Services on Demand
Journal
Article
Indicators
-
Cited by SciELO -
Access statistics
Related links
-
Cited by Google -
Similars in
SciELO -
Similars in Google
Share
Ingeniería y Universidad
Print version ISSN 0123-2126
Ing. Univ. vol.12 no.1 Bogotá Jan./June 2008
Modelo de simulación para fabricar losa tradicional en la región sureste de México*
Simulation Model for the Production of Traditional Roof Slabs in Southeastern Mexico
Modelo de simulacro para a fabricando de louça tradicional na regiao sudeste do México
Julio Rodrigo Baeza Pereyra **
* Fecha de recepción: 29 de agosto de 2007. Fecha de aceptación para publicación: 31 de marzo de 2008. Este artículo se deriva del proyecto de investigación denominado Simulación estocástica de rendimientos de mano de obra en procesos de construcción, financiado por el Consejo Nacional de Ciencia y Tecnología (Conacyt), de México, con número de proyecto 33335U.
** Ingeniero civil, Universidad Autónoma de Yucatán, México. Màster en Ingeniería de Construcción, Universidad Autónoma de Yucatán. PhD en Ingeniería Civil, Worcester Polytechnic Institute, Estados Unidos. Profesor, Facultad de Ingeniería, Universidad Autónoma de Yucatán, México. Correo electrónico: bpereyra@tunku.uady.mx
Resumen
En este artículo se expone el proceso para elaborar un modelo matemático de fabricación de losa tradicional, conocida también como vigueta y bovedilla, tal y como se usa en la región sureste de México. Este método es el más utilizado para construir viviendas, a escala masiva, en dicha región, por lo que el estudio de los procesos para su obtención resulta de gran importancia, a fin de poder compararlo con otros métodos constructivos. Se usó la técnica de muestreo de trabajo para identificar sus procesos y duraciones. De esta se obtuvo una tabla comparativa de las duraciones de los procesos, que se analizaron bajo diferentes distribuciones de probabilidad. Para cada operación en el método constructivo se eligió la distribución de probabilidades que más se apegara a los resultados observados. Finalmente, se elaboró un esquema gráfico de operaciones, que se simuló en EzStrobe©. Se concluyó que la gran cantidad de actividades hacen difícil la representación de dicho método constructivo, pero se puede realizar un modelo en hormigón para simularlo.
Palabras clave
Vigas de celosía, losas, simulación por computadores, materiales de construcción.
Abstract
This article presents the process for making a mathematical model for the production of traditional roof slabs, as used in southeastern Mexico. This type of slab is the one most frequently used in large-scale affordable housing construction in this region; thus, the study of the process involved in its production is of great interest and importance, in case it should be compared with other types of construction methods. The job sampling technique was used to identify the stages of the process and their durations. A comparative table of durations was obtained and an analysis of factors under different probability distributions was performed. For each operation in the production process, the probability distribution most adequate for the population was chosen. Finally, a graphical model of operations was made using EzStrobe©. It was concluded that the large number of activities involved in this method makes its representation difficult. However, a representation of the process can be formulated for simulation purposes.
Key words
Trusses, slabs, computer simulation, building materials.
Resumo
Expòese o processo para a elaboraçào de um modelo matemático da fabricaçào de louça tradicional, conhecida também como de vigote e abobadilha, assim como se usa na regiào sudeste do México. Este método é o mais utilizado para a elaboraçào de vivendas em escala massiva na regiào, pelo qual o estudo dos processos para sua obtençào resulta de grande importancia para poder comparálo com outros métodos construtivos. Foi usada a técnica de amostra de trabalho para identificar os processos e as duraçòes dos mesmos. Obtevese uma tabela comparativa das duraçòes e dos processos e foram analisados baixo diferentes distribuiçòes de probabilidade. Para cada operaçào no método construtivo foi eleita uma distribuiçào de probabilidades que mais se aderisse aos resultados observados. Finalmente elaborouse um esquema gráfico de operaçòes simuladas com EzStrobe©. Concluiuse que a grande quantidade de atividades sào difícil para a representaçào deste método construtivo, mas nào obstante, é possível realizar um modelo de concreto armado para sua simulaçào.
Palavras chaves
Método de vigote e abobadilha, amostra de trabalho, simulaçào computadorizada.
