Services on Demand
Journal
Article
Indicators
-
Cited by SciELO -
Access statistics
Related links
-
Cited by Google -
Similars in
SciELO -
Similars in Google
Share
CT&F - Ciencia, Tecnología y Futuro
Print version ISSN 0122-5383On-line version ISSN 2382-4581
C.T.F Cienc. Tecnol. Futuro vol.1 no.4 Bucaramanga Jan./Dec. 1998
ANÁLISIS ESTRUCTURAL DE TUBERÍAS DE OLEODUCTOS ABOLLADAS POR CARGA EXPLOSIVA
RESUMEN
Se registra en este artículo la amplia experiencia obtenida en el oleoducto Caño Limón Coveñas, OCLC, Colombia, sobre el manejo y evaluación de las abolladuras causadas en la tubería por cargas explosivas. El OCLC ha sido sometido a más de 450 atentados terroristas con cargas explosivas. La mayoría de estos daños no llegan a la ruptura total de la tubería sino que generan deformaciones o abolladuras permanentes, mayores al 5%. Por lo tanto, se trata de adquirir elementos de juicio para la toma de decisiones sobre cuándo cambiarla y a su vez conocer el rango de presión en el cual puede operar el oleoducto de manera continua y segura. En el estudio se consideran varios aspectos relacionados con la evaluación de las abolladuras. Estos son: (a) La caracterización de las abolladuras en cuanto a la geometría, materiales (dureza, estructura metalográfica y esfuerzos, entre otros), efectos de las cargas explosivas y de la presión de operación y pruebas de presión hidrostática en tuberías a escala real, (b) La creación y validación de un nuevo procedimiento para evaluarlas abolladuras, (c) Discusión del análisis con modelamiento numérico. Los resultados muestran un aumento en la resistencia elástica y de ruptura del material localizada en la zona afectada y, por lo tanto, una disminución de la resistencia a la fatiga. Esta última es posiblemente la causa de la ruptura posterior de la tubería una vez ha sido abollada por la carga explosiva. Las pruebas hidrostáticas han demostrado que la tubería, al ser sometida a la presión interna de operación, sufre una recuperación parcial de su forma. En el caso de una abolladura tipo 24%, a presión de 1 2,4 MPa, se recuperará 0,036 m.
Palabras clave: esfuerzo elástico, elementos finitos, abolladuras, cargas de impacto, prueba hidrostática, esfuerzo.
ABSTRACTT
This paper presents the broad experience obtained in the Caño Limón Coveñas pipeline (OCLC), located in Colombia, on the manipulation and evaluation of the dents caused by explosive charges. During the last ten years, the OCLC pipeline has suffered more than 450 terrorist attacks using explosive charges. Most of the damages do not cause the total rupture of the pipes, they only generate dents and distortions grater than five percent (5%). A as consequence of this situation, we have tried to acquire all the judgement elements required to choose the appropriate time to change the pipes an to know the pressure level for a continuos and safe operation of the pipeline. The study include some three main aspects: (a) Characterization of the dents considering their geometry, materials (hardness, metallographic structure, efforts, etc) influences of explosive charges and of the operation pressure as well as hydrostatic pressure tests overa real scale pipe, (b) Creation and validation of a new method for dent evaluation and (c) Discussion of the analysis through numeric modeling. Results show an increase in the elastic and rupture resistance of the material located in the target area and therefore, a subsequuent fatigue resistance decrease. Fatigue is the possible cause for the subsequent rupture of the pipeline once it has been dented by an explosive charge. The hidrostatic tests have shown that a partial shape recovery is obtained when the pipeline undergoes a high operational pressure. For a 24% dent there will be 0.036 m recovery at a 1 2.4 Mpa pressure.
Keywords: elastic stress, finite elements, dents, impact loads, hydrostatic testing, effort residual.
