SciELO - Scientific Electronic Library Online

 
vol.14 issue2Effect of two cytokinin, ascorbic acid and sucrose to obtain in vitro shoots of sorghum for calli formationIn vitro culture response of Zamia incognita, an alternative for preservation author indexsubject indexarticles search
Home Pagealphabetic serial listing  

Services on Demand

Journal

Article

Indicators

Related links

  • On index processCited by Google
  • Have no similar articlesSimilars in SciELO
  • On index processSimilars in Google

Share


Revista Colombiana de Biotecnología

Print version ISSN 0123-3475

Rev. colomb. biotecnol vol.14 no.2 Bogotá jul./Dec. 2012

 

ARTÍCULO DE INVESTIGACIÓN

Desempeño de un reactor biológico secuencial (RBS) en el tratamiento de aguas residuales domésticas

Performance of a Sequencing Batch Reactor (SBR) in the treatment of domestic sewage

Carmen Cárdenas1 , Suher Carolina Yabroudi1 , Andreina Benítez1 , Katiuska Páez1 , Tomás Perruolo1 Nancy Angulo1 , Ismenia Araujo1 , Lenín Herrera1 .

1 Centro de Investigación del Agua, Facultad de Ingeniería, Universidad del Zulia, Apartado 526. Maracaibo, Edo. Zulia, Venezuela. E-mail: yabroudic@yahoo.com

Recibido: noviembre 11 de 2011 Aprobado: noviembre 29 de 2012


Resumen

Se estudió la remoción biológica de materia orgánica y nutrientes de un agua residual doméstica empleando un Reactor Biológico Secuencial (RBS) a escala piloto. El estudio fue dividido en cuatro fases en las que se modifico la carga orgánica y la duración de las etapas anaerobia, aerobia y anoxica que conforman cada ciclo de tratamiento, considerando edades de lodo de 10 y 7,5 días. Durante las Fases I y II se operó el sistema con bajos valores de carga másica: 0,364 y 0,220 kg.DQO/Kg.SSV.dia, mientras que durante las Fases III y IV se emplearon cargas mayores: 0,665 y 0,737 kg.DQO/Kg.SSV.dia respectivamente. Los resultados obtenidos muestran que las mayores eficiencias de remoción de materia orgánica en términos de DBO se alcanzaron durante la Fases III (91%) y IV (82%), con remoción de fósforo superior a 40%. En cuanto al proceso de nitrificación durante las Fases I y II se registraron tasas de 0,032 y 0,024 kg.N-NH3/kg.SSV.dia, esto debido al menor contenido de materia orgánica y a la baja relación DBO/NKT, mientras que durante las Fases III y IV estas fueron menores: 0,015 kg.N-NH3/kg.SSV.dia durante la Fase III y 0,020 kg.N-NH3/kg.SSV.dia en la Fase IV, sin embargo, fue en estas fases donde se alcanzaron los mayores niveles de desnitrificación durante la etapa anóxica, favorecido por una relación C/N adecuada, próxima de 4 kg.DBO/kg.N-NO3- y la presencia de un substrato de fácil biodegradación. Los resultados obtenidos muestran los RBS como una alternativa eficiente y viable en el tratamiento de aguas residuales domésticas.

Palabras clave: reactor biológico secuencial, nitrificación/desnitrificación, remoción biológica, edad de lodo.

Abstract

It was studied the biological removal of organic matter and nutrients from domestic wastewater using a Sequential Biological Reactor (SBR) at pilot scale. The study was divided into four phases in which the organic load and the duration of anaerobic, aerobic and anoxic cycle were modified, considering sludge ages of 10 and 7.5 days. During Phases I and II the system was operated with low mass load values: 0.364 and 0.220 kg.COD/kg.VSS.day, while during Phases III and IV were used heavier loads: 0.665 and 0.737 kg.COD/Kg.VSS.day respectively. The results obtained show that the removal efficiencies of organic matter in terms of BOD were achieved during Phase III (91%) and IV (82%) with phosphorus removal exceeding 40%. As for the nitrification process during Phases I and II showed rates of 0.032 and 0.024 kg.N-NH3/kg.VSS.day, this due to lower organic matter content and low BOD/TKN, while during phases III and IV these were lower: 0.015 kg.N-NH3/kg.VSS.day during Phase III and 0.020 kg.N-NH3/kg.VSS.day in Phase IV, however, was in these phases which reached the highest levels of denitrification during the anoxic phase, favored by a C/N appropriate next of 4 kg.BOD/kg.N-NO3- and the presence of an easily biodegradable substrate. The results show the RBS as an efficient and viable process in the treatment of domestic wastewater.

