INTRODUCCIÓN
El bosque seco tropical representa el 50 % de las áreas boscosas en Centroamérica y el 22 % en Sudamérica (MURPHY & LUGO, 1986). Se reconocen 10 enclaves secos interandinos por debajo de los 1.000 m s. n. m. y 2.000 mm de precipitación; se destacan el valle alto del río Magdalena con 1’181.577 ha, el valle alto del río Cauca con 425.250 ha, el enclave de Cúcuta con 147194 ha y el Cañón del Chicamocha con 140.567 ha, que constituyen un refugio importante para flora y fauna (CAVELIER et al., 1996). Particularmente el Tolima cuenta con 44.188 ha de bosque seco tropical entre remanentes naturales y mosaicos que equivalen al 7 % de las áreas de bosque seco en la actualidad y una crítica representatividad en áreas protegidas (GARCÍA et al., 2014).
Hoy en día, la degradación y fragmentación de este ecosistema es muy preocupante debido al exceso en el uso del suelo que deteriora los servicios ecosistémicos que presta el bosque seco tropical (SÁNCHEZ et al., 2005). En Colombia el bosque seco tropical está entre los tres ecosistemas más degradados, fragmentados y menos conocidos. Ese limitado conocimiento en Colombia y el departamento del Tolima hace que no existan lineamientos claros para su uso sostenible, conservación y restauración tanto a escala local como de paisaje (FERNÁNDEZ et al., 2013; PIZANO et al., 2014).
Existen adaptaciones morfológicas y fisiológicas generalizadas entre las plantas del bosque seco tropical que son importantes en la estructuración de comunidades (VICKERY, 1987) y a la vez son pocos los estudios publicados sobre cómo se distribuyen las poblaciones de árboles dentro de las comunidades vegetales de bosques secos. La caracterización ecológica y estructural de los bosques se fundamenta en el estudio de la estructura o arquitectura comunitaria, definida por el ordenamiento en sentido vertical y horizontal de sus componentes (RANGEL, 1997). Esta estructura está directamente implicada en el mantenimiento de los procesos ecológicos (RODRÍGUEZ, 1987).
Se puede analizar la estructura vertical bajo diferentes concepciones, según la naturaleza del estudio, lo que conduce a múltiples criterios de estratificación; se destacan la concepción dinámica, la concepción funcional y la concepción estructural, las tres dan un enfoque para interpretar la estructura de los bosques (MELO & VARGAS, 2002).
La estructura vertical puede ser evaluada a partir de métodos de descripción cualitativos, mediante un diagrama de perfil que es la representación bidimensional del bosque, y métodos cuantitativos (OGAWA et al., 1965; UNESCO, 1980).
Por su parte la estructura horizontal da a conocer la posición de las copas de las especies que componen el bosque al observarlas desde una vista de planta y permite evaluar el comportamiento de los individuos y las especies en la superficie de cada ecosistema, al igual que la importancia ecológica de cada especie (OTAVO, 1994; RODRÍGUEZ, 1987). Esto, a partir del cálculo de los índices convencionales como el índice de valor de importancia (IVI) y el cociente de mezcla (CM) (CURTIS & MCINTOSH, 1951). Un IVI similar de diferentes especies en una comunidad sugiere igualdad del bosque en su composición, estructura, calidad de sitio y dinámica. Generalmente se acepta que los valores mayores corresponden a especies que tienden a predominar en el bosque (LAMPRECHT, 1990; RODRÍGUEZ, 1987).
A pesar de que hoy existen enfoques más complejos como el funcional y el filogenético para analizar la estructuración de comunidades, conocer el patrón clásico desde el punto de vista estructural y taxonómico puede ayudar a encontrar lineamientos y especies claves para la restauración forestal (SALOMÃO et al., 2012; SWENSON, 2014).
Este artículo tiene como objetivo realizar el análisis estructural de fragmentos de bosque seco tropical encontrados en la ecorregión estratégica de la Tatacoa y su área de influencia en el sur del departamento del Tolima. Se pretende detallar los patrones de estructura vertical, horizontal y total para generar conocimiento que permita enriquecer los pocos estudios existentes y contribuir al uso sostenible, conservación y restauración de los bosques secos del valle interandino del Magdalena.
