Services on Demand
Journal
Article
Indicators
-
Cited by SciELO -
Access statistics
Related links
-
Cited by Google -
Similars in
SciELO -
Similars in Google
Share
Revista Colombiana de Biotecnología
Print version ISSN 0123-3475
Rev. colomb. biotecnol vol.18 no.2 Bogotá July/Dec. 2016
https://doi.org/10.15446/rev.colomb.biote.v18n2.55826
DOI: http://dx.doi.org/10.15446/rev.colomb.biote.v18n2.55826
ARTÍCULO DE INVESTIGACIÓN
Prototipo de formulación a base de Rhodotorula mucilaginosa para el control de Botrytis cinerea en Rosas
Formulation prototype based on Rhodotorula mucilaginosa for the control of Botrytis cinerea in Roses
Jessica P. Bautista*, Helber Barbosa**, Daniel Uribe-Vélez*1
* Universidad Nacional de Colombia, Colombia. Instituto de Biotecnología, correos electrónicos:
jessicabautista282@gmail.com, duribev@unal.edu.co
1 Autor de correspondencia.
** Universidad Nacional de Colombia, Colombia. Facultad de Ciencias, Departamento de Farmacia, correo electrónico:
hdbarbosab@unal.edu.co
Recibido: febrero 19 de 2016 Aprobado: octubre 12 de 2016
Resumen
Los sistemas productivos de Rosas de corte para exportación poseen retos importantes debido a la presencia de diversos agentes fitopatógenos, siendo Botrytis cinerea uno de los más relevantes debido a su persistencia y número de hospederos alternativos. Los mercados internacionales son muy exigentes en el manejo ambientalmente sostenible de los cultivos, por lo que se ha hecho presión para la implementación de estrategias de control biológico de enfermedades. La levadura filosferica Rhodotorula mucilaginosa (Lv20) con potencial biocontrolador contra B. cinérea, fue empleada en este estudio con el objeto de generar un prototipo de formulación en base sólida con el fin de lograr una estabilidad de la actividad y viabilidad celular a través del tiempo. El empleo de mezclas de polímeros sintéticos y de origen natural permitió mantener la viabilidad de esta cepa durante 90 días a unos niveles de 1,90x109 células.mL-1 a una temperatura de 25°C en una formulación líquida. Así mismo, el prototipo de formulación, empleando manitol como agente nucleador en una formulación sólida de tipo granulada, logró una viabilidad celular de 1.2x108 células.gr-1 a los 90 días de almacenamiento a 4°C, logrando mantener una actividad biocontroladora igual a la cepa fresca sin formular o recién formulada. Estos resultados obtenidos permiten sugerir que los prototipos de formulación empleando como principio activo la levadura R. mucilaginosa, son una alternativa promisoria para el control de B. cinerea en la post cosecha de rosas variedad véndela.
Palabras clave: Levaduras, moho gris, formulación sólida, biopolimeros, control biológico, postcosecha.
Abstract
Productive systems of cut roses for exportation, have important challenges due to the presence of various plant pathogens in such crops. Botrytis cinerea is one of the most important pathogen microorganism because of its persistence and number of alternative hosts plants. International markets are very demanding in terms of environmentally sustainable crop management, which has forced for the implementation of strategies for biological control of diseases. The phyllosphere yeast Rhodotorula mucilaginous (Lv20) with biocontrol potential against B. cinerea, was employed in this study in order to generate a solid prototype formulation to achieve both, the stability of its activity and cell viability over time. The use of the mix of synthetic and naturally occurring polymers allowed to maintain the viability of this strain for 90 days at 1,90x109 células.mL-1 at a 25 ° C in a liquid formulation. Likewise, the prototype formulation using mannitol as a nucleating agent in a granular solid formulation, allowed obtaining a cell viability of 1.2x108 células.gr-1 after 90 days of storage at 4 °C, maintaining a biocontrol activity equal to the fresh strain with or without formulation. These results allow us to suggest that the formulation prototypes using R. mucilaginous yeast, is a promising alternative for the control of B. cinerea in post-harvest management of roses.
Key words: Yeast, grey mold, solid formulation, biopolymers, biological control, postharvest.
