística. Algunos de ellos son el trabajo de [3] y el de [19], quienes manejan órdenes pendientes en la planta cuando no tienen inventario para atender las exigencias de logística en escenarios de capacidad de producción limitada. Además, [5], mencionan de manera conceptual la problemática de la coordinación entre producción y distribución y las discrepancias que pueden existir en la práctica.
Con el propósito de explorar el impacto de dichas discrepancias se muestra en este artículo una estrategia de modelación integrada (sin descomposición jerárquica) con orientación explícita hacia el manejo de estas. En el modelo integrado se consideran los inventarios, que en algunos trabajos, como por ejemplo los de [13] y [20], no se tuvieron en cuenta. Particularmente, en este modelo se hace uso de una política (R, S) en el centro de distribución, estrategia de servicio al cliente muy común en la práctica según [21], y ella implica que cada R periodos de tiempo (en nuestro caso: en cada periodo "t") se revisa el inventario, y en ese momento se hace una solicitud a la planta por un lote igual a S menos el nivel de inventario efectivo.
En la sección 3 se muestra la modelación propuesta, que se probará con un caso de estudio prototipo explicado en la sección 4. Los análisis de resultados se muestran en la sección 5, y finalmente se plantean algunas conclusiones y direccionamientos para trabajos futuros.
GENERALIDADES DEL PROBLEMA
Se considera el caso de una planta y un centro de distribución, ambas con posibilidades de mantener inventario, involucrando en primera medida la definición del lote de reabastecimiento requerido por el centro de distribución, de acuerdo con una política de control de inventarios (R,S). La planta, por su parte, considerando sus limitaciones y los costos totales, decide qué cantidad producir. La discrepancia entre ambos lotes se rastrea a través de un parámetro a, como se muestra en la figura 1.
La figura 1 plantea el sistema general que se va a modelar, donde las líneas punteadas son flujos de información y las continuas representan flujos físicos. El único centro de distribución solicita a la planta una cantidad QLpt del producto "p" en el tiempo "t", mientras que la única planta en consideración envía al centro de distribución, en atención a su solicitud, una cantidad Ppt del mismo producto "p" en el tiempo "t".
La primera discrepancia que se estudia es la que señala la expresión (1).

Ahora bien, se asumirá que el centro de distribución (CD) enfrenta una demanda gobernada por una distribución de probabilidad normal, con media Fp y desviación estándar op para cada producto "p". El periodo de revisión del inventario (R) en el CD es idéntico para todos los ítems e igual a la longitud de cada periodo de tiempo del problema multiperiodo analizado. En nuestro caso, dado que se está trabajando con semanas, el R es de una (1) semana. Se trabaja también con un Lead Time de la planta conocido, determinístico, independiente del producto e igual a LPL. La política de reabastecimiento de inventarios en el CD está diseñada para cubrir un nivel de servicio al cliente representado por , pudiéndose obtener un valor del nivel máximo de inventario S para la política (R,S) soportado por la expresión (2), que está de acuerdo con [21] :

Si el lote de reabastecimiento exigido por distribución (QL), gracias a la política, es aceptado plenamente por la planta, es decir, no hay discrepancias entre el lote de manufactura y la política de reabastecimiento (esto es, cuando apt = 0), el despacho de la planta permitiría que el centro de distribución cumpliera con el nivel de servicio representado por k1.
Partiendo de esto, resulta por tanto evidente que en los casos en que hay discrepancias podría afectarse el cumplimiento del servicio asociado al k1 deseado. Concretamente, aquellas discrepancias relacionadas con la expresión (1) que son de interés en este artículo son aquellas del tipo

