Services on Demand
Journal
Article
Indicators
-
Cited by SciELO -
Access statistics
Related links
-
Cited by Google -
Similars in
SciELO -
Similars in Google
Share
Ingeniería y Universidad
Print version ISSN 0123-2126
Ing. Univ. vol.15 no.2 Bogotá July/Dec. 2011
Uso de algoritmos metaheurísticos híbridos para la minimización de entropía en problemas de transferencia de calor en circuitos electrónicos1
Hybrid Meta-Heuristic Algorithms for Minimizing Entropy in Heat Transfer Problems that May Be Present in Electronic Circuits2
Uso de algoritmos meta-heurísticos híbridos para a minimização de entropia em problemas de transferência de calor em circuitos eletrônicos3
Rodrigo Correa-Cely4
Iván Amaya-Contreras5
Andrés Araque-Herrera6
1Este artículo se deriva de un proyecto de investigación denominado Uso de algoritmos metaheurísticos híbridos combinados con la minimización de entropía en problemas de trasferencia de calor en circuitos electrónicos, con número de registro 3863-e3t, desarrollado por el grupo de investigación en Control, Electrónica, Modelado y Simulación (CEMOS) y financiado por la Universidad Industrial de Santander, Bucaramanga, Colombia.
2Submitted on: December 9, 2010. Accepted on: March 18, 2011. This article results from the research project Usage of Metaheuristic Hybrid Algorithms Combined with the Entropy Minimization in Heat Transfer Problems in Electronic Circuits, (ID Number 3863-e3t) developed by the research group CEMOS and financed by the Universidad Industrial de Santander, Bucaramanga, Colombia.
3Data de recepção: 9 de dezembro de 2010. Data de aceitação: 18 de março de 2011. Este artigo se deriva de um projeto de pesquisa denominado Uso de algoritmos meta-heurísticos híbridos combinados com a minimização de entropia em problemas de transferência de calor em circuitos eletrônicos, com número de registro 3863-e3t, desenvolvido pelo grupo de pesquisa em Controle, Eletrônica, Modelado e Simulação (CEMOS) e financiado pela Universidade Industrial de Santander, Bucaramanga, Colômbia.
4Ingeniero químico, Universidad Nacional de Colombia, Bogotá, Colombia. Magíster en Ingeniería Química, Universidad Industrial de Santander, Bucaramanga, Colombia. Magíster en Ingeniería Química, Lehigh University, Estados Unidos. PhD in Polymer Science and Engineering, Lehigh University. Profesor titular, Universidad Industrial de Santander. Correo electrónico: crcorrea@uis.edu.co.
5Ingeniero mecatrónico, Universidad Autónoma de Bucaramanga, Bucaramanga, Colombia. Cursa el Doctorado en Ingeniería Electrónica, Universidad Industrial de Santander, Bucaramanga, Colombia. Correo electrónico: iamaya2@gmail.com.
6Ingeniero electrónico, Universidad Industrial de Santander, Bucaramanga, Colombia. Correo electrónico: andres_araqueh@ hotmail.com.
Fecha de recepción: 9 de diciembre de 2010. Fecha de aceptación: 18 de marzo de 2011.
Resumen
Este artículo presenta el desarrollo y la aplicación de un algoritmo meta-heurístico híbrido, enjambre de partículas + simplex (PSO + SX), para evaluar su comportamiento en la solución de problemas de transferencia de calor en circuitos electrónicos. Se utilizó el criterio de mínima generación de entropía en la obtención de la función objetivo, requerido para el diseño óptimo del dispositivo de enfriamiento. En el contraste de su validez, se utilizaron resultados tomados de la literatura reciente, obtenidos mediante técnicas de optimización determinísticas. Se lograron reproducir los resultados con menor costo computacional (derivado de una programación más sencilla), lo que permite al diseñador concentrarse más en el problema térmico que en la estrategia de solución numérica. El método propuesto es más ventajoso que el método de los multiplicadores de Lagrange, por cuanto no requiere condiciones iniciales cercanas a la solución óptima para asegurar convergencia y precisión, lo que facilita su aplicación a problemas de la vida real.
Palabras clave: Algoritmos metaheurísticos transmisión del calor, circuitos electrónicos.
