Services on Demand
Journal
Article
Indicators
-
Cited by SciELO -
Access statistics
Related links
-
Cited by Google -
Similars in
SciELO -
Similars in Google
Share
Revista de Medicina Veterinaria
Print version ISSN 0122-9354
Rev. Med. Vet. no.25 Bogotá Jan./June 2013
Valores hematológicos pre y postejercicio por sexo y por
edad en caninos que practican agility
en Antioquia*
Silvia Posada Arias1 / Ricardo García Naranjo2 / Alejandro Saldarriaga Restrepo3
1 Médica veterinaria. Magíster en Ciencias Animales. Docente de la Corporación Universitaria Lasallista, Medellín, Colombia. Miembro del Grupo de Investigación en Medicina Veterinaria (Givet).
siposada@lasallistadocentes.edu.co
2 Médico veterinario, Universidad de La Salle, Bogotá, Colombia. Miembro del Grupo de Investigación en Medicina Veterinaria (Givet). Línea de Morfofisiología, Semillero de Investigación (Sivet).
rigarcia@ulasallista.edu.co
3 Estudiante de Medicina Veterinaria, Corporación Universitaria Lasallista, Medellín, Colombia. Miembro del Grupo de Investigación en Medicina Veterinaria (Givet), Línea de Morfofisiología, Semillero de Investigación (Sivet).
alsaldarriaga@ulasallista.edu.co
* Este artículo se generó a partir del proyecto de investigación titulado Parámetros fisiológicos en perros de Agility, financiado por la Corporación Universitaria Lasallista, Medellín, Colombia, en 2012.
Recibido: 4 de febrero de 2013. Aceptado: 21 de marzo de 2013
Resumen
El objetivo del estudio es describir variables hematológicas pre y postejercicio en caninos practicantes de agility, y el efecto de factores como el sexo y la edad sobre estos parámetros. Se muestrearon 40 caninos durante el 2012 de cualquier sexo y edad, con mínimo seis meses de práctica en Antioquia. Se tomó una muestra de sangre venosa en tres momentos: en reposo, inmediatamente culminado el ejercicio y 30 min después del ejercicio. En Statgraphics versión 15.0 se empleó análisis de varianza con tres factores (sexo, edad y momento de toma de la muestra) para evaluar su efecto sobre la línea roja, blanca y plaquetas. El nivel de confianza fue del 95%, y se empleó el procedimiento de comparaciones múltiples (diferencia mínima significativa). Los eritrocitos y el volumen corpuscular medio presentaron diferencias significativas (p < 0,05) para cada una de las interacciones (sexo y edad en cada uno de los tres momentos). La hemoglobina no presentó diferencias significativas en ninguno de los factores e interacciones evaluadas. El recuento leucocitario en las diferentes edades mostró diferencias significativas (p < 0,05). Los neutrófilos y linfocitos presentaron diferencias significativas entre las distintas edades (p < 0,05) y los eosinófilos no presentaron diferencias significativas respecto a las variables del estudio. Las variaciones hematológicas postejercicio se deben a predominio simpático y liberación de catecolaminas, las cuales estimulan esplenocontracción y liberación de eritrocitos del bazo. En la línea blanca, la liberación de epinefrina en respuesta a miedo, excitación o ejercicio súbito es la responsable de la leucocitosis y neutrofilia fisiológica.
Palabras clave: fisiología, agility, ejercicio, hematología, caninos.
Hematological Values Pre and Post-Exercise by Gender
and Age in Dogs that Do Agility in Antioquia
Abstract
The purpose of the study is to describe hematological variables before and after exercise in dogs that do agility, and the effect of factors such as gender and age on these parameters. Forty dogs were sampled during 2012, regardless of gender and age, with at least six months of practice in Antioquia. Samples of venous blood were taken at three points: at rest, immediately after exercising and 30 minutes after exercising. In Statgraphics version 15.0, analysis of variance was used with three factors (sex, age, and time of sampling) to evaluate its effect on red and white blood cells and platelets. The confidence level was 95%, and the multiple comparisons procedure (least significant difference) was used. Erythrocytes and the mean corpuscular volume show significant differences (p <0.05) for each of the interactions (sex and age in each of the three times). Hemoglobin did not show significant differences in any of the factors and interactions evaluated. The leukocyte count showed significant differences at different ages (p <0.05). Neutrophils and lymphocytes showed significant differences between the different age groups (p <0.05) and eosinophils showed no significant differences for the variables of the study. Post-exercise hematologic variations are due to sympathetic predominance and release of catecholamines, which stimulate splenocontraction and release of erythrocytes from the spleen. In white blood cells, epinephrine release in response to fear, excitement or sudden exercise is responsible for physiological leukocytosis and neutrophilia.