INTRODUCCIÓN
En su vida de operación, el oleoducto Caño Limón Coveñas ha sido objeto de más de 450 atentados terroristas con cargas explosivas, de los cuales el 65% corresponden a abolladuras y el resto a ruptura total con derrame de crudo. Las abolladuras son deformaciones plásticas de diferente grado de severidad. Se pueden tener porcentajes de abolladura (PA) desde 5% hasta 60% (el PA es la relación entre la profundidad o altura de la abolladura y el diámetro de la tubería). Deformaciones mayores al 60% son raras y al encontrarlas se debe cambiar inmediatamente el tubo.
Considerando que a través de este oleoducto se transporta cerca del 50% de la producción nacional de crudo, fue necesario desarrollar una metodología para evaluar el grado de daño generado en las tuberías y la predicción del comportamiento mecánico en condición de presión interna. El objetivo de esta investigación es el de adquirir criterios técnicos para evaluar una abolladura en una tubería de conducción de crudo y determinar la integridad operacional, decidiendo si ésta puede continuar en operación o debe ser cambiada. Tal decisión influye seriamente sobre la operación y los compromisos de exportación (200 mil barriles por día) con el consiguiente efecto sobre la economía nacional (aproximadamente se dejan de recibir 1,8 millones de dólares por día de no producción). Además, una parada prolongada, no programada, puede afectar la explotación del campo y llevar hasta el cierre de algunos pozos. Las tuberías afectadas por explosiones, sin ruptura, son - de todas maneras - cambiadas, pero pueden ser acumuladas varias abolladuras y realizar la respectiva planeación del mantenimiento en una sola jornada, evitándose así las grandes pérdidas económicas respecto al cambio repentino de cada una de las abolladuras en varias jornadas no programadas.
Este proyecto se desarrolla en varias fases con recursos y apoyo de Ecopetrol debido a una escasez de información sobre el tema ya que, en la literatura publicada hasta el momento sobre estudios en tubería con deformaciones plásticas, no analiza el problema cuando es causado por cargas de impacto de alta velocidad. En una primera fase del proyecto de investigación se caracterizó toda la información disponible de las tuberías abolladas buscando correlacionar variables tales como geometría, esfuerzos, materiales y presiones de operación, tratando de identificar tendencias y comportamientos. En la segunda fase se implementa un nuevo procedimiento para evaluar abolladuras. Este nuevo proceso, practicado con éxito a partir de julio de 1994, permitió disponer de mejor información para la toma de decisiones sobre el estado de la tubería.
Sin embargo, nuevas preguntas surgieron como resultado de la utilización del procedimiento en operación con la tubería abollada: ¿Hasta qué presión se puede bombear?, ¿Por cuánto tiempo?. Por lo tanto, la Gerencia de Caño Limón Coveñas (GCX), el Instituto Colombiano del Petróleo (ICP) y la Universidad Nacional de Colombia (UN) conformaron un grupo de trabajo para crear un modelo computarizado de simulación de las condiciones específicas de una abolladura. El modelo computacional podría combinar múltiples variables, entregando información sobre geometría crítica, confirmación de tesis experimentales y criterios adicionales para evaluar las abolladuras. Esto constituyó la tercera fase.
CARACTERIZACIÓN DE ABOLLADURAS
Las abolladuras han sido caracterizadas experimentalmente en laboratorio y en pruebas de campo con el objeto de identificar las variables que describen el grado de daño, observando y analizando las siguientes variables:
-
Geometría
-
Espesor de pared
-
Dureza
-
Esfuerzo Elástico
-
Esfuerzo de Ruptura
-
Esfuerzo Residual
-
Porcentaje de Elongación
-
Grietas y pérdidas de material
-
Estructura Metalográfica
-
Presión de Operación
-
Grado de daño sobre soldaduras
Adicionalmente se prepararon las abolladuras, retiradas del oleoducto, para prueba hidrostática no convencional, en las cuales se aplicaron ciclos de ascenso y descenso de presión para simular condiciones dadas en el oleoducto, aumentando el grado de fatiga de la tubería hasta llevarla a un estado de falla y obtener una presión que ocasionara la ruptura más cercana a la realidad.