Introducción
El sistema de construcción de losa tradicional a base de viguetas y bovedillas prefabricadas de hormigón (Figura 1) es el más usado en la construcción de losa, desde 1978, en la península de Yucatán. Este sistema ha mostrado una gran versatilidad de construcción y grandes ahorros de tiempo para los constructores, en comparación con el sistema de losa armada que se tenía. Sin duda, este sistema de losa a base de piezas prefabricadas de hormigón abatió los costos que se tenían por los tiempos de fabricación principalmente, pago por mano de obra e insumos, como madera para cimbras, apuntalamiento, acero de refuerzo, cemento, etc.
Sin embargo, a medida que se le ha venido empleando, principalmente en los proyectos de vivienda, se han observado algunos problemas (Tun, 1996):
El esfuerzo físico intensivo de la fuerza laboral, lo cual se transforma en altos costos de mano de obra, así como de heridas y accidentes.
El decremento de productividad y calidad en la fabricación del producto final.
Algunas fallas de colapso, fisuras, humedad, entre otras, por un mal proceso constructivo.
Los tiempos de espera y los costos por desperdicios, que llegan a ser muy altos en la fabricación de vivienda masiva.
Algunas dificultades en el control de calidad de los materiales y resistencias de diseño, debido a la poca supervisión en los procesos de fabricación del hormigón.
Algunos problemas de logística para el suministro, colocación o almacenaje de las piezas.
No obstante lo anterior, los fabricantes de vivienda masiva requieren una metodología concreta, a fin de comparar los beneficios y las desventajas de dicho sistema con otras opciones de techumbre. Por ello se han hecho modelos para colocar otros tipos de techumbres prefabricada, tal como la del sistema L-18 (Sosa et al., 2007), pero se carece de medios para poder compararlos con los del método tradicional, debido a que no se precisan todas las tareas que involucra dicho método y porque no se han medido los tiempos de realización de dichas tareas. Además, no existe una secuencia fija para cada actividad.
Este trabajo se concentra en la creación de un modelo para simular techumbres de viguetas y bovedilla, con los siguientes fines:
Identificar las tareas que dicho proceso necesita para su ejecución.
Determinar las duraciones promedio de cada actividad.
Establecer el tipo de distribución estadística más apropiada para cada tarea.
Elaborar una secuencia cíclica para el modelo.
1. Metodología
En este trabajo se observó directamente el proceso de fabricación de la losa tradicional en campo. Las observaciones tuvieron lugar en un proyecto de construcción de cien viviendas. Las características del proyecto no se presentan en este trabajo, debido a que son parte del acervo de la empresa constructora, pero para cualquier duda al respecto se puede consultar a dicha empresa (Grupo Promotora Residencial). Sin embargo, se tuvo acceso al complejo habitacional para la toma de los datos.
Para lograr hacer el seguimiento del proceso hubo visitas continuas al proyecto de construcción durante semana y media. En ese lapso se grabaron videos y se anotaron datos y observaciones sobre dicho trabajo. Pasado ese tiempo, se identificó una lista de las actividades observadas, duraciones y recursos utilizados.
A continuación se grabaron videos durante las visitas a la obra y se apuntaron en las cédulas diseñadas los tiempos de inicio y terminación de las actividades observadas (Figura 2). Posteriormente, tales tiempos se restaban para obtener un tiempo total en términos de las unidades de media establecidas (Sosa Canto, 2005).
En resumen, la secuencia en general para realizar el muestreo para el método fue la siguiente:
Observación del proceso, con el fin de determinar las operaciones según las actividades realizadas en el sistema de losa.
Elaboración de una cédula de registro de datos, acorde con la variable de estudio, que se genere en cada una de las actividades observables en el funcionamiento operacional dentro del sistema tradicional en obra (Figura 2).
Recopilación y anotación, en la cédula de registro (instrumento de captura), de datos primarios y secundarios y del papel de las actividades en cada proceso.
La unidad de análisis cualitativa para este estudio fue la losa de cubierta para conjuntos habitacionales de interés social; en términos cuantitativos, el metro cuadrado, en el proceso constructivo de la losa en comparación. Las muestras fueron no probabilísticas, porque no hubo un proceso de selección formal y arbitrario de muestras dentro de una población (como en el laboratorio), pero a partir de los datos obtenidos del muestreo se pudieron hacer inferencias sobre la población. Para la medición y la evaluación técnica del proceso constructivo del método se siguió el siguiente procedimiento:
1. A partir de los datos obtenidos de cada actividad involucrada en el proceso constructivo, se determinaron las curvas de distribución estadística que más se ajustaran a la población de duraciones.
