SciELO - Scientific Electronic Library Online

 
vol.24 issue2Greenhouse crop monitoring using 4.0 Technologies author indexsubject indexarticles search
Home Pagealphabetic serial listing  

Services on Demand

Journal

Article

Indicators

Related links

  • On index processCited by Google
  • Have no similar articlesSimilars in SciELO
  • On index processSimilars in Google

Share


Ciencia y Tecnología Agropecuaria

Print version ISSN 0122-8706On-line version ISSN 2500-5308

Cienc. Tecnol. Agropecuaria vol.24 no.2 Mosquera May/Aug. 2023  Epub Aug 31, 2023

https://doi.org/10.21930/rcta.vol24_num2_art:2825 

Transformación y Agroindustria

Evaluación de fibras del tallo residual de girasol (Helianthus annuus) en materiales compuestos de matriz cerámica

Evaluation of Fibers from the Residual Stem of Sunflower (Helianthus annuus) in Ceramic Matrix Composites

Adriana María Quinchía-Figueroa, registro de información en campo, diseño de experimentos, pruebas de laboratorio, análisis de información, elaboración de manuscrito1  * 
http://orcid.org/0000-0003-3362-4410

Marco Fidel Valencia-García, registro de información en campo, diseño de experimentos, pruebas de laboratorio, análisis de información, elaboración de manuscrito1 
http://orcid.org/0000-0002-4862-7035

1Universidad Escuela de Ingeniería de Antioquia, Envigado


Resumen

Los residuos agroindustriales representan más del 40% de los residuos mundiales. En Antioquia, estos llegan a las 400 t/ha, donde las flores son una línea importante y también los residuos de girasol, de los cuales solo se utiliza la flor y se deja el tallo como un residuo que aún no ha sido valorizado. En este trabajo se extrajeron las fibras del tallo residual del girasol para su incorporación a materiales compuestos de matriz cerámica, donde la adherencia de las fibras puede evitar las fisuras por contracción, lo cual actualmente se corrige a partir de fibras sintéticas. Durante la investigación, se evaluó el tratamiento químico de las fibras con Na.SiO₃, Ca(OH)₂, Ca(ClO)., NaHCO₃ y NaOH, y se contemplaron los tiempos de secado en horno y su posterior tratamiento de carbonatación, lo que mejoró las condiciones de resistencia a la tracción de la fibra hasta en un 57%. La comparación morfológica de las fibras se realizó mediante pruebas SEM y FTIR, lo que mostró diferencias significativas antes y después de los tratamientos. Finalmente, los resultados mostraron que las fibras naturales del tallo de girasol son comparables con otras fibras naturales con potencialidad para múltiples aplicaciones, incluyendo la mejora de compuestos de matriz cerámica, donde la fibra carbonatada aumentó la resistencia a la compresión de probetas de hormigón en un 20% y la resistencia a la flexión en un 22,6%, demostrando así que esta aplicación promete ser una alternativa viable para la valorización de la fibra de girasol como residuo agrícola con proyección comercial, contribuyendo a la economía circular.

Palabras clave fibras naturales; materiales compuestos; materiales reciclados; resistencia a la tensión; tratamiento de desechos

Abstract

Agro-industrial waste represents more than 40 % of world waste. In Antioquia, they reach 400 t/ha where flowers are an important line and among them the sunflower, a plant of which only the flower (ornamental or food) is used, leaving the stem as a residue that has not yet been exploited or valued. In this work, fibers were extracted from the residual stem of the sunflower, for its incorporation into ceramic matrix composite materials where the adherence of the fibers can prevent fissures in the elements, due to shrinkage, which is currently corrected from synthetic fibers. The investigation evaluated the chemical treatment of the fibers with Na₂SiO₃, Ca(OH)₂, Ca(ClO)2, NaHCO₃ and NaOH, oven drying times, and a subsequent carbonation treatment, which improved the fiber's tensile strength conditions by up to 57 %. The morphological comparison of the fibers was carried out using SEM and FTIR tests, showing significant differences before and after the treatments. Finally, the results showed that the natural fibers from the residual sunflower stem are comparable with other fibers such as jute, sisal, hemp, with potential use for multiple applications, including the improvement of ceramic matrix composite materials, in where the carbonated fiber generated an increase in the compressive strength of concrete specimens by 20 %, and the flexural strength by 22.6 %, demonstrating that this application promises to be a viable alternative for the recovery of sunflower fiber as agricultural waste with commercial projection, contributing to the circular economy.