Geometría de las abolladuras
Desde el punto de vista geométrico se pueden tener abolladuras longitudinales, transversales y mixtas (Figura 1) (Lancaster, 1993). En la observación de los casos ocurridos en el OCLC se presentan varios tipos posibles de abolladuras, según sean los radios de curvatura transversales y longitudinales. Se encontró que las zonas que iniciaron la falla en las pruebas hidrostáticas están alejadas de la zona central de la abolladura donde aparentemente existe mayor daño.

La Figura 2 muestra un ejemplar (429k+150) de abolladura con un PA de 24%. Obsérvese la cuadrícula realizada para generar la geometría. En la Figura 3 se observa el perfil del mismo ejemplar en la línea de mayor deformación, en este caso el eje D.


La medición del PA debe asociarse al desplazamiento de un grano de metal de tubería de su posición original a la final. Adicionalmente, es importante la determinación de las curvaturas, zonas de concentración de esfuerzos que funcionan como atiezadores, restringiendo el desplazamiento, y la longitud no soportada de la cuerda que vibra ante la presión de operación.
La relación entre el largo de la abolladura y el PA determinará el grado de esfuerzo existente en la superficie de daño (Mejía, 1997). Así, relaciones pequeñas implican longitudes pequeñas, pero profundas, indicando deformaciones plásticas de alto grado y, por lo tanto, obligando a un cambio inmediato de la tubería. Para altas relaciones las abolladuras poseerán zonas largas no apoyadas que durante la variación de la presión interna estarán sometidas a problemas de fatiga,
principalmente. Este tipo de geometrías son de interés técnico ya que son susceptibles de ser dejadas en operación. Además, se debe tener en cuenta que las abolladuras transversales son más débiles (ante la presencia de ciclos de presurización y despresurización), con valores de resistencia a la fatiga entre un 10% y un 20% menores que la longitudinal.
Variación de la dureza
La dureza superficial (Latorre et al, 1997) en tuberías con deformación, medida con durómetro portátil, arroja valores entre 172 y 209 HBN (dureza Brinell). El valor esperado para el material en buenas condiciones es de 190 HBN. La dureza medida sobre especímenes extraídos del fondo de la abolladura (zona de mayor defecto) arrojó un valor promedio de 218 HBN.
Esfuerzo elástico y de ruptura
Fueron examinadas más de 56 probetas, clasificadas en tres tipos:
-
Con curvatura longitudinal: extraídas del fondo de la abolladura.
-
Con curvatura longitudinal y transversal: extraídas de la zona de transición.
-
No afectadas con carga explosiva: extraídas de zonas alejadas de la abolladura.
En la Tabla 1 se observan los resultados de las pruebas de esfuerzo uniaxial realizados en laboratorio con una máquina universal de ensayos mecánicos, sobre probetas extraídas del ejemplar 429k+150.

En la zona del fondo de la abolladura existe un incremento en los esfuerzos, lo que aumenta, por lo tanto, la fragilidad del material de modo que, ante cualquier variación en la presión interna, aumentará la probabilidad de falla por fatiga.
Esfuerzo residual (ER)
Un esfuerzo que origine un flujo plástico de tensión genera un ER de compresión, y un esfuerzo que origine un flujo plástico de compresión genera un ER de tensión. Sobre este último aspecto, una estructura podría fallar por fatiga. Éste es el caso de las tuberías abolladas por un flujo plástico de compresión (en el momento del impacto) que genera un esfuerzo residual de tensión. En la Tabla 2 se encuentran los resultados de la medición de los ER sobre la tubería 429k+150. Hernández et al. (1989), reporta valores para el ER en este mismo tipo de casos, del orden de 500 MPa a 750 MPa, en compresión. Estos valores coinciden con los presentados en la Tabla 2 para el punto B 5-6, C 5-6. La prueba fue realizada según la norma ASTM E-837-95, "Standard test method for determining residual stresses by the hole-drilling strain-gage method".