Keywords: Physiology, agility, exercise, hematology, canines.
Valores hematológicos pré e pós-exercício por sexo e por
idade em caninos que praticam agility em Antioquia
Resumo
O objetivo do estudo é descrever variáveis hematológicas pré e pós-exercício em caninos praticantes de agility, e o efeito de fatores como o sexo e a idade sobre estes parâmetros. Amostraram-se 40 caninos durante o ano de 2012 de qualquer sexo e idade, com no mínimo seis meses de prática em Antioquia. Foi tomada uma amostra de sangue venosa em três momentos: em reposo, imediatamente culminado o exercício e 30 minutos depois do exercício. Em Statgraphics versão 15.0 se empregou análise de variação com três fatores (sexo, idade e momento de tomada da amostra) para avaliar seu efeito sobre a linha vermelha, branca e plaquetas. O nível de confiança foi de 95%, e se empregou o procedimento de comparações múltiplas (diferença mínima significativa). Os eritrócitos e o volume corpuscular médio apresentaram diferenças significativas (p < 0,05) para cada uma das interações (sexo e idade em cada um dos três momentos). A hemoglobina não apresentou diferenças significativas em nenhum dos fatores e interações avaliadas. A recontagem leucocitária nas diferentes idades mostrou diferenças significativas (p < 0,05). Os neutrófilos e linfócitos apresentaram diferenças significativas entre as diferentes idades (p < 0,05) e os eosinófilos não apresentaram diferenças significativas com respeito às variáveis do estágio. As variações hematológicas pós-exercício s{ao devidas ao predomínio simpático e liberação de catecolaminas, as quais estimulam esplenocontração e liberação de eritrócitos do baço}. Na linha branca, a liberação de adrenalina em resposta a medo, excitação ou exercício súbito é a responsável da leucocitose e neutro filia fisiológica.
Palavras chave: fisiologia, agility, exercício, hematologia, caninos.
INTRODUCCIÓN
Existen pocas situaciones de estrés a las que el organismo animal se exponga que se aproximen a la situación extrema del ejercicio intenso; de hecho, si determinadas situaciones extremas de ejercicio se mantuvieran por periodos incluso moderadamente prolongados, podrían resultar letales (1).
El ejercicio físico de intensidad moderada a exhaustiva genera diferentes tipos de respuestas en un individuo que dependen del tipo y la duración del ejercicio y de si son agudas o crónicas. En cuanto al sistema hematológico, la literatura refiere cambios en el volumen sanguíneo, en la actividad y poblaciones de glóbulos blancos, así como modificaciones en la inmunidad celular y humoral, y en el conteo y la forma de las plaquetas. Asimismo, se ha podido determinar cómo el ejercicio modifica desfavorablemente el tiempo de vida de los eritrocitos generando una aparente anemia que ha sido materia de amplia discusión (2). Se reporta un incremento en el número de eritrocitos durante el ejercicio de acuerdo con la intensidad, la duración y la carga de trabajo debido a un predominio nervioso simpático, lo cual estimula la esplenocontracción (3). Se libera gran cantidad de equinocitos (4), al parecer como consecuencia de una hipoxia y una acidosis presentada durante el ejercicio intenso, que lleva a una esplenocontracción más fuerte (5).
En cuanto a la línea blanca, durante el ejercicio de intensidad máxima (ejercicio de velocidad) se ha reportado leucocitosis con neutrofilia y linfocitosis por la movilización celular sanguínea consecuente al estímulo simpático. Puede observarse un cierto grado de eosinopenia, puesto que en situaciones estresantes los eosinófilos tienden a retirarse a sus lugares de reserva (mucosa gástrica, pulmones, tejido linfático, etc.). Cuando el ejercicio es menos intenso y constante durante largos periodos (ejercicio de resistencia), los cambios en el leucograma son diferentes con una marcada leucocitosis (6).
