SciELO - Scientific Electronic Library Online

 
vol.27 issue2Media Ecology and Collective Memory Construction: The Role of Cultural Tourism in the Digital AgeIssues, Interactions, and Group Images as Mechanisms of Affective Polarization in Two Environmental Conflicts in Argentina author indexsubject indexarticles search
Home Pagealphabetic serial listing  

Services on Demand

Journal

Article

Indicators

Related links

  • On index processCited by Google
  • Have no similar articlesSimilars in SciELO
  • On index processSimilars in Google

Share


Palabra Clave

Print version ISSN 0122-8285On-line version ISSN 2027-534X

Palabra Clave vol.27 no.2 Chia Apr./June 2024  Epub May 14, 2024

https://doi.org/10.5294/pacla.2024.27.2.1 

Artículos

TikTok en campañas políticas: estudio de caso de las elecciones regionales en Colombia, 2023

TikTok in Political Campaigns: A Case Study of Colombia's 2023 Regional Elections

TikTok nas campanhas políticas: um estudo de caso das eleições regionais na Colômbia, 2023

Jaime Andrés Wilches Tinjacá1 
http://orcid.org/0000-0002-4425-9394

Hugo Fernando Guerrero Sierra2 
http://orcid.org/0000-0002-7280-1662

César Niño González3 
http://orcid.org/0000-0002-1417-6643

1 Politécnico Grancolombiano, Colombia. jwilches@poligran.edu.co

2 Universidad Militar Nueva Granada, Colombia. hugo.guerrero@unimilitar.edu.co

3 Universidad de La Salle, Colombia. cnino@unisalle.edu.co


Resumen

El uso de TikTok en las campañas políticas se ha convertido en una tendencia local y global, porque abarata la financiación de candidatos y posibilita explorar formatos multimediales. En esta dirección, el objetivo del artículo es analizar el uso de esta red social en las elecciones regionales de Colombia durante el año 2023, teniendo como hipótesis que, independiente del contexto geográfico, TikTok incidió en la elección de los candidatos ganadores y con ello valida la postura teórica de las leyes de la interfaz. La metodología toma como corpus el número de seguidores y "tiktoks" realizados por los dos candidatos con mayor votación en cada uno de los 32 departamentos y capitales de Colombia. El método integra dos estrategias: un análisis descriptivo de redes sociales que evidencia los casos en los que el candidato ganador tenía más seguidores o piezas comunicativas en TikTok, y un análisis de correlación canónica que establece la relación entre la utilización de la red social y las zonas geográficas del país. La discusión sugiere que TikTok se ha convertido en una herramienta fundamental para las campañas políticas que trasciende el territorio y que esta tendencia se mantendrá en ascenso, debido a la singularidad de su algoritmo y diversidad de ofertas para la interacción de usuarios. El artículo aporta a la literatura de campañas electorales, interfaz de TikTok e influencia en contextos territoriales. Por último, se propone una agenda de investigación que profundice en las transformaciones de este fenómeno para la cultura "pop-lítica" y las emociones sociales.

Palabras clave: Campañas políticas; Colombia; elecciones regionales; redes sociales; TikTok

Abstract

The use of TikTok in political campaigns has become a global and local trend because it makes it cheaper to finance candidates and allows the exploration of multimedia formats. The article intends to analyze the use of this social media platform in the regional elections of Colombia during 2023, hypothesizing that regardless of the geographical context, it influenced the election of the winning candidates and strengthened the theoretical position of the interface laws. The methodology takes as a corpus the number of followers and TikTok videos made by the two candidates with the highest number of votes in each of Colombia's 32 departments and capitals. The method integrates two strategies: a descriptive analysis of social media that evidences the cases in which the winning candidate had more followers or communicative pieces on TikTok and a canonical correlation analysis that establishes the relationship between the use of the platform and the country's geographical areas. The discussion suggests that TikTok has become a fundamental tool for political campaigns that transcend territory and that this trend will continue to rise due to the uniqueness of its algorithm and the diversity of offers for user interaction. The article contributes to the literature on electoral campaigns, TikTok interface, and influence in territorial contexts. Finally, we propose a research agenda that delves into the transformations of this phenomenon for pop-political culture and social emotions.

Keywords: Political campaigns; Colombia; regional elections; social media; TikTok

Resumo

A utilização do TikTok nas campanhas políticas tornou-se uma tendência global e local, porque torna mais barato o financiamento dos candidatos e permite explorar formatos multimidiáticos. Nessa direção, o objetivo deste artigo é analisar a utilização dessa rede social nas eleições regionais na Colômbia em 2023, com a hipótese de que, independentemente do contexto geográfico, o TikTok influenciou a eleição dos candidatos vencedores, reforçando assim a posição teórica das leis da interface. A metodologia toma como corpus o número de seguidores e "tiktoks" feitos pelos dois candidatos mais votados em cada um dos 32 departamentos e capitais da Colômbia. O método integra duas estratégias: uma análise descritiva de redes sociais que destaca os casos em que o candidato vencedor tinha mais seguidores ou peças comunicativas no TikTok; e uma análise de correlação canónica que estabelece a relação entre a utilização da rede social e as áreas geográficas do país. A discussão sugere que o TikTok se tornou uma ferramenta fundamental para campanhas políticas que transcende o território e que essa tendência continuará a aumentar, devido à singularidade do seu algoritmo e à diversidade de ofertas para a interação dos utilizadores. O artigo contribui para a literatura sobre campanhas eleitorais, interface TikTok e influência em contextos territoriais. Por fim, propõe uma agenda de pesquisa que aprofunda as transformações desse fenômeno para a cultura "pop-lítica" e as emoções sociais.

Palavras-chave: Campanhas políticas; Colômbia; eleições regionais; redes sociais; TikTok

Las ciudadanías en general sienten apatía por la política tradicional y claman por candidatos preparados y con trayectoria en cargos públicos (Ekström y Sveningsson, 2019; Meneses y Carpio, 2022). Sin embargo, hacia el final de las campañas electorales, se crea un ambiente de curiosidad y sensacionalismo sobre la vida íntima de los políticos que se candidatizan (Scammell, 1999). Asimismo, estos son expuestos y contrastados en su coherencia con sus discursos y acciones. Con base en lo anterior, es justo en esos momentos donde se despiertan emociones relacionadas con la capacidad del candidato para comunicar la superación de un pasado decepcionante y vislumbrar un futuro optimista (Acosta, 2022).

En ese sentido, las redes sociales han exacerbado el campo de lucha por la conquista de las emociones políticas (Webster y Albertson, 2022). Así, las plataformas digitales se convierten en un lugar de encuentro en el que se hacen reclamos de política pública y demandas ciudadanas y donde, a su vez, se movilizan ficciones discursivas sobre los candidatos mediante performances en las que se los muestra empáticos frente a sus potenciales electores y volcados a satisfacer las demandas sociales (Boulianne, 2015).

