Introduction
The selection of adequate food matrices to incorporate probiotics is an important factor that must be considered in the development of probiotic food (Ranadheera et al. 2010). It has been reported that the best matrices for probiotic bacteria are fermented dairy products (Rivera and Gallardo, 2010). However, there has been a growing demand for non-dairy probiotic products, and therefore, probiotics are being incorporated into solid and liquid matrices and being sold as tablets, capsulesand freeze-dried (lyophilized) products (Ranadheera et al. 2010; Rivera and Gallardo, 2010).
The viability of the microorganism within the food matrix and its functional activity must also be taken into account in the design of these new products (Jankovic et al. 2010; Da Silva, 2011). The incorporation of pro-biotic microorganisms into a dry food matrix would have many advantages compared to liquid matrices (Ouwehand et al. 2004). However, for the solid probiotic matrix to have beneficial effects on human health, it is necessary to ensure that the bacteria re main alive during storage of the product and that once consumed, the probiotic microorganisms resist their passage through the gastrointestinal system (Burgain et al. 2011).
An alternative to increase the effectiveness of probiotic products is to incorporate them into food matrices that provide protection (Possemiers et al. 2010). Develop ments have been shown in the incorporation of probiotics into matrices based on chocolate products such as mousse, cake and bars (Aragon et al. 2007; Malmo et al. 2011; Possemiers et al. 2010), demonstrating that chocolate is a good vehicle for the incorporation of probiotics because of its fat and carbohydrate content. One of the chocolate substitutes is chocolate coating and one of its most common forms is the chocolate chip, which is used in the preparation of cookies, ice cream and cold cakes, thus making it innovative to use this matrix as a vehicle.
Weisella confusa is a lactic acid bacterium that is currently considered to have probiotic potential because it presents antimicrobial activity against different pathogenic microorganisms (Nam et al. 2002; Serna et al. 2010; Ayeni et al. 2011; Lee et al. 2012). Similarly, it has been found that aloe vera is a promising wall material to encapsulate this lactic bacterium (Serna et al. 2012). Therefore, the objective of this work was to evaluate changes in the viability of the probiotic microorganism during storage and changes in the water activity of probiotic chips prepared with a chocolate coating and with the Weissella confusa lactic acid bacterium encapsulated in different wall materials. Additionally, it had the objective of establishing the resistance of the probiotic microorganism under simulated conditions of intestinal juices.
Materials and Methods
Probiotic Bacteria
A cryopreserved strain of the Weissella confusa lactic acid bacterium was used, which was isolated in previous studies by Serna et al. (2010). To obtain the necessary amount of bacteria, discontinuous fermentation was carried out using MRS broth (Scharlau, Spain) (De Man et al. 1960) to which 40 gL1 of glucose was added as a source of carbon. The substrate was inoculated with 10% of previously inoculated broth according to the volume of the substrate. Four fermentations were carried out in a 1000 ml Erlenmeyer flask, which was ellipsoidally agitated at 100 rpm, for 6 hours at 37 °C (Incubating Orbital Shaker model 5000I, USA). After the fermentation time had passed, the bacteria were separated, centrifuging the fermented material to 4480 x g (Eppendorf AG, Germany). The supernatant was discarded and the precipitate was washed with 5 ml of NaCl at 0.9% and it was centrifuged for 5 minutes at 4480 x g. The precipitate was washed again with 10 ml of sterile distilled water, it was centrifuged for 5 minutes at 4480 x g and the supernatant was discarded. Later, the probiotic bacteria were encapsulated.
Encapsulation of Probiotic Bacteria
Aloe vera (Aloe barbadensis Miller) gel and commercial starch (Industrias del maiz AMISOL 2143, Colombia) were used in two concentrations, 10% and 15%, as en capsulation materials (better encapsulation results not documented). The aloe vera gel was subjected to thermal treatment at 65 °C for 15 minutes in a thermostatic bath (Julabo 13A, Germany), and it was refrigerated at 4 °C. The starch with 10% and 15% concentrations was used in combination with aloe in the proportion of 1:1. The probiotic bacteria obtained by fermentation at a concentration of 1011 CFU/g was mixed at a ratio of 1:4 with the encapsulation materials. AV treatment was appointed to the bacteria encapsulated in aloe vera, encapsulated in aloe vera + starch with 10% con centration (AA10%) and encapsulated in aloe vera + starch at 15% (AA15%). Later, the encapsulated bacteria were lyophilized (Eyela FDU 1100, Japan) (freezing at -20 °C, vacuum pressure of 2 Pa, temperature in the condenser at -60 °C, and drying temperature at 25 °C). As a control treatment, a non-encapsulated probiotic bacterium (W. confusa) was used, diluted in sterile dis tilled water (CL). The CL control was lyophilized in the same conditions as described above.