Sobre las plaquetas se ha establecido que el ejercicio intenso y el aumento de la actividad muscular produce una trombocitosis fisiológica que estimula la movilización de estas células desde el bazo, el pulmón y otros compartimientos corporales. El entrenamiento, al parecer, no modifica el recuento plaquetario. Se ha observado con frecuencia una disminución del número de plaquetas después de la actividad física intensa (7). Todos estos eventos están fuertemente relacionados entre sí y pueden determinar y redundar en un menor rendimiento en el animal deportista (2).
El agility es una competición de habilidad y destreza en la que los perros, conducidos por sus guías, son capaces de superar diversos obstáculos a gran velocidad. Consiste básicamente en la superación por parte del perro, sin collar y sin correa, de una serie de obstáculos muy diversos que se describen en un reglamento internacional, colocados sobre un circuito en un orden desconocido para ambos, hasta momentos antes de la competición en que se permitirá al guía un breve reconocimiento, con objeto de memorizar y planificar la estrategia que se debe seguir en la conducción del perro (8).
Este artículo presenta las variaciones hematológicas encontradas en caninos practicantes de agility en Antioquia, describiendo el efecto de factores como el sexo y la edad en dichos parámetros.
MATERIALES Y MÉTODOS
La población considerada fueron todos los caninos que practicaron agility en Antioquia durante 2012. El muestreo de cuarenta caninos se realizó seleccionando aquellos animales que cumplieron con los criterios de inclusión (caninos mayores de un año, clínicamente sanos, de cualquier raza y sexo, y que llevaran mínimo seis meses practicando) y cuyos propietarios aceptaron hacer parte del estudio. Fueron descartados aquellos animales que mostraron alteraciones hematológicas indicativas de patologías.
Para la toma de las muestras los cuarenta animales estuvieron distribuidos en diez criaderos y se escogieron cuatro perros por criadero. Se realizó una visita previa antes de la toma de muestras para realizar examen clínico general y escoger los caninos que cumplieron con los criterios de inclusión. Una semana después se tomaron las muestras, pero previo a esto se realizó de nuevo un examen clínico general en reposo, cuando el animal llegó a la pista. Para la extracción de sangre se utilizó el sistema de tubos al vacío (tipo Vacutainner®). Se extrajeron cinco mililitros de sangre en tubo con anticoagulante de EDTA (Vacutainner® tapa lila). Se mezcló el tubo por inversión de cinco a siete veces hasta homogeneizar la sangre. Se identificó y se envió la muestra refrigerada a 4°C hasta el laboratorio Bioanalysis para su procesamiento. Se realizó el análisis de los resultados obtenidos en cuanto a hematocrito, hemoglobina, volumen corpuscular medio, recuento de glóbulos rojos, recuento leucocitario diferencial y plaquetas.
Se hicieron dos mediciones postejercicio. La primera inmediatamente después de que el animal completó cuatro veces el mismo circuito y la segunda, 30 min después de haber terminado el recorrido. La toma de muestras postejercicio se hizo siguiendo los mismos protocolos descritos anteriormente para la toma de muestras preejercicio.
Para el análisis de los datos se utilizó el programa estadístico Statgraphics versión 15.0, licencia amparada por la Corporación Universitaria Lasallista. Se utilizó el análisis de varianza con tres factores (sexo, edad y momentos de toma de muestras) para evaluar el efecto de estos sobre la línea roja, la línea blanca y las plaquetas. Para efectos del programa y las gráficas, los tres momentos de tomas de muestras fueron considerados como "los tratamientos". El nivel de confianza fue del 95%, y cuando se detectaron diferencias significativas se empleó el procedimiento de comparaciones múltiples, y diferencia mínima significativa (LSD) para comparar los diferentes grupos homogéneos que se formaron de cada uno de los factores evaluados.