La necesidad de acortar el mensaje y volverlo estratégico ha implicado que en las campañas electorales se anule el lenguaje técnico y se promuevan relatos primarios que toquen fibras individuales y colectivas (Kühne et al., 2011). En este contexto, cada red social se ha convertido en un espacio estratégico para la gestión de las emociones políticas (Lin y Himelboim, 2019). Facebook, por ejemplo, construye conexiones a través de comunidades cercanas (Sánchez-Vizcaíno, 2019); Instagram es un espacio donde los usuarios comparten contenido multimedia (Candale, 2017); X/Twitter se caracteriza por su "inmediatez, lo que fomenta un intercambio fluido de la conversación y el debate político" (Campos-Domínguez, 2017, p. 789); y, finalmente, TikTok se muestra como un lugar versátil que no solo permite la divulgación de publicidad política, sino que también funciona como una red para mover contenido personal y de entretenimiento, además que capta la atención de los usuarios gracias a su formato ágil y sencillo (Slater, 2022; Alonso-López et al., 2023).

Es oportuno aclarar que el planteamiento del problema no es que las estrategias de comunicación política en campañas electorales resulten novedosas por la utilización de redes sociales como TikTok. El eje orientador se encamina a llamar la atención sobre cómo este tipo de estrategias han sido utilizadas con astucia por los políticos de oficio y, en el contexto específico, a mostrar su incidencia en lo que formalmente podrían ser las primeras elecciones regionales que contaron con esta red social, si se tiene en cuenta que las últimas habían sido efectuadas en el 2019 y la consolidación de la plataforma digital se dio a partir de 2020.

Para el caso concreto, la pregunta que guía esta investigación es si TikTok incide en elecciones de candidaturas regionales. El objetivo es analizar el uso de esta red social en las elecciones regionales de Colombia durante el año 2023, teniendo como hipótesis que, independientemente del contexto geográfico, TikTok incidió en la elección de los candidatos ganadores y que ello valida la postura teórica de las leyes de la interfaz. Para responder la pregunta, el artículo está configurado de acuerdo con tres categorías: a) la inserción de TikTok en las dinámicas electorales, b) TikTok y su potencial diferenciador y c) TikTok en relación con las leyes de la interfaz y la arqueología de medios.

Respecto del contexto de las elecciones regionales, la selección de un caso local no implica que el estudio quede limitado a una lectura global. Uno de los propósitos de la investigación es contribuir a la línea de trabajo que autoras como Cervi (2023) han posicionado en el análisis de las elecciones regionales y cómo estas han fortalecido al político influenciador (influencer) o, en el caso de Estados Unidos, cómo se ha experimentado el fenómeno de viralización de campañas políticas, con las ofertas de producción que ofrece TikTok (Boffone, 2022).

En esta línea de trabajo, Cervi et al. (2021) se han interesado por el fenómeno de TikTok como una plataforma que abre posibilidades a que candidatos sin recursos para agenciar grandes maquinarias de mercadeo político encuentren en la red social una posibilidad de expresión (Cervi y Marín-Lladó, 2021), sin que esto indique una idealización del escenario electoral (López-Fernández, 2022), pues, por el contrario, suponen la emergencia de otras problemáticas, como las noticias falsas, los discursos de odio y la desinformación (Castro-Martínez y Díaz-Morilla, 2021; Weimann y Masri, 2023).

En el caso de las campañas políticas regionales colombianas de 2023, el enfoque de entretenimiento polifacético de TikTok permitió que los candidatos se presentaran ante los electores de forma innovadora y cercana, respaldados por las disposiciones del Conejo Nacional Electoral (CNE, 2020), quien dio vía a las redes sociales como mecanismo para la propaganda política. Los candidatos crearon contenidos más cercanos al mensaje del entretenimiento que los proyectos en campañas políticas tradicionales y así promovieron de manera acelerada una cultura política mediada por las emociones primarias.

Este caso ya se vivió con las consultas interpartidistas (Lozano, 2022) y la segunda vuelta de las elecciones presidenciales colombianas de 2022 (Wilches et al., 2024). Esta campaña estuvo marcada por el interés de dos candidatos populistas (Basset, 2023) por TikTok como dispositivo novedoso para la transmisión del mensaje político. Sin embargo, la aspiración era la misma: ganar la presidencia y presentar una narrativa de dislocación en la que la crisis aparecía como un hecho excepcional que necesitaba tener un héroe que se enfocara en ella y procediera a solucionarla por el bien común (Brito y Leitao, 2022). Con la herencia de un país polarizado, mediado por la incidencia de las redes sociales, las elecciones regionales enfrentaron este escenario como un campo de lucha ideológico y el interés por demostrar los errores del gobierno elegido en el 2022, de un lado, y con el propósito de mantener la cohesión oficialista (Jiménez, 2023), en la otra orilla.

Si bien la literatura sobre campañas políticas y uso de redes sociales ha sido prolífica en el tiempo reciente, esta se ha concentrado en redes sociales como Twitter y Facebook, mientras que la estructura de TikTok es diferente y hasta ahora se están impulsando investigaciones sobre la incidencia de esta herramienta en campañas electorales y su estrategia de sintetizar propuestas, evitar la profundidad de los debates y reforzar el carácter emotivo en el diseño de campañas electorales con la estrategia del hashtag (Corzo y Chanquía, 2020). Asimismo, no se pueden obviar los retos que se avecinan con el uso de aplicaciones de inteligencia artificial y su constante evolución en estructurar narrativas que se acomoden a los intereses de los candidatos, al igual que su capacidad de condicionar las preferencias de la ciudadanía. Así, los estrategas en mercadeo electoral, mediante los mensajes en TikTok, logran sacar al político de su distancia y su actitud seria y fría, haciéndolo ver afable y divertido, al mejor estilo de una celebridad de la cultura pop (Battista, 2023).

Respecto del crecimiento exponencial de TikTok, esta red social tuvo su ascenso durante la pandemia por Covid-19 (Quiroz, 2020) y jugó un papel fundamental en ella para la viralización de contenido con desinformación sobre el papel de las vacunas en la salud pública global. También tuvo un impacto protagónico en la salud mental de jóvenes en dicho periodo y fungió como espacio de contienda política en diferentes partes del mundo (Basch et al., 2021).

Uno de los rasgos distintivos de TikTok es su algoritmo. A través de este se establecen las preferencias de los usuarios de acuerdo con el registro del cúmulo de interacciones con la aplicación, independientemente de los alcances que estas tengan en términos de seguridad, ciberseguridad y salud mental (González, 2022). La forma en que funciona el algoritmo de TikTok apalanca procesos de información y comunicación virales capaces de moldear emocionalmente a su espectador (Zamora-Medina et al., 2023).

En el año 2021, justo en el marco de la pandemia por Covid-19, TikTok se convirtió en la aplicación con más descargas a escala mundial, al alcanzar uno número de 656 millones, 100 millones más que Instagram (Milenio Digital y DPA, 2022). Así, la exponencial popularidad alcanzada por esta nueva y llamativa aplicación no tardaría en posicionarla como una herramienta de comunicación política de obligatorio uso y, a la vez, como un campo de batalla electoral en busca de seducir votantes (Castro-Martínez y Díaz-Morilla, 2021).