Con los resultados del método de medida de los ER, por medio de la perforación de un agujero, que implica una relajación de los esfuerzos, se debe tener mucho cuidado cada vez que los valores (en el fondo y en la zona de transición de la abolladura) resultan muy superiores, mayores al 50% del esfuerzo elástico recomendado y exigido por la norma. De la Tabla 2, el punto señalado como E-5 sí estaría dentro de los exigido por norma, pero el punto B 5-6, C 5-6 quizás quede por fuera de lo exigido. Esto implica que la utilidad de emplear este método en la evaluación de una abolladura en campo pueda ser muy restringida, además del posible concentrador de esfuerzos que se introduce al realizar una perforación.
Como puede notarse, los valores son de compresión, indicando que la explosión, en ese sitio, ha generado un esfuerzo plástico de tensión. Esto explica por qué la ruptura de la tubería en condiciones de fatigase produce en zonas de transición, donde existirán esfuerzos plásticos de compresión y por lo tanto ER de tensión.
Grietas y pérdidas de material
La mayoría de las grietas superficiales externas y las pérdidas de material en las tuberías analizadas deben su origen a cargas de impacto de metralla o pedazos de metal adicionados a la carga de dinamita.
Las grietas internas pueden estar presentes haya o no pérdida del material o presencia externa de grietas, y son el resultado del debilitamiento interno de la tubería.
Estructura metalográfica
El material de la tubería nominada API 5LX-65 corresponde a un acero ferrítico de grano fino, con buena resistencia a la tracción y elevada tenacidad al impacto.
En el análisis metalográfico se encontraron en probetas afectadas por la explosión los siguientes casos típicos:
-
Vacíos alineados con una perlita segregada en la línea centro del espesor de la pared.
-
Vacíos que van de la cara interior de la tubería hasta 3/4 del espesor de la cara externa de la tubería
-
Vacíos paralelos a la superficie externa de la tubería a 0,003 m en espesores de pared de 0,015 m.
Presión de operación
Se encontró que las abolladuras sometidas a variaciones importantes en la presión de operación fallaban con menores valores de los esperados, evidenciándose el crecimiento de la deformación plástica en la zona
abollada. Durante las pruebas con presión hidrostática, la abolladura con un 24% de PA se recuperó hasta quedar en 15% de PA al llegar a la presión de 12,4 MPa. En la Figura 4 se muestran los niveles de recuperación de la tubería 429k+150 durante la prueba hidrostática. Los esfuerzos máximo y mínimo en las tres zonas (zona no afectada, zona con curvatura transversal y zona con curvatura longitudinal), calculadas a partir de la medición de microdeformaciones durante la prueba hidrostática. En la Tabla 3 se incluye el valor calculado del esfuerzo circunferencial elástico. Nótese que el valor resultante es del mismo orden que el valor mínimo del esfuerzo para la zona no afectada.


La ruptura de la tubería puede suceder si existe un esfuerzo aplicado del 85% del esfuerzo elástico del material. Para el caso investigado, este último es de 538 MPa (Tabla 1), lo cual indica que la ruptura súbita de la tubería puede estar en los 457 MPa. Sin embargo, en la Tabla 3 se observa que los valores en las zonas deformadas son dos o tres veces superior a ese valor. Incluso en la zona no afectada los valores resultan muy superiores. Todo indica que el parámetro de presión máxima de fluencia (Hernández et al., 1989) resulta en un cálculo muy conservativo, quizás debido a que es realizado a partir de un ensayo de tracción uniaxial simple.
Grado de daño en soldaduras
El material de la tubería API 5LX 65 es un acero ferrítico de grano fino, con elevada resistencia a la tracción, alta tenacidad al impacto y excelentes condiciones de soldabilidad, lo cual lo hace muy propio para los procesos de soldadura, siempre y cuando ésta se realice en las condiciones requeridas.
Por lo tanto, la probabilidad de falla en una soldadura afectada por carga explosiva es muy baja. No se considerará como un punto débil en la evaluación de una determinada abolladura, teniendo en cuenta que las características del material de soldadura son superiores al material base.
PROCEDIMIENTO PARA LA EVALUACIÓN DE ABOLLADURAS
Con lo analizado sobre las variables anteriormente anotadas se definió un procedimiento para la evaluación de abolladuras causadas por carga explosiva que permite estandarizar la captura de información y crear las bases para iniciar la simulación de la abolladura a g través del modelamiento con elementos finitos, MEF.