RESULTADOS
Línea roja y plaquetas y su relación con la edad
Glóbulos rojos: no hubo cambios en el conteo de eritrocitos entre el reposo y la primera muestra postejercicio. Hubo un mayor conteo de rojos en la segunda muestra postejercicio comparado con el primer muestreo, así como con el segundo muestreo en los perros de tres y cuatro años de edad (p < 0,05).
Hematocrito y volumen corpuscular medio (VCM): no hubo cambios en el hematocrito y el VCM entre la muestra en reposo y la primera postejercicio en ningún animal. Sí existió diferencia significativa entre el primer y el tercer momentos del muestreo, así como entre el segundo y el tercero en perros de tres y cuatro años, en los cuales el hematocrito y el VCM disminuyeron a los 30 min postejercicio.
En la figura 1 se pueden observar los resultados de la línea roja para los datos del estudio, en donde se relaciona la edad de los perros y el momento de la toma de la muestra (tratamientos). Respecto a los eritrocitos y las plaquetas, en la figura 1A y 1H se puede observar cómo no hubo diferencias significativas entre los grupos etarios en reposo e inmediatamente después del ejercicio; mientras que a los 3 y 4 años de edad sí presentan diferencias significativas respecto a la muestra tomada 30 minutos después del ejercicio.
El hematocrito (hto) y el VCM no presentaron diferencias significativas antes e inmediatamente después del ejercicio en ningún perro; se observaron diferencias significativas entre el primer y el tercer momento, así como entre el segundo y el tercer momento en animales mayores de 3 años de edad (figuras 1B y 1D).
La Hb, HCM, proteínas plasmáticas y fibrinógeno no presentaron diferencias significativas en ninguno de los momentos en lo que respecta a la edad de los perros (figuras 1C, 1E, 1G y 1I) respectivamente.
Línea roja y plaquetas y su relación con el sexo
Glóbulos rojos: existieron diferencias en el conteo de eritrocitos entre el segundo y el tercer momento de toma de muestras tanto en hembras como en machos (p < 0,05), siendo mayor el número en los machos. No se observaron cambios entre el primer y segundo momento ni en hembras ni en machos, corroborando el resultado anterior de la no diferencia entre estos momentos, en ningún grupo etario.
Hematocrito, VCM y CHCM: hubo cambios a los 30 min postejercicio entre machos y hembras siendo mayor el hematocrito para las hembras (p < 0,05). Lo mismo sucedió para el VCM y la CHCM.
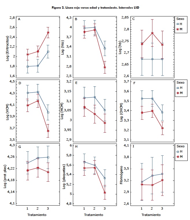
La figura 2 muestra los resultados de la línea roja respecto a los tres momentos del muestreo y el sexo de los animales. En la figura 2A se pueden observar diferencias significativas entre el segundo y el tercer momento del muestreo tanto en machos como en hembras siendo mayor el valor de eritrocitos en los machos. No se observaron diferencias significativas entre machos y hembras antes e inmediatamente después de la actividad física; a los 30 min postejercicio se observaron diferencias significativas entre machos y hembras, siendo mayor el valor del hematocrito para las hembras. Lo mismo ocurrió para el VCM y la CHCM (figuras 2B, 2D y 2F, respectivamente). En las figuras 2E, 2G, 2H y 2I se observa que no hubo diferencias significativas en Hb, HCM, proteínas plasmáticas, plaquetas y fibrinógeno en ninguno de los tres momentos evaluados ni en machos ni en hembras.
Línea blanca y su relación con la edad
Leucocitos totales: en animales con edades entre uno y cuatro años no se presentaron cambios en el conteo antes e inmediatamente después del ejercicio. Sí hubo cambios entre el recuento inmediatamente después del ejercicio y 30 min postejercicio en animales de 3,5 años (p < 0,05).
Línea blanca y su relación con el sexo
Leucocitos totales: se presentó un aumento entre el conteo en reposo y el conteo inmediatamente después del ejercicio tanto en hembras como en machos, siendo mayor el conteo en las hembras, y particularmente las hembras de 3,5 años (p < 0,05).