TikTok ha logrado posicionarse como la principal fuente de información a escala mundial, superando incluso a herramientas como Google (HubSpot y Bradwatch, 2023). Esta exponencial penetración entre el público ha sido fruto de su impresionante capacidad de crear una identificación colectiva y de autorrepresentación entre los llamados centennials o integrantes de la Generación Z, quienes la usan masivamente (Zeng y Abidin, 2021). Sin embargo, TikTok también ha logrado incursionar entre las preferencias de públicos más adultos, quienes se la apropian como herramienta para expresar narrativas de nostalgia por al pasado y para sumarse a las tendencias enfocadas en comunicar e interactuar usadas y viralizadas por los más jóvenes (Vaterlaus y Winter, 2021).

Por supuesto, el impresionante crecimiento de TikTok entre las preferencias digitales de todos los segmentos de la población a escala global no ha pasado desapercibido en el ámbito de la comunicación política ni, específicamente, en el diseño de las campañas electorales. Como es de amplio conocimiento, la comunicación política se ha consolidado como un ámbito de estudio de gran proyección, hasta desarrollar toda una estructura de orden científico que se materializa en cetros de estudio, programas académicos y una creciente oferta de literatura académica (Subekti et al., 2022).

Respecto de la tercera categoría: TikTok en las leyes de la interfaz y la arqueología de medios, el análisis de redes sociales ha impulsado una prolífica investigación científica sobre las formas como se han estructurado las subjetividades contemporáneas. No obstante, algunos de estos estudios derivaron en perspectivas que, trabajadas por distintas ciencias sociales, sobrestimaron el impacto de estas transformaciones digitales a costa del desconocimiento de las trayectorias históricas de las culturas mediáticas, la naturaleza del acto de comunicar en los seres humanos y los intereses que supone la persuasión de ideas, creencias y valores. En el caso de las campañas políticas, es habitual que los análisis se reduzcan a mirar con particular novedad y asombro la utilización de una estrategia comunicativa y oculten con ello la tradición de un área de conocimiento en la que se reformulan de manera constante los anclajes entre las tecnologías de mediación y las emociones de individuos y colectivos.

En esta dirección, son fundamentales los aportes que retoman la concepción de McLuhan sobre la ecología de los medios (Balasundaram, 2023) para proponer una visión holística y caleidoscópica de lo medios, como parte de los procesos en los que la humanidad decide mantener o cambiar las reglas que rigen su vida social. Esta línea de trabajo se mantendrá con las posturas teóricas que abogan por una arqueología de los medios (Parikka, 2012, De Barros, 2018), entendida como la necesidad de una indagación en profundidad sobre la génesis y las readaptaciones de las formas de comunicación, de acuerdo con las posibilidades que ofrezca la tecnología en un momento histórico concreto.

Los aportes mencionados han sido cruciales para evitar que la concreta revolución digital del siglo XXI quede reducida a un determinismo tecnológico y, más bien, para que su análisis se articule con las interacciones cotidianas, los intereses políticos y los modelos económicos que hacen posible el asentamiento de estas hipermediaciones (Rojas y Jaque, 2024), con los retos que supone tanto una oferta ilimitada de posibilidades y recursos que irán sofisticando o readaptando prácticas de comunicación en la historia de la humanidad (Echauri, 2023) como las posturas filosóficas en las que el hecho tecnológico sea importante, pero no fundamental en la concepción del mundo (Gabriel, 2016).

En esta línea argumentativa aparece que las plataformas de comunicación han experimentado transformaciones significativas que van desde la accesibilidad a la información hasta la forma en que cada individuo configura sus preferencias audiovisuales personalizadas (Scolari, 2022). El crecimiento de los medios digitales ha generado adaptaciones estratégicas para estructurar campañas políticas, estableciendo un enfoque relacional en aras de la interacción con el público joven (Casero-Ripollés et al., 2016, p. 379). El uso estratégico de las redes sociales sugiere que las interacciones en línea generan volúmenes de datos sin precedentes (Espinosa-Oviedo et al., 2016). Estos datos permiten tanto a las aplicaciones como a los políticos personalizar el contenido que los ciudadanos consumen e incorporar elementos emocionales que ejercen un impacto directo en las opiniones de los votantes (González, 2019).

En esta perspectiva, Scolari (2021) adopta una postura teórica en la que esquematiza las interfaces de acuerdo con 11 leyes que están en permanente actualización y discusión, debido a la evolución y constante cambio, lo cual, como él mismo reconoce, imposibilita cualquier pretensión de canonización teórica. En la actualización de su propuesta, se encuentran varias orientaciones para analizar una interfaz, entre las que se deben tener en cuenta "1. Identificación y análisis de actores, 2. Identificación y análisis de relaciones, 3. Identificación y análisis de procesos" (p. 251). La Figura 1 expresa las relaciones que se tejen en la confluencia de los tres procesos mencionados.

Fuente: página web de Carlos Scolari (https://hipermediaciones.com/ }

Figura 1 Propuesta de análisis de interfaz 

En el caso de estudio, la perspectiva de Scolari dialoga con la propuesta de Benson et al. (2021), quienes plantean que las redes sociales ofrecen al menos tres ventajas notables en medio de elecciones políticas. En primer lugar, brindan a los candidatos un mayor control sobre los mensajes de sus campañas. En segundo lugar, ofrecen a los políticos un medio para sortear los medios de comunicación tradicionales y dirigir mensajes directamente a las poblaciones objetivo. Finalmente, otorgan a candidatos individuales o alternativos (outsiders) la posibilidad de usar estas plataformas como medio para incrementar su visibilidad en tiempo real.

Desde hace ya varios años, el uso de las redes sociales ha determinado un importante cambio relacional y de escenarios en el debate político e, inherentemente, en las campañas electorales (Gil et al. 2010). En esta línea, los políticos y sus estrategas utilizan cada vez más las redes sociales no solo como medios de difusión de mensajes, sino como entornos de interacción y construcción de sentimientos de credibilidad, confianza y empatía (Corredoira, 2020).

Por supuesto, no todas las redes sociales son instrumentalizadas de la misma manera ni ofrecen lo mismo al político y su búsqueda de ubicar su mensaje entre los usuarios. Por su parte, X/Twitter ofrece, hasta ahora, una tribuna de interacción puntual y directa mediante la expresión sintética de ideas y opiniones, que pueden ser acompañadas de forma muy limitada por elementos de imagen y video (Marcos-García et al., 2021). En cambio, TikTok ofrece todo un arsenal de herramientas multimedia que permiten diseñar contenido con alto nivel de fascinación audiovisual, donde se logra superar ágilmente la simple interacción a favor o en contra, propia de otras redes sociales. Así, la capacidad de exhibir, banalizar, ironizar y criticar mediante cortos y llamativos recursos audiovisuales permite una acelerada apropiación y viralización del mensaje político entre millones de usuarios (Karizat et al., 2021). Una aproximación a este objetivo se puede encontrar previamente en YouTube, donde es posible acceder, pausar y adelantar el mensaje audiovisual, pero no con la instantaneidad y agilidad que hoy propone TikTok (Wang y Guo, 2023). TikTok da un paso enorme hacia la simplificación de la interacción y la seducción del mensaje y, en esa línea, da la posibilidad de posicionamiento del mensaje del político-influenciador (influencer) (Cervi et al., 2023).