La expresión (3) implica la posibilidad de que la planta no pueda atender el lote solicitado por el centro de distribución; por tanto, este último debe estar dispuesto a negociar una reducción posible del nivel de servicio respecto al nivel k1 deseado, reducción que no debería ser menor a cierto nivel k2 conocido (con k1 > k2). Esta reducción del nivel de servicio implicaría la existencia de una segunda discrepancia y es la que ocurre entre el centro de distribución y el cliente. La forma de control de esta segunda discrepancia se explica a continuación.
Siendo Fpt una realización de la demanda como resultado de un comportamiento
la cantidad que se va a enviar a clientes, se ve que a partir del concepto de nivel de servicio P2 según [21], mejor conocido como fill-rate o proporción de demanda atendida, P2 se podría representar como DQpt / F. Dado que se ha planteado un límite para la posibilidad de reducción del nivel servicio, se podría hablar de dos niveles de servicio, un valor deseado (en adelante
) y un mínimo aceptable
, y dichos valores deben asociarse con los parámetros k1 y k2, de acuerdo con [21] (p. 258). La forma de asociarlos es con la expresión
y específicamente con el apoyo de la tabla de valores de Gz(k) que se puede consultar en [21] (p. 405). Partiendo entonces del nivel de servicio P2 se obtiene el parámetro k, y con él se obtendría el parámetro S de la política (R, S), enlazándose así todos los elementos concernientes a nivel de servicio.
Veamos un ejemplo. Considere un producto p tal que
90%, y considérese a
.
Con estos datos se obtiene:


Con el valor de k1 queda calculada la política de inventarios según la Eq. (2):

De otro lado, retomando el concepto de P2, puede decirse que idealmente toda realización de la demanda debería cumplir la siguiente ecuación:

La expresión (4) puede representarse también como:

Donde

En el ejemplo anterior se tiene entonces que β1 = 0,05 y β2. Esto quiere decir que partiendo de los niveles
y
directamente se obtienen los valores de los parámetros
en (5), asociándose a una política de inventarios específica (R,S).
Enmarcando todo lo anterior dentro de una estrategia general de modelación, se puede decir que resulta necesario primero definir los niveles de servicio (
,
), que a su vez permitirán dos cosas: por un lado, obtener con el P2max la política de inventarios (R,S) para el centro de distribución, y por otro lado, obtener los valores de ¡31 y f)2, todo lo cual estará incluido en el modelo matemático finalmente construido.
Partiendo de esta expresión (5) se tienen las restricciones (6) y (7), que harán parte del modelo matemático propuesto en la sección 3:


En la práctica, la segunda discrepancia y su relación con el desmejoramiento del servicio respecto a un nivel inicialmente deseado puede justificarse por varios motivos, algunos de los cuales pueden ser: a) la planta o el proveedor tiene una relación comercial dominante sobre el cliente, y a este último simplemente le corresponde aceptar las condiciones del primero; b) el cliente acepta debido a un cambio de estrategia en su política de mantenimiento de inventarios; c) el cliente acepta ese desmejoramiento pero a cambio de una retribución, de tal modo que su relación costo-beneficio le permite tal caída del nivel de servicio.
Partiendo de la opción c) anterior se optó por penalizar la reducción del nivel de servicio y se consideró en la función objetivo de la siguiente manera:

En (8), el parámetro CDESp representa el costo para la empresa o la retribución al cliente por enviar una unidad menos con respecto al nivel deseado P2max, asociado con el parámetro $v
En la siguiente sección se presenta el modelo matemático propuesto.
ESTRATEGIA METODOLÓGICA
En esta sección se presenta el modelo matemático que soporta el estudio de las discrepancias objeto de este artículo.
Definición de parámetros
Conjuntos:
P = Conjunto de productos, indexado en p, p e P. T = Conjunto de períodos, indexado en t., t e T.
Parámetros:
Fpt = Demanda del producto p en el período t (und).
mp, jp, vp = Costo de mantener inventario del producto p en la planta. Costo de mantener inventario del producto p en el centro de distribución y Costo de producir en la planta un producto p ($/und)
Ep = Costo de alistamiento del producto p ($/lote de producto p).
TI, TT = Costo de transporte por kilogramo de peso desde la planta hasta el centro de distribución y Costo de transporte por kilogramo de peso desde el centro de distribución hasta el cliente ($/kg).
WEp = Peso del producto p (kg/und).
CPL,CCD = Capacidad de planta en volumen, Capacidad del centro de distribución (m3).
HD = Capacidad de la planta en horas (h).
IVP = Inventario inicial del producto p en la planta en el periodo cero (und).
ICVp = Inventario inicial del producto p en el centro de distribución en el periodo cero (und).
l = Costo fijo de transporte ($/envío).
VOp = Volumen del producto p. (m3/und).
N = Capacidad del envío (m3/envío).
wp = Tiempo de alistamiento del producto p (h).
hp = Tiempo de proceso del producto p (hr/und).
LPL,LCD = Lead time en la planta, Lead time en el centro de distribución (mes).
Sp = Nivel máximo de inventario del producto pen el centro de distribución (und).
k1 = Nivel de servicio máximo (deseado) a considerar en la política (R,S).
k2 = Nivel de servicio mínimo permisible en caso de incumplimiento del nivel k1 especificado para la política (R,S).
(3eta1p = Porcentaje de ventas pérdidas para el producto p asociadas al nivel de servicio especificado k1.
fleta2p = Porcentaje de ventas pérdidas para el producto p asociadas al nivel de servicio especificado k2.
CDESp = El costo de enviar una unidad menos al cliente respecto al nivel deseado k1 asociado, como se mencionó, con el parámetro $v
Definición de variables de decisión
Variables de decisión del área de producción:
Xpt = Tamaño de lote a producir en la planta del producto p en el período t (und).
Ipt = Inventario del producto p en la planta al final del período t (und).
Apt = (1, si se fabrica el producto p en el período t. 0,de lo contrario)
Variables de decisión del área de logística:
QLpt = Tamaño de lote a pedir por el centro de distribución a la planta del producto p en el período t (und), según sistema de control de inventario (R,S).
ICpt, DQpt = Inventario del producto p en el centro de distribución al final del período t y el tamaño de lote que se va a enviar del producto p al cliente en el período t (und).
Y = Número de envíos desde el centro de distribución hasta el cliente en el período t (envíos)
Variables de decisión de integración de las dos áreas:
Ppt, apt = Cantidad del producto p a transportar desde la planta hasta el centro de distribución en el período t, diferencia entre los tamaños de lote pedidos y enviados desde la planta hasta el centro de distribución para cada producto p en el periodo t (und).
Ot = Número de envíos desde la planta hasta el centro de distribución en el período t (envíos).
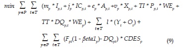
Función objetivo:

Restricciones:
Restricciones de producción:



Restricciones de logística:





Restricción principal de la integración:

Restricción de discrepancia con la demanda:


Restricción funcional para tiempos de alistamiento:

Restricciones no-negatividad:

En este modelo, la ecuación (9) define la función objetivo, la cual busca minimizar los costos asociados a mantener inventario en la planta y la bodega, los costos de alistamiento y de producción. Los costos de transporte hacia la bodega y hacia el cliente y finalmente el costo o penalización asociada al incumplimiento del nivel de servicio planeado.
En lo concerniente a la planta, la ecuación (10) garantiza el balance de inventario y las ecuaciones (11) y (12) garantizan que no se viole la capacidad de almacenamiento y de producción en la planta.
Para el centro de distribución, la ecuación (13) permite el balance de inventario de producto terminado; la ecuación (14) obliga al cumplimiento de la restricción de capacidad en el centro de distribución; la ecuación (15) controla la capacidad de transporte de la planta hacia el centro de distribución, mientras que la ecuación (16) garantiza que el volumen de todos producto p que se transporta desde el centro de distribución hasta el cliente no sobrepase la capacidad, en metros cúbicos, de los envíos.
La ecuación (17) viabiliza la funcionalidad del sistema de control de inventario (R,S) utilizado en el centro de distribución.
La ecuación que trabaja la integración entre las áreas de producción y logística es la (18). Las restricciones (19) y (20), tal como se mencionó, representan la discrepancia máxima permitida respecto a la demanda, y la restricción (21) es funcional y sirve para activar el costo de los alistamientos. Por último, se tiene el conjunto de restricciones (22), que aseguran la no negatividad de las variables de decisión.
Para la validación del modelo se realizó un caso de estudio, que a continuación se describe.
CASO DE ESTUDIO
El modelo descrito en esta investigación se evaluó en una instancia donde se tiene una planta, un centro de distribución y un cliente final, entre los cuales se presume que hay flujos de información y productos (ver figura 1). Se trabaja con los datos usados en [22], que muestran los potenciales beneficios que podrían tener análisis similares en la práctica.
En el área de producción se fabrican 3 productos, denominados producto 1, 2 y 3. Cada producto tiene un tiempo de proceso en horas igual a 0,46, 0,56 y 0,84, respectivamente, y un tiempo de alistamiento en horas de 0,5 igual para todos. El horizonte de análisis se ha tomado igual a 8 periodos (semanas). La capacidad de almacenamiento de la planta es de 1200 m2 y la del centro de distribución es de 3000m2.
El proceso comienza cuando el cliente hace un pedido al centro de distribución, y este a su vez pide cierta cantidad a la planta, dependiendo de su inventario, y particularmente de su política de revisión y reaprovisionamiento de productos. Por su parte, la planta fabrica la cantidad de productos necesarios para cumplir con el pedido de distribución según su capacidad, teniendo la opción de discrepar hasta cierto grado, produciendo y enviando quizás a distribución una cantidad distinta de la inicialmente solicitada. Luego se transporta el lote de productos desde la planta hasta el centro de distribución, y por último se realiza el transporte hasta el cliente final. Para todos los productos se definió P2max = 95 % y P2min = 90 %, que arrojaron una política de inventarios (R,S) con un vector S = {818, 327,541}, que contiene el valor de S para cada producto. La demanda de los productos se asumió aleatoria semanal con distribución normal y cuyos parámetros apoyaron el cálculo de S de acuerdo con la ecuación (2).
De otro lado, el parámetro CDES, que equivale a un costo unitario de pe-nalización por no cumplir con el nivel de servicio definido por P2max, fue calculado preliminarmente para cada producto sumando todos los costos asociados a producción y transporte. Al valor así obtenido se le llamó escenario del CDES en condiciones de indiferencia al incumplimiento, y el siguiente vector muestra los valores encontrados por producto: CDES1 = {266,752; 201,054; 193,103}. Estas penalizaciones son fundamentales, ya que el modelo es del tipo minimización de costos, y por defecto se tiene un favorecimiento tácito al incumplimiento.
ANÁLISIS DE RESULTADOS Y DISCUSIÓN
Como estrategia de análisis se realizaron dos clases de variaciones que se determinaron como prioritarias para el desarrollo de este artículo. La primera se relaciona con la variación de la capacidad de producción, específicamente el parámetro HD (límite de capacidad), observando finalmente, para cada dato propuesto de HD, el valor óptimo de la discrepancia representada por la variable . La segunda analiza el impacto de los cambios en las discrepancias para un HD dado. Ambos análisis asumen aquí una capacidad de distribución hacia el cliente infinita, aspecto que se podría relajar en posteriores investigaciones. Cada perturbación efectuada se analizó para cada uno de tres escenarios del parámetro original CDES, denominados CDES1, CDES2 y CDES3, y cuyos valores correspondieron al 50, 100 y 150 % de los valores del vector CDES antes mostrado.