2. Se elaboró el modelo de operación del proceso constructivo, que fue la base para crear el modelo de simulación.
3. Se creó el modelo que se iba a simular en función de las características del proyecto de vivienda en la obra.
4. Se elaboró el modelo de simulación utilizando el programa EzStrobe©.
5. Se realizó una prueba piloto de investigación, corriendo el modelo, y se verificaron los resultados con la realidad.
El primer paso del procedimiento metodológico consistió en agrupar todos los datos obtenidos para las diferentes actividades mencionadas y determinar para cada una de ellas su comportamiento estadístico de probabilidad o curvas de distribución de la siguiente manera:
Se capturaron de manera ordenada y agrupada todos los datos obtenidos en el formato de la cédula de registro.
Se verificó el comportamiento real de la población de las actividades para los datos que se tenían, utilizando el paquete estadístico SPSS© v. 10, que permitió visualizar especialmente la dispersión de los datos de las distribuciones.
Se determinaron los siguientes parámetros estadísticos de los datos: valor máximo, mínimo, media, desviación estándar, rango, un intervalo de categorías y un ancho de intervalo o marca de clase.
Con los datos anteriores, se graficó el histograma del comportamiento de los datos, cuyo fin era tener una idea de la curva de distribución del comportamiento de la población de cada actividad en particular (Law y Kelton, 2000).
Se conceptualizaron las distribuciones para las actividades del sistema de losa tradicional.
Se analizó la dispersión de los datos por actividad, evaluando el área bajo la curva del histograma obtenido con los datos. Esta fue comparada con cada una de las áreas de las curvas totales de distribución obtenidas con SPSS©. De dicha comparación se obtuvieron diferencias de medias y desviaciones estándar para cada actividad y se eligió la distribución correspondiente, atendiendo a la menor diferencia en valor absoluto entre los arrojados por cada distribución teórica y los histogramas de datos.
El modelo de operación del proceso constructivo y la creación del modelo que se iba a simular consistieron en elaborar los modelos gráficos de operación para cada proceso identificado en la fabricación de la losa tradicional, lo cual al final forma el modelo completo para simular el sistema constructivo total (Kamat y Martínez, 2005).
La Tabla 1 muestra los elementos que componen la lógica del proceso o actividad estudiada. Cada elemento representa el estado en el cual se encuentran los insumos y las tareas por realizar (Martínez, 2001). Siguiendo la representación mencionada, se codificó el modelo operativo en lenguaje de computadora, y con este se simuló el modelo completo de todo el proceso constructivo para este sistema de losa. En esta etapa se utilizaron los parámetros estadísticos obtenidos de las curvas de distribución poblacional para el proceso constructivo, resultantes del análisis de los datos registrados para cada una de las actividades involucradas dentro del sistema constructivo de la losa tradicional.
El lenguaje de computadora empleado para la simulación y con el cual se transcribieron los modelos operativos fue EzStrobe© v. 10. Posteriormente, se muestran los resultados correspondientes al análisis estadístico de los datos, donde se verifica la equivalencia de los resultados obtenidos del análisis de los datos de campo con las distribuciones de probabilidad obtenidas con SPSS©, contra los obtenidos con el simulador y las distribuciones de probabilidad equivalentes al simulador (Leach et al., 2007). Según lo observado en el campo:
Se considera que el total de cuadrillas de dos personas por casa no llevaría el mismo ritmo de producción hasta la etapa de la colocación del hormigón, por tres factores: la pericia del trabajador, el suministro de materiales y la agrupación de las cuadrillas al momento de colocar el hormigón; por lo que se consideran cinco viviendas listas para el hormigón por día.
El jornal considerado fue de 9 horas efectivas, en promedio. La cantidad de equipo, tanto humano como mecánico, está descrita dentro de las características de los proyectos observados.
La cantidad de obreros disponibles durante cada ejecución de simulación se reduce en un 13%, debido al ausentismo.
Se consideran dentro del modelo de simulación de la losa tradicional tres posibles demoras en el proceso de fabricación: la falta de materia prima, el ausentismo y la falla de la mezcladora de hormigón.
Los modelos simulan el tiempo que se tardaría en fabricar una cantidad de losas simultáneamente en función de los recursos humanos y equipos disponibles a partir de la etapa de nivelación sobre los muros de una vivienda.
2. Resultados
2.1 Descripción de las actividades realizadas
En la observación del proceso constructivo de este sistema de losa se registraron 40 actividades, agrupadas en 5 partidas, con el fin de facilitar el análisis de los datos utilizados en el proceso de simulación (Tabla 2). A continuación se presentan la lista general de actividades observadas y se explica brevemente el contenido de las partidas (Tabla 3).