Como ya se había subrayado, TikTok ofrece un amplio espectro de recursos audiovisuales que le permiten al diseñador de contenido insertarse en un proceso creativo sencillo y llamativo, lo que adicionalmente le facilita promover comunidades espontáneas y orientar tendencias (Conde, 2021). TikTok, mediante todo este cúmulo de herramientas, permite redefinir y otorgar espectacularidad a la cotidianidad, convirtiéndola fácilmente en expresión de cercanía y confianza, algo que resulta irresistible para el comunicador político, quien quiere convertir el ansiado abrazo del candidato en la plaza pública en un abrazo que reciben millones a través de sus dispositivos móviles.

En este orden de ideas, TikTok claramente evidencia una evolución en la cultura de medios y redes sociales (Wang et al., 2022). Así como la televisión redefinió las lógicas comunicativas ejercidas por la prensa y la radio en el siglo pasado y las plataformas de streaming han revolucionado el mercado televisivo en los últimos años, TikTok ha agitado visiblemente el mundo de las redes sociales y los alcances de sus usos. Sin embargo, en una sociedad cada vez más caracterizada por sus trasformaciones frenéticas, especialmente en el mundo de la tecnología, seguramente el reinado de TikTok no será de largo aliento, siendo en su momento relegado por otras alternativas que logren ofrecer mej ores y más seductoras herramientas, quizás originadas en proyectos que vinculen la inteligencia artificial y el metaverso (Rathore, 2023). En esta lógica, otro aspecto que parece claro es que los determinantes de la evolución de las herramientas comunicativas estarán cada vez más sujetos a la capacidad de los algoritmos de proyectar las preferencias de los usuarios en función de sus identidades, por ejemplo, de tipo generacional (Lee, 2022). En todo caso, cualquier avance en la oferta de las plataformas digitales y de las redes sociales parece que continuará respondiendo al menos a la presencia de tres elementos: agilidad, instantaneidad y mensajes concretos.

Metodología

Para el corpus de trabajo se tomaron el número de seguidores con corte al 4 de noviembre de 2023 y de piezas comunicativas realizadas por los dos candidatos con mayor votación en los 32 departamentos de Colombia y sus 32 ciudades capitales. En el caso de las piezas comunicativas, se tomaron las realizadas durante el último mes de campaña, entre el 1 y el 29 de octubre, fecha de las elecciones regionales, teniendo en cuenta los criterios establecidos por Herrero (2020), en el que se establece la importancia de este periodo para afianzar percepciones de los ciudadanos y acercar al votante mediante narrativas emotivas en donde se sientan escuchados y representados en cuanto a los problemas que afrontan en su vida cotidiana (Scammel, 1999).

En la fase de análisis descriptivo se sistematizan los datos y se brinda un resultado concreto acerca de las tendencias en la utilización de la red social (Stattner y Collard, 2015). De aquí se desprende un análisis cualitativo que, a su vez, constituye una base de datos que pueda ser reinterpretada con la inserción de otras variables, como número de comentarios, "Me gusta" (likes) o tipos de formatos que se utilizan, de acuerdo con las posibilidades que ofrece la interfaz de TikTok (García-Marín y Salvat-Martinrey, 2022).

Aunque el análisis de TikTok tiene desarrollos incipientes y falta un software o aplicación que sistematice los resultados, como se realizan con redes sociales como X, se cuentan con recursos metodológicos que contribuyen a un campo relativamente temprano en los estudios de comunicación (Loor-Ávila y Baquerizo-Álava, 2022). Para esta investigación, se establece que las estrategias de la etnografía digital ofrecen una minería de datos pertinente para explorar las estrategias de campaña que se han desplegado en las redes sociales (Schellewald, 2021).

Una vez se han recolectado los datos, se asume el reto de identificar las variables a trabajar. El trabajo de González (2022) aporta un diseño metodológico basado en la crítica visual con identificación de cuatro vectores: el lugar de la producción, el lugar de la imagen, el lugar de la circulación y el lugar de la audiencia. Atendiendo a esta propuesta, este artículo trabaja el análisis de correlación canónica para articular estas variables, entendiendo que, si bien las plataformas digitales tienden a borrar fronteras en la búsqueda de las audiencias, para el caso de elecciones regionales los públicos suelen estar definidos y los contenidos con referencias concretas no procuran la viralización de contenidos, sino responder a los intereses locales que se quiere conquistar en la coyuntura electoral.

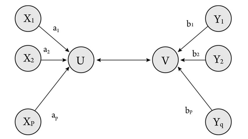
Respecto del análisis de correlación canónica, es una técnica estadística que analiza el comportamiento de distintas variables (Barrios, 2023). Acá se ha seleccionado esta estrategia con el fin de evidenciar que los criterios geográficos no son influyentes en el momento de determinar la incidencia o no de una red social y que pueden primar o un acto de voluntad del candidato o las decisiones del equipo de campaña.

Fuente: elaboración propia a partir de Vinuesa (2016).

Figura 2 Modelo de correlación canónica 

En este caso se tomaron dos conjuntos de variables y las respectivas subvariables a correlacionar:

  • • Variables U (número de seguidores y número de tiktoks): un corpus de videos es definido de la siguiente manera:

Variable 1 (X 1 ): número de seguidores en la plataforma TikTok.

Variable 2 (X 2 ): número de vídeos publicados en la plataforma.

  • • Variables V (ubicación geográfica): se define un corpus a partir de la distribución geográfica de los candidatos:

Variable 1 (Y 1 ): centralidad. Se asigna un código dependiendo de la distancia de la capital: 0 para Bogotá, 1 para las capitales de la región andina, y -1 para las ciudades y departamentos de las otras cinco regiones del país.

Una vez definido el valor de cada variable, se procedió a tabular los conjuntos de variables y sus valores (Tablas 1 y 2).

Tabla 1 Ejemplo de procesamiento de datos: alcaldías 

Fuente: elaboración propia.

Tabla 2 Ejemplo de procesamiento de datos: gobernaciones 

Fuente: elaboración propia.

Para analizar la información recopilada se utilizó el software RStudio o SPSS, con el propósito de identificar:

  • Coeficientes de correlación canónica, índice de la fuerza y la dirección de las relaciones entre los conjuntos de variables. Un coeficiente canónico alto (cerca de 1 o -1) indica una fuerte relación positiva o negativa entre los conjuntos de variables. Si es cercano a 0, no hay una correlación significativa.

  • Círculos canónicos: representan la importancia de cada variable en la correlación.

  • Relaciones de dispersión, para ilustrar las conexiones entre las variables.