Los pasos por seguir en el procedimiento son los siguientes:
-
Identificar las características de la tubería antes de la explosión: diámetro externo, espesor de pared, dureza, tipo de estructura metalográfica, esfuerzo elástico, ciclos de presión de operación y g procedimiento de soldadura utilizado.
-
En tubería subsuperficial, desenterrar la abolladura más una longitud adicional de un diámetro a cada lado de la zona afectada.
-
Con un marcador de metales, dibujar una cuadrícula cada 0,127 m en sentido longitudinal y circunferencial.
-
Identificar el tipo de abolladura (efecto que más sobresalga):
-
Longitudinal: abolladura extendida en el sentido del eje de la tubería.
- Transversal: abolladura con ensanchamiento lateral.
-
Definir el tipo de abolladura, buscando en las zonas de transición (cóncavo - convexo) que posiblemente se encuentre en los bordes de la abolladura.
-
Con un equipo de ultrasonido, tomar lecturas de espesores en la malla dibujada y, con mayor detalle, en las zonas de transición, cubriendo al menos 0,250 m a la redonda.
-
Con un palpador angular, buscar las posibles fallas internas en el espesor de pared de la tubería en zonas de transición o deterioradas.
-
Si hay presencia de grietas, medir la profundidad y longitud definiendo la localización (especificar si está en zona de transición o no).
-
Si hay pérdida de material, medir la profundidad relativa al espesor de pared de la tubería y no la absoluta respecto a otras pérdidas de material.
-
Medir la dureza en la cuadrícula con énfasis en la zona de transición, tomando tres lecturas por punto y promediando.
-
Dibujar en planta la información de espesores de pared y de dureza.
-
Dibujar la variación transversal y longitudinal de espesores de pared y dureza.
-
Medir el desplazamiento del grano de metal de la tubería desde su posición original (forma de círculo) hasta la posición abollada. Con esta altura (h) y el diámetro (d), calcular el porcentaje de abolladura, así: p.a.(%) = (h/d)-100%
-
Tomar la longitud de la abolladura en ambos sentidos y medir las curvaturas de las zonas de transición y longitudes no soportadas.
-
Registrar el inicio y el fin de la abolladura, en el sentido transversal, refiriéndose a las posiciones horarias del reloj.
MODELAMIENTO NUMÉRICO DE LAS ABOLLADURAS UTILIZANDO EL MÉTODO DE ELEMENTOS FINITO (Kormi and Webb, 1993) y (Ong et al., 1992)
Las tuberías abolladas del oleoducto Caño Limón -Coveñas se han modelado en computador utilizando el método de los elementos finitos. El trabajo ha sido realizado con el paquete de propósito general ANSYS.
El fin de realizar un modelamiento es el de obtener por medios computacionales el valor, o una aproximación a éste, de los esfuerzos resultantes sobre el material debido a las cargas explosivas y así poder compararlos con los esfuerzos admisibles del material.
Generalidades
El modelamiento en general presenta varias etapas. Estas son: definición del problema físico, modelo mecánico, modelo matemático y, finalmente, modelo computacional.
El modelamiento se inició con la selección de un caso de abolladura del 24% en una tubería API5LX65, de diámetro externo de 0,610 m y espesor de pared de 0,12 m, con presión de operación de 8 MPa, a la cual se le tomaron las siguientes medidas :
-
Configuración geométrica
-
Espesores de pared y dureza
-
Esfuerzos principales en: la zona en buen estado, zona de transición lateral y zona de transición longitudinal
-
Esfuerzos residuales.
En el banco de pruebas, la tubería fue sometida a una presión inicial de 12,4 MPa, en donde se obtuvo una recuperación de 0,055 m. Al despresurizar hasta 6 MPa cambió a 0,048 m, y al obtenerse nuevamente presión atmosférica, la recuperación final llegó a 0,041 m.