Key words: sequential biological reactor, nitrification/denitrification, biological removal, sludge age.


Introducción

La presencia de nutrientes en aguas residuales domésticas (ARD) puede constituir un problema no siempre de fácil solución. En términos generales la mayor parte de los componentes presentes en una ARD son materia orgánica e inorgánica, nutrientes y microorganismos; con relación a los nutrientes nitrógeno y fósforo, se destaca el problema de la eutrofización que puede causar daños al cuerpo receptor, pudiéndose enumerar: problemas estéticos y recreacionales, condiciones anaeróbicas en el fondo, eventual mortalidad de peces, mayor dificultad y elevación de los costos de tratamiento de aguas de consumo, problemas con el abastecimiento de aguas industriales, modificaciones en la calidad y cantidad de peces de valor comercial, reducción en la navegación y capacidad de transporte, consumo de oxígeno disuelto, entre otros. En función de esto se hace necesario que sean investigadas tecnologías de acondicionamiento de aguas residuales, económicas y sustentables, que a diferencia de las estaciones de tratamiento convencionales centradas solo en la eliminación de materia orgánica y organismos patógenos incluyan la remoción de nutrientes. Por lo tanto, la atención en los últimos años se ha enfocado hacia el desarrollo de sistemas de depuración más efectivos, siendo en la práctica incluidos procesos terciarios a las estaciones de tratamiento y/o implementación de procesos continuos con eliminación de carga orgánica y nutrientes. Como una alternativa a estos sistemas de tipo continuo se han utilizado sistemas de tratamiento biológico de lodos activados de flujo discontinuo, donde las fases de reacción y decantación se realizan en un solo tanque llamado Reactor Biológico Secuencial (RBS), eliminando de esta forma la necesidad de decantadores y de instalaciones de recirculación de lodo. En un RBS las fases de tratamiento del agua residual se producen a lo largo de un período de tiempo definido llamado ciclo, que una vez finalizado se vuelve a repetir de manera sistemática. Cada ciclo comprende una serie de fases que se suceden en el tiempo, según las características del tratamiento. Entre las ventajas que proporcionan los RBS se destacan: flexibilidad para adaptarse a las características del agua residual afluente, como las fluctuaciones de caudal, permitiendo ajustar la duración de los ciclos; reducción de los costos en relación a procesos continuos, ocupan poco espacio físico y posibilidad de remoción conjunta de materia orgánica y nutrientes en un único ciclo de operación. Teniendo en cuenta lo expuesto se desarrollo esta investigación con el objetivo de estudiar la aplicabilidad de un RBS en la eliminación de nutrientes y materia orgánica de un agua residual doméstica, determinando la influencia de la variación del tiempo de duración de las fases que conforman los ciclos de tratamiento y de la edad de lodo en dichos procesos [Howartz, 2004; Lee, 1997; Moreira et al., 2002; Morgenroth y Wilderer, 1998; PROSAB, 2009; Randall, 2004; Sheker et al., 1993; Van Haandel y Marais, 1999; Van Loosdrecht y Jetten, 1998; Von Sperling, 2002].

Materiales y métodos

Para la elaboración de esta investigación se empleó un RBS a escala piloto para tratar agua residual doméstica proveniente de la zona norte de la ciudad de Maracaibo, Estado Zulia (Venezuela). El sistema de tratamiento mostrado en la Figura 1, se encontraba conformado por un tanque reactor en forma cilíndrica de 72 cm. de altura, diámetro variable y capacidad de 120 litros; arreglo de válvulas de compuerta dispuestas a diferentes alturas del tanque reactor con la finalidad de descargar el agua tratada; tres bombas de dos salidas con sus respectivos difusores para el suministro de oxígeno en la etapa de aeración; mezclador de acero con eje de rotación de 50 cm. provisto de una hélice de dos hojas de aluminio y conectado a un motor de 40-45 rpm.