Los resultados obtenidos con el software RStudio permiten establecer la fuerza y la dirección de las relaciones entre los conjuntos de variables. En primer lugar, se genera una matriz de correlación con la cual se representa gráficamente la "medida de la relación (covariación) lineal entre dos variables cuantitativas continuas (X, Y)" (Vinuesa, 2016), donde el índice de correlación r puede variar entre -1 y +1, haciendo referencia a correlaciones perfectas, negativas o positivas. De acuerdo con Vinuesa (2016), un valor de r = 0 indica que no existe relación lineal entre las dos variables, una correlación positiva indica que ambas variables varían en el mismo sentido y una correlación negativa significa que ambas variables varían en sentidos opuestos. Lo interesante del índice de correlación es que r es en sí mismo una medida del tamaño del efecto, que suele interpretarse de la siguiente manera:

Correlación despreciable: r < |0,1|.

Correlación baja: |0,1| < r < = |0,3|.

Correlación mediana: |0,3| < r < = |0,5|.

Correlación fuerte o alta: r > |0,5|.

Resultados

Análisis descriptivo

La Tabla 3 indica que, de 32 alcaldías de ciudades capitales y 64 casos posibles (32 opciones de seguidores y 32 tiktoks), en 35 de estos el ganador tenía más seguidores o tiktoks (24 alcaldías) y solo hubo 8 casos atípicos . Esta tendencia no evidencia de manera causal que TikTok sea una interfaz que garantice la victoria de un candidato, pero sí refleja el interés en adoptar una performance para las redes sociales. Llama la atención el caso de Mitú, ya que, pese a ser una zona con difícil acceso a internet, está en similares condiciones que territorios como San José del Guaviare y Puerto Inírida.

Tabla 3 Resultados alcaldías vs seguidores-número de tiktoks 

Fuente: elaboración propia.

Según la Tabla 4, para 32 gobernaciones con la misma fórmula, en 47 casos el ganador tenía más seguidores o tiktoks (29 departamentos) y solo hubo 3 casos atípicos. Acá se sostiene la tendencia de Vaupés-Mitú, con 0 registros en el uso de la red. También serían objeto de análisis los casos de Antioquia, donde el elegido derrotó a un candidato experto en maquinarias políticas.

Tabla 4 Resultados gobernaciones vs seguidores: número de tiktoks 

Fuente: elaboración propia.

Análisis de relación canónica

Para el caso de las elecciones para alcalde y gobernador, entre las variables X1, X2 y Y1 se evidenciaron tendencias de correlación positiva y negativa. En el caso de las elecciones para alcaldías, se reflejó una baja correlación positiva entre X1 y Y1, lo cual indica mínima influencia entre la ubicación geográfica de la cuenta y el número de seguidores y una baja correlación negativa entre X1 y X2, que disminuyen proporcionalmente. Asimismo, las variables X2 y Y1 muestran una correlación despreciable, dado que r es menor que 0,1 (Figura 3).

Fuente: elaboración propia.

Figura 3 Matriz de correlación: alcaldías 

En las elecciones para gobernación, hubo un resultado similar al anterior, con baja correlación positiva entre X1 y Y1 y baja correlación negativa entre X1 y X2, siendo r equivalente a -0,16; finalmente, las variables X2 y Y1 muestran una correlación negativa baja, ya que r fue igual a -0,22. Esto indica que las dinámicas de departamentos y capitales se mantienen constantes y que un ejercicio en los municipios arrojaría tendencias similares (Figura 4).

Fuente: elaboración propia.

Figura 4 Matriz de correlación: gobernaciones 

Adicional, se generaron mapas de dispersión a partir de las variables establecidas, con el fin de determinar la correlación entre estas, es decir, evidenciar si el valor de una de modifica cuando varía el valor de la otra, sea de manera directa o inversa (Figura 5). En ambas elecciones, tanto a la alcaldía como a la gobernación, se refleja una correlación entre las variables X1 (número de seguidores) y X2 (número de tiktoks).

Fuente: elaboración propia.

Figura 5 Matriz de correlación (X1, X2): alcaldías 

Por el contrario, la Figura 6 no muestra una correlación notable de estas variables con respecto a Y1 (centralidad). Los resultados sugieren una ausencia significativa de correlación entre estas variables, evidenciada por la dispersión a lo largo del gráfico. En contraposición con una relación lineal o acumulativa, la ausencia de agrupación de puntos sugiere que la cantidad de tiktoks no guarda una relación sistemática con la centralidad o la ubicación geográfica de las cuentas analizadas.

Fuente: elaboración propia.

Figura 6 Matriz de correlación (X1, X2): gobernaciones 

La dispersión observada implica la presencia de una variabilidad considerable, lo cual dificulta la identificación de patrones consistentes. Este fenómeno podría deberse a la diversidad de usuarios y sus preferencias, así como a la naturaleza diversa de las interacciones en la plataforma. La interfaz de TikTok se posiciona como una estrategia que podría romper patrones de centralidad en el discurso político y posicionar otras agendas informativas que habitualmente no son cubiertas por los medios de comunicación. Como se aprecia en las Figuras 7-10, los patrones se mantendrán estables.

Los resultados indican que, como plataforma digital en ascenso y con potencialidades de uso, TikTok dinamiza patrones canónicos de las campañas electorales. Un factor adicional, que no fue objeto de estudio, es el abaratamiento de costos, gracias al nivel de compromisos de usuario que incrementan el nivel de popularidad del candidato, a través de readaptaciones de contenidos y sofisticación de piezas comunicativas.

Fuente: elaboración propia.

Figura 7 Matriz de correlación (X1, Y1): alcaldías 

Fuente: elaboración propia

Figura 8 Matriz de correlación (X2, Y1): alcaldías 

Fuente: elaboración propia.

Figura 9 Matriz de correlación (X1, Y1): gobernaciones 

Fuente: elaboración propia.

Figura 10 Matriz de correlación (X2, Y1): gobernaciones 

Discusión y conclusiones

Las elecciones regionales estuvieron marcadas por el uso de plataformas como TikTok, como medio para transmitir el mensaje político de cada candidato. Se evidencia que en algunos lugares del territorio nacional es posible obtener mayor cantidad de seguidores y, por tanto, que la posibilidad de llegar a la población aumenta. Sin embargo, la correlación que se presenta entre las variables se mantiene en niveles bajos, en especial con respecto a la variable Y1 (distribución geográfica). Esto supone que el acceso a la red social depende de la voluntad de los candidatos y del conocimiento que se tenga de las potencialidades de la interfaz, pese a las limitaciones que surjan de acceso e infraestructura del servicio de internet en los territorios más alejados de Colombia.

A partir de la observación de los datos, se halló que: los candidatos se beneficiaron del uso de las redes sociales, en especial de TikTok; las redes sociales permiten a los candidatos llegar a un público más amplio y diverso; y la creación de contenido no solo les permite compartir sus mensajes, propuestas y conectarse directamente con los votantes, sino que también les da herramientas para la movilización de votantes y para facilitar la participación ciudadana, dado que se abren espacios de discusión y debate públicos. Aunque los candidatos con músculo financiero pueden ter más incidencia en la red social, todavía no existe una legislación que estructure límites de inversión.