Keywords composite materials; natural fibers; recycled materials; tensile strength; waste treatment

Introducción

Las fibras vegetales adicionadas a materiales cerámicos para mejorar su desempeño han sido empleadas con mayor frecuencia en la última década, buscando alternativas para sustituir fibras sintéticas y naturales (Castañeda et al., 2020; De Carvalho Bello et al., 2019; Low, 2018). Por otra parte y en el mundo entero, la producción de aceite de girasol aumenta las hectáreas cultivadas cada año, donde el principal uso de la planta se basa en la oleosidad de sus semillas o en la ornamentación de la flor, descartando el potencial que existe en los tallos que quedan como residuos agroindustriales y, aunque se sabe que este puede ser usado en la fabricación de cordeles o papel, es poco lo que se encuentra del estudio del tallo en materiales compuestos para la industria de la construcción (Nozahic et al., 2012; Centro de Estudios y de Investigación en Biotecnología et al., 2015).

Fibras como el fique, el coco y el raquis de banano se han empleado como reforzantes en múltiples áreas de los materiales, donde algunos estudios muestran la viabilidad de emplearles en procesos de construcción, como en mezclas con concretos (Juarez, 2002; Quintero García & González Salcedo, 2009), aunque algunos de ellos indican que, si bien las fibras naturales son resistentes a la tensión, se pueden ver deterioradas por el medio alcalino del concreto o las matrices cerámicas. Este efecto se ha podido evitar recubriendo la fibra con sustancias como el hidróxido de calcio, la parafina o densificando la matriz de cerámica con ceniza volante, acciones que pueden reducir los efectos negativos por variaciones de humedad y temperatura. En otros estudios se ha reportado el incremento del módulo de Young cuando hay un tratamiento con calcio en las fibras (Causil Villalba & Guzmán Mestra, 2018; Gómez, 2009) y un efecto en el control de las fisuras de algunos elementos cerámicos (Espinoza Díaz, 2017).

Estos estudios previos permiten considerar la sustitución de fibras sintéticas por fibras naturales, partiendo de residuos agroindustriales como fuente económica de las mismas. En el caso de la planta de girasol, aún no se contempla el uso del tallo (teniendo en cuenta que es una parte importante de la biomasa producida) ni sus características, para la incorporación en la industria de la construcción como un material reforzante, lo que se transforma en un reto para los productores de esta especie, por tal razón nace este proyecto, como una opción novedosa y ecológica en el mercado de materiales sostenibles para el sector de la construcción, cuyo objetivo fue evaluar el potencial de fibras cortas lignocelulósicas extraídas de tallos residuales de girasol (Helianthus annuus), para incorporarlas en una matriz cerámica como aditivo en busca de aumentar la resistencia mecánica y posiblemente reducir el agrietamiento de elementos con aplicación en el sector de la construcción, para ello se analizaron física, química y mecánicamente las fibras y se modificaron superficialmente para aumentar la compatibilidad con la matriz cerámica y facilitar la conformación de elementos de prueba para el estudio de materiales de la construcción, encontrando resultados positivos en la resistencia mecánica de dichos elementos, lo que pone a las fibras de girasol como un material prometedor en este campo.

Materiales y métodos

Las fibras extraídas en este estudio se obtuvieron de tallos residuales de girasol ornamental (Helianthus annuus). Los reactivos de laboratorio empleados para el tratamiento de las fibras fueron: Na2SiO3, NaOH, NaHCO3, Ca (OH)2 y Ca (ClO)2 y los equipos empleados para la extracción y la preparación de las fibras fueron: sierra sinfín, laminador, horno de secado de tiro forzado y cámara de carbonatación. Para la caracterización de las fibras se empleó un microscopio electrónico de barrido (SEM) marca Phenom, modelo Word pro X (Alemania), un espectrofotómetro de luz infrarroja (FTIR) de marca Perkin Elmer, modelo Spectrum 100 (Estados Unidos) y, para determinar la resistencia a la tracción de las fibras, se empleó una máquina universal de ensayos marca Instron, modelo 3345 (Inglaterra).

Extracción de las fibras

Para la extracción de las fibras, los tallos residuales de girasol se cortaron a una longitud de 20 cm, aproximadamente, se laminaron y se extrajeron las fibras con la ayuda de cepillo fino de alambre. Para evitar la degradación y la reducción de la flexibilidad de la fibra, el material se mantuvo sumergido en agua antes de iniciar todo el proceso, tal como se puede observar en la figura 1.

Fuente: Elaboración propia

Figuras 1 Imágenes de la fibra de girasol: 1a) tallos frescos, 1b) tallos cortados hidratados, 1c) tallos abiertos lavados y 1d) fibras extraídas. 