El lodo utilizado para dar partida al sistema fue obtenido de una estación de tratamiento de aguas residuales domésticas ubicada en el Municipio Miranda de la Costa Oriental del Lago de Maracaibo (Venezuela), el cual se aclimató a las condiciones del sistema estudiado a través de ciclos continuos de carga y descarga de agua residual al reactor conformado por etapas de aireación, mezclado, reposo y purga, con el propósito de estabilizar y aclimatar el lodo, este período se prolongo por un mes considerándose completamente adaptada la biomasa cuando se logró mantener la concentración de los sólidos suspendidos volátiles (SSV) en aproximadamente 2000 mg/l, para un volumen de licor mixto de 100 litros. En cuanto al proceso de tratamiento en el RBS estuvo constituido por las etapas de: llenado o alimentación, anaerobia, aerobia, anóxica, sedimentación y vaciado (figura 1). El estudio fue dividido en cuatro fases en las que se modificó la carga orgánica y la duración de las etapas anaerobia, aerobia y anoxica, con el objetivo de evaluar la eficiencia del sistema en la remoción de materia orgánica y nutrientes considerando edades de lodo de 10 y 7,5 días. Durante las Fases I y II se operó el sistema con bajos valores de carga másica, de 0,364 y 0,220 kg.DQO/kg.SSV.dia, mientras que durante las Fases III y IV se emplearon cargas mayores, de 0,665 y 0,737 kg.DQO/kg.SSV.dia respectivamente. En la Tabla 1 se describe la duración de estas etapas y el número de ciclos de tratamiento para cada una de las fases consideradas. Los análisis para la caracterización del agua residual y durante las distintas etapas del proceso tratamiento descritos en la Tabla 2 se realizaron de acuerdo a la metodología descrita por el Standard Methods of Water and Wastewater [APHA, AWWA, WEF, 2005].

Resultados y Discusión

La eliminación combinada de nitrógeno y fósforo en un RBS requiere una secuencia de tratamiento específica con el objetivo de llevar a cabo la eliminación de carbono, nitrificación, desnitrificación, liberación anaerobia de fósforo y la asimilación en exceso de fósforo durante la fase aeróbica, por tal motivo el estudio fue dividido en cuatro fases en los que la temperatura promedio del líquido contenido en el reactor durante los ciclos de tratamiento se mantuvo entre 27 y 29ºC, encontrándose dentro de los valores recomendados según Metcalf y Eddy (2003) para el desenvolvimiento de la actividad biológica, la cual se incrementa a medida que aumenta la temperatura del sistema, especialmente en lo que respecta a las bacterias nitrificantes, que son las más sensibles a las posibles variaciones de este parámetro. Comparando las concentraciones de SST en el agua residual bruta alimentada al sistema y los valores del sobrenadante tratado después de pasar por las reacciones que conforman cada etapa del tratamiento, los rendimientos de eliminación oscilaron entre 66 y 90%. [Kaudel y Dichtl, 2000; Metcalf y Eddy, 2003; Pacheco y Arruda, 2005].

En cuanto a la concentración de SSV, considerado parámetro representativo del contenido de biomasa en el sistema, durante el periodo experimental varió entre 1770 y 2074 mg/l, encontrándose dentro del intervalo de valores típicos indicados para mantener una masa microbiana que garantice la eficiencia del tratamiento biológico, mientras más elevados sean los valores de SSV mayor será el rendimiento del sistema, sin embargo es importante considerar que el volumen de sólidos no puede ser muy alto ya que podría presentarse problemas en las propiedades de decantabilidad del lodo.

