I. INTRODUCCIÓN
Las industrias de curtiembres producen cuero por transformación de pieles de animales, principalmente de ganado vacuno, en un material incorruptible de amplio uso en calzado, vestuario, guantes y muebles, entre otros productos [1], [2].
Uno de los procesos de producción del cuero es el pelambre de las pieles con sulfuro de sodio y cal en medio alcalino. Posteriormente, se realiza el proceso de desencale con el fin de retirar el exceso de cal, lo cual genera aguas residuales con elevadas concentraciones de sulfuros que, al ser vertidas a cuerpos de agua, producen gases tóxicos de ácido sulfhídrico a valores de pH inferiores a 8 [3], [4]. La concentración máxima permisible de sulfuros en vertimientos de curtiembres es 3 mg/ L según la Resolución 0631 de 2015 del Ministerio de Ambiente y Desarrollo Sostenible [5].
El ácido sulfhídrico es un gas tóxico de olor característico a huevo en descomposición que ataca el sistema nervioso central y reacciona en el torrente sanguíneo con algunas enzimas, de modo que altera el transporte de electrones necesario para reaccionar con el oxígeno presente en la hemoglobina. Esto afecta la respiración, los tejidos cardíacos y el sistema nervioso; exposiciones prolongadas a concentraciones mayores de 250 ppm pueden causar edema pulmonar y neumonitis bronquial [6].
Los sulfuros inhiben la acción de la enzima oxidasa que cataliza la respiración aerobia mitocondrial, de manera que disminuyen así la captación de nitrógeno y el crecimiento de las plantas. También afectan la acción de la enzima deshidrogenasa en la transformación de acetaldehído en etanol en procesos anaerobios de fermentación alcohólica [7].
Los métodos más utilizados para disminuir la concentración de sulfuros en aguas residuales de curtiembres consisten en oxidación, coagulación y tratamientos biológicos con microorganismos. A continuación, se describen de manera breve algunos estudios realizados al respecto.
Mediante la oxidación por aireación con sulfato de manganeso como catalizador a pH 13 durante seis horas, se redujo la concentración de sulfuros de 470 mg/L a 5 mg/L, lo que representa una disminución del 99 % [8].
A partir de la desulfuración biológica mediante tratamiento con bacterias aerobias con el propósito de oxidar el sulfuro a azufre y sulfatos, se obtuvo una reducción de la concentración de sulfuros desde aproximadamente 200 mg/L hasta 12,84 mg/L [9].
Se ha reportado el estudio de la toxicidad del sulfuro en un proceso anaerobio con miras a la aplicación de lodos activados para el tratamiento de aguas residuales de curtiembres, en el cual se encontró que el IC50 - que representa el 50 % de inhibición de la función bacteriana- fue de 154 mg/L de sulfuros [10]. Para la remoción de contaminantes de efluentes de curtiembres por coagulación con sulfato de aluminio y cloruro férrico, se alcanzó el 80 % de remoción de sulfuros; posteriormente, mediante un proceso biológico anaerobio se obtuvo una concentración de sulfuros de 200 mg/ L (a concentraciones mayores de 260 mg/ L se inhibe completamente la producción de metano [11]).
Si bien se obtuvieron eficiencias mayores al 90 % por electrocoagulación con electrodos de acero dulce para disminuir sulfuros, se produce un precipitado negro de sulfuro de hierro. Luego, por filtración del agua y utilización nuevamente de electrocoagulación con electrodos de aluminio, se incrementó la eficiencia al 96,7 % [12]. Al combinar una pre-ozonización con un posterior proceso anaerobio con bacterias y, finalmente, aplicar aireación y ozonización en aguas residuales de curtiembres, se alcanzó una reducción del 95 % en el contenido de sulfuros [13].
Por oxidación de sulfuros en el agua residual de curtiembres con peróxido de hidrógeno, seguida de coagulación con sulfato de aluminio, la eficiencia fue del 99 % desde una concentración inicial de sulfuros de 7,2852 mg/L, hasta 81,9 mg/L en el efluente tratado [14]. También se ha evaluado la producción de carbón activado a partir de cascarilla de arroz; con este se trató el agua residual de curtiembres y, posteriormente, por oxigenación del agua con aire durante dos horas se eliminó en su totalidad el contenido inicial de 193 mg/L de sulfuros [15].