Preparation and Storage of Probiotic Chocolate Chip Coating
Dark chocolate coating was used (Nacional de Chocolates, Colombia) with a fat content of 37 g / 100 g . The chocolate coating was melted at 48 °C and it was tempered at 30 °C. Later, the AV, AA10, AA15 and CL treatments were added to the melted chocolate coating and they were manually standardized. The mixture was poured into PET (caliber 15) models for chips with a diameter of 6 mm. The chips solidified at a temperature of 4 °C, they were taken out of the molds and packed in polyamide bags, covered with low-density polyethylene with a permeability of 4.4 - 4.9 g/m2/h/ atm. The probiotic chips were refrigerated at 4 °C. The temperature of 4 °C was selected because the chips are widely used for the manufacturing of products in eluding refrigerated cakes and desserts, as well as ice cream.
Determining the Viability of Probiotic Bacteria
The viability of the probiotic bacteria was measured immediately after the lyophilization process, and the chips every week during storage (5 weeks).
To establish the number of live bacteria in each treatment, 1 g of chips of each treatment (or 1 g of the control treatment) and 9 ml of peptone water at 0.1% previously cooled to 48 °C were taken in dilution flasks and they were shaken for 1 minute in a vortex mixer (Heidolph Reax control, Germany) to release the bacteria from their encapsulation material. Later, decimal dilutions were carried out using 0.1% peptone water, the samples were deeply planted in MRS agar and they were counted after 48 hours of incubation at 37 °C. The boxes were counted, which contained 30 to 300 colonies, and the count of live cells was expressed in CFU g-1.
The viability of the microorganisms was established with Equation 1:
Where, for encapsulation: N0 is the number of live bacteria per gram before the encapsulation process, and N is the number of live bacteria per gram after the encapsulation process.
For lyophilization, N0 is the number of live bacteria per gram after encapsulation and N is the number of live bacteria per gram after lyophilization.
For storage: N0 is the count of live bacteria at the time the probiotic chips are prepared, and N: is the number of live bacteria per gram at each week of storage.
Water Activity (a w )
The water activity of the probiotic chips was measured during storage using a water activity meter (Agualab Model Series 3 TE, USA) at a temperature of 25 °C.
Resistance of Probiotic Bacteria to Simulated Intestinal Juices
The greatest component in the chocolate chips' nutrients is vegetable fat. The process of fat absorption is mainly carried out in the small intestine where the bile and pancreatic lipase intervene, both with an alkaline pH (Cueto and Aragón, 2012). Therefore, after five weeks of storage, the different treatments were subjected to simulated environments of intestinal juices using the modified methodology of Malmo et al. (2011). The intestinal juices (IJ) were prepared with bile salts 4.5% (w/v) (Sharlau, Barcelona, Spain) and adjusted to pH 8.0 with sterile NaOH 0.1 mol/L. The solution was sterilized by filtration using a membrane of 0.22 μm. The probiotic chips were softened and 0.5 g of chips were added to 45 ml of the IJ solution, they were taken to ellipsoidal agitation (80 rpm) in a shaker (Incubating Orbital Shaker, VWR, Radnor, Pennsylvania, USA) for 2 hours at 37 °C. The viability of the probiotic bacteria was measured when chips were mixed with the IJ and at 2 hours. The viability was measured in the same way as described above.
Experimental Design
To evaluate the effect of the encapsulation materials on the viability of the probiotic and the product's water activity during the probiotic chips' storage, a one-factor design was used with repeated measures. As a factor, encapsulation material with three levels (AV, AA10% and AA15%) was used for the probiotic bacteria. The response variables were the water activity and the vi ability percentage of the probiotic. The response variables were measured at 6 times (0, 1, 2, 3, 4 and 5 weeks of storage). A Tukey test was carried out for differences between the means with a significance level of p < 0.05 and the data were analyzed using the SAS software, version 9.3. Additionally, the viability of the probiotic was measured after lyophilization in the three treatments, AV, AA10% and AA15%, and after each treatment, it was subjected to two hours of intestinal juices.
Results and Discussion
Viability of the Probiotic Bacteria after Lyophilization in the AV, AA10% and AA15% Treatments
The AV treatment presented the greatest percentage of live probiotic bacteria after the lyophilization process (Table 1). These results coincide with those reported by Abadias et al. (2001), who assessed the vi ability of Candida sake when covering it with different protective materials during lyophilization, obtaining a viability of 0.2% when a 1% concentration of glucose and fructose was used and a viability of 1% when a 1% solution of galactose was used.
Table 1 Viability percentage of the probiotic (W. confusa) after the lyophilization process and initial count of the probiotic once it has been incorporated into the chocolate.
An explanation for the drastic reduction in viability during lyophilization can be attributed to the formation of ice crystals in the freezing process, which damage the cell membrane of the bacteria (Homayouni et al. 2008). Added to this is the low solubility of starch and the possible nucleation and separation of phases (crystallization) of the two aloe vera sugars (Pehkonen et al. 2007), because the crystallization of sugar deactivates the interaction between the sugar and the cell structures; an interaction which provides additional protection to the cells (Crowe et al. 1998 cited by Foerst et al. 2011 ).