Durante las fases de trabajo se registraron grandes variaciones en la carga orgánica alimentada al sistema, donde los rendimientos de eliminación de DQO para las Fases I y II fueron de 61 y 49% respectivamente, y de 80% en las Fases III y IV. Los valores afluentes al reactor se ubicaron entre 162 y 575 mg/l, con una media de 351 mg/l, registrando un aumento progresivo en las distintas fases, evidenciando cambios en las características del agua residual alimentada al sistema; en el efluente tratado la DQO vario de 80 a 102 mg/l. La media de la concentración de materia orgánica en términos de DBO se ubicó entre 54 y 228 mg/l para el afluente y en 12 y 37 mg/l para el efluente, demostrando una buena remoción de carbono para las condiciones impuestas y un incremento de la eficiencia cuando las relaciones Alimento/Microorganismo (A/M) de 0,084 y 0,073 kg.DBO/kg.SSV.dia de las Fases I y II se elevaron a valores de 0,264 y 0,276 kg.DBO/kg.SSV.dia durante las Fases III y IV, lo que representa mayor disponibilidad de substrato fácilmente biodegradable para los microorganismos y por lo tanto mayores porcentajes de remoción de materia orgánica. En la Tabla 3 se indican los valores de DBO y DQO registrados para las diferentes condiciones analizadas. Estos resultados muestran que a pesar de los cambios en las características del agua residual, el RBS mostró estabilidad en cuanto a la remoción de carbono, demostrando ser un tratamiento versátil y capaz de adaptarse a las fluctuaciones de materia orgánica del agua residual doméstica [Eckenfelder, 1992; EPA, 1992; EPA, 1999; Fikret y Ahmet, 2002; Metcalf y Eddy, 2003; Pierson y Pavlostathis, 2000; Romero, 2002].

La evaluación de la remoción biológica de fósforo se resume en dos etapas: anaeróbica y aeróbica, donde los mayores porcentajes de remoción se obtuvieron durante las Fases III y IV en las que se registraron las mayores relaciones de carga orgánica (Tabla 4), este comportamiento se explica en el hecho de que durante la etapa anaerobia de los ciclos de tratamiento, en ausencia de oxígeno y nitratos y en presencia de altas concentraciones de substrato fácilmente degradable como las presentes en estas fases, son creadas condiciones en que las BAF (bacterias acumuladoras de fósforo) utilizaron el fosfato almacenado en su metabolismo para adquirir energía (Adenosin Trifosfato, ATP) necesaria para degradar el substrato disponible. Según Van Haandel y Marais (1999) la utilización del fosfato es hecha a través de la quiebra de las ligaciones de ATP para luego darse la absorción del substrato (principalmente ácidos grasos volátiles), como resultado la concentración de fósforo soluble en el medio líquido aumento al finalizar la etapa anaerobia, siendo el substrato adsorbido, almacenado en el interior de las células bacterianas hasta que fue utilizado en la próxima etapa aerobia, donde las bacterias oxidaron la materia orgánica almacenada bajo la forma de poli-hidroxi-butirato (PHB), en paralelo, las mismas bacterias reconstruyen el ATP removiendo entonces el fósforo soluble del agua residual, siendo el factor más importante durante la etapa aerobia que las bacterias lograron almacenar 44% de fosfato durante la Fase III y 42% en la Fase IV, siendo estos valores superiores a los porcentajes de 17% y 24% de fosfato liberados durante la etapa anaerobia de las Fases I y II respectivamente, haciéndose efectiva la remoción de fósforo del sistema a través del descarte de lodo, por tal motivo durante la Fase III en la que se trabajó con una edad de lodo menor (7,5 días) fue levemente superior la remoción (44%) en comparación con la Fase IV (42%) ya que se requirió extraer mas lodo del reactor. Mientras que durante las Fases I y II la remoción fue solo de 17 y 19%, debido a la baja relación A/M empleada, disminuyendo la concentración de AGV y por ende la liberación de fósforo durante la etapa anaerobia, en consecuencia la disponibilidad de energía fue menor durante la etapa aeróbica, afectando la asimilación de fósforo, por lo que la baja disponibilidad de substrato fácilmente biodegradable alteró la cinética de las BAF, haciendo suponer que la leve remoción registrada en estas fases se debe al fosfato asimilado para crecimiento de biomasa [Bolzonella et al., 2006; EPA, 1987; Rim, et al., 1997; Romero, 2002].