Comparación de propiedades mecánicas de diferentes fibras sintéticas con fibras de girasol

A partir de la información secundaria consultada, se encontraron datos típicos de la tracción, el módulo de elasticidad y el porcentaje de alargamiento a la rotura para diversas fibras sintéticas, con el objeto de realizar una comparación teórica de dichas propiedades mecánicas frente a las fibras vegetales del estudio (tabla 1).

Tratamientos alcalinos

Se realizaron cinco tratamientos basados en la modificación superficial de las fibras, empleando las soluciones que se presentan en la Tabla 1.

Tabla 1 Concentración de las soluciones alcalinas  

Fuente: Elaboración propia

Las fibras se mantuvieron sumergidas en las soluciones por un periodo entre una y cinco horas para remover los extractivos en las soluciones alcalinas (Nozahic & Amziane, 2012; Onofre et al., 2022).

La segunda parte del tratamiento consistió en secar en horno las fibras tratadas durante una, dos y tres horas a 50 °C, luego de lo cual se llevaron las fibras a carbonatación por periodos de dos, tres y cinco horas. Cada cambio propuesto fue considerado como una variable, generando un total de 45 combinaciones entre las tres variables y cada combinación se realizó por triplicado para el análisis estadístico. Adicionalmente, se realizaron como blancos de comparación: cinco tratamientos químicos sin secado ni carbonatación y una muestra de fibra sin ningún tratamiento. Durante el ensayo de resistencia a la tracción, se tomó en cada caso un mínimo de seis repeticiones.

Para obtener información de la química de la superficie de las fibras, lo cual resulta importante para establecer la compatibilidad de la interfase entre las fibras y la matriz cerámica, se usaron conjuntamente las técnicas de la espectroscopia infrarroja con transformada de Fourier, lo cual permite determinar los grupos funcionales superficiales que pueden vibrar en una frecuencia entre 4000 y 550 cm-1 y el análisis de la estructura morfológica, la cual se llevó a cabo mediante la obtención de imágenes generadas por electrones secundarios y electrodispersados por medio de una sonda de emisión de electrones (SEM), a través de la cual se observan los cambios en la superficie de las fibras por la aplicación de los compuestos alcalinos para aumentar su compatibilidad con la matriz cerámica (Nozahic & Amziane, 2012).

Para el análisis de los datos obtenidos, se llevó a cabo un diseño de experimentos multifactoriales categóricos, con la resistencia a la tracción como variable-respuesta.

Elaboración de probetas de concreto con y sin fibras de girasol

Construcción de probetas

La construcción de probetas de concreto con adición de fibras de girasol se llevó a cabo con fibras de girasol de 19 mm de longitud, tratadas con silicato de sodio, secadas en horno y carbonatadas. La proporción de fibras de girasol adicionadas a cada probeta fue de 5 kg/m3 y la construcción de los elementos estructurales se observan en la figura 2.

Fuente: Elaboración propia

Figuras 2 Construcción de probetas de concreto con adición de fibras de girasol: 2a) prueba de asentamiento con el cono de Abrams, 2b) medida del asentamiento, 2c) probetas para flexión, 2d) probetas para compresión y tracción indirecta, 2e) fraguado de probetas y 2f) probetas secas. 

Resultados y discusión

Análisis de propiedades mecánicas de diferentes fibras vegetales

Se presentan los rangos de resistencia a la tracción, el módulo de elasticidad y el porcentaje de alargamiento a la rotura de diferentes fibras vegetales, lo que permitió comparar dichas propiedades mecánicas con las fibras del girasol, las cuales, sin ningún tratamiento previo, presentaron valores de resistencia a la tracción entre 410 Mpa y 530 Mpa (470 MPa en promedio). En la tabla 2 se presentan las comparaciones con los valores promedios de otras fibras vegetales comerciales.

Tabla 2 Resistencia a la tracción de diferentes fibras vegetales 

Fuente: Elaboración propia

Análisis de resistencia a la tracción de fibras con diferentes tratamientos

Análisis de SEM y FTIR

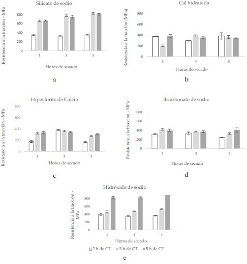
El promedio de la resistencia a la tracción obtenida en cada una de las combinaciones se observa en la figura 3, donde se puede evidenciar que los tratamientos con silicato de sodio e hidróxido de sodio presentan las mejores respuestas ante diferentes tiempos de secado en horno y carbonatación, donde se obtuvieron resistencias de 825 MPa y 940 MPa, respectivamente. Con los demás tratamientos químicos no se observaron incrementos considerables en las respuestas de resistencia a la tracción.

