1. Introducción
En la actualidad uno de los desafíos que enfrenta la comunidad científica está enfocado en la síntesis y fabricación de nuevos materiales para abordar la crisis energética y ambiental que permita avanzar hacia el desarrollo de una sociedad sostenible. Por tanto, estos materiales deben ser amigables con el medio ambiente, tanto en su proceso de fabricación, así como durante su vida útil y al final de esta; así mismo, deben ser de bajo costo, abundantes en la naturaleza y fáciles de producir; es decir, que no requieran estándares tecnológicos altos. En este contexto, los semiconductores de óxidos de cobre nanoestructurados (CuxO) son excepcionalmente versátiles y ofrecen características únicas en muchas aplicaciones 1, con la llegada de la nanotecnología, el CuxO ha demostrado un gran impacto en numerosos campos de investigación incluida la óptica, sensores, tribología, superconductores, electroquímica y electrónica 2-6.
Las fases cristalinas más comunes de CuxO son: (a) el CuO, también conocido como óxido de cobre (II) u óxido cúprico, componente principal del mineral Tenorita, tiene una estructura cristalina monoclínica y es un semiconductor indirecto tipo p, con un intervalo de banda prohibida de 1.3-2.1 eV 7-9, y (b) el Cu2O también denominado como óxido de cobre (I) u óxido cuproso, componente principal del mineral conocido como Cuprita, presenta una estructura cristalina cúbica y es un semiconductor directo de tipo p en la mayoría de los casos, con una banda prohibida de 2.1-2.6 eV 10-12. El CuO se ha utilizado como catalizador heterogéneo, en sensores de gas, superconductores, interruptores ópticos, como electrodo en baterías de iones de litio y emisores de campo, mientras que el Cu2O ha sido empleado en celdas solares, fotocatálisis, dispositivos electrónicos y de almacenamiento magnético 13-16.
Las propiedades eléctricas y ópticas de estos óxidos semiconductores dependen en gran medida de su composición, estructura cristalina y morfología y están directamente relacionados con las condiciones de fabricación. Existen diferentes métodos para fabricar nanoestructuras de CuxOy, por ejemplo, depósito en fase líquida y vapor, depósito por láser pulsado 17, sol-gel 18, depósito electroquímico 19, pulverización química-física en fase de vapor 20,21, entre otros, en los que se pueden obtener una variedad de nanomorfologías 1. Para nuestra investigación, hemos seleccionado el método de oxidación térmica, el cual consiste en aplicar un tratamiento térmico a las películas de Cu depositadas por evaporización térmica, para transformarlas en óxidos de cobre. Este método se caracteriza por ser de bajo costo, a la vez de ser sencillo y versátil desde el punto de vista de los procesos de fabricación. Aunque termodinámicamente todos los metales tienen una tendencia natural a oxidarse, la implementación del método de oxidación térmica permite controlar el crecimiento y la morfología superficial del material, dando lugar a la formación de nanoestructuras de diversas estructuras cristalinas y factores de forma que, a su vez, modulan las propiedades ópticas, electrónicas y magnéticas del material 1,22.
En este trabajo se propone un método de fabricación de nanoestructuras semiconductoras de óxido de cobre implementando una metodología con estándares tecnológicos asequibles, aplicando tratamientos térmicos en atmosfera de aire con temperaturas máximas de 400 °C y usando como material semilla, películas delgadas de cobre fabricadas por evaporación térmica. Las modificaciones en los tratamientos térmicos implementados permitirán dilucidar los efectos sobre las propiedades morfológicas, estructurales y vibracionales de las nanoestructuras que conlleven a mejorar las capacidades de absorción óptica para un potencial uso en celdas fotovoltaicas. Las propiedades morfológicas, estructurales, vibracionales y ópticas son estudiadas mediante las técnicas de microscopía electrónica de barrido, difracción de rayos X, espectroscopia RAMAN y espectros de UV-Vis, respectivamente.