Abstract
This article presents both the development and the application of a hybrid meta-heuristic algorithm, Particle Swarm Optimization + Simplex (PSO+SX), and seeks to evaluate its performance in the solution of heat transfer problems shown by electronic circuits. More specifically, the minimum entropy generation criterion for the design of micro-channels was used. In order to check the validity of the algorithm, this work used data from recent literature, where deterministic algorithms were implemented. It was possible to reproduce the results with a lowered computational cost (through simpler programming,) which allows the designer to focus on the heat problem instead of the numerical solution. The proposed method is better than Lagrange multipliers since it does not require starting conditions near the global minima to ensure convergence and precision, thus making it a feasible technique for real-life problems.
Key words: Metaheuristic algorithm, heat-transmission, electronic circuits.
Resumo
Este artigo apresenta o desenvolvimento e a aplicação de um algoritmo meta-heurístico híbrido, enxame de partículas + simplex (PSO + SX), para avaliar seu comportamento na solução de problemas de transferência de calor em circuitos eletrônicos. Foi utilizado o critério de mínima geração de entropia na obtenção da função objetivo, requerido para o desenho ótimo do dispositivo de resfriamento. No contraste de sua validade utilizaram-se resultados tomados da literatura recente, obtidos mediante técnicas de otimização determinísticas. Conseguiram-se reproduzir os resultados com menor custo computacional (derivado de uma programação mais simples), o que permite ao designer concentrar-se mais no problema térmico que na estratégia de solução numérica. O método proposto é mais vantajoso que o método dos multiplicadores de Lagrange, já que não requer condições iniciais próximas à solução ótima para garantir convergência e precisão, o que facilita sua aplicação a problemas da vida real.
Palavras chave: Algoritmos meta-heurísticos transmissão do calor, circuitos eletrônicos.
Introducción
En la actualidad, los circuitos electrónicos han tomado gran importancia en la industria, por lo que su comportamiento debe ser tan eficaz como sea posible. Por lo tanto, la transferencia de calor entre componentes se ha tornado relevante, ya que este fenómeno puede acarrear graves problemas de funcionamiento para cada uno de ellos y para el proceso como un todo. Así es como el objetivo de este estudio se centra en la interacción térmica entre dispositivos que manejan corriente eléctrica en un circuito. El desarrollo de algoritmos heurísticos ha proporcionado a la ingeniería soluciones prácticas para la optimización de problemas en los cuales no se tiene un patrón de comportamiento común de las variables involucradas.
Por ende, se busca evaluar el potencial de aplicación que tiene el algoritmo híbrido (PSO + SX) para optimizar las variables de diseño de un sistema de enfriamiento con microcanales. El trabajo desarrollado por Tuckerman y Pease (1981) planteó un sistema de enfriamiento que sigue siendo muy aplicado en la electrónica: el uso de microcanales de disipación. Estos tienen como fortaleza la relación que se presenta entre el tipo y la viscosidad del fluido refrigerante, la velocidad con que se inyecta este al microcanal y sus dimensiones. Años más tarde, Culham y Muzychka (2001) optimizaron la transferencia de calor en tales dispositivos, inyectando aire como fluido refrigerante para retirar el calor generado por el dispositivo electrónico, y así lograron reducir la generación de entropía.
Los autores realizaron varios estudios con el objetivo de minimizar las relaciones entre algunos parámetros del disipador, como el número de aletas (N), la velocidad del fluido refrigerante (Vf), el espaciamiento entre las aletas del disipador (t) y la altura total de este (H). Utilizaron como estrategia numérica los multiplicadores de Lagrange y, así, obtuvieron resultados que, al ser aplicados en el diseño de los disipadores, reducían el sobrecalentamiento. El presente artículo compara los resultados de este método y los resultados obtenidos con el método heurístico híbrido (PSO + SX) desarrollado para la misma función objetivo.
1. Fundamentos
Algunos trabajos plantean un método de enfriamiento de circuitos electrónicos con refrigerantes que, por convección, disipan calor y mantienen una temperatura de funcionamiento estable (Tuckerman y Pease, 1981; Culham y Muzychka, 2001; Khan, Culham y Yovanovich, 2009). Un primer trabajo, realizado en 1981, sobre los sistemas de enfriamiento mediante microcanales (Tuckerman y Pease, 1981), propuso relaciones claras entre la viscosidad del fluido, el ancho mínimo del microcanal, la resistencia térmica, el tipo de material, la cantidad de calor que se requiere disipar y las dimensiones del instrumento.