En los métodos de oxidación de sulfuros a sulfatos se requieren varias horas de proceso y uso de catalizadores por aireación, así como se demandan altos consumos de energía por ozonización y electrocoagulación al tener en cuenta los elevados consumos de agua en los procesos de curtición. La coagulación consume considerables cantidades de reactivos debido al alto contenido de sulfuros, y los tratamientos biológicos requieren grandes áreas y tiempos de reacción de varios días. Además, a partir de estos métodos no se recuperan los sulfuros, de modo que generan considerables volúmenes de lodos, representativos de las plantas residuales de curtiembres. Por otra parte, en muchas industrias de curtiembres en Colombia las aguas residuales se vierten sin tratamiento al sistema de alcantarillado o directamente a cuerpos de agua [16]. La situación en Latinoamérica es similar a la que se presenta en el país, con graves problemas ambientales generados por vertimientos de este tipo de industrias [4].
Se han identificado 466 vertimientos industriales en la cuenca del río Bogotá, 166 de los cuales provienen de curtiembres que descargan al río Bogotá elevadas cargas contaminantes de sólidos, materia orgánica, nitrógeno, cromo y sulfuros, todo lo cual representa más del 50 % de las actividades industriales en la cuenca alta del río [17] .
En cumplimiento de la Sentencia de Estado del 28 de marzo de 2014, por la cual se plantea una integración de esfuerzos para descontaminar y preservar la cuenca hidrográfica del río Bogotá [18], a finales de noviembre del 2016 se cerraron 277 curtiembres del sector de San Benito en Bogotá por incumplimiento de los requisitos ambientales respecto a vertimientos y manejo de residuos; solo quedaron con permiso para el procesamiento de pieles 23 curtiembres, lo que significó dejar sin empleo a cerca de 15 000 funcionarios [19].
El objetivo de este trabajo de investigación fue evaluar la extracción de sulfuros de las aguas residuales de curtiembres que genera gases de ácido sulfhídrico, pues estos al reaccionar con una solución de hidróxido de sodio producen sulfuro de sodio que puede reutilizarse en el proceso de pelambre de las pieles. Se espera disminuir la concentración de sulfuros de las aguas residuales por debajo del límite máximo permisible correspondiente a 3 mg/ L, según la Resolución 0631 de 2015 del Ministerio de Ambiente y Desarrollo Sostenible para vertimientos de curtiembres [5]. De esta forma, se disminuyen las cargas contaminantes de sulfuros presentes en las aguas residuales de curtiembres a fin de mitigar la afectación a cuerpos de agua generada por este tipo de vertimientos.
II. METODOLOGÍA
A. Recolección de muestras
Las muestras de aguas residuales se tomaron de los efluentes de cada uno de los procesos realizados para la producción de cuero, en una curtiembre del sector de San Benito en Bogotá. Debido a que los procesos de producción en las industrias de curtiembres se realizan por baches, en cada ensayo se realizó muestreo simple del vertimiento correspondiente a cada etapa del proceso con base en los métodos normalizados orientados al análisis de aguas [20], para lo cual se utilizaron recipientes plásticos acondicionados para tal fin y se transportaron refrigerados hasta el laboratorio.
En cada uno de los ensayos se mezclaron los vertimientos de las diferentes etapas de producción de cuero en los siguientes porcentajes en volumen, con el fin de obtener las aguas residuales en la proporción representativa de estas industrias: lavado de pieles (20 %), pelambre (25 %), desencale (25 %), piquelado y curtido (15 %), recurtido, teñido y acabados (15 %) [1], [4]. Para cada ensayo se prepararon 20 litros de las aguas residuales mezcladas y de estos se tomaron 500 mL, con el objetivo de realizar cada vez el proceso de extracción y recuperación de sulfuros.