2. Metodología
En primera instancia se depositaron películas delgadas de cobre sobre sustratos de silicio, utilizando la técnica de evaporación térmica asistida por vacío. Los sustratos se limpiaron por ultrasonido con acetona e isopropanol durante 10 min, para posteriormente ser secados a temperatura ambiente previo a su incorporación en la cámara de evaporación. Todas las muestras se depositaron simultáneamente a partir de láminas de cobre con una pureza de 99.97% (300 mg), manteniendo una presión de 6×10-4 mbar y una intensidad de corriente de 150 A, obteniéndose un espesor promedio de 388 ± 7 nm. Para evitar la delaminación de las películas debido a cambios de presión y temperatura, estas fueron dejadas en el evaporador durante 48 horas. Seguidamente las películas de cobre fueron oxidadas térmicamente en atmósfera de aire, compuesta por una mezcla de gases (nitrógeno 78%, oxígeno 21% y otros gases 1 %), utilizando un horno tubular MTI GSL 1500X con un control de temperatura de ± 5 °C y un tubo de alúmina de alta pureza (99.8%), con diámetro interior de 4.2 cm y una longitud de 70 cm; las muestras fueron ubicadas en la parte central del tubo de alúmina, en donde se obtiene mayor homogeneidad y precisión de temperatura (± 1 °C), de acuerdo a las recomendaciones del fabricante.
Con el objetivo de reducir los costos de fabricación, los tratamientos térmicos se realizaron a una temperatura máxima de recocido de 400 °C y con tiempos máximos de 30 min 23,24 siguiendo diferentes esquemas. Los esquemas y las nomenclaturas usadas en este trabajo son: STT-A: película de Cu sin tratamiento térmico; TT-B: Muestras sometidas a una rampa de calentamiento desde 25°C hasta 400°C, empleando una velocidad de calentamiento de 5°C/min y con un tiempo de recocido de 15 min: TT-C: muestras sin rampa, introducidas al horno a 400 °C desde temperatura ambiente, tiempo de recocido de 15 min.; TT-D: Muestras sometidas a la misma temperatura que las muestras TT-C pero con un tiempo de recocido de 30 min. Para efectos de evaluar la reproducibilidad de los resultados de la investigación, se fabricaron 3 muestras iguales por cada tratamiento térmico implementado. Así mismo, es importante mencionar que los resultados de las mediciones reportados en este manuscrito corresponden a resultados representativos de cada set de muestras, consolidados después de un tratamiento comparativo y estadístico de las mediciones realizadas.
2.1. Caracterización de las muestras
Los parámetros estructurales y fases presentes en las muestras fueron estudiadas mediante difracción de rayos X (DRX) usando en un difractómetro marca PANalytical Empyrean, con radiación Cu Kα (λ=0.154 nm), en configuración de incidencia rasante a 2.5°, con un potencial de aceleración de 45 kV y 40 mA, registrando patrones de difracción con rango 2θ desde 30° hasta 65° con un paso de 0.03° a una velocidad de 30.5 s por paso. La morfología superficial de las muestras fue analizada mediante microscopia electrónica de barrido (MEB), utilizando un microscopio marca FEI Helios 600i Nanolab dotado de un cañón de electrones por emisión de campo el cual posee un modo de alta resolución, se tomaron micrografías MEB a diferentes magnificaciones: 80kX y 120kX haciendo uso del detector de electrones retrodispersados, y se seleccionaron 260 contornos para estimar el tamaño promedio de grano, mediante una distribución normal.
Las fases de los óxidos y sus modos vibracionales se determinaron por espectroscopia Raman, en un equipo Thermo Scientific modelo DXR Smart Raman, con una longitud de onda del láser de 532 nm, a un tiempo de exposición de 5 s, realizando 30 exposiciones en un rango de medida de 200-1200 cm-1. Las propiedades ópticas se examinaron mediante espectroscopia ultravioleta visible (UV-VIS) usando un espectrofotómetro marca Jasco V-750, utilizando una fuente de luz D2/WI (Deuterio Halógeno-Tungsteno), en el módulo esfera de integración, a una velocidad de 600 nm/min en modo fotométrico de absorbancia y un rango de 200 a 800 nm.
