Services on Demand
Journal
Article
Indicators
-
Cited by SciELO -
Access statistics
Related links
-
Cited by Google -
Similars in
SciELO -
Similars in Google
Share
Revista de Medicina Veterinaria
Print version ISSN 0122-9354
Rev. Med. Vet. no.26 Bogotá July/Dec. 2013
Comparación de los efectos cardiovasculares del propofol, tiopental y de la mezcla propofol-tiopental en un grupo de caninos sanos premedicados con hidromorfona
Camilo Padilla Peñuela1 / Leonel Alexander Cardona Rodríguez2
1 Médico veterinario. MSc, Corporación Universitaria Lasallista, Facultad de Ciencias Administrativas y Agropecuarias, Caldas, Antioquia.
japadilla@lasallistadocentes.edu.co
2 Médico veterinario. MSc, Universidad de La Salle, Facultad de Ciencias Agropecuarias, Bogotá, Colombia.
clecardona@unisalle.edu.co
Recibido: 22 de julio del 2013. Aceptado: 20 de septiembre del 2013
Cómo citar este artículo: Padilla Peñuela C, Cardona Rodríguez LA. Comparación de los efectos cardiovasculares del propofol, tiopental y de la mezcla propofol-tiopental en un grupo de caninos sanos premedicados con hidromorfona. Rev Med Vet. 2013;(26):133-146.
Resumen
El objetivo de la investigación fue determinar las diferencias en el desempeño cardiovascular de caninos sanos premedicados con hidromorfona e inducidos y mantenidos con tres diferentes protocolos anestésicos. Se evaluaron quince caninos sanos entre uno y seis años de edad, los cuales no presentaban afecciones cardiacas o que generaran dolor, y con un riesgo anestésico clasificado como ASA I. Los pacientes se distribuyeron en tres grupos y cada uno fue inducido y mantenido en un plano anestésico (estadio III, plano 2) con un protocolo según el grupo al que se habían incorporado (tiopental, propofol o la mezcla propofol-tiopental). En cada paciente se realizó ecocardiografía (fracción de acortamiento y fracción de eyección) y se midió el lactato plasmático y la presión arterial por el método oscilométrico. Las mediciones se realizaron en tres periodos de tiempo diferentes (T1, antes de premedicar; T2, después de premedicar y T3, después de la inducción). Se observó una diferencia muy significativa en la frecuencia cardiaca de los pacientes anestesiados con propofol (p = 0,0004) con tendencia a la bradicardia, y la presión arterial se mostró disminuida en este grupo; sin embargo, la diferencia no logró ser significativa (p = 0,08). En cuanto a los demás parámetros (fracción de eyección, fracción de acortamiento y lactato) tampoco se observaron diferencias.
Palabras clave: propofol, tiopental, ecocardiografía, presión arterial sistémica, lactato, caninos.
Comparison of the Cardiovascular Effects of Propofol, Thiopental and the Propofol-Thiopental Mixture in a Group of Healthy Dogs Premedicated with Hydromorphone
Abstract
The purpose of the investigation was to determine the differences in the cardiovascular performance in healthy dogs premedicated with hydromorphone and induced and kept with three different anesthetic protocols. Fifteen healthy dogs between one and six years of age were assessed, which did not have any heart diseases nor generated pain and with an anesthetic risk classified as ASA I. The patients were divided into three groups, and each was induced and kept in an anesthetic plan (stage III, plane 2) with a protocol according to the group they had been included in (thiopental, propofol or propofol-thiopental mixture). Each patient underwent echocardiography (fractional shortening and ejection fraction) and plasma lactate and blood pressure were measured by oscillometry. Measurements were made in three periods (T1, before premedication; T2, after premedication, and T3, post induction). A very significant difference was observed in the heart rate of patients anesthetized with propofol (p = 0.0004), prone to bradycardia; blood pressure decreased in the propofol group; however, the difference was not significant (p = 0.08). As for the other parameters (ejection fraction, fractional shortening and lactate), no differences were observed.