B. Diseño experimental
El desarrollo de la experimentación se llevó a cabo en los laboratorios de Tecno-parque Sena, nodo Bogotá. Se realizó un diseño experimental factorial con el fin de evaluar el efecto de las variables independientes pH (2, 3, 4, 5 y 6) y tiempo de agitación (0, 15, 30, 45, 60, 75 y 90 minutos) sobre la variable dependiente concentración de sulfuros en el agua residual. El pH se ajustó con ácido sulfúrico concentrado y la velocidad de agitación fue constante de 120 rpm. Para cada ensayo se utilizaron 500 mL de solución de hidróxido de sodio 3M receptora de sulfuros, preparada con reactivo grado comercial del 98 % de pureza. Cada ensayo se realizó por duplicado, en un diseño completamente al azar, para un total de 10 ensayos correspondientes a los cinco niveles de pH de las aguas residuales con sus respectivas réplicas, y 70 determinaciones de sulfuros en el agua residual correspondientes a los siete tiempos de análisis para cada pH. Además, se realizó la determinación de la concentración de sulfuros en la solución de hidróxido de sodio receptora de estos al final de cada ensayo, con el fin de comprobar si corresponde a la disminución de estos en el agua residual después del proceso de extracción. La determinación de sulfuros se realizó con base en el método estándar 4500E por yodometría [20].
C. Procedimiento
En el proceso de la extracción de sulfuros se dosificaron las aguas residuales de curtiembres de manera separada en un filtro cilíndrico de acrílico provisto en su parte interior y colocadas en posición horizontal con sus respectivos soportes (mallas de acero inoxidable código Mesh 50 y 100 que corresponden al número de orificios por pulgada lineal respectivamente [2]); enseguida, las aguas fluyeron hacia un homogeneizador hermético con tapa conformado por un tanque de vidrio de un litro de capacidad, colocado sobre un sistema de agitador magnético y placa a temperatura ambiente con ajuste de velocidad. A fin de evitar la formación de gases tóxicos de ácido sulfhídrico en el filtro, primero se adicionaron las aguas ácidas correspondientes a los procesos de curtido, recurtido, teñido y acabados; cuando estas salieron completamente del filtro, se dosificaron las aguas alcalinas correspondientes a los procesos de lavado, pelambre y desencale. Se adicionó por goteo ácido sulfúrico concentrado a las aguas residuales mezcladas en el homogeneizador, hasta ajustar el pH ácido correspondiente a cada ensayo con el propósito de producir gases de ácido sulfhídrico que fueron succionados por un extractor de 10 W de potencia, hacia un tanque con solución de hidróxido de sodio 3M, y así generar sulfuro de sodio que puede reutilizarse en el proceso de pelambre de las pieles.
Las reacciones químicas de sulfuros con ácido para producir ácido sulfhídrico, H2S, en el tanque de homogenización con agitación y en la solución de soda cáustica receptora de gases de ácido sulfhídrico para producir sulfuro de sodio, Na2S [21], son respectivamente las siguientes:
El esquema del proceso de extracción y recuperación de sulfuros se muestra en la Figura 1.
III. RESULTADOS Y DISCUSIÓN
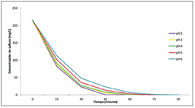
Los resultados del diseño experimental para evaluar la recuperación de sulfuros en medio ácido y formación de sulfuro de sodio en solución de soda cáustica 3M receptora de sulfuros se muestran en la Tabla 1, en la cual se puede observar la concentración obtenida de sulfuros en el agua residual en función del tiempo y del pH.
En la Tabla 1 se observa el contenido inicial de sulfuros en concentración elevada con promedio de 214 mg/L, comparado con los límites permisibles de acuerdo con la Resolución 0631 de 2015 del Ministerio de Ambiente y Desarrollo Sostenible para vertimientos, por la cual se establece 3 mg/L como el nivel máximo para aguas residuales de curtiembres [5]. En la Figura 2 se muestra cómo para todos los valores de pH ensayados la concentración de sulfuros es menor que el límite permisible en un tiempo de extracción de 75 minutos.