De esta manera, los resultados corroboran que la interfaz de TikTok tiene la capacidad de adaptarse a contextos y situaciones territoriales, independiente de las idiosincrasias o las dinámicas de la cultura política. Los temas de las piezas comunicativas de los candidatos son otro tema de discusión, pero, por el momento, es oportuno validar la importancia de reconocer las redes sociales atendiendo tanto a la instrumentalización tecnológica a la que suelen ser abocadas como a los actores y los procesos que intervienen en ellas (Scolari, 2021, p. 165).

Además, TikTok permite la interacción directa entre creadores de contenido y su audiencia. Los políticos pueden utilizar funciones de comentarios, "Me gusta" y duetos para involucrar a los usuarios y fomentar la participación en torno a temas políticos específicos. Adicionalmente, participar en tendencias permiten acercarse a los votantes y aumentar su visibilidad con la combinación de posibilidades y potencialidades de las interfaces (Instagram, X, Chat GPT) (Gordillo y Bellido-Pérez, 2021).

Este artículo contribuye a fortalecer la investigación respecto de la evolución de la comunicación política en campañas electorales. Aunque se reconozcan las limitaciones de esta investigación al no profundizar en variables como los comentarios o el nivel de compromiso de los usuarios, era necesario proponer un instrumento que evidencie la creciente necesidad de investigar el fenómeno TikTok e involucrar la incidencia que tendrá en las estrategias de mercadeo político y electoral.

Aunque las campañas puedan interesar respecto de lo que desarrollan los candidatos en la zona central, no hay evidencia de restricción o denuncia de los candidatos por la falta de recursos o de conectividad y accesibilidad de la población para conocer sus propuestas de campaña en TikTok. En este escenario, se avizora que TikTok tendrá un rol fundamental en las elecciones regionales no solo de Colombia, sino a nivel local y global, lo que confirma otra de las leyes de la interfaz, que plantea que estas no extinguen, sino que se transforman (Scolari, 2021).

Para el abordaje de una agenda de investigación, queda pendiente el análisis de las emociones y cómo han adquirido un papel central en la comunicación política y cómo pueden incidir en ejercicios posteriores de activismo digital (Cervi y Marín-Lladó, 2022). Una de las razones de ello es que las dinámicas políticas, las grandes crisis sociales, los conflictos armados no internacionales y el descontento con el discurso de la modernidad liberal mueven profundas cuestiones emocionales atadas a los procesos ecosociales y poselectorales. Estas circunstancias han fomentado la desconfianza por el debate público y los medios masivos y han erosionado el sistema democrático (Sasley, 2013).

En esa lógica, Dominique Moïsi (2009) propone la categoría "geopolítica de las emociones" como marco analítico para comprender las articulaciones entre dinámicas territoriales y tendencias globales. Por su parte, Aira (2020) destaca la necesidad de un examen exhaustivo de una política de las emociones y ver cómo estas pueden dar lugar populismos, estrés y ansiedad social (Koschut, 2022), si no se abordan con perspectiva pedagógica y pluralista o a la luz de la psicología social (Gutiérrez-Rubí, 2023), en una agenda que identifique incidencias más complejas -como las que generan las emociones políticas, vistas como un campo de lucha por el significado-, y que vea en el ecosistema digital una herramienta que agiliza narrativas prototípicas en relatos cortos y con implicaciones en la construcción de representaciones sociales, transformaciones de la democracia y redimensionamientos del debate público.

Con base en eso, los autores afirman que hay una creciente complejidad en el análisis de las emociones relacionadas con la política, porque las pasiones polarizan el debate. Lo anterior crea un terreno de disputa por los significados y representaciones, en disputas que son aprovechadas por las campañas electorales para elaborar mensajes que tergiversan la realidad del mapa político (Perannagari y Chakrabarti, 2020).

Para finalizar, la investigación no pretende asignarle a TikTok la novedad de ser un orientador de emociones políticas y motivaciones del votante (Lam et al., 2021). Esta perspectiva, además de ingenua, desconocería los estudios sobre comunicación política en campañas electorales. El aporte, más bien, se ubica en una línea de estudio que defina las futuras particularidades de TikTok en cuanto al diseño de estrategias para conquistar votos. El alcance y auge de la red social está por definirse ante una oferta ilimitada de canales de expresión. Será interesante indagar, en las elecciones presidenciales de 2026 y regionales de 2027, si su popularidad se mantuvo o si, por el contrario, otra red social llegara para readaptar formas y narrativas estandarizadas en la administración de pasiones e intereses.

Referencias

Aira, T. (2020). La política de las emociones: cómo los sentimientos gobiernan el mundo. Arpa. [ Links ]

Acosta, M. (2022). La pandemia como oportunidad. El jefe de Gobierno de la ciudad de Buenos Aires en TikTok. Astrolabio: Nueva Época, 29, 181-206. 10.55441/1668.7515.n29.31898 [ Links ]

Alonso-López, N., Sidorenko-Bautista, P. y Apablaza-Campos, A. (2023). TikTok and active audiences in processes for political and structural change. An exploratory study based on the Scottish referendum. Communication & Society, 36(3), 87-101. 10.15581/003.36.3.87-101 [ Links ]

Barrios, G. (2023). Escritura en las redes sociales: de la permisividad en el ciberespacio a la apropiación de la cultura escrita. Folios, 49, 69-96. [ Links ]

Basset, Y. (2023). La segunda vuelta de 2022: un choque de populismos. En Gustavo Petro vs. Rodolfo Hernández: ¿dos populismos encontrados? Universidad del Rosario. [ Links ]

Basch, C., Meleo-Erwin, Z., Fera, J., Jaime, C. y Basch, C. (2021). A global pandemic in the time of viral memes: Covid-19 vaccine misinformation and disinformation on TikTok. Human Vaccines & Immunotherapeutics, 17(8), 2373-2377. 10.1080/21645515.2021.1894896 [ Links ]

Battista, D. (2023). For better or for worse: Politics marries pop culture (TikTok and the 2022 Italian elections). Society Register, 7(1), 117-142. 10.14746/sr.2023.7.1.06 [ Links ]

Balasundaram, U. (2023). Creative methodologies and new media ecologies. Liturgy, 38(4), 71-84. 10.1080/0458063X.2023.2259763 [ Links ]

Benson, S., Meily, M. y Han, W. (2021). What matters most in the responses to political campaign posts on social media: The candidate, message frame, or message format? Computers in Human Behavior, 121, 106800. 10.1016/j.chb.2021.106800 [ Links ]

Boffone, T. (ed.). (2022). TikTok cultures in the United States. Routledge. [ Links ]

Boulianne, S. (2015). Social media use and participation: A meta-analysis of current research. Information, Communication & Society, 18(5), 524-538. 10.1080/1369118X.2015.1008542 [ Links ]