Keywords: Propofol, thiopental, echocardiography, systemic arterial pressure, lactate, canines.
Comparação dos efeitos cardiovasculares do propofol, tiopental e da mescla propofol-tiopental em um grupo de cães saudáveis pré-medicados com hidromorfona.
Resumo
O objetivo da pesquisa foi determinar as diferenças no desempenho cardiovascular de cães saudáveis pré-medicados com hidromorfona e induzidos e mantidos com três diferentes protocolos anestésicos. Foram avaliados quinze cães saudáveis entre um e seis anos de idade, os quais não apresentavam afecções cardíacas ou que geram dor e com um risco anestésico classificado como ASA I. Os pacientes se distribuíram em três grupos e cada um foi induzido e mantido em um plano anestésico (estado III, plano 2) com um protocolo segundo o grupo ao que se haviam incorporado (tiopental, propofol ou a mescla propofol-tiopental). Em cada paciente se realizou eco cardiografía (fração de encurtamento e fração de ejeção) e se mediu o lactato plasmático e a pressão arterial pelo método oscilométrico. As medições se realizaram em três períodos (T1, antes de pré-medicar; T2, depois de pré-medicar, e T3, depois da indução). Observou-se uma diferença muito significativa na frequência cardíaca dos pacientes anestesiados com propofol (p = 0,0004) com tendência à bradicardia; a pressão arterial se mostrou diminuída no grupo propofol; contudo, a diferença não conseguiu ser significativa (p = 0,08). Em quanto aos outros parâmetros (fração de ejeção, fração de encurtamento e lactato), também não se observaram diferenças.
Palavras chave: propofol, tiopental, eco cardiografía, pressão arterial sistêmica, lactato, cães.
INTRODUCCIÓN
La evolución de la anestesia en veterinaria ha traído un gran desarrollo en las técnicas quirúrgicas y en el bienestar animal, al poder tratar problemas que antiguamente solo se manejaban médicamente o con la eutanasia. En la actualidad existe gran variedad de medicamentos y protocolos que hacen que la anestesia sea un proceso seguro en la mayoría de los pacientes. El uso de anestesia inhalada o de anestesia total intravenosa (TIVA) ha permitido el desarrollo seguro de anestesias prolongadas en pacientes enfermos o debilitados. Sin embargo, en el medio colombiano, el uso de técnicas avanzadas de anestesia es poco frecuente, ya sea por la difícil adquisición de los medicamentos (opioides para la TIVA) o por los altos costos de consecución y mantenimiento de los equipos de anestesia inhalada; en vez de esto, en nuestro medio es más frecuente que la inducción y el mantenimiento de los pacientes se realice con anestesia fija, principalmente con barbitúricos como el pentotal o el tiopental, o con disociativos como la ketamina. No obstante, ninguno de estos medicamentos resulta totalmente adecuado para la inducción y mucho menos para el mantenimiento de procedimientos anestésicos (1).
El tiopental potencializa la inhibición de la transmisión sináptica mediada por el ácido gammaaminobutírico (GABA) al abrir los canales de cloro de la membrana, lo que genera hiperpolarización celular. El tiopental se une a un sitio alostérico (sitio diferente al centro activo de la molécula) que incrementa la acción del GABA y prolonga la duración de la apertura del canal de cloro en la neurona postsináptica. Con respecto al propofol, su mecanismo de acción no es completamente claro; sin embargo, parece activar los receptores GABA mediante su unión a un sitio diferente de los canales de cloro, lo que ocasiona también hiperpolarización celular posináptica (2).
En cuanto a efectos cardiovasculares, el tiopental en humanos ha mostrado un menor efecto hipotensor que el propofol; incluso en algunos casos se ha observado un ligero aumento en la presión arterial sistémica (PAS) (3) asociado a un efecto relacionado con taquicardia posaplicación. No existen evidencias de que el tiopental reduzca de manera importante la poscarga; si se le compara con el propofol tiende a tener un efecto inotropo moderado, pero no afecta inicialmente el tono de la vasculatura periférica.