El análisis de varianza que permite determinar si hay diferencia significativa entre los niveles ensayados de cada variable y si hay efecto adicional por la interacción de las mismas, se muestra en la Tabla 2.
Tabla 2 Análisis de varianza para evaluar el efecto del tiempo y el pH sobre la concentración de sulfuros en el agua residual
De la tabla de estadística de Fisher se obtienen los valores de F para 95 % de confiabilidad que corresponde a 5 % de incertidumbre con base en los grados de libertad de la variable y los del error [22]. Debido a que el valor del F calculado es mayor que el F tabulado, existe un efecto significativo del tiempo y del pH sobre la concentración de sulfuros en el agua residual, de manera que es mayor el ejercido por el tiempo. La interacción también presenta un efecto significativo e indica que se produce un efecto adicional por la interacción del tiempo y el pH sobre la concentración de sulfuros.
De los resultados del diseño experimental se observa que se alcanzó la extracción de sulfuros de las aguas residuales mezcladas de curtiembres para todos los valores de pH ácidos ensayados. Sin embargo, a pH 2 se extraen completamente los sulfuros durante 45 minutos, mientras que a valores de pH menos ácidos se requiere más tiempo, pues se requieren 75 minutos para el mayor nivel de pH ensayado de 6.
La extracción de sulfuros del agua residual de curtiembres, mediante generación de ácido sulfhídrico y reacción de este último con hidróxido de sodio, presentó una eficiencia del 100 % en un tiempo máximo de 90 minutos, lo que representa un resultado viable para su implementación a gran escala debido a los requerimientos de equipos básicos que posibilitan el tratamiento de grandes volúmenes de agua residual generadas en las curtiembres. Además, con esta tecnología propuesta se recuperan los sulfuros, de modo que se produce sulfuro de sodio, el cual puede reutilizarse en el proceso del pelambre de pieles y disminuir así la generación de lodos.
En la solución que inicialmente contenía hidróxido de sodio, con el fin de producir sulfuro de sodio al reaccionar con el ácido sulfhídrico generado en las aguas residuales, se obtuvo una concentración final de sulfuros entre 212 y 216 mg/L, lo que corresponde al mismo rango de concentración inicial de sulfuros de las aguas residuales y muestra cómo en el proceso de extracción y recuperación de sulfuros no se presentaron escapes de gases de ácido sulfhídrico a la atmósfera.
IV. CONCLUSIONES
Si se considera que es imprescindible evitar la contaminación de cuerpos de agua y buscar soluciones tecnológicamente viables para las condiciones de generación de vertimientos industriales con elevados caudales y altas cargas contaminantes, se recomienda la implementación de la tecnología de extracción y recuperación de sulfuros de aguas residuales de industrias de curtiembres mediante la formación de ácido sulfhídrico a pH ácido, así como su recuperación en solución de hidróxido de sodio 3M para producir sulfuro de sodio, lo cual puede reutilizarse en el proceso de pelambre de pieles.
Las condiciones más favorables del proceso de extracción de sulfuros obtenidas fueron pH 2, y tiempo de 45 minutos. Sin embargo, a pH 6 y 75 minutos se extraen los sulfuros con cumplimiento del límite máximo permisible. Es necesario considerar que a este último valor de pH el consumo de ácido es menor y el tiempo es 30 minutos mayor; se debe decidir cuál pH se seleccionará con base en el caudal a tratar en la planta y en el consumo de ácido.
La solución receptora de sulfuros puede estar abierta a la atmósfera porque en este proceso no se perciben olores. Esto sugiere que la reacción entre el ácido sulfhídrico y el hidróxido de sodio es rápida por ser una reacción ácido base, debido a que se conecta un extractor para conducir los gases de ácido sulfhídrico hasta la solución de soda cáustica, e introduce el ducto dentro de la solución receptora: el exceso de aire debe tener salida.
Es importante cuidar que el tanque de homogenización permanezca con la tapa sellada y sin fugas a fin de evitar escapes de gases tóxicos de ácido sulfhídrico.


