MATERIALES Y MÉTODOS
Área de estudio
El trabajo se llevó a cabo en el sur del departamento del Tolima (Figura 1), comprendió un análisis de cartografía para buscar los fragmentos boscosos donde se establecieron 12 parcelas de monitoreo de 0,25 ha (50 x 50 m) (Tabla 1) en las que se registraron individuos con DAP ≥ 5 cm. Para cada árbol se determinó la clasificación taxonómica, se midió DAP y altura total; y para cada transecto se midió diámetro de copa, coordenadas planas, altura de reiteración y pendiente del terreno.
Procesamiento de datos
Se graficó el diagrama de perfil y diagrama de Ogawa para cada parcela. Se determinó abundancia absoluta y relativa, frecuencia absoluta y relativa, y dominancia absoluta y relativa por especie; posteriormente se obtuvo el IVI. También se calculó el CM, que es la relación entre el número de individuos y número de especies (LAMPRECHT, 1990). Para estructura total se realizaron histogramas de distribución de frecuencias del DAP; todos los análisis y gráficos fueron realizados con InfoStat (DI RIENZO et al., 2011).
RESULTADOS
Estructura vertical
El total de individuos fue de 2696 distribuidos en 121 morfoespecies, detalles de diversidad, alfadiversidad, beta diversidad y rareza de estas comunidades se encuentran en FERNÁNDEZ et al. (2013). Los diagramas de perfil bajo y la concepción dinámica presentan los siguientes patrones: el bosque de Santa Lucia (municipio de Coyaima) (Figura 2, A) tiene poca presencia de claros, lo que constituye una fase de reconstrucción avanzada de la asociación vegetal conocida como Chaparral. El bosque de Canalí (municipio de Ortega) (Figura 2, B) tiene comportamiento uniforme con árboles dominantes en el dosel, casi la totalidad de individuos son árboles del presente y algunos se encuentran en una etapa de maduración. El bosque de Potrero Grande (municipio de Coyaima) posee los individuos con las mayores alturas y diámetros de copa que cubren la totalidad del dosel (Figura 2, C), no se evidencia la existencia de claros. El bosque de Buena Vista (municipio de Coyaima) presentó un claro (Figura 2, D); existe escasa vegetación a lo largo del perfil y la altura no supera 19 m, de 0 a 30 m hay árboles del futuro que constituyen una avanzada etapa de reconstrucción. El resguardo indígena Anacarco, predio Altamira I, se encuentra en estado de reconstrucción avanzada (Figura 2, E) con escasa presencia de claros; la vegetación existente no sobrepasa 11 m de altura. Es reducido el diámetro de copa de los árboles, siendo estos árboles del futuro y algunos del pasado. El predio Altamira II presenta dos claros. La mayoría de árboles no sobrepasan los 10 m. Los individuos pertenecen a árboles del futuro y pasado en su máxima expresión de desarrollo (Figura 2, F).
El predio El Zancudo, en el resguardo indígena Anacarco (Figura 3, A), es dominado por árboles del presente y pasado que son emergentes. El bosque de la vereda La Mata de Purificación posee una gran cantidad de individuos que no sobrepasan los 9 m, siendo estos árboles del presente (Figura 3, B). El grado de intervención antrópica en el bosque de la vereda Las Brisas de Prado es el más alto encontrado en todos los bosques estudiados; aquí los individuos se encuentran agrupados en pequeños parches que representan una sucesión temprana, dominados por árboles del futuro (Figura 3, C). En la vereda Centrales de Prado se evidencia la presencia de claros con fuerte grado de intervención que se acentúa más a partir de los 25 m, encontrándose árboles del futuro. En los primeros 25 m se encuentran árboles con las mayores dimensiones en un estado maduro (Figura 3, D).
El perfil en la vereda El Guácimo de Dolores muestra la más alta uniformidad en cuanto a distribución de los árboles tanto entre el suelo y el dosel como a lo largo del transecto; por tanto, no hay presencia de claros. Los individuos encontrados están clasificados dentro de la fase del futuro y del pasado (Figura 3, E). El bosque de la vereda Los Medios en Alpujarra no presenta claros, los árboles corresponden en su mayoría a árboles del futuro y un reducido número al pasado (Figura 3, F).