Optimizar estas variables se convierte en una de las tareas fundamentales de la ingeniería electrónica, para lograr que el comportamiento del sistema sea el esperado y el más eficiente, tanto en la etapa del diseño como durante su vida útil. De esta manera aparecen los algoritmos metaheurísticos (y más adelante los metaheurísticos híbridos) como herramienta de solución que pueda utilizarse en la optimización de factores que influyen directamente en el problema de la transferencia de calor en circuitos, los cuales se implementan con el fin de encontrar soluciones a preguntas que no tienen una respuesta analítica fácilmente determinable. Los algoritmos metaheurísticos de optimización se postularon basados en el comportamiento de las especies animales, que buscan repetitivamente la evolución y el mejoramiento de la población en general, mediante la imitación del patrón de comportamiento del individuo que más evolucione o que esté más acorde con las necesidades específicas de todos.
Inicialmente, varias experiencias dieron como resultado algoritmos genéticos específicos, como se puede ver en Coello (1995). Ejemplo de ello es el algoritmo optimización por colonias de hormigas (ACO, por su sigla en inglés), que define cómo las hormigas realizan una búsqueda óptima de recorridos que deben realizar (Alonso et ál., 2004). De la misma manera se conoce también el algoritmo optimización por infestación de cucarachas (RIO, por su sigla en inglés), basado en el comportamiento de las cucarachas en su búsqueda de alimento y de rincones oscuros para ocultarse (Havens et ál., 2008). Optimización por enjambre de partículas (PSO) se utiliza para resolver problemas donde se relacionen mutuamente y de forma aleatoria diferentes variables (llamadas partículas en el lenguaje PSO) y donde de todas ellas dependa el comportamiento global del sistema (llamado población).
Este algoritmo presenta una metodología de búsqueda que optimiza la posición de cierta variable (partícula) en un espacio multidimensional dentro de una población, haciéndole comparar su posición con la de las otras partículas de su vecindario para definir el mejor comportamiento global. Teniendo este resultado, se aplica de manera iterativa hasta que todas las partículas converjan en punto común llamado punto óptimo y el sistema en general se comporte de la manera deseada. Se definen los elementos que componen el sistema como individuos que interactúan con los demás y de los cuales depende el comportamiento de cada uno de los otros, por una influencia positiva o negativa en la búsqueda de la mejor solución global.
El algoritmo simplex o Nelder Mead es otro método de optimización basado en un fundamento geométrico que forma un poliedro de (N + 1) vértices en los que se evalúa la función objetivo, cambiando el vértice de la peor solución por otro con mejores probabilidades de respuesta óptima. Este método ya está inmerso en herramientas matemáticas computacionales de simulación, lo que facilitó el contraste en esta investigación. De ellos surgió el híbrido usado en este estudio (PSO + SX). La nomenclatura usada en el artículo aparece en la Tabla 1.
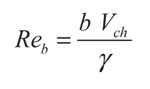
Las ecuaciones que permiten modelar el microcanal se muestran a continuación (Culham y Muzychka, 2001; Khan, Culham y Yovanovich, 2009). Se inicia con la ecuación general, que describe la rata de generación de entropía para los modelos de disipadores de calor, ecuación (1), donde se resalta la influencia de la resistencia del material disipador, la temperatura absoluta del ambiente, la velocidad del fluido refrigerante, la fuerza de arrastre del fluido y la cantidad de calor que se desea disipar.
(1)
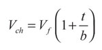
Un factor que entrará a ser base de pruebas y discusiones posteriores es la diferencia de temperatura en la base del disipador de calor, descrito como:
(2)
Para (1) y (2) un parámetro común de influencia es la resistencia del disipador de calor que se define como:
(3)
En esta variable aparecen involucrados el coeficiente de transferencia de calor, el espesor de la base de contacto y las dimensiones del disipador. También el espaciamiento entre las aletas ( que depende del ancho total del disipador, el ancho de cada aleta y la cantidad de estas. Tal relación se muestra en la ecuación (4).
(4)
La resistencia térmica de cada aleta (Rfin) se define a partir de:
(5)
Donde:
(6)
En las ecuaciones (5) y (6) intervienen directamente factores longitudinales de las aletas como el perímetro y el área de sección transversal, definidos sobre cada una por las ecuaciones (7) y (8). De igual forma, también se ven afectados por la conductividad térmica del material y el coeficiente de transferencia de calor.