Las cuarenta actividades mostradas en la Tabla 2 son realizadas por la cuadrilla de trabajo con un mínimo uso de maquinaria. Esto se da sólo cuando se emplea la mezcladora de hormigón.
2.2 Datos y distribuciones de probabilidad estadística
En esta parte se resumen los tipos de distribución poblacional identificados para cada una de las actividades por partida dentro de cada sistema constructivo de losa tradicional, utilizando el programa SPSS©. A continuación se muestran, a modo de ejemplo, los resultados para la actividad de acarreo (Figura 3). Para las demás actividades se sugiere revisar lo dicho por Sosa Canto (2005).
La Tabla 4 resume los análisis estadísticos para todas las partidas, utilizando el programa SPSS©. Se muestran los datos de tiempo resultantes de comparar los datos a la luz de las de diferentes distribuciones. De esta comparación se seleccionaron las que se muestran en la tabla indicada.
Se cotejaron los parámetros obtenidos de manera teórica con los datos reales usando el programa estadístico y se seleccionaron las distribuciones teóricas que más se apegaron a los datos. Los parámetros de cada distribución que se muestran en la Tabla 4 fueron extrapolados usando el paquete estadístico VTFIT© (Cooke, 1993). Con ellos se completaron las diferentes actividades del modelo mostrado en la Tabla 5 y la Figura 4. En la Tabla 5 se muestra el modelo computacional que describe el proceso propuesto, dividido en nueve actividades combinadas.
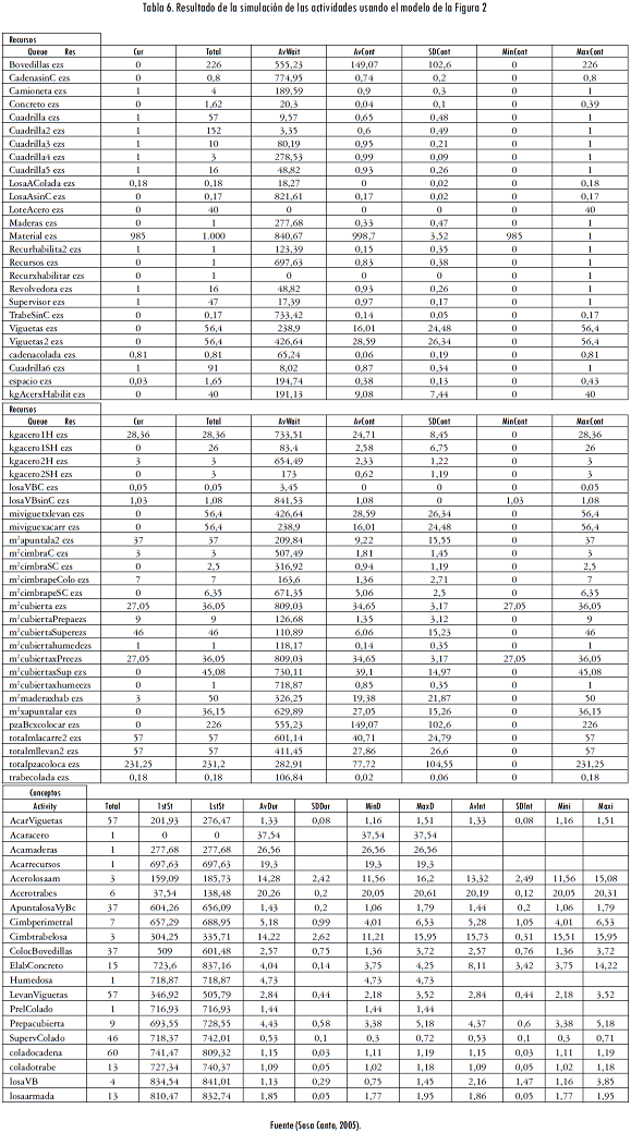
Los resultados del modelo de simulación de la Figura 4 se muestran en la Tabla 6. El tiempo que arroja construir 120 m2 de losa es de aproximadamente 842 minutos, teniendo en cuenta que se fabrican cuatro losas en una sola sesión de catorce horas, que corresponde a una jornada más larga que la asumida, pero común en el trabajo en campo.