De acuerdo con la concepción estructural Curatella americana constituye el 72,47 % del total de individuos en Santa Lucía. Posee su mayor concentración en el primer estrato (0-5m) con 74 individuos, 49 en el segundo (5-7m) y 6 en el tercero (7-11 m) (Figura 4, A). Mabea sp. y la palma Scheelea butyracea son las únicas que se encuentran, al igual que C. americana, en los tres estratos. En Canalí (municipio de Ortega) (Figura 4, B) se presentan cinco estratos bien definidos con alturas entre 0 y 24 m con 235 individuos. El porcentaje de uniformidad de especies en todos los estratos fue del 4 % con una sola especie en común, Ocotea sp. Como especies emergentes (15-24 m) se encontraron Ochroma pyramidale, Anacardium excelsum, Astronium graveolens, Spondias mombin y Ocotea sp. El bosque de la vereda Potrero Grande (municipio de Coyaima) (Figura 4, C) muestra cuatro estratos con el 83,64 % de las especies en el estrato II (5-9 m). En la vereda Buena Vista (municipio de Coyaima) se presentan cuatro estratos (Figura 4, D); en donde el segundo estrato posee 26 de las 31 especies reportadas para este bosque. Anacarco, predio Altamira I, presentó cuatro estratos bien definidos con alturas que abarcan desde 0 a 13 m con la mayor concentración de especies en el segundo nivel (Figura 4, E). La totalidad de las especies reportadas fue de 15, de las cuales 3 se encontraron en todos los estratos. El predio Altamira II de Natagaima contó tres estratos (Figura 4, F): Guazuma ulmifolia, Trichilia hirta y Tabebuia chrysantha, son las especies comunes en todos ellos. En el resguardo indígena Anacarco, predio El Zancudo, hubo cuatro estratos (Figura 4, G).
En Purificación (vereda La Mata) hubo cuatro estratos (Figura 4, H): la mayor concentración de individuos se ubicó en el estrato II con 92 y la menor en el IV con 34. Las figuras 4 I y 4 J muestran la dispersión de copas de los bosques localizados en las veredas Las Brisas y Centrales del municipio de Prado, los dos presentaron tres estratos. Tabernaemontana coronaria y G. ulmifolia se encontraron en cada uno de los diferentes pisos del bosque de la vereda Centrales y Coccoloba obovata, Petrea arbórea y Croton funkianun en la vereda Las Brisas. En Dolores (vereda El Guácimo) (Figura 4, K) se encontraron cuatro estratos: el mayor número de individuos en el último estrato, 174 de cinco especies. En Alpujarra (vereda Los Medios) el bosque se dividió en tres estratos bien diferenciados (Figura 4, L). La Tabla 2 resume los valores concernientes al número de estratos, especies e individuos totales y por estrato de cada parcela.

Figura 4 Diagramas de dispersión de Ogawa para las 12 parcelas. Ht: altura total del árbol; Hr: altura de reiteración donde inicia la copa.
Estructura horizontal
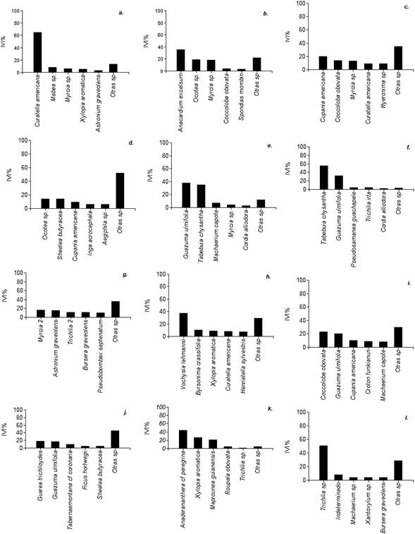
En el bosque del resguardo indígena Santa Lucía se encontraron 178 individuos en 15 especies, C. americana es la especie con mayor peso ecológico alcanzando un IVI del 65 % (Figura 5, A); lo cual indica homogeneidad de la comunidad. La proporción de mezcla alcanzó un valor de 1:12 (Tabla 3), ratificando la homogeneidad.