Recuento leucocitario diferencial: el recuento leucocitario en las diferentes edades mostró diferencias significativas (p < 0,05) en los animales evaluados. En la figura 3 se muestra la relación de los leucocitos respecto a la edad, el sexo y los momentos de muestreo. Se puede observar cómo para el rango de edad entre 1 y 4 años no se observan diferencias significativas en el recuento celular antes del ejercicio y a los 30 min postejercicio. Sí hubo diferencias significativas entre el recuento inmediatamente después del ejercicio con respecto al recuento 30 min después del ejercicio en animales de 3,5 años. Respecto a los tres momentos de muestreo y el sexo se puede observar una leucocitosis postejercicio, siendo las hembras las que presentan mayor valor en los leucocitos. Las hembras de 3,5 años presentan diferencias significativas respecto a los machos de su misma edad (p < 0,05).
El recuento relativo de eosinófilos presentó diferencias significativas entre sexos, en las muestras tomadas antes del ejercicio (figura 4d). Las demás variables de blancos evaluadas no presentaron diferencias significativas entre sexos y entre los tres momentos evaluados (figura 4). Existe aumento en el recuento de los neutrófilos tanto en hembras como en machos entre el reposo y el primer muestreo postejercicio (p < 0,05).
En la figura 5 no se observan diferencias significativas en cuanto al recuento celular relativo y absoluto en la variable edad de los animales y los tres momentos del muestreo.
DISCUSIÓN
En nuestro estudio se evidenció la no existencia de diferencia significativa en el conteo de glóbulos rojos en reposo e inmediatamente después del ejercicio, concordando con lo planteado por Rubio (6), en que la diferencia radica en el tipo de ejercicio que se lleve a cabo, incrementándose el número de eritrocitos con la intensidad del ejercicio. Al ser el agility un deporte exigente en velocidad, pero de corta duración, se explica que los cambios en el conteo de rojos no sean tan notorios.
Al existir diferencia significativa entre el conteo en reposo y el conteo 30 min después del ejercicio en animales de tres y cuatro años de edad, y al considerar que en el caso de los perros del estudio, a mayor edad, mayor tiempo de entrenamiento, concuerda con lo planteado por Rubio (6) en que existe relación entre el grado de entrenamiento y el número de células rojas postejercicio, con un aumento significativo después del entrenamiento.
En este estudio el hematocrito y el VCM no presentaron diferencias significativas antes e inmediatamente después del ejercicio en ningún grupo etario; solo se observaron diferencias significativas entre el primer y el tercer momentos del muestreo, así como entre el segundo y tercer momentos evaluados en animales mayores de tres años, en donde hubo disminución del hematocrito. Esto último concuerda con lo hallado por Magazanik et ál. (9) quienes examinaron los efectos crónicos del ejercicio y encontraron decrecimiento en los parámetros de las células rojas. Igualmente, Ricci et ál. (10) encontraron disminución de los parámetros hematológicos postejercicio crónico.
Cabe destacar lo planteado por Novosadova (11), quien en un estudio en humanos plantea que a nivel hematológico las modificaciones encontradas varían con el ejercicio agudo y crónico, así como con la intensidad y el tiempo utilizado en el mismo. Igualmente, Baltaci et ál. (12) examinaron la bioquímica sanguínea en humanos al final de ejercicio agudo máximo y encontraron que los parámetros aumentaron dependiendo de la severidad y duración de la actividad. Çakmakçi (13) realizó un estudio en practicantes de taekwondo y encontró que no hubo diferencia significativa en células blancas, células rojas, plaquetas y hematocrito en muestras pre y postejercicio. Gillen et ál. (14) plantean que como respuesta aguda al ejercicio se ha documentado que durante y hasta una hora después de actividad física extenuante (menor de una hora) existe deshidratación y hemoconcentración con aumento en la concentración de hemoglobina y el hematocrito hasta en un 18% superior al dato en reposo. Sin embargo, se plantea que estos cambios son mayores entre más largo e intenso sea el ejercicio, y menores entre mayor sea el grado de entrenamiento; asimismo, si el ejercicio implica menos de un 40% del VO2max durante las sesiones de entreno suelen alterarse dichos parámetros (11). Este consumo de oxígeno no fue evaluado en nuestro estudio, pero puede argumentarse como una posible explicación a lo ocurrido; el agility involucra carreras muy cortas pero a alta velocidad, lo que explicaría la no significancia estadística en los cambios de estos parámetros y deja abierta la posibilidad para, en estudios posteriores, realizar pruebas espirométricas que permitan obtener el dato del consumo de oxígeno.