3. Discusión
El modelo propuesto puede ser mejorado, pero representa el primer paso para comparar el sistema tradicional con otros, tal como el estudiado por Sosa et al. (2007). El modelo de colocación de cubierta L-18 toma en promedio 299,13 minutos contra 842 minutos del método tradicional, para cubrir un área equivalente a la que se estudia en este trabajo. Sin embargo, el método tradicional es el más empleado en la región, debido a que el costo de la mano de obra es menor para los constructores de vivienda.
Otra ventaja aparente del método tradicional es que requiere menor capacitación que cualquier otro sistema industrializado. Sin embargo, al comparar el modelo presentado en este trabajo con el de Sosa Canto (2005), salta a la vista que se manejan muchas más actividades que en el modelo de losas prefabricadas estudiadas por dicho autor, lo cual incrementa los problemas de logística de las cuadrillas de trabajo. Por otra parte, para poder comparar ambos sistemas, se necesitaría un estudio que presente las mismas condiciones para ambos sistemas, como volumen de obra, modularización de las unidades de vivienda, etc., que son importantes para saber hasta qué punto el sistema tradicional deja de tener sus ventajas aparentes y localizar el punto de equilibrio en volumen de obra (el punto en el que el sistema industrializado comienza a ser rentable).
Con respecto al modelo presentado en este estudio, se puede objetar que tan solo se basa en un ejemplo y que las 40 actividades deberían de ser representadas tal como son en el programa y no agruparlas en partidas. Sin embargo, la dificultad de representar todas y cada una de las actividades aumenta de manera exponencial con la lógica de la secuencia del método. Otro punto débil del método es que se podría hacer un arreglo con una lógica diferente. El modelo para la losa tradicional presentado en este trabajo requeriría ajustes para obras compuestas de dos o más cuadrillas de trabajo, puesto que la logística de los recursos es manejada al arbitrio del jefe de obra. En resumidas cuentas, es preciso profundizar en el estudio de este modelo, con diferentes variables.
4. Conclusiones
El modelo presentado contiene muchas actividades que están sujetas al desempeño de la mano de obra; sin embargo, es el primer paso para poder comparar el desempeño de este sistema en cuestiones de tiempo. También se puede inferir que la metodología empleada en este trabajo puede aplicarse en otros trabajos de simulación. Con esto también se puede decir que se tienen los fundamentos para crear una base de datos de modelos constructivos para la construcción de vivienda económica en forma masiva.
Referencias
COOKE, R. VTFIT, A Routine for Fitting Homogeneous Probability Density Functions [documento en línea]. 1993. VA 24061-0303. [Blacksburg, Virginia]: Department of Agricultural Engineering Virginia Polytechnic Institute Blacksburg, <http://age-web.age.uiuc. edu/faculty/rac/soft.html> [Consulta: 30-04-2008]. [ Links ]
KAMAT, V. R. and MARTÍNEZ, J. C. Dynamic 3D Visualization of Articulated Construction Equipment. Journal of Computing in Civil Engineering, ASCE. 2005, vol. 19, núm. 4, pp. 356-368. [ Links ]
LAW, A. and KELTON, D. Simulation Modeling and Analysis. 3rd ed. Boston: McGraw Hill, 2000. [ Links ]
LEACH, N.; BARRETT, K., and MORGAN, G. SPSS for Intermediate Statistics. Use and Interpretation. 3rd ed. Denver: Lawrence Erlbaum, 2007. 288 p. ISBN 978-0805862676. [ Links ]
MARTÍNEZ, J. C. EZStrobe: General-purpose Simulation System based on Activity Cycle Diagrams. 33nd Conference on Winter Simulation. Arlington, Va., December 9-12, 2001. [ Links ]
Arlington: Inst Elect & Electronic Engineers. ISBN-10: 0-7803-7309-X. [ Links ]
SOSA CANTO, J. A. Evaluación técnico-económica entre dos tipos de losa mediante un proceso de simulación [tesis de Maestría]. Mérida: Universidad Autónoma de Yucatán, 2005. [ Links ]
SOSA CANTO, J. A.; BAEZA PEREYRA, J. R., y ARCUDIA ABAD, C. E. Modelo para simulación computarizado del proceso constructivo de la losa prefabricada L-18. Ingeniería y Universidad. 2007, vol. 11, núm. 1, pp. 71-87. [ Links ]
TUN T., J. F. Fallas estructurales típicas de la región yucateca [monografía]. Mérida: Universidad Autónoma de Yucatán, 1996. [ Links ]






