En la vereda Canalí, A. excelsum fue la especie con mayor IVI con el 35 %; superando las especies raras con 22 %, clasificando la comunidad como homogénea (Figura 5, B). Cada especie estuvo representada aproximadamente por 9 individuos (Tabla 3). Myrcia sp., presentó el mayor número de individuos y fue superado en frecuencia y dominancia por el Ocotea sp. Lo que les da un valor del IVI del 18 y 19 % respectivamente, para quedar dentro de las especies con alto peso ecológico en esta comunidad. Para la vereda Potrero Grande el cociente de mezcla fue de 1:7 (Tabla 3), indicando una tendencia a la heterogeneidad. Cupania americana fue la especie con el mayor peso ecológico con 20 % del IVI, el grupo de otras especies estuvo conformado por once especies con 35 % (Figura 5, C). La vereda Buena Vista, presentó dos especies con IVI del 14 %: Ocotea sp. y Scheelea butyracea. El conjunto de las especies raras supera a las especies dominantes con el 52 %, el bosque tiende a la heterogeneidad sin una especie dominante (Figura 5, D). El cociente de mezcla obtuvo la más baja proporción (1:5), siendo el bosque más heterogéneo (Tabla 3).
En el resguardo indígena Anacarco se encontraron 15 especies de las cuales G. ulmifolia presentó el mayor IVI con el 38 %; indicando alta homogeneidad. Una especie en promedio estuvo representada por 12 individuos (Tabla 3). Por otra parte, T. chrysantha obtuvo la mayor frecuencia relativa y el máximo número de individuos al quedar segunda con un IVI del 35 % (Figura 5, E). La segunda parcela en Anacarco fue más pobre en composición florística con ocho especies en 160 individuos, presentó la segunda especie de mayor importancia ecológica de todos los ecosistemas boscosos estudiados: T. chrysantha con IVI del 55 % (Figura 5, F). El cociente de mezcla fue el segundo más alto (1:20), clasificando al bosque como altamente homogéneo (Tabla 3). En el mismo resguardo, predio El Zancudo, nuevamente una especie dominó: Myrcia sp. con 51 individuos y un IVI del 49 %; superando al grupo de otras especies con 30 %; dominan también A. graveolens y Trichilia sp. que presentaron los máximos valores en cuanto a frecuencia relativa, lo que incidió en un IVI del 46 % y del 34 % respectivamente (Figura 5, G). La especie promedio estuvo representada por 8 individuos, siendo este un bosque con tendencia a la homogeneidad (Tabla 3).
En la vereda La Mata se registraron 234 individuos de 17 especies, siendo Vochysia lehmannii la especie de mayor importancia ecológica con un IVI del 37 % (Figura 5, H). El cociente de mezcla es de 1:14, siendo un bosque con tendencia a la homogeneidad (Tabla 3). En la vereda Las Brisas el bosque es homogéneo debido a que no hay una especie de mayor importancia ecológica; de las demás resalta C. obovata con un IVI del 23 %, seguida por G. ulmifolia con el 20 %; pero las especies raras superan a estas dos con el 30 % del IVI (Figura 4, I). Se encontraron en total 19 especies en 127 individuos con un CM de 1:7, este tiende a ser homogéneo (Tabla 3). La vereda Centrales fue la menos homogénea con un CM de 1:4. La especie con mayor importancia ecológica fue Guarea trichilioides con un valor del 18 %. Se registraron 28 especies, G. ulmifolia obtuvo los máximos valores en abundancia y frecuencia relativa ubicándola entre las especies dominantes con un IVI del 17 %; aunque todas fueron superadas ampliamente por las especies raras con un 45 %, lo que hace a esta comunidad altamente heterogénea (Figura 5, J).