Con respecto a la remoción biológica de nitrógeno, esta fue estudiada a través de los mecanismos de nitrificación y desnitrificación. Durante la etapa aerobia de los ciclos de tratamiento se evaluó la Nitrificación o transformación del nitrógeno (N-NH3 y NTK) a N-NO2- y N-NO3- manteniendo la concentración de oxígeno disuelto en el reactor entre 2,5 y 4 mg/l y variando la duración de esta etapa para las diferentes Fases (7,5 horas durante la Fase I y 5 horas para las Fases II, III y IV). Los resultados presentados en la Figura 2 y en la Tabla 5 muestran que los mayores rendimientos de eliminación del NKT y N-NH3 durante el estudio se alcanzaron durante las Fases I y II con tasas de nitrificación específicas de 0,032 y 0,024 kg.N-NH3/kg.SSV.dia respectivamente, mientras que durante las Fases III y IV estas tasas fueron menores, de 0,015 kg.N-NH3/kg.SSV.dia durante la Fase III y 0,020 kg.N-NH3/kg.SSV.dia en la Fase IV, por lo que se logró una mayor nitrificación en los ciclos con bajo contenido de materia orgánica y por ende con una baja relación DBO/NKT que en promedio fue de 1,9 en las Fases I y II, esto promovió el crecimiento de las bacterias nitrificantes, aumentando la eficiencia del proceso de nitrificación, otro aspecto favorable fue la edad del lodo, que en el caso de las Fase I y II fue de 10 días, lo que incidió en el establecimiento de la población de bacterias nitrificantes. En el caso de las Fases III y IV la relación DBO/NKT fue mayor a 6, lo que apunta hacia un exceso de materia orgánica al iniciar la etapa aerobia, lo que favoreció la actividad de los microorganismos heterótrofos, produciéndose un crecimiento elevado de estos en detrimento de los autótrofos (nitrificantes), disminuyendo la eficiencia del proceso de nitrificación, por lo que puede considerarse que durante estas fases se dio una combinación de procesos de oxidación de carbono y de nitrificación, por lo que la velocidad de nitrificación fue menor en comparación con las Fases I y II [Demoulin et al., 1997; EPA, 1993; Fikret y Ahmet, 2002; Metcalf y Eddy, 2003; Pacheco y Arruda, 2005; PROSAB, 2009; Rim, et al., 1997].

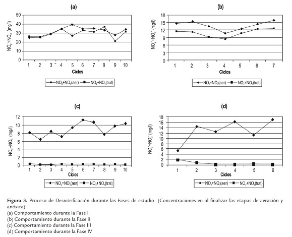
La eliminación de nitrógeno continúo durante la etapa anoxica a través del proceso de Desnitrificación. En la Tabla 6 se registran los valores promedios y porcentajes de remoción de nitratos obtenidos para cada fase de tratamiento, donde los mayores niveles de desnitrificación se alcanzaron durante las Fases III y IV, esto se debe, a que al inicio de la etapa anóxica la relación Carbono/Nitrógeno (C/N) era adecuada, próxima de 4 Kg.DBO/kg.N-NO3- y la disponibilidad de una fuente de carbono fácilmente biodegradable debido a la alta carga orgánica empleada durante estas fases, permitió un proceso de desnitrificación eficiente, con tasas específicas de 0,004 kg.N-NO3-/kg.SSV.dia para la Fase III y 0,006 kg.N-NO3-/kg.SSV.dia en la Fase IV. Durante las Fases I y II el proceso de desnitrificación fue poco eficiente debido a la poca disponibilidad de un substrato orgánica de fácil biodegradación, lo cual se refleja en la baja relación C/N (1,02 y 1,03 kg.DBO/kg.N-NO3-), por lo tanto, los pequeños porcentajes de desnitrificación alcanzados se deben a una desnitrificación post-anóxica producida a expensas de las reservas celulares de los organismos heterótrofos desnitrificantes al final de la etapa de reacción, mediante respiración endógena. Por otra parte, analizando la relación (SSV/SST) durante las Fases I y II, el cual refleja el grado de mineralización del lodo, fluctuó entre 65-67%, mostrando un predominio de la respiración endógena, un crecimiento celular lento y por lo tanto una menor producción de biomasa, a pesar de que se trabajó con edades de lodo bajas. En la Figura 3 se puede apreciar el comportamiento del proceso de desnitrificación durante las fases que conformaron la investigación [Ciggin et al., 2007; Dionisi et al., 2008; EPA, 1993; Mokhayeri et al., 2008; PROSAB, 2009].