3. Resultados
3.1. Caracterización morfológica y estructural
En la Figura 1 se observan las imágenes MEB de la superficie de las muestras, junto a un esquema ilustrativo de los diferentes tratamientos térmicos, así como las gráficas de la distribución del tamaño de grano correspondientes a cada una de las muestras tratadas térmicamente. La micrografía MEB para la muestra de referencia A, cobre sin tratamiento térmico (STT-A) (Figura 1a), exhibe una morfología homogénea con contornos oscuros que podrían ser grietas debido al proceso de evaporación térmica, en donde gotas del material en estado vapor se condensan y solidifican rápidamente sobre la superficie del sustrato, de acuerdo con un gradiente de temperatura que limita la cristalización y formación de fronteras de grano 25. Después de someter la muestra de cobre a los diferentes tratamientos térmicos (Figura 1b), se observa un cambio significativo de la microestructura, presentándose una transformación hacia nanoestructuras de tipo granular (Figuras 1c, e, g). A partir del número de cuentas de granos (representado como frecuencia) en función del diámetro, se construyó un histograma por cada tratamiento térmico sobre un total de 260 granos, distribuidos en 130 mediciones para imágenes con magnificación de 80kX y 130 para 120kX (Figuras 1d, f, h).
Los resultados muestran que el tipo de tratamiento térmico influye en la dimensión de los granos: en la muestra B (TT-B), tratada térmicamente con rampa de calentamiento, los granos tienden a ser de menor tamaño (25 ± 4 nm); mientras que las muestras tratadas sin rampa (TT-C y TT-D), presentan un tamaño de grano mayor, el cual tiende a incrementarse conforme el tiempo del tratamiento térmico aumenta (36 ± 5 y 46 ± 7 nm), respectivamente. Los valores reportados del tamaño de grano están en el orden de los reportados en la literatura (26 ).

Fuente: elaboración propia
Figura 1 Micrografías MEB de las superficies para (a) Muestra de referencia STT-A, (b) Esquema de los tratamientos térmicos aplicados, (c, e, g) Tratadas térmicamente (TT-B, C, D), (d, f, h) Histogramas calculados para la determinación del tamaño de grano promedio.
Para identificar las fases formadas durante los tratamientos térmicos, se realizaron medidas de difracción de rayos X. En la Figura 2 se presentan los patrones de difracción para la muestra patrón (STT-A) y las tratadas térmicamente (TT-B, TT-C, TT-D), los cuales revelan que en todas las muestras se tiene presencia de fases correspondientes a óxidos de cobre (Cu2O y CuO). Adicionalmente se identifica un pico remanente de Cobre atribuido a la reflexión del plano (200), el cual indica que, bajo los tratamientos térmicos implementados en este estudio, no todo el Cu disponible en la película semilla (STT-A) (reflexión Cu (200) de naturaleza amorfa), es transformado en óxidos de cobre. Por otro lado, las fases de óxidos de Cobre de naturaleza amorfa identificadas en la muestra semilla (picos anchos atribuidos a las fases Cu2O (111) y CuO (202), formadas por efecto de las altas temperaturas durante el proceso de evaporación 25, desparecen completamente para dar lugar a las fases ordenadas (CuO (110), CuO (200), Cu2O (200) y Cu2O (220)). Estos resultados evidencian que las nanoestructuras fabricadas presentan un carácter policristalino con coexistencia de fases.