El bosque de la vereda El Guácimo en Dolores registró a Anadenanthera peregrina como la especie más importante del ecosistema con un IVI del 44 % (Figura 5, K). En total se encontraron 13 especies en 439 individuos. El CM fue el más alto de los obtenidos en toda la ecorregión (1:34), clasificando este bosque como el más homogéneo (Tabla 3). Por último, el bosque de la vereda Los Medios presentó la tercera especie de mayor importancia ecológica de la ecorregión: el Trichilia sp. con un valor del 51 %; al igual que el mayor número de individuos, frecuencia relativa y grado de cobertura (Figura 5, L). También presenta una alta homogeneidad con cada especie representada por 17 individuos (Tabla 3).

Figura 5 Índice de valor de importancia para las especies dominantes en las 12 parcelas. IVI %: índice de valor de importancia en porcentaje de 0 a 100.
Estructura total
El 58,7 % (1572) de los individuos muestreados presentaron diámetros normales entre 5 y 9 cm; siendo la vereda Centrales, la localidad con menor número de individuos (59) dentro de esta categoría (Figura 6, J). El predio Altamira I (municipio de Natagaima) y la vereda El Guácimo (municipio de Dolores), junto con el resguardo indígena Santa Lucía y la vereda Los Medios, fueron los sitios más pobres en árboles mayores de 30 cm con un individuo (Figura 6, A, E, K, L). Por el contrario, la finca El Zancudo (municipio de Natagaima) registró una mayor cantidad de individuos en este intervalo (27) (Figura 6, G). En Alpujarra y Dolores se encontraron más individuos en la primera categoría diamétrica con 280 y 228 respectivamente (Figura 6, K, L). Solo dos comunidades tuvieron una estructura diamétrica con tendencia a una curva normal (Figura 6, A, K). El resto de las comunidades mostraron una tendencia exponencial inversa o conocida como j invertida (Figura 6, A, J, L).
La parcela 4 en Coyaima presentó el mayor DAP promedio (13,90 cm), el menor fue para la parcela 12 de Alpujarra (8,25 cm). El mayor promedio de altura fue para la parcela 7 con 9,12 m y la menor para la parcela 1 de la asociación Chaparral con 5,19 m. Los coeficientes de variación reflejan una alta heterogeneidad de los datos registrados con la máxima variación para las veredas Centrales y Canalí como consecuencia de alta amplitud del rango de árboles (Tabla 4). El valor diamétrico mínimo registrado en todos los bosques fue de 5 cm, correspondiente al criterio de medición establecido para el estudio; y el diámetro mayor fue de 105,9 cm registrado en Canalí. El área basal por hectárea osciló entre 3,77 y 20,35 m2/ha, teniendo la localidad de Anacarco en el predio El Zancudo la máxima área basal.
Tabla 4 Variables dasométricas para las 12 parcelas.

Nota: N: número de árboles por parcela; DAPm: diámetro promedio por parcela; DE: desviación estándar; CV: coeficiente de variación en porcentaje; MáxD: DAP máximo en la parcela; Hm: altura promedio por parcela; Min: altura mínima para parcela; AB/ha: área basal por hectárea en metros cuadrados.
Fuente: elaboración propia.
DISCUSIÓN
Estructura vertical
La concepción dinámica para analizar la estructura de los bosques es apropiada para profundizar en el entendimiento de la distribución de los árboles en los bosques (MELO & VARGAS, 2002); sin embargo la metodología de perfiles de vegetación es subutilizada, ya que por lo general es usada en informes técnicos pero no se profundiza en su análisis. Desde esta perspectiva, los árboles se clasifican en tres categorías: árboles del pasado, árboles del presente y árboles del futuro; lo que permite tener una valoración del estado actual del bosque. Los perfiles evaluados en el presente artículo nos muestran tres tendencias: bosques de asociaciones dominantes y relativamente estables como la asociación Chaparral dominada por C. americana, G. ulmifolia, T. chrysantha, A. peregrina, X. aromatica y C. obovata, estas se presentan en terrenos ondulados con pendientes medias a bajas (Figura 2, A, K, L).
La segunda tendencia son bosques en terrenos muy pendientes donde dominan árboles remanentes de A. excelsum, A. graveolens y G. trichilioides (Figura 2, B) y una tercera tendencia que son rastrojos altos o bosques secundarios que se han establecido en áreas de pendiente media a alta con una alta heterogeneidad y alta presencia de claros y dominada por especies pioneras e intermedias como C. alliodora y Myrcia sp.