El modelo mecánico se refiere a la geometría, al sistema de cargas y al comportamiento del material. El modelo matemático se refiere a las ecuaciones diferenciales que, en este caso (elasticidad lineal), son el funcional de energía:


en donde:
μ v : Desplazamiento (son las incógnitas)
ƒ1,ƒ2: Cargas
h1,h2: Dimensiones de la malla
ds: Diferencial de área
Divergencia del desplazamiento
e: Constante del material
W: Dominio
G: Frontera
El modelo numérico es el sistema de ecuaciones algebraicas (3). Por último, el modelo computacional es la solución a las ecuaciones algebraicas a través de un paquete ANSYS.
Descripción del modelo
El modelo consiste en media tubería con longitud de abolladura de 1,250 m en sentido longitudinal y 0,890 m en el sentido transversal, sometido a una presión interna de 8 MPa (Figura 5)

El esfuerzo transversal, en régimen lineal-elástico, es 202,5 MPa. El esfuerzo elástico en el material sin daño es: 545 MPa. Este mismo esfuerzo medido en la zona afectada por la explosión es 700 MPa
Para el modelo se asume un material homogéneo, isotrópico y axisimétrico. Los posibles defectos internos que pudieran ser generados por la explosión no serán tenidos en cuenta.
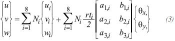
El elemento elegido es del tipo cascara (SHELL93), cuadrilátero, de ocho nodos, 3D, escogido por acoplarse mejor a la curvatura abollada. Las ecuaciones que debe resolver el elemento son:
en donde:
Ni: funciones de contorno μi, vi, wi. movimiento del nodo i
r: espesor
ti: espesor
{a}: vector unitario en la dirección s
{b}: vector unitario en el plano del elemento y
normal a {a}
θx,i: rotación del nodo i alrededor del vector {a}
θy,i: rotación del nodo i alrededor del vector {b}
El contorno de la abolladura se realizó utilizando líneas tipo splines, que se acomodan perfectamente a la curvatura, un total de 47 splines y 91 puntos fueron construidos para formar toda la geometría.
En la Figura 5 se observa la malla con los elementos. Un total de 1.188 elementos y 3.707 nodos han sido aplicados al modelo.
Resultados
La información del banco de pruebas sirvió para calibrar el modelo computarizado e iniciar simulaciones con diferentes tipos de abolladuras. Se observa que dos abolladuras de igual PA, pero diferente configuración de curvaturas y longitudes no soportadas, se deflectan ante los cambios en la presión de operación (Latorre et al, 1995)
En las curvaturas se generan cambios de esfuerzos, las cuales actúan como atiezadores durante el movimiento, y son estos sitios los de mayor probabilidad de ruptura durante la operación. Estos esfuerzos son mayores cuando las longitudes no soportadas son más grandes, dado que los desplazamientos ocurridos son más altos. Por lo tanto, el porcentaje de abolladura debe asociarse con el perfil de la curva y de la longitud no soportada para establecer los niveles de esfuerzos principales con los cuales el material fallará.
En la Figura 6 se puede observar el nivel de esfuerzos y el lugar donde se producen. Se observa que el lugar de mayor nivel de esfuerzo se halla en la zona de transición y no en el fondo de la abolladura, lo cual coincide con lo reportado en la literatura (Mejía, 1997) y con lo experimentado durante la prueba hidrostática. Los valores de los esfuerzos resultantes son del mismo orden de magnitud que los medidos experimentalmente (Tabla 3, Zona de curvatura longitudinal).

CONCLUSIONES
-
No hay relación directa entre la dureza y la geometría de la abolladura. El promedio normal de dureza Brinell para el material en buenas condiciones es 190 HBN. Los valores medidos dan un promedio de 218 ± 5HBN. Esto implica un aumento en el esfuerzo último del material y una disminución en la resistencia a la fatiga.
-
Una abolladura del 24,5% en un tubo de 0,610 m de diámetro externo y 0,012 m de espesor de pared, al ser sometida a una presión de 12,4 MPa - 34% superior a la presión de operación 8,3 MPa, presenta una recuperación de la abolladura hasta quedar en un 17%. A una presión de 24,8 MPa la recuperación es casi total. La recuperación implica una disminución de la tensión superficial.