Fuente: elaboración propia
Figura 2 Patrones de difracción de rayos X para la muestra patrón (STT-A) y las tratadas térmicamente (TT-B, TT-C, TT-D). Las líneas punteadas corresponden a las reflexiones indexadas en las bases de datos (00-001-1241 (Cu), 04-007-9767 (Cu2O), 04-009-2287 (CuO). Los patrones de las muestras tratadas térmicamente han sido normalizados a la intensidad del pico principal, correspondiente a la fase CuO para el plano (110).
Al realizar un seguimiento a las intensidades de los picos, se observa que el pico asociado a la reflexión (110) de la fase CuO con estructura cristalina monoclínica, es el pico más intenso en todas las muestras tratadas térmicamente. Realizando una normalización a dicho valor, se encuentra que el segundo pico de mayor intensidad también pertenece a la fase CuO, la reflexión (200); siendo esta última de menor intensidad en la muestra TT-B y mostrando un incremento para las muestras (TT-C y TT-D). Las bajas intensidades de las reflexiones para los picos (200) y (220) de la fase Cu2O con estructura cubica, denotan que es una fase minoritaria de las nanoestructuras y muestra además que el tratamiento térmico con rampa de temperatura (TT-B), al presentar la menor intensidad, es el que promueve en menor medida la formación de los óxidos de cobre.
Lo anterior indica que un aumento en el tiempo del tratamiento térmico a 400°C promueve la orientación preferencial en dichas reflexiones, dando lugar a la formación de los óxidos de cobre, obteniendo un comportamiento similar a lo reportado por Choudhary y colaboradores 23, los cuales establecen que el mecanismo de oxidación para la formación de los óxidos de cobre inicia a una temperatura de 250°C para las fases de Cu2O y 320 °C para el CuO respectivamente. Por otro lado, los patrones de difracción para las muestras (TT-C y TT-D) presentan un corrimiento de los picos hacia la izquierda, con respecto a la muestra (TT-B), siendo este comportamiento asociado a la presencia de microdeformaciones de carácter compresivo de magnitud comparable en todas las muestras (lo cual ha sido verificado mediante los ajustes obtenidos con el método Williamson-Hall (W-H) 27; que conllevan a cambios volumétricos en la red cristalina y surgen debido a reacciones químicas que involucran la absorción de oxígeno y difusión de cobre durante la formación de los óxidos 28-30.
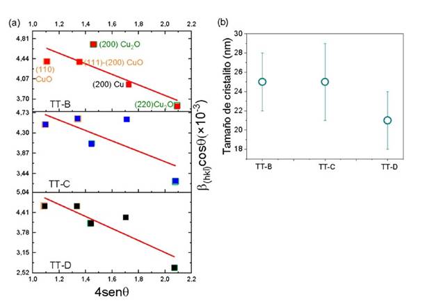
Ahora bien, en aras de poder comparar el tamaño promedio de cristalito con el tamaño promedio de grano (el cual estadísticamente contiene ambas fases), reportamos un tamaño de cristalito que promedia las contribuciones de ambas fases. Cabe aclarar que se implementó el método Williamson-Hall (W-H) 27, y que los ajustes se realizaron tanto, considerando cada fase por separado (para luego ser promediados), así como también considerando todos los picos presentes en cada set de muestras (caso mostrado en la Figura 3a); arrojando valores comparables. La Tabla 1 resume los valores obtenidos para cada set de muestras TT-B, TT-C y TT-D. Tal como puede apreciarse en la Figura 3b, y considerando la barra de incertidumbre de cada valor, se encuentra que dicho valor permanece constante y es independiente del tratamiento térmico aplicado en este rango de temperaturas y tiempos, mostrando que aplicar 400 °C en los rangos de tiempos trabajados, no modifica el tamaño del cristalito; esto acorde a otros trabajos reportados en la literatura para rangos de temperatura por debajo de 400 °C 31-33. Además, la comparación entre el tamaño de grano y el del cristalito, permite establecer que para la muestra (TT-B) estos valores son iguales, sugiriendo un carácter monocristalino; en el caso de la muestra (TT-C), se aprecia una diferencia de tamaños del orden del 40% y finalmente para la muestra (TT-D) el tamaño de grano es de aproximadamente el doble con relación al tamaño de cristalito. Cabe mencionar que este análisis no fue considerado para la muestra de cobre sin tratamiento térmico (STT-A) debido al carácter amorfo de sus fases (Figura 2).