El resguardo indígena Anacarco amerita un análisis particular, ya que allí existe un área de reserva rodeada de parches de bosque secundario en recuperación. Las parcelas 5 y 6 obedecen a bosques de la asociación T. chrysantha-G. ulmifolia, ubicadas dentro del primer grupo; mientras que la parcela 7 del predio El Zancudo es un remanente de bosque ribereño con dominancia de árboles de gran porte que desde la concepción funcional ya son árboles del pasado, ya que es una sucesión avanzada. Esta es la típica formación de bosques riparios asociados a los drenajes y altas pendientes en los bosques secos tropicales. Los árboles encontrados corresponden a árboles del presente y pasado con especies como Bursera simaruba, A. graveolens y Pseudosamanea guachapele para el primer grupo y Cedrela angustifolia y A. graveolens representan remanentes de lo que serían sucesiones avanzadas. Prado se destaca como el municipio con más intervención ganadera y con menos cobertura de bosques conservados, es dominado por bosques secundarios típicos como las parcelas 9 y 10. En dicha región son comunes los incendios como factor de riesgo que impide la recuperación de estos bosques para alcanzar estructuras verticales más avanzadas y la llegada de especies de gran porte. Las parcelas de Dolores y Alpujarra que quedan en la zona más alta de la ecorregión entre 800 y 1000 m s. n. m. son las que tienen mayor cantidad de árboles y menos claros; se observa que aquí las sucesiones se encuentran en una etapa avanzada donde la ocupación de los rodales es alta y se iniciarán procesos de sucesión que darán recambio de especies dependiendo de procesos neutros, dispersión y dinámica regional.
En cuanto a estratificación (Figura 3) los bosques tienen de tres a cinco estratos definidos; la estratificación es un indicador de estado de la comunidad en cuanto a tamaños, ya que el tamaño es un indicador de la edad. Se destacan pocos árboles emergentes, solo en los bosques ribereños (parcelas 2, 4 y 7) donde existen árboles remanentes de especies de gran porte como P. guachapele, A. excelsum, A. graveolens y Pseudobombax spectanum; lo cual también se encontró en Bolivia (CAYOLA et al., 2005). La presencia de árboles emergentes en sucesiones avanzadas de bosque seco es muy escasa hoy, a excepción de áreas representativas en algunas regiones del norte del Tolima (MELO et al., 2017). El resto conservan principalmente tres estratos, por ejemplo: en Bolivia CAYOLA et al. (2005) también encontraron tres estratos arbóreos diferenciados, siendo lo más común en los bosques secos (EWEL 1980); lo que se evidencia en la región con esta estructura de los estratos es una intervención selectiva de estos bosques. MENDOZA (1999) discute que estos bosques no solo presentan fases sucesionales derivadas de perturbaciones naturales, sino también perturbaciones antropogénicas que pueden determinar las comunidades del bosque seco.
Los diagramas de Ogawa son muy útiles para ver los estratos del bosque, esto ayuda a entender la sucesión; permitiendo análisis más complejos para intervención y restauración de estos bosques y dando al estudio de la estratificación, que ha sido poco investigado en detalle, un potencial para analizar patrones de microclima y albergue de biodiversidad en grupos importantes tales como epífitas, anfibios y aves.
Estructura horizontal
Cuatro sitios tuvieron CM inferiores a siete, lo que muestra pocas comunidades heterogéneas y ocho comunidades con algún grado de dominancia por pocas especies; lo cual es un patrón común en bosques secos (HUBBELL, 1979). MENDOZA (1999) recopiló datos de número de especies y número de individuos para varias localidades de América y muestra una relación de mezcla de la mayoría con valores menores a siete; esos valores obedecen a muestreos de individuos de DAP mayores a 2,5 cm, lo que aumenta la homogeneidad del índice, mostrando que algunas especies en determinado período de historia de un sitio dominan la comunidad.