Brito, K. y Leitao, P. (2022). Measuring the performances of politicians on social media and the correlation with major Latin American election results. Government Information Quarterly, 39(4), 101745. 10.1016/j.giq.2022.101745 [ Links ]

Campos-Domínguez, E. (2017). Twitter y la comunicación política. Profesional de la Información, 26(5), 785-794. 10.3145/epi.2017.sep.01 [ Links ]

Candale, C. (2017). Las características de las redes sociales y las posibilidades de expresión abiertas por ellas. La comunicación de los jóvenes españoles en Facebook, Twitter e Instagram. Colindancias, 3, 201-218. https://dialnet.unirioja.es/servlet/articulo?codigo=6319192Links ]

Casero-Ripollés, A., Feenstra, R. y Tormey, S. (2016). Old and new media logics in an electoral campaign. The International Journal of Press/Politics, 21 (3), 378-397. 10.1177/1940161216645340 [ Links ]

Castro-Martínez, A. y Díaz-Morilla, P. (2021). La comunicación política de la derecha radical en redes sociales. De Instagram a TikTok y Gab, la estrategia digital de Vox. Dígitos, 1 (7), 67. 10.7203/rd.v1i7.210 [ Links ]

Cervi, L. (2023). TikTok use in municipal elections: From candidate-majors to influencer-politicians. Más Poder Local, 53, 8-29. 10.56151/maspoderlocal.175 [ Links ]

Cervi, L. y Marín-Lladó, C. (2021). What are political parties doing on TikTok? The Spanish case. Profesional de la Información, 30(4). 10.3145/epi.2021.jul.03 [ Links ]

Cervi, L. y Marín-Lladó, C. (2022): Freepalestine on TikTok: From performative activism to (meaningful) playful activism. Journal of International and Intercultural Communication, 15 (4), 414-434. 10.1080/17513057.2022.2131883 [ Links ]

Cervi, L., Tejedor, S. y Blesa, F. (2023). TikTok and political communication: The latest frontier of politainment? A case study. Media and Communication, 11 (2), 203-217. 10.17645/mac.v11i2.6390 [ Links ]

Cervi, L., Tejedor, S. y Lladó, C. (2021). TikTok and the new language of political communication. Cultura, Lenguaje y Representación, 26, 267-287. 10.6035/clr.5817 [ Links ]

CNE - Consejo Nacional Electoral (2020). Uso de redes sociales con fines electorales sí se considera propaganda política. Comunicaciones Oficiales. https://www.cne.gov.co/prensa/comunicados-oficiales/309-uso-de-redes-sociales-con-fines-electorales-si-se-considera-propaganda-politicaLinks ]

Conde del Río, M. (2021). Estructura mediática de TikTok: estudio de caso de la red social de los más jóvenes. Revista de Ciencias de la Comunicación e Información, 26, 59-77. 10.35742/rcci.2021.26.e126 [ Links ]

Corredoira y Alfonso, L. (2020). European regulatory responses to disinformation. Special attention to election campaigns. Derecom, 29, 133-142. [ Links ]

Corzo, L. y Chanquía, M. (2020). La narrativa transmedia del hashtag #mml-pqtp. Participación y protesta social en Twitter. Universidad Nacional de Córdoba. [ Links ]

De Barros, M. (2018). Arqueología de los medios. La tecnología desde una temporalidad difusa. Herder. [ Links ]

Echauri, G. (2023). Infinite media: The contemporary infinite paradigm in media. Convergence, 0(0). 10.1177/13548565231208135 [ Links ]

Ekström, M. y Sveningsson, M. (2019). Young people's experiences of political membership: From political parties to Facebook groups. Information, Communication and Society, 22(2), 155-171. 10.1080/1369118X.2017.1358294 [ Links ]

Espinosa-Oviedo, J., Vargas-Solar, G., Alexandrov, V. y Castel, G. (2016). Comparing electoral campaigns by analysing online data. Procedia Computer Science, 80, 1865-1874. 10.1016/j.procs.2016.05.480 [ Links ]

Gabriel, M. (2016). Why the world does not exist. John Wiley and Sons. [ Links ]

García-Marín, D. y Salvat-Martinrey, G. (2022). Viralizar la verdad. Factores predictivos del engagement en el contenido verificado en TikTok. Profesional de la Información, 31(2): e310210. 10.3145/epi.2022.mar.10 [ Links ]

Gil de Zúñiga, H., Veenstra, A., Vraga, E. y Shah, D. (2010). Digital democracy: Reimagining pathways to political participation. Journal of Information Technology & Politics, 7(1), 36-51. 10.1080/19331680903316742 [ Links ]

González, F. (2019). Big data, algoritmos y política: las ciencias sociales en la era de las redes digitales. Cinta de Moebio, 65, 267-280. 10.4067/s0717-554x2019000200267 [ Links ]

González, I. (2022). ¿Cómo funciona el algoritmo de TikTok? IEBS, 21 de julio. https://www.iebschool.com/blog/como-funciona-el-algo-ritmo-de-tiktok-redes-sociales/Links ]

González, M. (2022). Análisis de los #DanceChallenge en TikTok mediante la metodología visual crítica. Virtualis, 13(24), 108-136. 10.46530/virtualis.v13i24.399 [ Links ]

Gordillo, M. y Bellido-Pérez, E. (2021). Politicians self-representation on Instagram: The professional and the humanized candidate during 2019 spanish elections. Observatorio (OBS*), 15(1), 109-136. 10.15847/obsOBS15120211692 [ Links ]

Gutiérrez-Rubí, A. (2023). Gestionar las emociones políticas. Gedisa. [ Links ]

Herrero, J. (2020). Manual de marketing político. Cómo afrontar una campaña electoral. Almuzara. [ Links ]

HubSpot y Bradwatch (2023). Informe sobre las tendencias en redes sociales a escala global. https://acortar.link/17mhs1Links ]

Jiménez, J. (2023). Elecciones regionales en Colombia 2023: ¿la emergencia de un nuevo mapa político en contravía del presidente Gustavo Petro y su proyecto de izquierda? Más Poder Local, 54, 140-145. 10.56151/maspoderlocal.209 [ Links ]

Karizat, N., Delmonaco, D., Eslami, M. y Andalibi, N. (2021). Algorithmic folk theories and identity: How TikTok users co-produce knowledge of identity and engage in algorithmic resistance. Proceedings of the ACM on Human-Computer Interaction, 5 (2), 1-44. 10.1145/3476046 [ Links ]

Koschut, S. (2022). Emotions and International Relations. International Studies, 20 de abril. 10.1093/acrefore/9780190846626.013.693 [ Links ]

Kühne, R., Schemer, C., Matthes, J. y Wirth, W. (2011). Affective priming in political campaigns: How campaign-induced emotions prime political opinions. International Journal of Public Opinion Research, 23(4), 485-507. 10.1093/ijpor/edr004 [ Links ]

Lam, B., Cheung, M. y Lo, W. (2021). What matters most in the responses to political campaign posts on social media: The candidate, message frame, or message format? Computers in Human Behavior, 121, 106800. 10.1016/jxhb.2021.106800 [ Links ]