Fuente: elaboración propia
Figura 3 (a) Ajuste lineal método Williamson-Hall para la determinación del tamaño de cristalito (b) tamaño de cristalito promedio en función del tratamiento térmico, considerando las reflexiones de todos los picos (CuO, Cu2O y Cu).
Tabla 1 Tamaño de grano y cristalito promedio obtenido para las muestras en función del tratamiento térmico
| Muestra | Tamaño de grano promedio obtenido por imágenes de MEB (nm) | Tamaño de cristalito promedio obtenido por el método W-H (nm) |
|---|---|---|
| TT-B | 25 ± 4 | 25 ± 3 |
| TT-C | 36 ± 5 | 25 ± 4 |
| TT-D | 46 ± 7 | 21 ± 3 |
Fuente: elaboración propia
Con base en los resultados obtenidos por DRX y MEB, es posible establecer que los tratamientos térmicos aplicados a las capas de Cu, generan un cambio tanto en la estructura cristalina como en la morfología del material, mediado por la formación de nanoestructuras de carácter mixto, conformadas por una mezcla de fases referentes a Cu metálico, Cuprita (Cu2O) y Tenorita (CuO) de cristalinidad definida que surge en función de la activación térmica. Esta actividad se encuentra descrita por un aumento controlado de la temperatura, la cual le permite al material de partida muestra A (STT-A), difundir átomos de cobre hacia la superficie (como mecanismo más probable) que posteriormente reaccionan con el oxígeno presente en la atmosfera para favorecer el crecimiento de óxidos de cobre, con una morfología similar a nanoestructuras semiesféricas (Figura 1c). Análogamente, una distribución cercana entre el tamaño de grano y cristalito promedio, sugieren la presencia de monocristales, demarcados por la coexistencia de fases de cobre metálico junto con los óxidos de cobre (Cu2O y CuO), muestra (TT-B), tal y como se puede apreciar en su patrón de difracción (Figura 2). O en su defecto, un carácter policristalino para el caso en el que el tamaño de grano es al menos el doble con relación al tamaño de cristalito muestra (TT-D), mientras que para el hecho en el que el tamaño de grano sea de un 40% superior con respecto al tamaño de cristal, muestra (TT-C), sugiere una formación cristalina tipo core-shell de geometría hexagonal con una interfaz inorgánica-inorgánica, conformada por un núcleo de Cu y una capa exterior de Cu2O que reacciona y se transforma en fases de CuO en función del tratamiento térmico aplicado 34.
3.2. Caracterización vibracional y óptica
La Figura 4 muestra los espectros de dispersión Raman en un rango de frecuencias entre 200-1200 cm-1, para cada una de las muestras de estudio. Comenzando con el material de referencia, muestra STT-A, se detecta una banda ancha en el rango 550-780 cm-1, la cual refleja una superposición de diferentes modos asociados a la presencia de óxidos de bajo orden cristalino. En cuanto a la muestra TT-B, se exhibe una mayor intensidad, lo cual puede atribuirse a un incremento paulatino de la presencia de óxidos, a causa del tratamiento térmico aplicado. Así mismo se detecta un pico adicional centrado alrededor de 902 cm-1 que, de acuerdo con la literatura 35, puede ser asociado a modos Raman de origen superficial activados, debido a la presencia de interfases tipo Cu/Cu2O y/o Cu/CuO en la muestra. El espectro correspondiente a la muestra TT-C presenta adicionalmente tres modos Raman en el rango 220-360 cm-1, siendo un primer pico centrado en 265 cm-1 asociado al modo multi-fonón 2Eu de la fase Cu2O 36, un segundo pico centrado en 300 cm-1 relacionado al modo Ag de la fase CuO y un tercer pico en 350 cm-1 correspondiente al modo Bg del CuO. Finalmente, la muestra TT-D, aunque presenta un espectro similar al de la muestra TT-C, se pueden observar ciertas diferencias en las intensidades de los picos en los rangos 220-360 cm-1 y 550-780 cm-1. Con el objetivo de dilucidar las diferencias en las intensidades, se realiza el proceso de deconvolución para cada uno de los picos encontrados y de las bandas en mención.