Entre las especies también reportadas como dominantes a través del IVI en otras regiones se destacan varias de los géneros Cordia sp. (MELO & VARGAS, 2002), Astronium (MENDOZA, 1999), A. excelsum (RANGEL, 1997), Trichilia sp. (GARCÍA, 2009; MENDOZA, 1999; RANGEL, 1997), Coccoloba sp. y Tabebuia sp. (RANGEL, 1997). C. americana es una especie dominante dentro de la ecorregión, formando una comunidad homogénea muy conocida en bosques secos (RANGEL, 1997) y en los bosques del cerrado de Brasil (ARRUDA et al., 2011).
A. excelsum y Myrcia sp. se encontraron también como dominantes, especies de la familia Myrtacea y Anacardiacea también son dominantes en bosques de Perú (GARCÍA, 2009). La dominancia de Ocotea sp. se presentó solo en dos parcelas, situación poco común en los estudios revisados; aunque es relevante en sucesiones avanzadas y en bosques andinos (RANGEL, 1997). La palma S. butyracea fue dominante en una región, condición que se presenta en algunos bosques secos donde esta especie coloniza áreas abiertas muy comúnmente en el valle interandino del Magdalena y la Costa Caribe (URIBE et al., 2001). Por otro lado, G. ulmifolia es una especie que también forma comunidades dominantes en los bosques secos donde dominan matrices de pastos y cultivos semestrales. T. chrysantha también es dominante y se han encontrado reportes en la Costa Caribe colombiana de esta misma condición (BANDA et al., 2016; RANGEL, 1997). V. lehmannii es dominante solo en una región, caracterizándose por ser común en áreas de transición a bosque premontano en la Cordillera Occidental y otras regiones del Tolima como Cunday.
La familia Fabaceae, Mimosoideae, es de las más abundantes en los bosques secos (MENDOZA, 1999; RANGEL, 1997; BANDA et al., 2016; SALOMÃO et al., 2012); de esta manera en este estudio se destaca A. peregrina como muy dominante en un sitio, la cual también es común en los bosques estacionales de los llanos orientales (RANGEL, 1997) y en bosques secos de Brasil y Bolivia (CAYOLA et al., 2005; KILLEEN et al., 1998; USLAR et al., 2004).
Cabe resaltar que varias especies del género Trichilia son dominantes en el área de estudio. Trichilia sobresalió en cuatro localidades muestreadas, coincidiendo con patrones observados en estudios previos; ya que son especies escasas biogeográficamente, pero donde se establecen se tornan abundantes como es el caso del bosque de Venadillo donde T. oligofoliolata y T. hirta dominan amplias zonas de bosque seco primario o altamente conservado (MENDOZA, 1999; MELO et al., s. f.); este género igualmente fue dominante en bosques de Bolivia (CAYOLA et al., 2005). MENDOZA (1999) destaca que dentro de los patrones encontrados de dominancia ecológica a partir del IVI es común encontrar pocas especies que dominan algunas áreas y con muchas especies con pocos individuos; lo cual fue la norma en este estudio y en bosques secos de Costa Rica (HUBBELL, 1979).
Distribuciones diamétricas
El valor mínimo registrado en DAP fue de 5 cm, correspondiente al criterio de medición establecido para el estudio; considerándose más apropiado para bosque seco, ya que el criterio más común usado en bosques tropicales es de 10 cm. Es oportuno contemplar que para estos bosques la categoría debe ampliarse para una mayor comprensión de la comunidad. El diámetro mayor de todo el muestreo fue de 105,9 cm registrado en Canalí, por un árbol de A. excelsum; el cual se ha reportado como árbol de gran porte en los bosques secos de Colombia (RANGEL, 1997). CAYOLA et al. (2005) reporta el 87 % de los árboles en la categoría de 10-40 cm, en Perú también fueron escasos los árboles con DAP superiores a 30 cm (GARCÍA, 2009); en Brasil se reporta la misma estructura diamétrica con la mayoría de los árboles en la clase menor de 5-10 cm (IMAÑA et al., 2011). El 58,7 % de los individuos del muestreo son menores a 9 cm de diámetro; lo cual es un patrón consistente en bosques secos de otras regiones tales como Brasil, Perú y Bolivia, en donde las poblaciones de muchas especies son abundantes en los estados juveniles (CAYOLA et al., 2005; GARCÍA, 2009; SALOMÃO et al., 2012).