Las investigaciones que han observado cambios en el hematocrito lo relacionan con la expansión del volumen plasmático descrita como adaptación al entrenamiento y la hemólisis intravascular originada en algunos deportes, demostrando que la disminución encontrada en el hematocrito es fundamentalmente debida a la hemodilución y en menor medida a la destrucción de células rojas. Estas disminuciones en el hematocrito son fisiológicamente importantes si se tiene en cuenta que sus variaciones se relacionan de manera directa con la viscosidad de la sangre.
Se sabe que la sangre con un valor de hematocrito de 45% es 2,1 veces más viscosa que el agua aumentando la viscosidad relativa hasta 2,6 veces con valores de hematocrito de 55%. Estas modificaciones repercutirán en el trabajo del corazón como bomba durante el ejercicio. Algunos estudios han demostrado que con niveles de hematocrito de 40% hay un aumento en la cesión de oxígeno de los tejidos que disminuye con valores mayores (15).
Contrario a lo planteado por Rubio (6), en nuestro estudio no se afectaron postejercicio la Hb, hemoglobina corpuscular media (HCM), proteínas plasmáticas ni fibrinógeno. Martínez (17) plantea que en ejercicio las proteínas plasmáticas totales aumentan por las mismas razones que determinan el incremento de la osmolaridad, principalmente por tratarse de elementos que no cambian de compartimiento en el medio interno. En el postejercicio es posible observar una muy pronta homeostasis de las proteínas plasmáticas, alcanzando incluso una menor concentración que en la condición previa al ejercicio, en esto la ADH, al recuperar agua desde el hiposmótico contenido intestinal, juega un rol importante. La homeostasis de las proteínas plasmáticas totales postejercicio se logra al cabo de media hora (16).
En los eritrocitos se ha observado una disminución en el volumen corpuscular medio (VCM) y un incremento de la hemoglobina corpuscular media (4). Rubio en 1995 indicó que en equinos de deporte el sexo influye en la respuesta hematológica al ejercicio, con un incremento de los valores del eritrograma (glóbulos rojos, hemoglobina y hematocrito) mayor en las hembras que en los machos, debido a la mayor capacidad de almacenamiento de eritrocitos por parte del bazo (6). Igual que en este reporte, en nuestro estudio el hematocrito exhibió aumentos en las hembras con respecto a los machos. Martínez indicó que el valor del hematocrito puede aumentar en ejercicio debido al transporte de agua plasmática hacia el músculo hiperosmótico y por la pérdida de agua plasmática en el proceso de ventilación pulmonar (17).
Como respuesta al ejercicio la hemoglobina sufre cambios similares a los del hematocrito. Por tanto, inmediatamente después a la realización de un ejercicio puede aparecer aumentada por hemoconcentración, pero a continuación descender. En humanos entrenados, la hemoglobina puede estar disminuida principalmente por la expansión del volumen plasmático (16).
En nuestro estudio existieron diferencias en el conteo de eritrocitos entre el segundo y el tercer momento de toma de muestras tanto en hembras como en machos, siendo mayor el número en los machos. Si bien no en caninos, en humanos se ha reportado este mismo hallazgo, según López (16), al plantear que el número de hematíes es distinto en función de la edad y del género siendo mayor en varones y pudiendo variar significativamente en diversas circunstancias como zona de extracción de la sangre, ejercicio físico, ansiedad o excitación, entre otras.
Hematocrito, VCM y CHCM: para los tres parámetros hubo cambios a los 30 min postejercicio entre machos y hembras siendo mayor el hematocrito para las hembras. Esto contradice lo planteado por López (15) quien para humanos plantea un valor mayor para los varones frente a las hembras describiendo diferencias significativas en deportistas de distinta condición física y nivel de entrenamiento. Para el caso de VCM y la CHCM los cambios encontrados fueron un aumento en sus valores en las hembras con respecto a los machos; la hemoglobina, que no presentó diferencia estadística por sexo, contradice lo planteado por Schumaher et ál. (21) quienes midieron los niveles de hemoglobina en humanos deportistas encontrando diferencias entre hombres y mujeres, siendo mayor en los hombres.