Fuente: elaboración propia
Figura 4 Espectros Raman para las muestras (STT-A, TT-B, TT-C, TT-D), indicando las fases y bandas asociadas a cada uno de los óxidos de Cobre. Los datos han sido normalizados al pico de mayor intensidad, para cada uno de los espectros.
En la Figura 5a-d se presentan los resultados de la deconvolución para cada una de las muestras (STT-A, TT-B, TT-C y TT-D). Para todas ellas se observa que en la banda con rango 550-780 cm-1 se distinguen tres modos principales, dos de ellos asociados a la fase Cu2O: el modo T2g (585 cm-1) y el modo permitido rojo T1u (688 cm-1); adicionalmente se detecta el modo Bg alusivo a la fase CuO para las muestras (TT-B, TT-C y TT-D). Los valores de las intensidades relativas de los picos deconvolucionados en cada una de las muestras se resumen en la Tabla 2. Estos resultados evidencian el efecto del tratamiento térmico sobre la respuesta vibracional en las muestras. Tomando como referencia la muestra (STT-A), se observa que los modos correspondientes a la fase de Cu2O presentan un incremento inicial de la intensidad por efecto del tratamiento térmico TT-B, para luego disminuir paulatinamente con los tratamientos TT-C y TT-D. De forma paralela se observa un aumento paulatino de las intensidades relativas asociadas a la fase CuO (300 y 350 cm-1) que pasan de estar ausentes en las muestras STT-A y TT-B para hacerse evidentes en los tratamientos TT-C y TT-D. Lo anterior muestra que un porcentaje del Cu2O presente mayoritariamente en las muestras TT-A y TT-B, se transforma en CuO a medida en que el tiempo de exposición a la máxima temperatura del tratamiento térmico se incrementa (TT-C y TT-D). Estos resultados son consistentes con lo reportado por algunos autores 23,37,38; los cuales establecen que una vez superada la barrera del óxido nativo a una temperatura de ~150 °C, empieza la formación de la fase Cu2O la cual se mantiene hasta temperaturas alrededor de los 320 °C; para seguidamente dar lugar a la conformación de la fase CuO a temperaturas superiores, lo anterior en condiciones de presión constante.

Fuente: elaboración propia
Figura 5 Deconvolución del corrimiento Raman para las muestras: (a-d) (STT-A, STT-B, -C, -D) incluyendo sus modos vibracionales, las frecuencias asociadas y el tipo de óxido formado.
Tabla 2 Resumen de los modos vibraciones y frecuencias Raman para cada una de las muestras junto con sus alturas relativas de deconvolución.