Solo dos comunidades tuvieron una estructura diamétrica con tendencia a una curva normal (Figura 6, A, K), lo que representa comunidades relativamente coetáneas con alta dominancia y en proceso de sucesión después de intervenciones donde pocas especies se desarrollan en cantidad y tamaño similares tomando esta estructura diamétrica típica de bosques secundarios. El resto de comunidades mostraron una tendencia exponencial inversa o conocida como j invertida que es típica de bosques en proceso de sucesión temprana y donde los árboles de diámetro grande son escasos, tendencia reportada en otros bosques secos tropicales de Colombia (MELO & VARGAS, 2002) y de Brasil (IMAÑA et al., 2011).
El mayor DAP promedio fue de 13,9 cm y el menor de 8,25 cm, el mayor promedio de altura fue de 9,12 m y en la asociación Chaparral fue de 5,19 m; ese tipo de bosque es reportado como una asociación de porte medio a bajo (RANGEL, 1997); en Perú se destaca un promedio de altura que osciló entre 7-20 m y pocos árboles emergentes con 25 m (GARCÍA, 2009). Los coeficientes de variación reflejan una alta heterogeneidad de los datos registrados, lo que es común en comunidades muy intervenidas (MELO & VARGAS, 2002).
El área basal por hectárea de los bosques del sur del Tolima osciló entre 3,77 y 20,35 m2/ha; MENDOZA (1999) reporta un rango de 34-47 m2/ha para el norte del Tolima, pero con un muestreo de árboles superiores a 1 cm; esta región es conocida como una transición a bosque húmedo y con mayores áreas conservadas. Otros bosques secos de Bolivia reportan 27 m2/ha (USLAR et al., 2004) y 20 m2/Ha (CAYOLA et al., 2005); en Brasil el área basal de un bosque seco tropical osciló entre 28,70-29,14 m2/ha (IMAÑA et al., 2011). Generalmente los bosques secos tienen menos ocupación de rodal que los bosques húmedos, y no se encontró en los estudios reportados valores superiores a 47 m2/ha; esto hace importante entender estos rangos para generar estrategias de manejo sostenido, evaluación y monitoreo de restauración ecológica puesto que se encuentra una tendencia en los bosques secos a tener área basal baja comparados con bosques húmedos, situación que puede considerarse como un indicador de crecimiento en procesos de monitoreo de restauración de este tipo de bosque (SALOMÃO et al., 2012; YEPES et al., 2010).
CONCLUSIONES
Las coberturas vegetales se encuentran en estados sucesionales tempranos e intermedios donde predominan especies tales como G. ulmifolia, X. aromatica, C. americana, C. alliodora, T. chrysantha y P. spectanum. La presencia de especies tardías y emergentes como A. graveolens, Aspidosperma sp., Centrolobium sp., A. excelsum se encuentra restringida; encontrándose ejemplares de gran porte en áreas relativamente conservadas de carácter privado y de comunidades indígenas. El número de estratos o pisos sociológicos varió de tres a cinco; las mayores alturas de los árboles se registraron en la vereda Canalí con especies como O. pyramidale, A. excelsum, Ocotea sp., A. graveolens y S. mombin.
Las dos especies de mayor importancia ecológica dentro de la ecorregión fueron en su orden C. americana y T. chrysantha encontradas en los resguardos indígenas Santa Lucía y Anacarco; se destaca también A. excelsum de la vereda Canalí; estas áreas se presentan como áreas potenciales para ser conservadas.
El 82,61 % de los individuos muestreados poseen los menores diámetros comprendidos entre 5 y 13 cm, correspondientes a las dos primeras clases diamétricas con 2203 individuos; en general, los bosques se encuentran en un estado de transición a la recuperación estructural por presentar cantidades considerables de individuos en las clases intermedias.
Las asociaciones vegetales caracterizadas en la región sur del Tolima pueden ser tomadas como ecosistemas de referencia para restauración ecológica y contribuir a la selección de especies para diferentes tratamientos de restauración de acuerdo con las propiedades de cada especie y al grado de degradación del sitio a recuperar.




