Lee, J. (2022). A study on the intention and experience of using the metaverse. JAHR, 13(1), 177-192. 10.21860/j.13.1.10 [ Links ]

Lin, J.-S. y Himelboim, I. (2019). Political brand communities as social network clusters: Winning and trailing candidates in the GOP 2016 primary elections. Journal of Political Marketing, 18(1-2), 119-147. 10.1080/15377857.2018.1478661 [ Links ]

Loor-Ávila, B. y Baquerizo-Álava, V. (2022). El efecto TikTok: enfoque teórico-metodológico del manejo de la comunicación política en las generaciones del siglo XXI. Digital Publisher CEIT, 7(2), 27-40. 10.33386/593dp.2022.2-1.939 [ Links ]

López-Fernández, V. (2022). Nuevos medios en campaña. El caso de las elecciones autonómicas de Madrid 2021 en TikTok. Universitas, 36, 221-241. 10.17163/uni.n36.2022.09 [ Links ]

Lozano, M. (2022). Comunicación política en la red social TikTok: experiencia consultas interpartidistas presidenciales en Colombia 2022. Correspondencias & Análisis, 16, 159-177. 10.24265/cian.2022.n16.07 [ Links ]

Marcos-García, S., Alonso-Muñoz, L. y López-Meri, A. (2021). Campañas electorales y Twitter. La difusión de contenidos mediáticos en el entorno digital. Cuadernos.info, 48, 27-49. 10.7764/cdi.48.27679 [ Links ]

Meneses, E. y Carpio, A. (2022). Análisis del discurso de Andrés Araúz en TikTok durante su campaña presidencial 2021. Chakiñan, 18, 134-145. 10.37135/chk.002.18.09 [ Links ]

Milenio Digital y DPA (2022). TikTok, la aplicación más descargada de 2021 en el mundo; éste es el top 10. https://www.milenio.com/tecnologia/apps/tiktok-app-descargada-2021-top-10Links ]

Moïsi, D. (2009). The Geopolitics of Emotions. Anchor Books. [ Links ]

Parikka, J. (2012). What is media archaeology? John Wiley and Sons. [ Links ]

Perannagari, K. T. y Chakrabarti, S. (2020). Analysis of the literature on political marketing using a bibliometric approach. Journal of Public Affairs, 20(1). https://onlinelibrary.wiley.com/doi/abs/10.1002/pa.2019 10.1002/pa.2019 [ Links ]

Quiroz, N. (2020). TikTok: La aplicación favorita durante el aislamiento. Revista Argentina de Estudios de Juventud, 14, e044-e44. 10.24215/18524907e044 [ Links ]

Rojas, C. y Jaque, M. (2024). Materialismos digitales: más allá del ecosistema de medios. InMediaciones de la Comunicación, 19(1), 27-53. 10.18861/ic.2024.19.1.3570 [ Links ]

Sánchez-Vizcaíno, I. (2019). Análisis de la publicidad en las redes sociales. [Tesis de grado en Derecho y en Administración y Dirección de Empresas, Pontificia Universidad de Comillas]. [ Links ]

Sasley, B. (2013,). Emotions in International Relations. E-International Relations, 12 de junio. https://www.e-ir.info/2013/06/12/emotions-in-international-relations/#google_vignetteLinks ]

Scammell, M. (1999). Political marketing: Lessons for political science. Political Studies, 47(4), 718-739. 10.1111/1467-9248.00228 [ Links ]

Schellewald, A. (2021). Communicative forms on TikTok: Perspectives from digital ethnography. International Journal of Communication, 15, 21. [ Links ]

Scolari, C. (2021). Las leyes de la interfaz. Gedisa. [ Links ]

Scolari, C. (2022). La guerra de las plataformas. Anagrama. [ Links ]

Slater, K. (2022). LGBTQdigital cultures: A global perspective. Routledge. [ Links ]

Stattner, E. y Collard, M. (2015). Descriptive modeling of social networks. Procedia Computer Science, 52, 226-233. 10.1016/j.procs.2015.05.505 [ Links ]

Subekti, D., Nurmandi, A. y Mutiarin, D. (2022). Mapping publication trend of political parties campaign in social media: A bibliometric analysis. Journal of Political Marketing, 1-18. 10.1080/15377857.2022.2104424 [ Links ]

Vaterlaus, J. y Winter, M. (2021). TikTok: an exploratory study of young adults' uses and gratifications. The Social Science Journal, 1-20. 10.1080/03623319.2021.1969882 [ Links ]

Vinuesa, P. (2016). Tema 8 - Correlación: teoría y práctica. [Curso Fundamental de Posgrado: Análisis Estadístico en Ciencias Biológicas Utilizando R, semestre 2017-1, Universidad Nacional Autónoma de México]. [ Links ]

Wang, H., Gao, Q, Li, H., Wang, H., Yan, L. y Liu, G. (2022). A structural evolution-based anomaly detection method for generalized evolving social networks. The Computer Journal, 65(5), 1189-1199. 10.1093/comjnl/bxaa168 [ Links ]

Wang, X. y Guo, Y. (2023). Motivations on TikTok addiction: The moderating role of algorithm awareness on young people. Profesional De La información, 32(4). 10.3145/epi.2023.jul.11 [ Links ]

Weimann, G. y Masri, N. (2023). Research note: Spreading hate on TikTok. Studies in Conflict and Terrorism, 46(5), 752-765. 10.1080/1057610X.2020.1780027 [ Links ]

Webster, S. y Albertson, B. (2022). Emotion and politics: Noncognitive psychological biases in public opinion. Annual Review of Political Science, 25 (1), 401-418. 10.1146/annurev-polisci-051120-105353 [ Links ]

Wilches, J., Guerrero, H., Niño, C. (2024). Emociones políticas y narrativas prototípicas: TikTok en las campañas presidenciales de Colombia 2022. Revista Latina de Comunicación Social, 82. [ Links ]

Zamora-Medina, R., Suminas, A. y Fahmy, S. (2023). Securing the youth vote: A comparative analysis of digital persuasion on TikTok among political actors. Media and Communication, 11(2). 10.17645/mac.v11i2.6348 [ Links ]

Zeng, J. y Abidin, C. (2021). '#OkBoomer, time to meet the Zoomers': Studying the memefication of intergenerational politics on TikTok. Information, Communication and Society, 24(16), 2459-2481. 10.1080/1369118X.2021.1961007 [ Links ]

Para citar este artículo / to reference this article / para citar este artigo: Wilches, J. A., Guerrero, H. F. y Niño, C. (2024). TikTok en campañas políticas: estudio de caso de las elecciones regionales en Colombia, 2023. Palabra Clave, 27(2), e2721. https://doi.org/10.5294/pacla.2024.27.2.1

Recibido: 15 de Noviembre de 2023; Revisado: 08 de Enero de 2024; Aprobado: 29 de Enero de 2024

Creative Commons License Este es un artículo publicado en acceso abierto bajo una licencia Creative Commons