Fuente: Elaboración propia

Figuras 3 Resistencias a la tracción de los diferentes tratamientos de fibra de girasol: 3a) Na2SiO3, 3b) Ca (OH)2, 3c) Ca(ClO)2, 3d) NaHCO3 y 3e) NaOH; CT: carbonatación 

Análisis de SEM y FTIR

En las imágenes de SEM se manifiesta una modificación superficial en las fibras tratadas con las soluciones alcalinas, donde tanto los poros como la superficie quedan cubiertas con los materiales tratados. Es importante realizar la comparación con la figura 4b, en la cual se presenta la fibra lavada sin tratamiento, se observan las estructuras celulares de la pared y las fibras alargadas constitutivas del exterior del tallo; asimismo, los tratamientos con silicato de sodio e hidróxido de sodio carbonatadas (4d y 4l, respectivamente) presentan los mayores cambios con respecto a las fibras tratadas con las mismas sales sin carbonatación (4c y 4k), donde podría suponerse que la preparación de la fibra permite una mayor formación de complejos carbonatados que ayudan en la compatibilidad de la interfase ente la fibra vegetal y la matriz cerámica.

Es importante considerar que fueron justamente estos mismos tratamientos los que mostraron cambios relevantes detectados por los espectros de infrarrojos y que concuerdan con las mayores resistencias a la tracción final obtenida por dichas fibras.

Fuente: Elaboración propia

Figuras 4 Imágenes SEM de las fibras del tallo de girasol: 4a) tallo sin lavar; 4b) fibra lavada sin tratamiento y fibras tratadas con: 4c) Na2SiO3 sin carbonatar, 4d) Na2SiO3 carbonatada por 5 h, 4e) Ca (HO)2 sin carbonatar, 4f) Ca(HO)2 carbonatada por 5 h, 4g) Ca(ClO)2 sin carbonatar, 4h) Ca(ClO)2 carbonatada por 5 h, 4i) NaHCO₃ sin carbonatar; 4j) NaHCO3 carbonatada por 5 h, 4k) NaOH sin carbonatar y 4l) NaOH carbonatada por 5 h. 

En cuanto a los resultados obtenidos de la prueba de FITR (tabla 3), se muestran las variaciones donde los grupos funcionales presentes en la fibra sin tratamiento (figura 5a) (como grupos OH, aminas, éteres aromáticos y alifáticos, así como alcoholes propios de la fibra) desaparecen frente al tratamiento químico (3343, 1247 y 1029 cm-1), aumentando la concentración de carbonatos y sales inorgánicas. Así, cuando se realiza la carbonatación, los espectros muestran un cambio considerable, donde prevalecen los enlaces propios de la lignina residual, las calcitas, los fosfatos y algunos grupos alcanos. Es importante resaltar el cambio que muestra la fibra tratada con NaOH y carbonatada, la cual presenta una reducción en la vibración de enlaces de C, procedentes de ligninas y una marcada vibración en 1430 cm-1, propia de carbonatos, los cuales forman parte de las sales depositadas en la superficie, como puede corroborarse con el análisis de SEM. Este cambio superficial de la saturación de sales permite suponer un efecto positivo en el refuerzo en la resistencia a la tracción, verificable en el análisis estadístico.

Fuente: Elaboración propia

Figuras 5 Espectro de FTIR de 4a) fibras tratadas químicamente sin carbonatación y 4b) fibras tratadas químicamente con una hora de secado y cinco horas de carbonatación 

Tabla 3 Grupos identificados en el FTIR de las fibras del tallo del girasol y comparación con otras fibras reportadas en literatura 

Fuente: Elaboración propia

Análisis estadístico

aromáticos y alifáticos, así como alcoholes propios de la fibra) desaparecen frente al tratamiento químico (3343, 1247 y 1029 cm-1), aumentando la concentración de carbonatos y sales inorgánicas. Así, cuando se realiza la carbonatación, los espectros muestran un cambio considerable, donde prevalecen los enlaces propios de la lignina residual, las calcitas, los fosfatos y algunos grupos alcanos. Es importante resaltar el cambio que muestra la fibra tratada con NaOH y carbonatada, la cual presenta una reducción en la vibración de enlaces de C, procedentes de ligninas y una marcada vibración en 1430 cm-1, propia de carbonatos, los cuales forman parte de las sales depositadas en la superficie, como puede corroborarse con el análisis de SEM. Este cambio superficial de la saturación de sales permite suponer un efecto positivo en el refuerzo en la resistencia a la tracción, verificable en el análisis estadístico.