La liberación de epinefrina en respuesta a miedo, excitación o ejercicio súbito es la responsable de la leucocitosis y neutrofilia fisiológica (18).
El aumento de la frecuencia cardiaca, la presión arterial y el flujo sanguíneo causa movilización de los neutrófilos con redistribución del compartimiento marginal al circulante. Por otro lado, la epinefrina bloquea los receptores de las células endoteliales de las vénulas poscapilares de los nódulos linfáticos, alterando el patrón normal de recirculación e impidiendo la reentrada de linfocitos de la sangre hacia el tejido linfoide. (18).
Hodgson y Rose (7), en 1994, reportaron que no se perciben cambios fundamentales en la línea blanca con respecto al sexo y que tampoco se encuentran cambios respecto al recuento total de glóbulos blancos ni a la proporción de leucocitos al someter a los animales a un entrenamiento de alta o baja intensidad; en este caso se pudo evidenciar que hubo diferencias significativas (p < 0,05) en el conteo de leucocitos totales en cuanto al sexo se refiere, encontrándose los leucocitos más altos en hembras que en machos. Esto se puede deber a que los estrógenos actúan sobre la inmunidad, sobre la generación de los linfocitos T y B en los órganos linfoides primarios, y en la estimulación de los linfocitos periféricos por antígenos (19).
Los leucocitos no se alteran por el entrenamiento de fuerza o de potencia, como sí sucede con el entrenamiento de resistencia; al parecer, la duración del entrenamiento es el factor más importante que modifica la concentración plasmática de leucocitos, lo cual explica por qué este parámetro no se modifica en animales de agility.
Feldman et ál. (20) exponen una leucocitosis fisiológica que se produce después de un ejercicio vigoroso, sobre todo en animales jóvenes, donde las catecolaminas (epinefrina) aumentan el gasto cardiaco, la presión sanguínea y la actividad muscular. Las células blancas son liberadas hacia la circulación, aumentando transitoriamente (de 10 a 20 min) el conteo de leucocitos.
En este estudio no se observaron diferencias significativas en cuanto al leucograma en ambos recuentos celulares (relativo y absoluto) en las variables sexo y edad de los animales frente a los momentos del muestreo, respaldando lo encontrado por otros autores en estudios realizados previamente.
Plaquetas
El recuento plaquetario periférico también se modifica ya que se aumenta transitoriamente durante una sesión de ejercicio físico agudo debido a una liberación de plaquetas del pool esplénico y de otros lugares de atrapamiento temporal, como la médula ósea y el lecho vascular pulmonar (6).
CONCLUSIONES
El ejercicio conlleva cambios hematológicos importantes que se deben considerar en la práctica de la medicina deportiva en caninos. Factores como el sexo y la edad de los animales influyen en tales efectos.
Los valores hematológicos en caninos atletas brindan información importante a la medicina puesto que permiten ampliar mucho más el panorama clínico y médico de estos animales.
Los próximos trabajos deben incluir muchos más parámetros de los incluidos en este estudio y determinar si, por ejemplo, factores como la raza pueden influir en los resultados y en determinar cuál raza es mucho más apta fisiológicamente hablando para la competición de agility.
Con estos resultados obtenidos se hace importante que se continúe investigando sobre esta disciplina que viene creciendo en Antioquia y en el país, y en la cual se han realizado pocos estudios.
AGRADECIMIENTOS
A la Corporación Universitaria Lasallista por la confianza en este proyecto y su valioso apoyo en la financiación y ejecución. A todos los clubes caninos practicantes de este deporte, por permitirnos muestrear sus animales, siempre con la mejor disposición. A los estudiantes de Medicina Veterinaria de la Corporación Universitaria Lasallista, David Urrego Monsalve y Sara Restrepo Valencia por su valiosa ayuda en los muestreos.