En los análisis se emplearon diversas variables de control que dieron origen a múltiples indicadores de seguimiento, tres de los cuales dieron un apoyo significativo al análisis realizado. Dichos indicadores se presentan a continuación:
- Dis1_clientept: variable de control que representa la diferencia entre la demanda afectada por el factor de servicio pactado, es decir, Fpt (1 - $eta\p), y el envío final hacia clientes (DQ). Esta variable de control representa entonces la discrepancia entre distribución y el cliente y el valor considerado para el indicador fue concretamente el promedio de Dis1_clientept, considerando todo p y t.
- Dis2_cliente: variable de control que representa la diferencia entre la demanda afectada por el nivel de servicio mínimo, es decir, Fpt (1 - ¡3eta2p), y el envío hacia clientes (DQ). El valor considerado en este caso como indicador fue el promedio de Dis2_clientept, considerando todo p y t.
- Prom_a: representa el promedio de la discrepancia entre producción y distribución considerando todo p y t.
Impacto de la capacidad de producción en las discrepancias óptimas
Las horas productivas (HD) de la planta durante el horizonte de planificación se fueron incrementando desde 225 horas hasta 445, de dos en dos, completando 110 escenarios de HD. Para cada una de estos escenarios se corrió el modelo tres veces, uno por cada subescenario del parámetro CDES antes mencionado, completándose así un total de 330 corridas.
La figura 2 muestra las variaciones de HD (eje horizontal) frente a los valores de (eje vertical).
Observe la figura 2a, que considera el escenario CDES1, donde la penaliza-ción por incumplimiento es baja. Note que en este caso, cualquiera sea la capacidad factible de producción, resulta evidente que el modelo preferirá tener discrepancias debido al bajo costo de hacerlo. Sin embargo, para los escenarios con CDES2 y CDES3 se obtuvieron dos interpretaciones. La primera es que a medida que la capacidad en producción (HD) se reduce, leyendo el eje horizontal de derecha a izquierda, se hace cada vez más importante, en el óptimo, permitir la discrepancia entre el lote de producción y logística, hasta llegar a un punto de discrepancia máxima permitido por el sistema objeto de estudio, tal como lo muestran las figuras 2b y 2c.
La otra interpretación busca explicar desde otra perspectiva dicho nivel máximo de discrepancia. Se dice entonces, leyendo ahora el eje horizontal de izquierda a derecha, que el incremento de la capacidad de producción (HD) puede hacer pensar en la posibilidad de reducción de las discrepancias entre los lotes de producción y distribución o en el acercamiento del lote de producción a las exigencias de distribución. Pero resulta de interés observar que, según la figuras 2b y 2c y para el caso de estudio específico, la ampliación de capacidad en producción no implica necesariamente una conveniencia inmediata de reducción de la discrepancia. Es decir, existiendo discrepancias entre los lotes de producción y distribución, no necesariamente incrementando la capacidad de producción dicha discrepancia disminuirá. Existe, en cambio, un punto, que podríamos llamar punto de quiebre, a partir del cual la capacidad de producción sí permite una reducción de las discrepancias que pudieran haber. Este punto en nuestro caso es de 400 unidades de capacidad de producción, y este existe incluso en el escenario donde discrepar es altamente costoso, como es el caso de la figura 2c. Obsérvese entonces que para la solución óptima no es fácil reducir la discrepancia; siendo esto un fuerte argumento a su favor, abriendo la discusión de la conveniencia que pudiera tener la discrepancia en la práctica. Además, el punto de quiebre es un punto que en la práctica puede ser difícil de encontrar por la complejidad inherente a los sistemas producción-distribución, pero que habiéndose encontrado con herramientas de optimización resulta sin duda en un dato de alta relevancia para la planeación de la capacidad y el servicio al cliente.