(7)
(8)
Para concluir el análisis y desarrollo de este grupo de factores, se define el coeficiente de transferencia de calor entre los cuerpos que intervienen (aletas y fluido refrigerante), para el cual se sigue el modelo desarrollado por Teertstra et ál. (1999), ecuación (9):
(9)
(10)
El factor mostrado en (10) está influenciado por el número de Prandtl y el valor de Reynolds modificado, características dadas por el fluido refrigerante (aire para el presente caso) y donde intervienen también la velocidad en el canal y la viscosidad cinemática; relaciones e influencias que quedan demostradas en las ecuaciones (11) a (13).
(11)
(12)
(13)
Aparte de la resistencia del disipador (R sink), la rata de generación de entropía está también definida por la fuerza de arrastre del fluido (Fd) como se evidenció en la ecuación (1). Este factor se basa en las características dimensionales del disipador, la densidad y la fricción aparente. Este modelo fue propuesto por (Culham y Muzychka, 2001) y se puede apreciar en la ecuación (14).
(14)
Los coeficientes de pérdida, tanto de contracción como de expansión, están influenciados por el área de flujo que, por definiciones de la mecánica de fluidos, están dados por las relaciones (15) a (17).
(15)
(16)
(17)
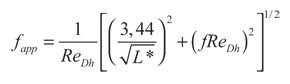
La fricción aparente se describe como una relación del número de Reynolds, la fricción y la longitud que recorre el fluido en contacto, que se evidencia en las ecuaciones (18) a (21).
(18)
(19)
(20)
(21)
En varios trabajos de investigación se propusieron algoritmos un poco más completos, que abarcan el uso de dos o más de las metodologías de optimización nombradas al principio de esta sección, llamados algoritmos metaheurísticos híbridos. Estos plantean simplemente tomar la solución óptima de uno de los algoritmos para definirla como condición inicial del siguiente, reduciendo el riesgo de divergencia y el número de iteraciones que conllevaría la obtención de la respuesta. En la siguiente sección se evidencia la manera en que las relaciones (1) a (21) se incluyen en el algoritmo desarrollado (PSO + SX).
2. Desarrollo del algoritmo computacional base: entrenamiento y validación
La programación del algoritmo PSO se realizó de acuerdo con la ecuación (22). Para ello se crearon los vectores posición (xi) y velocidad (vi ). Se estableció también el valor de los parámetros principales del algoritmo -con base en longitud de vectores (lx), número de partículas del sistema (np), mejor posición global (g), función objetivo que se va a estudiar (target), constantes ω y φ y número de iteraciones (it)-, donde ω es constante con valor entre cero y uno (para el estudio definido como 0,5), φ representa sin distinción a C1 y C2 con valor 2 (Havens et ál., 2008; Osma y Villarreal, 2009). Los vectores R1 y R2 corresponden a datos aleatorios entre cero y uno, en cada una de las iteraciones.
(22)
En la segunda parte del programa, se inician los vectores posición (xi) y velocidad (vi) de todas las i-ésimas partículas haciendo un ciclo que los defina de forma aleatoria. Además, se define la mejor posición de cada una de las partículas igualando dicho factor al mismo valor aleatorio que se le acaba de dar a la posición. De este modo se establece el primer valor con el que se realimentará el sistema para seguir operando. Así es como se van hallando, evaluando y realimentando al algoritmo los valores de la posición y la velocidad tanto de cada partícula como del global de la población en cada iteración. Sus posiciones se modificadan en cada iteración, siguiendo el comportamiento de la ecuación (23).
(23)
El proceso definido se repite tantas veces como se halla definido en el número de las iteraciones, o hasta que el enjambre haya definido que la posición donde se encuentra es la más favorable para todos. En esta investigación se definió un criterio de parada al que se llamó tolerancia del sistema, el cual se estableció como 1X 10-6 (aplicado a la diferencia de dos iteraciones sucesivas). Así, cuando la diferencia en valor absoluto en los resultados es inferior a este parámetro, se asume que dicho resultado es el óptimo. Para concluir esta definición, se encontró que se puede reproducir este sencillo análisis tantas veces como dimensiones (variables) sea necesario optimizar, es decir, que se realiza el mismo método de análisis descrito hasta el momento, definiendo en vez de vectores lineales a matrices de valores. En este estudio se propone tomar la solución que arroja el análisis PSO mostrado e incluirla como dato de entrada (ya no de forma aleatoria como en el PSO, sino como una primera aproximación al valor óptimo final) al algoritmo del método de optimimización de Nelder Mead (símplex) (Osma y Villarreal, 2009).