-
El mayor valor de los esfuerzos se halla en el fondo de la abolladura, según pruebas de tensión uniaxial, Tabla 3. Esto indica un comportamiento esperado para una abolladura tipo cilindrico.
-
El fondo de la abolladura presenta un 12% mayor al valor del esfuerzo último que el encontrado en la zona no afectada. En la zona de transición, el esfuerzo último resulta menor que en el fondo, con un 6% mayor que el hallado en la zona no afectada. Estos valores son válidos para la muestra del 429 km+150, con un 24% de abolladura.
-
Un aspecto relevante en la evaluación de la abolladura es el valor de la longitud no soportada, que se
-
constituye en puntos de altos esfuerzos y muy susceptibles a rotura debido a la variación en la presión. Es de mayor importancia la longitud no-apoyada que la longitud total de la abolladura.
-
Entre mayor sea la relación D/t, diámetro externo a espesor de pared, la tubería será más susceptible de recuperación bajo las condiciones de presión interna. Esto mismo hará que en la variación de la presión de operación la tubería sea sometida a fatiga que pueda generar grietas o propagarlas. Un valor de la relación D/t menor ofrecerá una mayor oposición al ciclaje de operación y, por lo tanto, menor susceptibilidad a generar o propagar grietas.
-
Es posible entonces que, según cada porcentaje de abolladura, pueda ser utilizada una tubería de mayor espesor de pared (en los sitios donde se ha reparado o donde se va a cambiar la tubería), de tal manera que se pueda ofrecer una mayor rigidez a las condiciones de ciclaje.
-
El análisis tridimensional elástico demuestra que la relación d/D (% de abolladura) es la más importante junto con el valor del esfuerzo elástico (sy), incluso por encima del valor de la longitud total y de la forma aparente de la abolladura.
-
Futuros trabajos. Las abolladuras típicas deberán ser analizadas en condiciones de variación de presión (fatiga), tratando de simular las condiciones reales de operación.
REFERENCIAS
Hernández, H., Ramos, P. y Torres, R., 1989. Análisis de fractura en tuberías de conducción de petróleo, Universidad Nacional de Colombia, Facultad de Ingeniería Mecánica. [ Links ]
Kormi, K. and Webb, D. 1993. "The Use of the FEM to evaluate the response of damaged pipes. Part 2 -Dynamic Loading", Piping, Supports, Structural Dynamics ASME, Proceding Pressure Vessels, Piping Conference,.Denver, Co., ISSN: 0777 - 027X, 264: 159 -167. [ Links ]
Lancaster, E., 1993. "Behaviour of pressurised pipes containing dents and gouges", Disertación Doctoral. Universidad de Cambridge. [ Links ]
Latorre, G., Martínez, A., Suárez, R. y Mora, R. 1995, "Pruebas hidrostaticas de campo para analizar el comportamiento de un tramo de tubería abollada KM 429+150", Informe - 9512075, Ecopetrol - Instituto Colombiano del Petróleo, Bucaramanga, Colombia. [ Links ]
Latorre, G., Martínez, A. y Mora, R. 1997. "Evaluación de Tuberías abolladas por cargas explosivas. Fase III. Caso: 429k+ 150", Boletín ICP,Tomo3. [ Links ]
Mejía, F., 1997. "Análisis de tuberías abolladas", Memorias del IV Congreso Colombiano de Elementos Finitos y Modelamiento Numérico, Bucaramanga, Colombia. [ Links ]
Mejía, E, Latorre, G, Mora, R, Bernal, H. y Morales, 1,1995. "Modelamiento numérico de tuberías abolladas", Universidad Nacional I.E.I.: Bogotá, D.C., Colombia. [ Links ]
Ong, L., Soh, A. and Ong. 1,1992. "Experimental and Finite Element Investigation of Local dent on a pressurized pipe", Strain Analysis Engineering Design, 27 (3): 177 -185. [ Links ]