| Frecuencia Raman (cm-1) | Modo Vibracional | Fase asociada | Alturas Relativas | |||
|---|---|---|---|---|---|---|
| STT-A | TT-B | TT-C | TT-D | |||
| 245 | T1u | Cu2O | 0.20 | - | - | - |
| 265 | 2Eu | 0.14 | - | 0.13 | 0.31 | |
| 300 | Ag | CuO | - | - | 0.68 | 0.65 |
| 350 | Bg | - | - | 0.14 | 0.30 | |
| 585 | T2g | Cu2O | 0.18 | 0.43 | 0.25 | 0.10 |
| 638 | Bg | CuO | 0.58 | 0.51 | 0.61 | 0.38 |
| 688 | T1u | Cu2O | 0.59 | 0.56 | 0.57 | 0.36 |
| 902 | Eg | Cu/Cu2O-Cu2O/CuO | 0.12 | 0.42 | 0.26 | 0.23 |
Fuente: elaboración propia
Luego de verificar la presencia de los óxidos de cobre por las técnicas de DRX y Raman, se llevaron a cabo ensayos de espectroscopia ultravioleta visible (UV-VIS), para determinar la banda prohibida y observar la influencia del tratamiento térmico en la absorbancia de las muestras. En la Figura 6a, se aprecian los espectros de absorción en función de la longitud de onda para cada una de las muestras de estudio. En primera instancia para la muestra de referencia (STT-A), se identifica un comportamiento monótono de los valores de absorbancia en el rango de 800 - 600 nm; para valores de longitudes de onda comprendidas entre los 600-500 nm se observa un primer incremento significativo logrando un valor del 37% de absorbancia; dicho comportamiento se atribuye a la presencia de la fase CuO de carácter amorfo formada durante el proceso de evaporación térmica 25 (evidenciada en el difractograma de rayos-X). Así mismo, se evidencia un segundo pico centrado alrededor de 290 nm con un porcentaje de absorbancia del 60% asociado a la coexistencia de las fases de Cu y Cu2O. Tal como se evidencia en la Figura 6a, la respuesta óptica para el caso de las muestras tratadas térmicamente cambia considerablemente para las longitudes de onda en el rango del visible; en específico se observa un pico característico en el rango 500 - 700 nm que evidencia un importante incremento en la absorbancia, el cual se atribuye a una mayor presencia de óxidos de cobre con fase ordenada, efecto directo de los tratamientos térmicos aplicados.
En el caso de la muestra (TT-B) el pico se encuentra centrado en 638 nm, presentando un valor de absorbancia del ~68%. Para valores en el rango de 500 - 350 nm, la absorbancia se mantiene constante alrededor de un valor del 50%; ya para valores inferiores a los 350 nm el comportamiento se asemeja al de la muestra STT-A, presentando la posición del pico un corrimiento hacia el azul con su máximo centrado en 250 nm. Análogamente el espectro correspondiente a la muestra (TT-C), presenta el pico de mayor intensidad con una absorbancia del 84% alrededor de 600 nm, valor que hace referencia a longitudes cercanas al color rojo del espectro visible 39. El leve corrimiento hacia el azul que presenta este pico respecto a la muestra TT-B, se atribuye a las modificaciones en el tamaño de la microestructura y en las fases de óxido presentes, tal como lo evidenciaron los análisis por MEB y rayos-X, respectivamente 40. Por último, la muestra (TT-D), aunque evidencia un espectro similar a la muestra (TT-B), se puede contemplar una leve diferencia en cuanto a su capacidad de absorción para el pico de mayor intensidad centrado en 632 nm.
Utilizando la metodología de extrapolación directa e indirecta de Tauc 41, se determinó el ancho de banda óptico para cada una de las muestras; la Figura 6b muestra los correspondientes gráficos. El resumen de los valores obtenidos en el análisis se muestra en la Tabla 3. Los valores del ancho de banda de las muestras (TT-B, TT-C y TT-D) son muy similares, encontrándose en un rango de 1.41 a 1.47 eV, los cuales corresponden a la transición indirecta de la fase CuO 7-9,36,42, fase dominante en estas muestras. En cuanto a la muestra sin tratamiento térmico STT-A, se encontró un valor de ancho de banda de 2.05 ± 0.1 el cual está netamente asociado a la transición directa de la fase Cu2O 10-12,36,42. Los valores de ancho de banda obtenidos para cada caso están en concordancia con los resultados obtenidos por DRX y Raman que dan cuenta de las fases de óxidos dominantes en cada una de las muestras estudiadas.