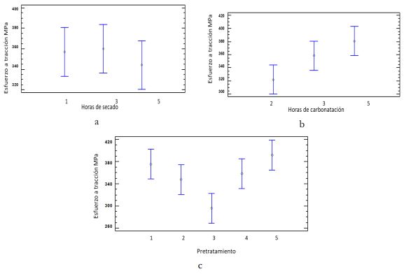
Se realizó un análisis Anova que permitió comparar los resultados de las resistencias mecánicas de las fibras con tratamiento químico, carbonatadas y secadas en horno. Los valores obtenidos se comparan entre sí obteniendo una probabilidad P, donde valores mayores o iguales a 0,05 no representan una diferencia estadísticamente significativa entre las desviaciones estándar de las muestras comparadas, esto con un nivel de confianza del 95,0 %. Dado lo anterior, se encuentra que las horas de secado, a diferencia del tiempo de carbonatación y el tipo de tratamiento químico, no representa una diferencia estadísticamente significativa (figura 6), sin embargo, cuando se comparan los resultados entre los diferentes grupos (inter-grupos) (como se observa en la tabla 4), se encuentra que las horas de secado, comparadas con las otras variables (tiempo de carbonatación y tipo de tratamiento), no presentan una diferencia estadísticamente significativa. Este resultado no altera la relevancia encontrada para las cinco horas de carbonatación y el tratamiento 5 correspondiente a NaOH.

A partir del tratamiento químico de las fibras del tallo de girasol, se observó un incremento del 43 % de la resistencia a la tracción de estas, superando algunas fibras como las de polietileno y polipropileno. Esta comparación se presenta en la tabla 5, donde se puede identificar el incremento en la resistencia mecánica de las fibras tras el tratamiento químico y de carbonatación, lo que permite establecer una característica positiva en comparación con otras fibras existentes en el mercado. Al considerar lo anterior, se realizaron pruebas de incorporación de las fibras del tallo de girasol tratadas en probetas de concreto, de manera que permitan verificar su efecto en la resistencia mecánica de dichas probetas.

Fuente: Elaboración propia

Figuras 6 Resultados gráficos del análisis de varianza del esfuerzo a tracción de fibras bajo tres diferentes variables: 6a) horas de carbonatación, 6b) horas de secado en horno y 6c) pretratamientos químicos, donde 1: Na2SiO3, 2: Ca(HO)2, 3: Ca(ClO)2, 4: NaHCO3 y 5: NaOH. 

Tabla 4 Estadística de evaluación de la diferencia de la resistencia a tracción inter-grupos 

Fuente: Elaboración propia

Tabla 5 Comparativo de diferentes fibras sintéticas y las fibras extraídas del tallo del girasol sin tratar y con tratamiento químico con Na2SiO3 

Fuente: Elaboración propia

Ensayos de compresión, flexión y tracción indirecta en probetas de concreto

Se llevaron a cabo pruebas mecánicas de compresión, flexión y tracción indirecta, tanto de los blancos (figura 7), como de las probetas que poseían fibras de girasol tratadas (figura 8). Todos los ensayos se llevaron a cabo por triplicado para 7 y 28 días de fraguado. Las normas usadas para los ensayos fueron: norma NTC 673 (2010) para la resistencia a la compresión, norma INV E 414 (2013) e INV E 415 para resistencia a la flexión y, finalmente, la norma NTC 722: 2000 para la tracción indirecta.

Fuente: Elaboración propia

Figuras 7 Ensayos mecánicos en probetas sin adición de fibras de girasol: 7a) ensayo de compresión, 7b) probeta fallada a compresión a 28 días, 7c) ensayo de flexión, 7d) probeta de flexión fallada a 28 días, 7e) ensayo de tracción indirecta y 7f) probeta fallada a tracción a 28 días. 

Fuente: Elaboración propia

Figuras 8 Ensayos mecánicos en probetas con adición de fibras de girasol: 8a) ensayo de compresión, 8b) probeta fallada a compresión a 28 días, 8c) ensayo de flexión, 8d) probeta de flexión fallada a 28 días, 8e) ensayo de tracción indirecta y 8f) probeta fallada a tracción a 28 días. 

En las pruebas mecánicas de compresión, flexión y tracción indirecta, se evidenció un incremento en la resistencia obtenida, debido al contenido de las fibras de girasol, encontrándose un incremento del 20 % en la resistencia a la compresión (figura 9a). En el ensayo de flexión hubo una superación de un 18,5 % en su resistencia (figura 9b) y, por último, para el ensayo de tracción indirecta, se observó un aumento de un 5,5 % (figura 9c).