Otro resultado de gran importancia es el que se presenta en la figura 3, donde se confronta la discrepancia entre producción y distribución () y aquella que hay entre distribución y el cliente, representada por la variable de control , previamente mencionada. Concretamente, para el modelo matemático estudiado, la figura 3 podría leerse de la siguiente manera: el incremento de la discrepancia producción-distribución () originada, tal como ya se comentó, por limitaciones de capacidad en producción, implica un incremento de la discrepancia entre distribución y el cliente (promedio de ), observándose una relación lineal entre ambas discrepancias. Es decir, existe una razón de cambio constante entre ambas, pudiéndose entonces inferir una discrepancia a partir de la otra, y relacionar las dos con la planeación de la capacidad de producción.
Esta relación lineal, en la que el coeficiente de correlación es uno (1), resulta de hecho de gran importancia para enlazar en la práctica el impacto en el servicio al cliente de las discrepancias producción-distribución en su relación con la capacidad.
Impacto de las variaciones de las discrepancias
Se verificó el comportamiento del modelo ante variaciones de una variable que se denominó alpha, y que representaba la mayor deviación posible que se puede tener entre el lote de producción y el lote de logística, es decir, . Para ello se planteó incrementar alpha desde uno, de dos en dos, hasta 253, valor que es un límite de factibilidad. Para cada valor de alpha se realizaron tres corridas, una para cada escenario del costo de penalización CDES antes visto, completándose un total de 378 corridas. Aquí resultó de gran interés el resultado de los costos totales ante variaciones de alpha, obtenido con el escenario CDES3 (alto costo de faltantes) para un valor de HD dado superior al punto de quiebre antes comentado. Observe la figura 4.
En este escenario con alto costo de faltante se obtuvo que, independiente del valor de alpha, el nivel de servicio fue alto con unos costos de faltantes bajos, tal como era de esperarse. Sin embargo, como un hallazgo importante se observó que a medida que alpha se incrementa, los costos totales decrecen. Esto quiere decir que en dicho escenario, al permitir discrepancias mayores, se obtiene el mismo nivel de servicio a un costo cada vez menor, lo cual permite evidenciar la conveniencia de explorar la discrepancia entre producción y distribución como una estrategia de disminución de costos sin perjudicar el servicio al cliente.
CONCLUSIONES Y TRABAJOS FUTUROS
En este artículo se estudian posibles discrepancias que pueden ocurrir entre el lote de producción y el lote preliminarmente solicitado a producción por el área de logística y el impacto que estas discrepancias pueden tener en el nivel de servicio al cliente. Se resaltan aquí varias conclusiones:
- La discrepancia entre producción y logística en entornos de baja capacidad de planta se vuelve una necesidad por razones de factibilidad. Es decir, la consideración de la discrepancia en esta condición permite encontrar soluciones factibles que integran los requerimientos compartidos con ambas aéreas.
- No necesariamente el incremento de la capacidad en planta genera una reducción en la discrepancia existente. Es posible, en cambio, determinar un punto de quiebre a partir del cual dichos incrementos sí tengan un efecto en la discrepancia actual.
- A pesar de que discrepar puede ocasionar faltantes o un impacto negativo en el servicio al cliente, no siempre debe asociarse la discrepancia con empeoramientos del nivel de servicio. Se encontró que incluso en escenarios de alto costo de faltante, con alto nivel de servicio, puede haber presencia de discrepancias benéficas que generan disminuciones en los costos con un nivel de servicio constante.
- El concepto de integración entre producción y logística no implica necesariamente que un área debe estar subordinada a hacer siempre lo que otra diga. La integración debe estar planteada mejor en función del beneficiosas en el sistema global, marco donde la discrepancia puede tener cabida.
- Las discrepancias deben ser controladas en cuanto a su afectación al nivel de servicio. Se invita entonces a pensar en el máximo nivel permisible de discrepancia que beneficie al sistema global, debiendo existir un rango de actuación que permita un espectro de gestión asociado al nivel de servicio.
- El análisis del impacto de otras políticas de inventarios se hace pertinente, siendo que una mala o sobreestimada definición de políticas de inventarios podría inducir la conveniencia de discrepar.
Como trabajos futuros pueden mencionarse los siguientes: a) extensión del problema de la discrepancia con , es decir, cuando produccion decide fabricar más de lo solicitado por distribución. Este es un caso que exige un profundo análisis de la compleja interacción entre costos de producción, envío y mantenimiento de inventarios en la cadena; b) el impacto de la variabilidad de la demanda en la emergencia de discrepancias. Este es un estudio que requiere de un análisis especial de denominado efecto Bullwhip, que no fue tratado en este artículo; c) el análisis multiobjetivo, en el que además del costo total se busque la maximización del nivel de servicio y se estudie el impacto las discrepancias con esas medidas de desempeño.