En la Tabla 7 se realiza una comparación de los valores promedios alcanzados al finalizar cada fase de tratamiento con los límites establecidos por la normativa legal a través de las Normas de Clasificación y Control de Calidad de los Cuerpos de Agua y Vertidos o Efluentes Líquidos (Decreto 883), se puede apreciar que todos los parámetros, a excepción de los nitratos más nitritos para las Fases I y II, cumplen con dicha normativa, lo que demuestra que el reactor biológico secuencial (RBS) fue eficiente en el tratamiento del aguas residuales domésticas y mostro su adaptabilidad a los cambios en las características del agua a tratar.

Conclusiones

El RBS empleado en la investigación presentó aplicabilidad en el tratamiento aguas residuales domésticas, adaptándose a las distintas cargas orgánicas empleadas y variación de las etapas de operación, siendo las Fases III y IV donde se alcanzaron las máximas remociones de materia orgánica aún cuando la etapa aerobia se redujo a 5 horas y la carga orgánica era alta. Se demostró que la edad de lodo es un factor importante en la eliminación biológica de fósforo y en los procesos de nitrificación biológica; mientras que para el proceso de desnitrificación, la duración de la etapa anóxica y la disponibilidad de materia orgánica para las bacterias desnitrificantes, es un factor determinante, aspecto demostrado en los porcentajes de remoción alcanzados durante las Fases III y IV. Finalmente, las eficiencias alcanzadas en la remoción de materia orgánica y nutrientes, demuestran la ventaja de trabajar con ciclos de corta duración (10 horas), lo que permite tratar mayor volumen de agua, obteniéndose un efluente que cumple, para cada uno de los parámetros evaluados, con la actual normativa venezolana de la descargas a cuerpos de agua.

Referencias bibliográficas

1 APHA (2005) Standard Methods for Examination of Water and Wastewater. 21 ed. APHAAWWA- WEF. Nueva York, EEUU. 1325 pp.         [ Links ]

2 Bolzonella D, Pavan P, Battistoni P, Cecchi F (2006) Anaerobic co-digestion of sludge with other organic wastes and phosphorus reclamation in wastewater treatment plants for biological nutrients removal. Water Science and Technology. 53(12):177-186.         [ Links ]

3 Ciggin AS, karahan O, Orhon D (2007) Effect of biochemical storage on the denitrification potential of acetate in sequencing batch reactors. Water Science and Technology. 55(10):261-268.         [ Links ]

4 Demoulin G, Goronszy M, Wutscher K, Forsthuber E (1997) Co-current nitrification/denitrification and biological p-removal in cyclic activated sludge plants by redox controlled cycle operation. Water Science and Technology. 35(1):215-224.         [ Links ]

5 Dionisi D, Majone M, Bellani A, Cruz Viggi C, Beccari M (2008) Role of biomass adaptation in the removal of formic acid in sequencing batch reactors. Water Science and Technology. 58(2):303-307.         [ Links ]

6 Eckenfelder WW, Grau P (1992) Activated Sludge. Process Design and Control. Theory and Practice. Technomic. Lancaster, PA, EEUU. 268 pp.         [ Links ]

7 EPA (1987) Phosphorus Removal. Design Manual. EPA/625/1-87/001. United States Environmental Protection Agency. Washington D.C., EEUU.         [ Links ]

8 EPA (1992) Wastewater Treatment/Disposal for Small Communities. EPA/625/R-92/005. United States Environmental Protection Agency. Washington D.C., EEUU.         [ Links ]

9 EPA (1993) Nitrogen Control Manual. EPA/625/R-93/010. United States Environmental Protection Agency. Washington D.C., EEUU.         [ Links ]

10 EPA (1999). Wastewater Technology Fact Sheet. Sequencing Batch Reactors. EPA/832-F-99-073. United States Environmental Protection Agency. Washington D.C., EEUU.         [ Links ]