Fuente: elaboración propia
Figura 6 a) Espectros UV-Vis para la muestra de referencia y las tratadas térmicamente, b) extrapolación de Tauc para la determinación del ancho de banda óptico.
Tabla 3 Valores de ancho de banda prohibida calculado para cada una de las muestras indicando el tipo de transición.
| Muestra | Transición | Ancho de banda prohibida (e.V) |
|---|---|---|
| STT-A | Directa | 2.05 ± 0.1 |
| TT-B | Indirecta | 1.41 ± 0.01 |
| TT-C | 1.47 ± 0.02 | |
| TT-D | 1.46 ±0.01 |
Fuente: elaboración propia
Finalmente, los espectros de UV-VIS, apoyados en los análisis y resultados obtenidos previamente por MEB, DRX y Raman, permitieron verificar que un tratamiento térmico aplicado a una capa semilla de Cu (STT-A), genera una transición en su estructura cristalina; establecida por cambios en su microestructura que estabilizan fases mixtas compuestas del Cu-metálico y los óxidos Cu2O y CuO para formar nanoestructuras que mejoran la capacidad de absorción del material; siendo ésta última comprobada mediante UV-VIS con la presencia de un pico ancho en un rango de longitudes de ondas pertenecientes al espectro visible 43,44. Dentro de los parámetros considerados en este estudio, la muestra (TT-C) presenta la mayor capacidad de absorción, lo cual puede estar directamente correlacionado con la formación de estructuras tipo core-shell de interfaces metal-óxido 34,45,46, que mejoran las propiedades ópticas e incrementa el área superficial, siendo estas las condiciones más apropiadas, para que este material pueda ser utilizado como un componente absorbente en sistemas solares fotovoltaicos tipo multicapa (Tándem) 34,37,46-48.
4. Conclusiones
La implementación de tratamientos térmicos con temperaturas máximas de 400 °C en atmósfera de aire, permitieron transformar películas delgadas de cobre (Cu) (fabricadas por evaporación) desde una microestructura con granos amorfos hacia una morfología nanoestructurada de fases mixtas de óxidos de cobre (CuO y Cu2O) de mayor orden y homogeneidad.
Los resultados obtenidos por MEB y DRX permitieron se establecer que los tratamientos térmicos aplicados a las películas de Cu, generan un cambio tanto en la estructura cristalina como en la morfología del material, mediado por la relación entre el diámetro promedio del tamaño de grano (en un rango entre los 21-53 nm) y un tamaño de cristalito estable con un valor alrededor de los 24 nm.
A partir de los experimentos de Raman, se verificó la naturaleza de la coexistencia de las fases de Cu2O/CuO presentes en las muestras tratadas térmicamente. Adicionalmente, se identificaron modos vibracionales correspondientes a resonancia de plasmones en interfases metal-óxido (Cu-Cu2O/CuO), siendo este comportamiento propio para nanoestructuras con una morfología de tipo core-shell.
Los resultados de UV-VIS mostraron en términos generales un comportamiento similar para las diferentes nanoestructuras de óxido de cobre en cuanto a su carácter semiconductor tipo P, sus capacidades de absorción y anchos de banda, convirtiendo al material en un potencial candidato para su uso en dispositivos fotovoltaicos y catalíticos. En particular, las condiciones de fabricación utilizadas para la muestra TT-C, permitieron obtener nanoestructuras con mayor capacidad de absorción.
Este estudio permite concluir que los tratamientos térmicos utilizados son una ruta energéticamente favorable, temperatura moderada y tiempos cortos que dan lugar a nanoestructuras de óxido de cobre mixto, con tamaños de grano promedio entre los 21-53 nm y anchos de banda con un rango de 1.40-1.47 e.V. Siendo posible establecer que, con base a la caracterización realizada, las muestras fabricadas son comparables y reproducibles.