REFERENCIAS
[1] Strack, G., Fortz, B., Riane, F., and Van Vyve, M., (2011). Comparison of heu-ristics procedures for an integrated model for production and distribution planning in an environment of shared resources. Discussion paper 2011/39, ECORE, Université Catholique de Louvain and Université Libre de Brux-elles, 35. p. [ Links ]
[2] Ertogral, K., Darwish, M., and Ben-Daya, M., (2007). "Production and shipment lot sizing in a vendor-buyer supply chain with transportation cost". European Journal of Operational Research, 176, 1592-1606. [ Links ]
[3] Li, X, and Wang, Q., (2007). "Coordination mechanisms of supply chain systems". European Journal of Operational Research, 179, 1-16. [ Links ]
[4] Barbarosoglu, G. & Ózgür, D., (1999). "Hierarchical design of an integrated production and 2-echelon distribution system". European Journal of Operational Research, 118(3), 464-484. [ Links ]
[5] Thomas, D. and Griffin, P., (1996). "Coordinated supply chain management". European Journal of Operational Research, 94, 1-15. [ Links ]
[6] Van Norden, L. & Van de Velde, S, (2005). "Multi-product lot-sizing with a transportation capacity reservation contract". European Journal of Operational Research, 165(1), 127-138. [ Links ]
[7] Kutanoglu, E. and Lohiya, D., (2008). "Integrated inventory and transportation mode selection: a service parts logistics system". Transportation Research Part E, 44, 665-683. [ Links ]
[8] Vroblefski, M., Ramesh, R., and Zionts, S, (2000). "Efficient lot-sizing under a differential transportation cost structure for serially distributed warehouses". European Journal of Operational Research, 127(3), 574-593. [ Links ]
[9] Quadt, D. and Kuhn, H., (2008). " Capacitated lot-sizing with extensions: a review". 4OR, 6(1), 61-83. [ Links ]
[10] Buschkuhl, L, Sahling, F., Helber, S., and Tempelmeier, H., (2010). "Dynamic capacitated lot-sizing problems: a classification and review of solution approaches". OR Spectrum, 32, 231-261 [ Links ]
[11] Chandra, P. and Fisher, M., (1994). "Coordination of production and distribution planning". European Journal of Operational Research, 72(3), 503-517. [ Links ]
[12] Jang, Y.J., Jang, S.Y., Chang, B.M., and Park, J., (2002). "A combined model of network design and production/distribution planning for a supply network". Computers & Industrial Engineering, 43, 263-281. [ Links ]
[13] Scholz-Reiter, B., Frazzon, E., and Makuschewitz, T., (2010). "Integrating man-ufacturing and logistics systems along global supply chains". Journal of Manufacturing Science and Technology, 2, 216-123. [ Links ]
[14] Lodree Jr., B., Geiger, C., and Ballard, K., (2010). "Coordinating production and shipment decisions in a two-stage supply chain with time-sensitive demand". Mathematical and Computer Modeling, 51, 632-648. [ Links ]
[15] Yilmaz, P. and Catay, B., (2006). "Strategic level three-stage production distribution planning with capacity expansion". Computers & Industrial Engineering, 51, 609-620. [ Links ]
[16] Calvete, H., Galé, C., and Oliveros, M., (2011). "Bilevel model for production-distribution planning solved by using ant colony Optimization". Computers & Operations Research, 38(1), 320-327. [ Links ]
[17] Jin, M., Luo, Y., and Eksioglu, S., (2008). "Integration of production sequencing and outbound logistics in the automotive industry". International Journal of Production Economics, 113, 766-774. [ Links ]
[18] Armentano, V., Shiguemoto, A., and L0kketangen, A., (2010). "Tabu Search with Path Relinking for an Integrated Production-Distribution Problem". Computers & Operations Research, 38(8), 1199-1209. [ Links ]
[19] Kis, T. and Kovacs, A., (2011). "Exact solution approaches for bilevel lot-sizing". Documento de trabajo, Computer and Automation Research Institute, Hungría. [ Links ]
[20] Viergutz, C., (2011). Integrated Production and Distribution Scheduling. Disertación doctoral, Universitat Oznabruck. [ Links ]
[21] Vidal, C. Fundamentos de control y gestión de inventarios. Programa Editorial Universidad del Valle, Cali, Colombia. 2010. [ Links ]
[22] Díaz, N., (2011). Propuesta metodológica para la determinación del tamaño de lote en producción basado en la coordinación de las áreas de manufacturas y logística. Tesis de Grado, Ingeniería Industrial, Universidad del Valle, Cali, Colombia. [ Links ]

