Fuente: Elaboración propia

Figuras 9 Ensayos de resistencia mecánica de especímenes de concreto con y sin fibras de girasol: 9a) resistencia a la compresión, 9b) resistencia a la flexión en viga simple y 9c) resistencia a la tensión indirecta en especímenes cilíndricos. 

En la tabla 6 se muestra la comparación entre los resultados de las pruebas de resistencia a la compresión, realizadas en probetas de concreto con adición de fibras del tallo de girasol tratadas y con fibras sintéticas comerciales, donde se puede observar que el resultado obtenido en esta investigación supera lo reportado en otros estudios, lo que transforma este hallazgo en una posibilidad de valorización de este residuo para ser aplicado en el sector de la construcción.

Tabla 6 Comparativo de la resistencia a la compresión del concreto con y sin fibras comerciales y de girasol a 28 días 

Fuente: Elaboración propia

Finalmente, es preciso comentar que una de las principales limitantes del trabajo fue la extracción de la fibra, pues no se cuenta comercialmente con un equipo adaptado para este proceso, por lo que se realizó manualmente. Esta dificultad se transforma en la posibilidad de un nuevo proyecto a través del cual sea construido el equipo de desfibración, toda vez que la fibra de girasol pueda ser incorporada en matrices cerámicas comerciales de acuerdo con el resultado de esta investigación.

Conclusiones

En el presente estudio se evidenció que la resistencia a la tracción de las fibras de girasol sin tratar es comparable con la resistencia a la tracción de otras fibras, como las provenientes de cáñamo, piña, sisal, plátano y yute, las cuales han sido empleadas comercialmente. Además, se pudo establecer que los tratamientos químicos de silicato de sodio (Na2SiO₃) e hidróxido de sodio (NaOH), sumados a la carbonatación, incrementan la resistencia a la tracción en fibras de girasol en un 75,53 % y 100 %, respectivamente, favoreciendo la formación de una interfase compatible entre la fibra y una matriz cerámica.

En las pruebas mecánicas del compuesto de matriz cerámica, se reportó un incremento del 20 % en la resistencia a la compresión, un 18,5 % su resistencia a la flexión y un 5,5 % en la resistencia a la tracción indirecta, demostrando el potencial uso de la fibra del tallo de girasol como refuerzo en elementos de mampostería para evitar agrietamientos y mejorar sus propiedades mecánicas. Este resultado propone una alternativa sostenible y prometedora para el uso de este residuo agroindustrial.

Contribución de los autores

Adriana María Quinchía: registro de información en campo, diseño de experimentos, pruebas de laboratorio, análisis de información y elaboración de manuscrito; Marco Valencia: registro de información en campo, diseño de experimentos, pruebas de laboratorio, análisis de información y elaboración de manuscrito.

Implicaciones éticas

El proyecto se presentó el 12 de noviembre del 2019 al comité de ética de I+D+I, donde se determinó que este trabajo no presentó riesgos éticos, toda vez que los investigadores cumplieron con las normas establecidas para el manejo de riesgos asociados a la operación de equipos y actividades de laboratorio, asimismo, se garantizó la confidencialidad de la información y el manejo ambiental de productos y residuos generados por el proyecto.

Agradecimientos

Los autores agradecen a la Universidad EIA por el apoyo económico y el uso de sus instalaciones para el desarrollo de pruebas y el avance del proyecto, igualmente agradece a la empresa “Flores los Ríos” del corregimiento de Santa Elena, municipio de Medellín, por la donación de la materia prima para el desarrollo de este.

Referencias

Amaya Castro, M. A. (2019). Estudio de factibilidad para el establecimiento de una empresa especializada en el reciclaje de plástico tereftalato de polietileno en el Municipio de Santa Ana [Tesis de pregrado, Universidad de El Salvador]. Repositorio Institucional de la Universidad de El Salvador. https://ri.ues.edu.sv/id/eprint/21137/Links ]

Amaya-Alarcón, S. & Ramírez-Zapata, M. Á. (2019). Evaluación del comportamiento mecánico del concreto reforzado con fibras [Trabajo de grado, Universidad Católica de Colombia, Bogotá, Colombia]. Repositorio Institucional Universidad Católica de Colombia - RIUCaC. https://repository.ucatolica.edu.co/entities/publication/0a077063-b4cf-497f-8c86c35a986dcc4bLinks ]