Con respecto al propofol, la frecuencia cardiaca (FC) tiende a disminuir después de su aplicación; sin embargo, en algunos estudios ha mostrado un ligero aumento. El problema es que en varios de estos se ha realizado una premedicación con atropina, lo que dificulta la interpretación de estos datos. En estudios realizados en humanos adultos se encontró una disminución en la poscarga, mediada por la inhibición de la actividad vasoconstrictora simpática y por la alteración en los mecanismos de regulación de los barorreceptores; esto sumado a un efecto inotropo negativo (3). En caninos, el propofol disminuye la PAS al deprimir centralmente la actividad simpática, lo que genera disminución en la resistencia vascular periférica. Por otro lado, también disminuye la precarga por efecto venodilatador directo (4).
El sinergismo del tiopental y el propofol fue reportado inicialmente en 1991 por Naquib y Sari-Kouzel, quienes encontraron que el efecto hipnótico de esta combinación era mejor (al suministrar la mezcla a pacientes humanos ASA I con y sin premedicación) que los medicamentos en su forma individual. Otras características de importancia que se observaron con esta mezcla fueron la recuperación rápida cercana a la del propofol y superior a la del tiopental, y la disminución en el dolor producido por la inyección en la mezcla, al compararlo con el causado por el propofol solo.
En caninos existe poca literatura que sustente el uso de la mezcla propofol-tiopental y que describa sus efectos. A pesar de esto, se han determinado varias características importantes que sustentan beneficios en su uso. Se ha encontrado que la calidad de la inducción con la mezcla es similar a la que se alcanza con cada uno de los medicamentos por separado, y que pueden inducir una anestesia ligera de corta duración con una dosis inicial única y una recuperación rápida de los reflejos protectivos (similar a la del propofol) (6, 7).
Otro de los efectos benéficos de la combinación es el control de los microorganismos que podrían llegar a contaminar al propofol. Crowther y colaboradores, en 1996, encontraron que el tiopental eliminó todos los microorganismos (después de inoculación directa de alícuotas con S. aureus, E. coli, P. aeruginosa y C. albicans) con excepción de C. albicans, la cual permaneció estática. Las propiedades bactericidas del tiopental están asociadas secundariamente a su alto pH. La mayoría de bacterias patógenas prefiere un rango de pH entre 6 y 8, y la alcalinidad ejerce un marcado efecto bactericida. En este trabajo el pH del tiopental usado fue de 10,55 y el del propofol de 7,8; la mezcla propofoltiopental tuvo un pH de 10,31, lo cual puede explicar sus propiedades bactericidas, similares a las del tiopental solo (6).
El objetivo de este trabajo fue determinar y comparar los efectos cardiovasculares del propofol, tiopental y de la mezcla propofol-tiopental en un grupo de caninos sanos premedicados con hidromorfona, con el fin de poder determinar si la mezcla anestésica es segura y por lo tanto recomendable en su uso.
MATERIALES Y MÉTODOS
Se incluyeron en este estudio quince caninos (familia: Canidae; género: Canis; especie: Canis lupus; subespecie: C. lupus familiaris): nueve hembras y seis machos, que se presentaron al servicio de cirugía con el fin de efectuarse en ellos algún procedimiento de tipo electivo. Todos los individuos pertenecían a una clasificación de riesgo anestésico ASA I (ausencia de alteraciones orgánicas, fisiológicas, sistémicas en un paciente para el cual se ha programado un procedimiento que involucra o no un proceso patológico localizado), con edades entre uno y seis años, y peso entre cinco y quince kilos. A estos pacientes se les hizo un examen físico general con el fin de no incluir los que pudieran presentar signos de dolor, enfermedad sistémica, enfermedad cardiovascular o cualquier condición patológica que pudiera alterar los resultados del estudio. Adicional al examen físico general, a cada paciente se le realizó un electrocardiograma, un cuadro hemático con proteínas totales, un recuento de plaquetas y química sanguínea que incluyó alanino amino transferasa (ALT), creatinina, glucosa, albúmina y el CO2 total (TCO2); cualquier valor por fuera de los rangos normales se consideró como un factor de exclusión del estudio. Todos los procedimientos y técnicas fueron aprobados por parte del Comité de Ética de la Universidad de La Salle.