De esta manera se asegura que el método símplex converja rápidamente y tenga un valor muy preciso de respuesta. Así queda definido el algoritmo metaheurístico híbrido base para poder continuar en el desarrollo del estudio. A efectos de validar la propuesta se hicieron comparaciones con funciones con óptimos conocidos. Para una dimensión se tomaron como referencia funciones sencillas y se halló el mínimo de cada una de ellas por medio de la primera derivada y por medio del algoritmo desarrollado. Se tomó la ecuación f (x) = 2x2 - 4x -8, con mínimo xmin = 1 y f (xmin ) = - 10. Aplicando esta función al híbrido desarrollado, se obtuvo xmin = 0,9999 y f(xmin ) = -9,9999.
En la segunda prueba se trabajó con la función f (y) = y2 - 8y + 1, que al optimizarse con el algoritmo de este artículo entregó ymin= 4,0000 y f (y min) = -14,9999, comparable con el valor analítico ymin = 4 y f (ymin ) = - 15, y con menor costo computacional. Con estas pruebas se puede definir que la convergencia del algoritmo es muy acertada para la primera aproximación.
Seguido a esto, se probó el algoritmo con funciones de más de una variable con valores óptimos conocidos. La primera de ellas fue f ( x, y) = x2 - 2x +y2/4 que describe un paraboloide hiperbólico con valores óptimos xmin = 1, ymin = 0 y f (x,y) = -1. Al aplicar el método de optimización planteado, se obtuvo xmin = 0,9999, ymin = -1,9435x10-5 y f (x,y) = -0,9999, hallados en 45 iteraciones. Se plantean también las funciones de Rosenbrock f (x,y) = 100 (y - x2)2 + (1 - x)2 y de Rastrigin f (x,y) = 20 + x2 + y2 - 10[cos(2Πx) + cos(2Πy)], con valores óptimos xmin = 1, ymin = 1 y f (x,y) = 0 para la primera y xmin = 0, y = 0 ymin f (x,y) = 0 para la segunda.
Al hacer la aproximación de los valores por medio del algoritmo metaheurístico híbrido (PSO + SX) se obtiene para la función Rosenbrock xmin = 0,9999, ymin = 0,9999 y f (x,y) = 9,7168x10-10, valores hallados en 104 iteraciones. En la Figura 1 se presenta la gráfica generada por el programa donde las partículas buscan agruparse y estar todas juntas en el punto de valor óptimo.
Para la función Rastrigin se encontró xmin = 4,3987x10 6, ymin = -8,6260x10-6 y f (x,y) = 1,8600x10-8, valores hallados en 70 iteraciones. En la Figura 2 se presenta el diagrama de las partículas durante la prueba realizada buscando el punto óptimo.
Este proceso se realizó con la intención de corroborar la similitud en las respuestas que brinda el algoritmo que se programó y los valores óptimos conocidos.
3. Experimentos
3.1 Descripción del algoritmo aplicado a la minimización de generación de entropía
Teniendo como base el algoritmo desarrollado, se incluyó el grupo de relaciones de los factores (1) a (21) en este y se definieron las variables de diseño (parámetros) que se van a optimizar y las constantes del método numérico. Se hicieron algunas corridas donde se evaluaron las características que deberían tener los parámetros, para acotar la divergencia del método. Con ello se definieron qué valores de constantes menores que cero eran imposibles, así como el número máximo de aletas y su espesor. También se restringen los datos ingresados por el usuario al dominio de los números reales.
Para facilitar más la interacción, se programó una interfaz gráfica en la cual el usuario tiene la posibilidad de cambiar valores del disipador como dimensiones, características físicas (de las aletas o del fluido), características térmicas del medio, entre los demás factores resumidos en la Tabla 2. Se presentan, además, en esta interfaz la cantidad de partículas que intervendrán en la optimización, el número de iteraciones que se van a realizar y el valor de tolerancia (exactitud y precisión) que se desea aplicar al algoritmo, así como la cantidad de parámetros que desea incluir en la optimización.