11 Fikret K, Ahmet U (2002) Nutrient removal performance of a sequencing batch reactor as a function of the sludge age. Enzyme and Microbial Technology. 31(6):842-847.         [ Links ]

12 Howartz RW (2004) Human accelaration of the nitrogen cycle: drivers, consequences and steps toward solutions. Water Science and Technology. 49(5-6): 7-13        [ Links ]

13 Keudel LO, Dichtl N (2000) Settling Characteristics of activated sludge in sequencing batch reactors obtained from full-scale experiments. 2nd International Syposium on Sequencing Batch Reactor Technology. Narbone 10-12 de Julio 2000.         [ Links ]

14 Lee S.E (1997) Comparison of phophorus removal characteristics between various biological-nutrient removal processes. Water Science and Technology. 36(12):61-68.         [ Links ]

15 Metcalf y Eddy (2003) Wastewater Engineering Tratment and Reuse. 4ª ed. Editorial McGraw Hill. NY, EEUU. 1819 pp.         [ Links ]

16 Moreira MP, Yamakawa CS, Alegre R (2002) Adição de fonte de carbono no início da fase anóxica na remoção de macronutrientes e DQO por lodo ativado usando RBS no tratamento de água residuária avícola. Engenharia Sanitária e Ambiental. 7(1):16-20        [ Links ]

17 Morgenroth E, Wilderer P (1998) Sequencing batch reactor technology: concepts, design and experiences. Journal of the Chartered Institution of Water and Environmental Management. 12(5):314-321.         [ Links ]

18 Mokhayeri Y, Riffat R, Takacs I, Dold P, Bott C, Hinojosa J, Bailey W, Murthy S (2008) Characterizing denitrification kinetics at cold temperature using various carbon sources in lab-scale sequencing batch reactors. Water Science and Technology. 58(1):233-238.         [ Links ]

19 Normas para la Clasificación y Control de la Calidad de los Cuerpos de Agua y Vertidos o Efluentes Líquidos (1995). Gaceta Oficial de la República de Venezuela (No. 5.021, Decreto 883).         [ Links ]

20 Pacheco Jordão E, Arruda Pessôa C (2005) Tratamento de esgoto doméstico. 4a ed. ABES. Rio de Janeiro, Brasil. 932 pp.         [ Links ]

21 Pierson J, Pavlostathis S (2000) Real-time monitoring and control of sequencing batch reactors for a poultry processing wastewater. Water Environment Research. 34(7): 2160-2170.         [ Links ]

22 PROSAB (2009) Nutrientes de esgoto doméstico: utilização e remoção. Programa em Saneamento Básico. ABES. Fortaleza. Brasil. 425 pp.         [ Links ]

23 Randall CW (2004) The environmental economic and societal consequences of inadequate nitrogen pollution controls. Water Science and Technology. 49(5-6):23-33pp         [ Links ]

24 Rim YT, Yang HJ, Yoon CH, Kim YS, Seo JB, Ryu JK, Shin ES (1997) A full-scale test of a biological nutrients removal system using the sequencing batch reactor activated sludge process. Water Science and Technology. 35(1):241-247.         [ Links ]

25 Romero J (2002) Tratamiento de Aguas Residuales, Teoría y Principios de Diseño. Escuela Colombiana de Ingenieros. Bogotá D.C. 1244 p.         [ Links ]

26 Sheker R, Aris R y Shieh W (1993) The Effects of fill strategies on SBR performance under nitrogen deficiency and rich conditions. Water Science and Technology. 28(10):259-266.         [ Links ]

27 Van Haandel A, Marais G (1999) O comportamento do Sistema de Lodo Ativado-Teoria e Aplicações para Projeto e Operação. Epgraf. Paraiba, Brasil. 488 pp.         [ Links ]

28 Van Loosdrecht M, Jetten M (1998) Microbiological Conversions in Nitrogen Removal. Water Science and Technology. 38(1):1-7.         [ Links ]

29 Von Sperling M (2002) Princípios do Tratamento Biológico de Águas Residuárias: Lodos Ativados. 2ª ed. DESA, UFMG. Belo Horizonte, Brasil. 427 pp.         [ Links ]