Los quince individuos se distribuyeron en tres grupos al azar, cada uno con cinco pacientes de la siguiente manera: grupo T, inducidos con tiopental (la inducción en este grupo se realizó con tiopental sódico al 5 %); grupo P, inducidos con propofol (la inducción en este grupo se realizó con propofol al 1 %); grupo PT, inducidos con una mezcla de tiopental más propofol (la inducción en este grupo se realizó con una mezcla de tiopental al 2,5 % y con propofol al 1 % en dilución 1:1 en volumen).
En cada paciente se efectuó una evaluación clínica preanestésica que incluyó las constantes fisiológicas (FC, frecuencia respiratoria [FR] y temperatura [T°]); tiempo de llenado capilar (TLLC), tiempo de sangrado de mucosas y evaluación de la hidratación. Se valoró el cuadro hemático y la química sanguínea de cada paciente con las pruebas mencionadas, el cual debía estar dentro de los parámetros normales para continuar con el proceso de evaluación del paciente. Se realizó un electrocardiograma (Modelo SG101G, Biocare, China) en el cual se evaluaron trazados de tres segundos a velocidad 25 mm/s de las derivadas I, II, III, aVR, aVL y aVF, con el fin de determinar por medio del método de la derivada menos isoeléctrica el eje eléctrico medio del corazón, el cual fue normal para todos los pacientes. También se evaluó un trazado electrocardiográfico de quince segundos en derivada II a velocidad de 50 mm/s para establecer la presencia de arritmias. No se encontraron alteraciones en ninguno de los pacientes (la presencia de anormalidades electrocardiográficas se consideró factor excluyente del estudio); no se efectuaron pruebas electrocardiográficas adicionales en lo restante del estudio.
Antes de la premedicación se tomó una muestra de sangre (5 ml) de la vena yugular, la cual se ubicó en un tubo con fluorato de sodio que se remitió inmediatamente al laboratorio para la primera medición de lactato. La medición de la concentración plasmática de lactato se efectuó por medio de un analizador de química sanguínea (Modelo Vitros DT60II, Johnson y Johnson, Estados Unidos) que utiliza el método. La segunda medición se desarrolló posterior a la última evaluación ecocardiográfica (después de la inducción).
La premedicación de los pacientes se efectuó con clorhidrato de hidromorfona al 0,2 % a una dosis de 0,1 mg/kg por vía intravenosa (IV). Cinco minutos después de la premedicación, se hizo la inducción con uno de los tres protocolos del estudio por vía IV de la siguiente manera: tiopental sódico al 5 % en dosis de 5 mg/kg para el grupo T, propofol al 1 % en dosis de 3 mg/kg para el grupo P y propofol al 1 % mezclado con tiopental sódico al 2,5 % (mezcla 1:1 en volumen) a una dosis de 3 mg/kg (con base en el tiopental el cual queda a 12,5 mg/ml después de la dilución) para el grupo PT, lo cual se logra de forma práctica mezclando una ampolla de 20 ml de propofol al 1 % con 10 ml de solución salina al 0,9 % y 10 ml de tiopental al 5 %. Posterior al proceso de inducción se desarrolló la evaluación de las variables.
Cada paciente se posicionó en decúbito lateral derecho y se le puso un brazalete (Trimline Tempa Kuff, Estados Unidos) alrededor de su antebrazo izquierdo (comprimiendo la arteria mediana); el tamaño del ancho del brazalete utilizado fue aproximadamente del 40 % de la circunferencia del antebrazo. Se realizaron cinco mediciones de la PAS, presión arterial diastólica (PAD) y presión arterial media (PAM) por medio de un monitor de signos vitales (Modelo 90309, Spacelab Medical, Estados Unidos) con tensiómetro oscilométrico en modo neonatal; de estas mediciones se descartó la mayor, la menor, y se calculó el promedio de las tres restantes anotando este valor en el formato de evaluación.