Ayala-Granados, C. C., & Riaño-Bolaños, M. A. (2019). Influencia de fibras tipo pet en las características de resistencia y durabilidad del mortero de cemento hidráulico [Trabajo de grado, Universidad Católica de Colombia, Bogotá]. Repositorio Institucional Universidad Católica de Colombia - RIUCaC. https://repository.ucatolica.edu.co/entities/publication/9295ddb2-9c96-4d10-90233d1a558757e4Links ]

Cañón Sosa, L. M., & Aldana Calderón, F. G. (2015). Estudio comparativo de la resistencia a la compresión de concreto con fibras de polipropileno Sikafiber® AD de Sika y TOC Fibra500 de Toxement [Trabajo de grado, Universidad Distrital Francisco José de Caldas, Bogotá]. Repositorio Institucional. https://repository.udistrital.edu.co/handle/11349/4988Links ]

Castañeda, D., Silva, G., Salirrosas, J., Kim, S., Bertolotti, B., Nakamatsu, J., & Aguilar, R. (2020). Production of a lightweight masonry block using alkaline activated natural pozzolana and natural fibers. Construction and Building Materials, 253, 119-143. https://doi.org/10.1016/J.CONBUILDMAT.2020.119143Links ]

Causil Villalba, R. D., & Guzmán Mestra, V. A. (2018). Caracterización de las fibras de capacho de maíz (Zea Mays) como material de refuerzo alternativo para el concreto mediante ensayos mecánicos [Trabajo de grado, Universidad de Córdoba, Colombia]. Repositorio Universidad de Córdoba. https://repositorio.unicordoba.edu.co/handle/ucordoba/670?show=fullLinks ]

Centro de Estudios y de Investigación en Biotecnología, Centro de Investigación e Innovación Energía, & Universidad Pontificia Bolivariana. (2015). Biomasa de residuos agrícolas en el Departamento de Antioquia. Universidad Pontificia Bolivariana. https://repository.upb.edu.co/handle/20.500.11912/2308Links ]

Dávila Mercado, M. P. (2010). Efecto de la adición de fibras sintéticas sobre las propiedades plásticas y mecánicas del concreto. [Tesis de maestría, Universidad Nacional Autónoma de México]. Repositorio de la Dirección General de Bibliotecas y Servicios Digitales de Información. https://repositorio.unam.mx/contenidos/efecto-de-la-adicion-de-fibras-sinteticasen-las-propiedades-plasticas-y-mecanicas-del-concreto.220855?c=pjwWZV&d=false&q=*:*&i=7&v=1&t=search_0&as=0Links ]

De Carvalho Bello, C. B., Boem, I., Cecchi, A., Gattesco, N., & Oliveira, D. V. (2019). Experimental tests for the characterization of sisal fiber reinforced cementitious matrix for strengthening masonry structures. Construction and Building Materials, 219, 44-55. https://doi.org/10.1016/J.CONBUILDMAT.2019.05.168Links ]

Gómez, J. S. (2009). Diseño de un material compuesto con fibra natural para sustituir la utilización de la fibra de vidrio [Tesis de pregrado, Universidad EAFIT, Colombia]. Red de repositorios latinoamericanos. https://repositorioslatinoamericanos.uchile.cl/handle/2250/2515936Links ]

Idicula, M., Boudenne, A., Umadevi, L., Ibos, L., Candau, Y., & Thomas, S. (2006). Thermophysical properties of natural fibre reinforced polyester composites. Composites Science and Technology, 66(15), 2719-2725. https://doi.org/10.1016/j.compscitech.2006.03.007Links ]

Juarez, C. A. (2002). Concretos base cemento portland reforzados con fibras naturales como materiales para construcción [Tesis de doctorado, Universidad Autónoma de Nuevo León, México]. Repositorio Académico Digital. http://eprints.uanl.mx/5833/1/1020150648.PDFLinks ]

Low, I. M. (2018). Advances in Ceramic Matrix Composites. En I. M. Low (ed.), Advances in Ceramic Matrix Composites (pp. 1-6). Elsevier. https://doi.org/10.1016/C2016-0-03477-0Links ]

Machuca Suarez, C. (2018). Evaluación del reemplazo de acero tradicional por fibras como refuerzo en losas de concreto [Trabajo de grado, Universidad Militar Nueva Granada, Bogotá, Colombia]. RI UMNG. https://repository.unimilitar.edu.co/handle/10654/18120Links ]