Viability of Probiotic Bacteria in Chocolate Coated Chips during Storage
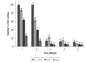
Significant differences (p < 0.0001) arose between treatments in the first week (Figure 1). The CL treatment presented the greatest viability, followed by the AV, AA15 and AA10 treatments.
The uppercase letters indicate significant differences (p < 0.0001) for the same treatment during the assessed period. The lowercase letters indicate significant differences (p < 0.0001) between different treatments in the same week.
The behavior of CL in the first and second weeks of storage indicates that the chocolate coating is a food matrix that alone provides initial protection to the cells (Nebesny et al. 2007; Aragon et al. 2007). However, at the third week of storage, CL presented a drastic drop in viability. This behavior could be explained by the fat present in the chocolate coating (37 g / 100 g) pro viding protection to the probiotic bacteria, preventing the cells from being exposed to water (present in the chocolate coating and in the space at the top of the packaging) and preventing stress factors such as those produced by the H+ ions (Lahtinen et al. 2007). However, it is possible that as the storage time passes, the layers of fat in the matrix form cracks through which wa ter can directly migrate (Weinbreck et al. 2010). Other causes attributable to the decrease in the probiotic's viability may be the reactions to the deterioration of the chocolate coating, such as the oxidation of phytosterols, which may generate several kinds of hydroxyl, epoxy and keto and derivatives of triol (Botelho et al. 2014), which have antimicrobial activity (Brudzynski, 2006). Additionally, chocolate substitutes, such as the chocolate coating, contain polyphenols which come from cacao and have antimicrobial effects (Possemiers et al. 2010), with the consequent loss of viability.
Figure 2 presents the cell count during 5 weeks of stor age. For all the treatments, the final cell concentration was within the range in which food is considered to be probiotic (106 - 1 07 CFU/g) (Krasaekoopt et al. 2003), recommended concentrations for the consumption of probiotic foods (FAO/WHO, 2001). The products that contain probiotics must be kept refrigerated to maintain high viability. The expiry period for these products, whether for a juice or bar, is shorter than for products without probiotics (Christopher et al. 2009).

Figure 2 Count of W. confusa in the different treatments assessed during five weeks of storage at 4 °C.
The chips were packed in packaging with high permeability to water vapor (4.4 - 4.9 g/m2/h/atm), and there fore, they presented a substantial increase in aw during the five weeks of storage (Figure 3) with an average of 0.6 to 0.8. This may be explained by a phenomenon that occurs in chocolate called crystallization (also known as "Bloom"), where water is released and water activity could increase (Vercet, 2003). This increase in water activity could affect the texture of the chip. Katz and Labuza (1981) show that an increase in water activity from 0.4 to 0.45 could induce a loss of hardness in products with a low humidity content, as well as the proliferation of mold or yeast, which directly influences the deterioration of the food (Beuchat, 2002).

Figure 3 Water activity of chocolate coated chips during storage at 4 °C in polyamide packaging with permeability of 4.4 - 4 g/m2/h/atm.
One of the important criteria for the selection of a pro-biotic is its capacity to survive stress conditions caused by a low or high pH (Cook et al. 2012); like in the case of the gastrointestinal tract. The number of probiotic microorganisms that managed to survive in the chocolate chips after five weeks of storage and after being subject to 2 hours in a simulated system of intestinal juices (pH 8.0) are presented in Table 2. All of the treatments showed tolerance to the bile salts with reductions equal to or lower than 1 logarithmic unit. This same behavior was presented in the results of Lee et al. (2012), who showed a reduction of 1 logarithmic unit (5.6x1010 to 7.2x109 CFU/g) when evaluating the same microorganism (W. confusa) in the same conditions of this study. The concentration used in this study (0.3% bile salts) is considered to be a critical concentration used for the selection of resistant strains (Gilliland et al. 1984). It is known that fats are hydrophobic molecules that need the activity of bile salts for their absorption, because the bile salts present a hydrophobic region that interacts with the fat globules, and a hydrophilic region which is orientated toward the watery environment, allowing enzymes, such as pancreatic lipase, to hydrolyze the fat in fatty acids for their later absorption in the small intestine, thus permitting the reduction of serum cholesterol (Manzano et al. 2012). The bile salts as well as the lipase have an alkaline pH, and therefore, with the results, it can be confirmed that the chocolate matrix as well as the W. confusa probiotic are suitable for the design of solid probiotic products because they resist storage and stay alive during their passage through the small intestine. Resistance to bile salts is one of the criteria for a product to be considered a probiotic.
Conclusions
The chocolate coating and W. confusa lactic acid bacterium are ideal for the development of probiotic products in solid matrices. The chocolate covered chips maintained their probiotic nature for at least five weeks, because more than 106 microorganisms per gram of product remained alive. The water activity increased for all the treatments, which suggests using packaging with lower transmission of water vapor and storing in conditions with relatively low humidity. The incorporation of encapsulated and free W. confusa into a chocolate coating matrix presents resistance to the intestinal environment with the AV and AA15 treatments presenting the lowest loss of viability.










text in 