Para el examen ecocardiográfico se ubicó cada paciente en decúbito lateral derecho sobre una mesa fenestrada especial para ultrasonido cardiaco. La ecografía se realizó con un sistema de ultrasonido (Modelo 2200, Mindray, China) y un transductor microconvex de 6,5 MHz. Las mediciones se efectuaron en un eje corto paraesternal derecho sobre el tercer espacio intercostal en el corte de los músculos papilares; el cursor de modo M se ubicó entre los músculos papilares y se obtuvo un trazado en modo M. El software ecográfico permitió también calcular de forma automatizada la FC de cada paciente.
Posterior a la toma de datos, se transportó a cada paciente al quirófano y se continuó con el procedimiento quirúrgico que había sido programado para cada uno de ellos.
ANÁLISIS ESTADÍSTICO
Se desarrolló estadística descriptiva con los datos obtenidos; estos valores fueron evaluados por medio de un análisis de varianza (Anova). Se determinó en todas las variables la presencia de homocedasticidad por medio de la prueba de Shapiro-Wilk y se encontró que todas seguían un comportamiento normal. Después de determinar la existencia de diferencias significativas entre los grupos, se desarrolló un test de Tukey para realizar comparaciones múltiples con el fin de localizar las diferencias.
El grado de significancia establecido para las pruebas estadísticas fue del 5 % (p < 0,05) y los niveles de significancia se graficaron de la siguiente manera: (*) diferencia significativa (p < 0,05); (**) diferencia muy significativa (p < 0,005); (***) diferencia altamente significativa (p < 0,0005). Todas las pruebas fueron desarrolladas por medio del programa estadístico Statistix 8.0 para Windows®.
RESULTADOS
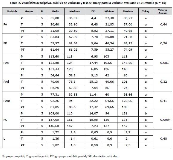
Los resultados del presente estudio se encuentran resumidos en la tabla 1, y la estadística descriptiva para cada una de las variables se encuentra en la tabla 2, expresada como la media y su respectiva desviación estándar. La representación gráfica en forma de diagrama de barras se encuentra en las figuras 1-7.
Las fracciones de acortamiento y de eyección fueron mayores en el grupo P y menores en el grupo T, pero no hay diferencias significativas entre los tres grupos (p = 0,44); el grupo PT mantuvo sus valores en un punto intermedio entre los otros dos grupos. La PAS incrementó en el grupo T con respecto al grupo P; la PAS en el grupo PT fue mayor que en el P, y esta tendencia se repitió en la evaluación de la PAD y sPAM; sin embargo, ninguno de estos cambios fue significativo: PAS (p = 0,081), PAD (p = 0,32), PAM (p = 0,41). En cuanto a la frecuencia cardiaca, el grupo P mostró una disminución muy significativa al comparase con los grupos T y PT (p = 0,0004). No se observaron diferencias de tipo significativo en la medición del lactato postinducción en ninguno de los tres grupos (p = 0,48).
DISCUSIÓN
Según Hall, Clarke y Trim (8), la anestesia general es una intoxicación controlada y reversible del sistema nervioso central (SNC), con la cual el paciente no percibe estímulos dolorosos, y que provee inmovilidad y relajación de la musculatura esquelética. La anestesia general es tan importante como el procedimiento quirúrgico y en parte está asociada con el buen pronóstico que se le puede dar al mismo. No debería ser relevada a un segundo plano, como ha sido la constante en la evolución de la cirugía en nuestro medio.
En general los medicamentos anestésicos tienden a producir efectos sobre el sistema cardiovascular que influyen en el desempeño contráctil del miocardio, el cual es sensible a alteraciones en la FC, precarga, poscarga y estado inotrópico (9). Las FA y FE son índices de la fase eyectiva del corazón que se encuentran entre los métodos más frecuentes de valoración de la funcionalidad cardiaca; estos índices disminuyen cuando lo hace el rendimiento cardiaco, y se ven afectados principalmente por la precarga, poscarga y la contractibilidad del corazón, evaluando principalmente la función contráctil cardiaca más que la contractibilidad (10).