Además, a fin de validar la programación se utilizaron los resultados obtenidos en (Culham y Muzychka, 2001). En dicho estudio proponen cuatro variables de optimización fundamentales e influyentes en el comportamiento del disipador: el número de aletas (N), la velocidad del fluido refrigerante (Vf), la altura de la aleta (H) y el espesor de cada una de ellas (t). Estas variables se combinan en cinco pruebas diferentes para obtener una cantidad de soluciones distintas en cada modo de optimización.
3.2 Desarrollo de las pruebas
En cada una de las pruebas se calcularon parámetros importantes para el comportamiento del disipador en general, los cuales se visualizan en la interfaz gráfica. Dichos parámetros son: el valor de la función de generación de entropía (resultado de aplicar los valores óptimos), el número de aletas (optimizado), la velocidad del fluido refrigerante (definido u optimizado, según sea el caso de prueba), la altura del disipador (definido u optimizado), el espesor de cada aleta (definido u optimizado), la diferencia de temperatura en el disipador (calculado), el número de Reynolds (calculado), el número de iteraciones que usó el algoritmo para llegar a dicha solución y el tiempo empleado para tal fin. La Tabla 2 muestra algunos valores de los parámetros de transferencia de calor, de las dimensiones específicas del disipador y de las características térmicas, entre otros.
Para la primera prueba se desea optimizar solo el número de aletas presentes en el disipador (N). Por tanto, Vf, H y t toman los valores definidos en la Tabla 2. Los resultados de esta prueba, obtenidos tanto por (Culham, 2001) como por el método presentado en este artículo se incluyen en la Tabla 3.
En la Figura 3 se muestra el comportamiento de la rata de generación de entropía en función del número de aletas. Se puede evidenciar que para el rango de 20 a 35 aletas, la función no posee cambios drásticos (es prácticamente horizontal), lo que dificulta la optimización por métodos tradicionales.
En la Tabla 3 y la Figura 3 se observa cómo para los dos desarrollos se tiene un número de aletas óptimo de 29. Haciendo un análisis del comportamiento de las ecuaciones presentadas en la sección 1 y de estos resultados, es evidente que un decremento en el número de aletas incrementa la resistencia del disipador (Rsink), y por tanto en el valor de la diferencia de temperatura (θb ), reflejado en un incremento de la rata de generación de entropía. Recíprocamente, si se incrementa el número de aletas, se reduce el valor de la resistencia térmica del disipador y de la diferencia de temperatura.
Unido a esto aumentan las pérdidas de calor asociadas al valor de la fuerza de arrastre, que incrementa la rata de generación de entropía. Así es como se definió que el número de aletas no debe ser menor a 20 ni mayor a 35. Para la segunda prueba se optimiza el número de aletas del disipador (N), al igual que en la prueba anterior, y la velocidad del fluido (Vf). Las otras dos variables (H y t) continúan con los valores dados en la Tabla 2.
Los resultados obtenidos en (Culham y Muzychka, 2001) para la segunda prueba, así como los alcanzados con el algoritmo híbrido, también se encuentran resumidos en la Tabla 3. Para este caso se obtiene que el número de aletas óptimo es 27 (dos menos que en el caso anterior) y que el valor de la velocidad del fluido es mayor que el definido inicialmente. Como se describió, una reducción en el número de aletas hace que el valor de la resistencia del disipador, la diferencia de calor y la generación de entropía aumenten; pero acrecentar el valor de la velocidad del fluido hace que se incrementen simultáneamente las pérdidas de calor. Por lo tanto, al realizar la optimización de estas dos variables se compensa el aumento de una con la reducción de la otra, entregando una menor rata de generación de entropía. En la tercera prueba intervienen tres variables de diseño: el número de aletas, la velocidad del fluido y dos opciones distintas, la altura del disipador (H) o el espesor de cada una de las aletas (t). Son, por lo tanto, dos pruebas diferentes, con resultados distintos para cada una de ellas, como se registra en la Tabla 4.
Como se observa, los resultados obtenidos mediante la optimización utilizando el algoritmo híbrido coinciden aceptablemente con los reportados en literatura, que usa un método más laborioso, que requiere conocer la derivada parcial de la función objetivo respecto no solo a los parámetros de diseño, sino a los multiplicadores de Lagrange, sumado con la posterior solución mediante el método de Newton-Raphson multidimensional del sistema de ecuaciones no lineales resultante. Para el caso de la segunda prueba, en la se optimiza el ancho de cada una de las aletas, se obtiene un mayor número que el reportado en la literatura.