Medina, E. F., Delvasto Arjona, S., Zuluaga Corrales, H. F., Amigó Borras, V., & Angarita Moncaleano, I. I. (2013). Refuerzo secundario de pastas de cemento portland ultrafino con nanofibras agregadas de poli (alcohol vinílico). Revista de la construcción, 12(3), 61-66. https://doi.org/10.4067/s0718-915x2013000300007Links ]

Meza de Luna, A., Ortiz Lozano, J. Á., Peralta Jaime, L., Pacheco Martínez, J., Soto Bernal, J. J., Rangel Martínez, S. H. Padilla Ceniceros, R., & Alvarado Flores, J. (2014). Experimental mechanical characterization of steel and polypropylene fiber reinforced concrete. Revista Técnica de la Facultad de Ingeniería Universidad del Zulia, 37(2), 106-115. http://ve.scielo.org/scielo.php?script=sci_arttext&pid=S0254-07702014000200002&lng=es&nrm=iso&tlng=esLinks ]

Murali & Mohan Rao, (2007). Extraction and tensile properties of natural fibre: Vakka, Date and Bamboo. Composite Structures, 77(3), 288-295. https://doi.org/10.1016/j.compstruct.2005.07.023Links ]

Nozahic, V., Amziane, S., Torrent, G., Saïdi, K., & de Baynast, H. (2012). Design of green concrete made of plant-derived aggregates and a pumice-lime binder. Cement and Concrete Composites, 34(2), 231-241. https://doi.org/10.1016/J.CEMCONCOMP.2011.09.002Links ]

Nozahic, V., & Amziane, S. (2012). Influence of sunflower aggregates surface treatments on physical properties and adhesion with a mineral binder. Composites Part A: Applied Science and Manufacturing, 43(11), 1837-1849. https://doi.org/10.1016/J.COMPOSITESA.2012.07.011Links ]

Omnexus. (2020). Elongation at Break How to Measure Elongation at Break. Omnexus. https://omnexus.specialchem.com/polymer-properties/properties/elongation-at-breakLinks ]

Onofre, P. J., Nava, M. G., & Rebollar, R. D. (2022). Study of the Use of Natural Banana Fiber Developing Reinforced Composite Materials, Supporting the SDGs of the 2030 Schedule. Estudio presentado en Proceedings of the 7th North American International Conference on Industrial Engineering and Operations Management, Orlando, Florida, Estados Unidos. https://ieomsociety.org/proceedings/2022orlando/437.pdfLinks ]

Quintero García, S. L., & González Salcedo, L. O. (2009). Uso de fibra de estopa de coco para mejorar las propiedades mecánicas del concreto. Ingeniería y Desarrollo, 20, 134-150. https://www.redalyc.org/pdf/852/85202010.pdfLinks ]

Salvador, M., Amigó, V., Nuez, A., Sahuquillo, O., Llorens, R., & Mart, F. (2007). Caracterización de fibras vegetales utilizadas como refuerzo en matrices termoplásticos. Instituto de tecnologías de materiales. https://es.scribd.com/document/554081312/Art-2-Caracterizacion-deFibras-Vegetales-Utilizadas-Como-Refuerzos-en-Matrices-Termoplasticas#Links ]

Silverstein, R. M., Basler, C. G., & Morill, C. T. (1998). Identification spectrométrique des composés organiques. De boeck. [ Links ]

Uso de las fibras del raquis del plátano en la fabricación de hormigón. 2017, 24 de Agosto. https://www.eluniverso.com/noticias/2017/08/24/nota/6345301/daniel-hace-hormigon-tallo-banano/Links ]

Yıldızhan, S., Çalık, A., Özcanlı, M., & Serin, H. (2018). Bio-composite materials: a short review of recent trends,mechanical and chemical properties, and applications. European Mechanical Science, 2(3), 83-91. https://www.researchgate.net/publication/323560479_Biocomposite_materials_a_short_review_of_recent_trends_mechanical_and_chemical_properties_and_applicationsLinks ]

Notas

FinanciaciónLos autores agradecen la financiación de esta investigación a la Universidad EIA y a la finca Los Ríos.

Recibido: 30 de Noviembre de 2021; Aprobado: 30 de Marzo de 2023; Publicado: 28 de Julio de 2023

* Autor de correspondencia: Adriana María Quinchía-Figueroa. Universidad EIA, vereda El Peñasco, Envigado, Antioquia, Colombia. adriana.quinchia@eia.edu.co

Conflicto de interés: Los autores manifiestan que no se presentó ningún conflicto de en la realización del proyecto.

Creative Commons License Esta obra está bajo una Licencia Creative Commons Atribución-NoComercial-CompartirIgual 4.0 Internacional.