En este trabajo se observó una tendencia del propofol a disminuir la función contráctil caracterizada por baja fracción de acortamiento y de eyección, efectos menos evidentes con la utilización del tiopental o de la mezcla propofol y tiopental. El propofol tiende a reducir la función eyectiva del corazón por varios mecanismos: principalmente por una reducción significativa en la precarga y poscarga ventricular izquierda ocasionada por vasodilatación venosa y arterial, que ocurre por inhibición de la actividad del sistema nerviosos simpático y por alteración del reflejo mediado por barorreceptores. También se ha reportado un efecto depresor directo del medicamento sobre el músculo cardiaco, que suele ser más importante cuando hay una lesión previa en la funcionalidad del miocardio (por ejemplo, cardiomiopatía dilatada) o cuando se utilizan dosis elevadas del medicamento (11, 12).
El tiopental también reduce la actividad simpática, pero a diferencia del propofol no disminuye la resistencia vascular periférica e incluso puede incrementarla al no afectar el sistema barorreceptor (12). Sin embargo, Becker y Tonnesen (13) afirmaron que el efecto hemodinámico del tiopental se debe a la disminución del tono en la capacitancia de los vasos sistémicos, lo cual permite un acumulo de sangre en la periferia, que resulta en una disminución de la precarga y en el llenado diastólico ventricular izquierdo y volumen latido. Adicionalmente, se encuentra reportado el efecto depresor directo del tiopental sobre el miocardio. En un estudio (14) se inyectó propofol y tiopental directamente en las arterias coronarias de ovejas, y se observó (por medio electrocardiográfico y con catéter de Swan Ganz) una mayor depresión miocárdica secundaria al uso de tiopental que la producida por el propofol; sin embargo, la depresión generada con el uso de los dos medicamentos es dosis dependiente (11).
No es muy claro el mecanismo por el cual se ve alterada la contractilidad miocárdica con el uso de propofol, pero se ha observado una disminución en la disponibilidad del calcio en el miocardio sin cambios en la sensibilidad de los miofilamentos al mismo, y posiblemente otro efecto es mediado a través de su acción sobre la entrada de la corriente de calcio a la célula (15).
Otro efecto cardiovascular que se presentó fue la tendencia a la disminución de la presión arterial y sus componentes (PA, PAD, PAM) en el grupo en el que se usó propofol puro, comparado con los otros grupos. El propofol ocasiona mayor disminución de la presión sanguínea que otros medicamentos, la cual se asocia con la reducción de la función miocárdica y con la resistencia vascular sistémica que produce junto con venodilatación sin elevación secundaria de la FC (2). Se ha reportado que una dosis terapéutica de propofol tiende a reducir la PAS hasta en un 30 % (15), y esta es provocada por acción sobre el centro vasomotor, así como por vasodilatación arterial y venosa que repercute en la reducción de la poscarga y precarga, respectivamente (16). Adicionalmente se ha encontrado un efecto inotrópico negativo así como un efecto directo sobre el tono arterial y venoso; sin embargo, esta disminución en la resistencia vascular periférica en la mayoría de los casos no genera alteraciones en el gasto cardiaco (GC) (15).
El aumento en la PA posterior a la aplicación de tiopental puede estar asociado a la taquicardia relativa que presentan los pacientes si se compara con los que son inducidos con propofol; el tiopental, a diferencia del propofol, no impide la inhibición del reflejo barorreceptor (17). Este reflejo se inicia en los receptores de estiramiento situados en puntos específicos de las paredes de varias arterias sistémicas de gran tamaño (18). El tiopental, al igual que el propofol, inhibe el centro vasomotor, lo que induce el desarrollo de hipotensión por vasodilatación. Este descenso en la presión sistémica es detectado por los barorreceptores, los cuales se inactivan y eliminan su efecto inhibitorio sobre el centro vasomotor, lo que tiene como uno de sus efectos la vasoconstricción de las venas y arteriolas en todo el sistema circulatorio periférico (18).