REFERENCIAS
1. Guyton A, Hall J. Textbook of Medical Physiology. 12 edition. Philadelphia: Elsevier Saunders; 2011. [ Links ]
2. Bonilla J. Respuesta hematológica al ejercicio. Revista de Ciencias de la Salud. 2005; 3 (2): 206-216. [ Links ]
3. Lewis LD. Feeding and care of the horses for Athletic Performance. 2 edition. Williams and Wilkins; 1996. [ Links ]
4. Tyler CM, Golland LC, Evans DL, Hodgson DR, Rose JR. Haematological and biochemical responses to training and overtraining. Equine Veterinary Journal Supply. 1999; 30: 621-5. [ Links ]
5. Leleu C, Cotrel C, Courouce-Malblanc A. Relationship between physiological variables and race performance in French Standarbred trotters. Veterinary Record. 2005; 156: 339-342. [ Links ]
6. Rubio M. Respuestas hematológicas, cardiovasculares y respiratorias al ejercicio. En: Fisiología Veterinaria. Madrid: McGraw-Hill Interamericana; 1995. [ Links ]
7. Hodgson D, Rose R. The Athletic Horse. Principles and Practice of Equine Sports Medicine. WB Saunders Company; 1994. [ Links ]
8. ACCC. Historia del Agility, 2008. Disponible en: http://www.accc.com.co/Agility.asp [ Links ]
9. Magazanik AY, Weinstei RA, Dlin MD. Iron deficiency caused by 7 weeks of intensive physical excersise. Eur J Appl Physiol. 1988; 57: 198-202. [ Links ]
10. Ricci G, Mosatti M, Vitali E, Vedovate, M, Zanotti, G. Effects of exercise on hematologic parameters serum iron, serum ferritin, red-cell 2,3 diphosphoglycerate and creatine contents and serum erythropoietin in long distance runners during basal training. Acta Haematol. 1988; 80 (2): 85-98. [ Links ]
11. Novosadova J. The changes in hematocrito, hemoglobin, plasma volume and proteins during and after different types of excersice. Eur J Appl Physiol. 1970; 36: 223-230. [ Links ]
12. Baltaci AK, Mogulkoç R, Üstündag B, Koç S, Özmerdivenli R. A study on some hematological parameters and the levels of plasma proteins and serum zinc, calcium and phosphorus in young female athletes. J Phys Educ Sport Sci. 1998; 3 (2): 21-28. [ Links ]
13. Çakmakçi E. Effects of camp term on some hematological parameters in male taekwondoers. J Phys Edu Sport Sci. 2009; 3 (1): 21-29. [ Links ]
14. Guillen CM, Lee R, Mark GW, Tomaselli CM, Nishiyasu T, Nadel ER. Plasma volumen expansión in human after a single intense excersice protocols. J Appl Physiol Occup Physiol. 1991; 70: 1810. [ Links ]
15. Connes P, Bouix D, Durand F, Kippelen P, Mercier J, Prefut C, et ál. Is hemogolin desaturation related to blood viscosity in athletes during exercise? Int J Sports Med. 2004; 25: 569-574. [ Links ]
16. López Chicharro J, Fernández Vaquero A. Fisiología del ejercicio. 3a. ed. Madrid: Editorial Médica Panamericana; 2008. [ Links ]
17. Martínez R. Cambios fisiológicos inducidos por el ejercicio. En: Fisiología veterinaria. Madrid: McGraw-Hill Interamericana; 1995. [ Links ]
18. Latimer K, Mahaffey E, Prasse K. Patología Clínica Veterinaria. Barcelona: Editorial Multimédica. [ Links ]
19. Gómez J. Psiconeuroinmunología. Barcelona: Ediciones Universidad; 2006. [ Links ]
20. Feldman B, Zinkl J, Jain N. Schalm's Veterinary hematology. 5 edition. Baltimore: Lippcott Williams & Wilkins; 2000. [ Links ]
21. Shumacher O, Jankovitz R, Bultermann D, Schmid A, Berg A. Hematological indices and iron status in athletes in various sports and performance. Med Sci Sports Excerc. 2002; 34: 869-875. [ Links ]