En los resultados dados en (Culham y Muzychka, 2001), el número de las aletas supera el rango que se definió al principio de esta sección, pero el comportamiento sigue siendo aceptable. El algoritmo PSO + SX reporta un número de aletas de 35, donde se evidencia que este parámetro influye drásticamente en el ancho de cada una, pasando de 1 mm a prácticamente un tercio de dicho valor. Por lo tanto, hay que verificar las restricciones de tamaño impuestas por la aplicación específica para verificar que los valores óptimos sean acordes. Finalmente, la prueba más compleja involucra las cuatro variables de diseño que se desean optimizar. Los resultados de la prueba descrita se presentan en la Tabla 3. En este caso se observa, al igual que en el anterior, un impacto sobre la altura del disipador. El número de aletas difiere del reportado en (Culham y Muzychka, 2001), pero en general presentan un valor muy cercano para los otros parámetros de diseño que se optimizaron.
4. Conclusiones
El método metaheurístico híbrido que se planteó, PSO + símplex (de arquitectura secuencial), tiene un comportamiento eficiente para las funciones de Rosenbrock y Rastrigin de dos dimensiones, como lo evidencian los resultados mostrados al final de la sección 3.
Por otro lado, el valor de la función de entropía para el caso en que se presentan números de aletas menores de 20 y mayores de 35 tiene un comportamiento exponencial creciente, debido a su marcada dependencia con este parámetro. Se evidencia cómo al incluir nuevos factores en el proceso de optimización en la generación de entropía hace que el análisis del comportamiento de la función objetivo se vuelva más complejo, debido a la interdependencia física entre los componentes de la función de generación. Al optimizar los parámetros fundamentales de los disipadores de calor tipo microcanales con el método de optimización propuesto (PSO + símplex), se encuentra una gran similitud con los resultados obtenidos con el método de multiplicadores de Lagrange, pero con una considerable reducción en el costo computacional requerido y sencillez del procedimiento.
Referencias
ALONSO, S.; CORDÓN, O.; FERNÁNDEZ, I. y HERRERA, F. La metaheurística de optimización basada en colonias de hormigas: modelos y nuevos enfoques. En Optimización inteligente: técnicas de inteligencia computacional para optimización. Málaga: Universidad de Málaga, 2004, pp. 261-314. [ Links ]
COELLO, C. A. Introducción a los algoritmos genéticos. Soluciones Avanzadas, Tecnologías de Información y Estrategias de Negocios. 1995, vol. 3, núm. 17, pp. 5-11. [ Links ]
CULHAM, J. R. y MUZYCHKA, Y S. Optimization of plate fin heat sinks using entropy generation minimization. IEEE Transactions on Components and Packaging Technologies. 2001, vol. 24, núm. 2, pp. 159-165. [ Links ]
HAVENS, T. C.; SPAIN, C. J.; SALMON, N. G. y KELLER, J. M. Roach infestation optimization. IEEE Swarm Intelligence Symposium. 2008, pp. 1-7. [ Links ]
KHAN, W A.; CULHAM, J. R. y YOVANOVICH, M. M. Optimization of microchannel heat sinks using entropy generation minimization method. IEEE Transactions on Components and Packaging Technologies. 2009, vol. 32, num. 2, pp. 243-250. [ Links ]
OSMA, J. A. y VILLARREAL, M. J. Comparación del desempeño del algoritmo de optimización PSOSX (PE) frente al PSOSX(S). Bucaramanga: Escuela de Ingenierías Eléctrica, Electrónica y Telecomunicaciones, Universidad Industrial de Santander, 2009. [ Links ]
TEERTSTRA, P M.; YOVANOVICH, M. M.; CULHAM, J. R. y LEMEZYK, T. F. Analytical forced convection modeling of plate fin heat sinks. Documento procedente del 15th Annul IEEE Semiconductor Thermal Measurement and Management Symposium, San Diego, CA, 1999, pp. 34-41. [ Links ]
TUCKERMAN, D. B. y PEASE, R. F. High-performance heat sinking for VLSI. IEEE Electron Device Letters. 1981, vol. 2, núm. 5, pp. 126-129. [ Links ]











