El efecto cardiovascular más significativo de este estudio fue la disminución de la FC en el grupo propofol, comparado con los grupos propofoltiopental y tiopental. El propofol inhibe directamente el centro vasomotor (16), lo cual induce la reducción de la FC, en parte por disminución de la transmisión de los impulsos exitatorios de tipo simpático hacia el corazón (18). Adicionalmente el propofol induce un embotamiento del reflejo barorreceptor, lo cual impide el desarrollo de taquicardia compensatoria ante la disminución de la PA (17).
El tiopental produce un aumento de la FC asociado a la no inhibición del reflejo barorreceptor (17), lo cual permite un incremento de la presión sanguínea por vasoconstricción y genera aumento en la FC que contribuye adicionalmente al incremento en la PA (18).
El lactato se ha usado extensamente como indicador de perfusión, ya que tiende a reflejar disminuciones en el volumen de flujo de oxígeno, alteraciones en la distribución del flujo microvascular o defectos en el uso de oxígeno a nivel mitocondrial (19). Adicionalmente, algunas condiciones médicas y complicaciones con medicamentos se han asociado con incrementos en el lactato como resultado de alteraciones en el metabolismo celular (20).
La hiperlactatemia tiende a ocurrir principalmente como resultado de una alteración en la relación que existe entre la tasa de formación y el metabolismo, ya sea por alteración de uno o los dos mecanismos, siendo la tipo A la asociada con hipoxemia ocasionada por un cambio del metabolismo celular de aeróbico a anaeróbico. Este cambio puede ser el resultado de hipoxemia relativa, como el que se observa en el ejercicio y las convulsiones, o por hipoxia tisular, como resultado de hipoperfusión o reducción en el contenido de oxígeno arterial (20).
CONCLUSIONES
Los resultados encontrados mostraron que el uso de la combinación propofol-tiopental no genera efectos deletéreos en el desempeño cardiovascular, evaluado por medio de la determinación del inotropismo o función contráctil (fracción de eyección y fracción de acortamiento), el bombeo efectivo y resistencia vascular periférica (presión arterial sistólica, diastólica y media) y en cronotropismo (frecuencia cardiaca); incluso mostró una tendencia a mejorar o a aumentar estos índices, si se compara con el propofol solo que, tradicionalmente, se ha considerado como un medicamento altamente seguro para anestesia. Adicionalmente la disminución de la presencia de bradicardia es de gran utilidad en la práctica anestésica ya que la frecuencia cardiaca actúa positivamente como un determinante del funcionamiento cardio-circulatorio.
Teniendo en cuenta los resultados del presente estudio es posible recomendar la utilización de la mezcla propofol-tiopental. Los efectos hipnóticos de la mezcla ya han sido reportados en la literatura y debe recordarse que en general son sinérgicos y tienden a ser cercanos a los vistos con el uso del propofol puro, incluyendo la velocidad de recuperación del estado anestésico.
El lactato no mostró alteraciones estadísticamente importantes dentro del estudio, lo cual sugiere que no es un buen método para la evaluación de la perfusión tisular en cambios sutiles o súbitos, como los que se pudieron producir en esta investigación.
AGRADECIMIENTOS
A la Clínica para Pequeños Animales de la Universidad Nacional de Colombia, por permitir el desarrollo de este estudio en sus instalaciones, y muy especialmente a la doctora Olga Sánchez y al doctor Carlos Moreno, por su colaboración en el procesamiento de las muestras en el laboratorio.
REFERENCIAS
1. Galindo V. Guía práctica de anestesia en pequeños animales. 1a ed. Bogotá: Laboratorios Chalver; 2009. pp. 1-2; 17-25. [ Links ]
2. Maddison JE, Page SW, Church D. Farmacología clínica en pequeños animales. 1a ed. Buenos Aires: Inter-Médica; 2004. pp. 61-88; 235-252. [ Links ]
3. Wodey E, Chonow L, Neneux O, Bansard JY, Ecoffey C. Haemodynamic effects of propofol vs thiopental in infants: an echocardiographic study. Br J Anaesth. 1999;(82):516-520. [ Links ]
4. Silva A, Ribeiro LM, Bressan N, Oliveira P, Ferreira DA, Antunes LM. Dogs mean arterial pressure and heart rate responses during high propofol plasma concentration estimated by a pharmacokinetic model. Res Vet Sci. 2011;(91):278-280. [ Links ]
5. Naquib M, Sari-Kauzel A. Thiopentone-propofol hypnotic synergism in patients. Br J Anaesth. 1991;(67):4-6. [ Links ]
6. Crowther J, Hrazdil J, Jolly DT, Galbraith JC, Greacen M, Grace M. Growth of microorganisms in propofol, thiopental, and 1: 1 mixture of propofol and thiopental. Anesth Analg. 1996; (82) :475-478. [ Links ]
7. Ko JCH, Golder FJ, Mandsager RE, Heaton-Jones T. Anesthetic and cardiorespiratory effects of a 1:1 mixture of propofol and thiopental sodium in dogs. J Am Vet Med Assoc. 1999;(215):1292-1296. [ Links ]
8. Hall LW, Clarke KW, Trim CM. Veterinary anaesthesia. 11a ed. Londres: Harcourt; 2001. pp. 1-5. [ Links ]
9. Sager KB, Pelc LE, Rhyne TL, Wann LS, Waltier DC. Influence of heart rate, preload, afterload, and inotropic state on myocardial ultrasonic backscatter. Circulation. 1988;(77):478-483. [ Links ]
10. Kittleson MD, Kienle RD. Medicina cardiovascular de pequeños animales. 1a ed. Barcelona: Multimédica; 2000. pp. 95-117. [ Links ]
11. Pagel PS, Hettrick DA, Kersten JR, Lowe D, Warltier DC. Cardiovascular effects of propofol in dogs with dilated cardiomyopathy. Anesthesiology. 1998;(88):180-190. [ Links ]
12. Marshal BE, Longncker DE. Anestésicos generales. En: Goodman y Gilman, las bases farmacológicas de la terapéutica. 9a ed. Madrid: McGraw-Hill/ Interamericana; 2001. pp. 327-351. [ Links ]
13. Becker KE, Tonnesen AS. Cardiovascular effects of plasma levels of thiopental necessary for anesthesia. Anesthesiology. 1978;(49):197-200. [ Links ]
14. Mather LE, Duke CC, Ladd LA, Copeland SE, Gallagher G, Chang TH. Direct cardiac effets of coronary site-directed thiopental and its enentiomer. Anesthesiology. 2004;(101):354-364. [ Links ]
15. Sprung J, Ogletree-Hughes L, McConnell BK, Zakhary DR, Smolsky S, Moravec CS. The effects of propofol on the contractility of failing and nonfailing human heart muscles. Anesth Analg. 2001;(93):550-559. [ Links ]
16. Flórez J. Fármacos analgésicos opioides. En: Farmacología humana. 5a ed. Barcelona: Masson; 2010. pp. 435-451. [ Links ]
17. Coolong JK, McGough E, Vacchiano C, Pellegrini JE. Comparison of the effects of propofol versus thiopental induction on postoperative outcomes following surgical procedures longer than 2 hours. AANA J. 2003;(3):215-222. [ Links ]
18. Guyton AC, Hall JE. Tratado de fisiología médica. 11a ed. Madrid: Elsevier; 2007. pp. 204-214. [ Links ]
19. Chrusch C, Bautista E, Jacobs HK, Light BR, Bose D, Duke K, Mink SN. Blood pH level modulates organ metabolism of lactate in septic shock in dogs. J Crit Care. 2002;17(3):188-202. [ Links ]
20. Acierno M., Johnson ME, Eddleman LA, Mitchell MA. Measuring statistical agreement between four points of care (POC) lactate meters and a laboratory blood analyzer in cats. J Feline Med Surg. 2008;(10):110-114. [ Links ]




