Introducción
Colombia es el segundo exportador de flores de corte a nivel mundial, siendo las rosas uno de los principales productos de su portafolio de exportación. El mercado internacional de este tipo de productos enfrenta una serie de limitaciones de tipo fitosanitario, destacándose Botrytis cinerea, debido a su amplia distribución y a los efectos devastadores que este agente fitopatógeno causa a sus cultivos hospederos (Asocolflores 2009; Dik & Wubben, 2007). Hasta el momento, las estrategias de mitigación de esta problemática se han centrado en el uso de compuestos agroquímicos, particularmente fungicidas del grupo dicarboximidas, lo que ha generado el desarrollo de cepas de B. cinérea resistentes a este tipo de compuestos (Asocolflores, 2008; Leroux, 2007; Elad et al., 2007; Shtienberg, 2007). Por otra parte, existe una percepción negativa del público hacia los fungicidas químicos, ya que estos presentan una serie de riesgos toxicológicos sobre la salud humana y el medio ambiente (Wisniewsky et al., 2007). Por tal motivo los productores de flores a nivel mundial han identificado otras estrategias ambientalmente sostenibles para la producción de flores sanas (Agricultura de las Américas, 2009), estrategias que están siendo certificadas para Colombia desde 2008 a través del sello Florverde® (SCFv) (Asocolflores, 2008; Florverde, 2009; Globalgap, 2011).
Partiendo de la situación arriba mencionada, se ha buscado el desarrollo de estrategias de control biológico de enfermedades a través de diferentes tipos de microorganismos, como las levaduras filosféricas, las cuales además de ser compatibles con el medio ambiente, reducen el riesgo de resistencia del patógeno y pueden complementar la utilización de tratamientos químicos y culturales convencionales (Elad & Stewart, 2007). Por otra parte vale mencionar que las levaduras generalmente no producen micotoxinas alergénicas, tienen requerimientos nutricionales simples, creciendo rápidamente en fermentadores con sustratos de bajo costo y son capaces de colonizar superficies secas durante largos períodos de tiempo, características todas estas importantes para un control más sostenible de la enfermedad en cosecha y postcosecha (Chanchaichaovivat et al., 2008; Wisniewsky et al., 2007).
Varios prototipos de formulación a base de bacterias (Wang et al., 2010) y levaduras (Droby et al., 2009; Abadias et al., 2003) han sido diseñados para el manejo de enfermedades de postcosecha. Incluso algunos biofungicidas han sido desarrollados comercialmente, como Candida oleophila, (Aspire®) y Cryptococcus albidus (Yield plus®), para el control biológico de agentes fitopatógenos de postcosecha como Penicillium sp. y Botrytis sp. en frutas, vegetales, ornamentales y plantas de tipo invernadero, los cuales compiten exitosamente por espacio y nutrientes y además no causan ningún efecto adverso a la salud humana (Janisiewicz & Korsten, 2002; Drobby & Lichter, 2007).
Uno de los retos para el desarrollo de un producto comercial a base de levaduras, es el desarrollo de una formulación que confiera estabilidad al producto en términos de viabilidad y actividad biocontroladora (Wisniewsky et al., 2007; Janisiewicz & Korsten, 2002). Existen formulaciones liquidas y sólidas (polvos humectables, granulos, liofilizados), las cuales poseen propiedades diferentes dependiendo de las características fisiológicas del principio activo. Las formulaciones en forma de gránulos, permiten la liberación controlada y brindan una mayor protección del principio activo a ambientes extremos, proporcionando una mayor persistencia en campo (Kinay & Yildiz, 2008)
Teniendo en cuenta lo anterior, en este estudio se propone el desarrollo de un prototipo de formulación sólida a base células de la cepa Lv20 de Rhodotorula mucilaginosa previamente aislada de la filosfera de mora de castilla (Medina et al., 2009), seleccionada y evaluada en función de su capacidad controladora del fitopatógeno B. cinerea en rosas de corte.
Materiales y métodos
Aislamiento de levadura. La levadura Lv20 (R.mucilaginosa) con potencial biocontrolador contra B. cinerea, fue aislada de la filosfera de plantas sanas de cultivos de mora de castilla Rubus glaucus del municipio de Granada del departamento de Cundinamarca, Colombia (Medina et al., 2009), pertenece a la colección de microorganismos del Instituto de Biotecnología de la Universidad Nacional de Colombia, Sede Bogotá.
Producción de Biomasa. La producción de la cepa, se realizó en caldo Sabouraud dextrosa (CSD) (Difco®), con pH ajustado a 5,6, en un volumen de 25 mL dispuesto en matraces erlenmeyer de 250 mL de capacidad, partiendo de un inoculo inicial de 1x106 células.mL-1, y se dejaron en agitación a 150 rpm y 29 °C por 48 h. Transcurrido ese tiempo se realizó recuento en cámara de Neubauer para la determinación de la concentración final.
Selección y evaluación de excipientes. Con el objeto de identificar los polímeros que confirieran estabilidad en términos de viabilidad y pureza, se realizó la selección de cinco componentes poliméricos, reportados en estudios previos. Tres son derivados de la celulosa como la hidroxipropil metil celulosa (P1) (HPMC), carboximetil celulosa (P2) (CMC) y metil celulosa (P3) (MC), uno derivado del alginato (P4) y un polímero soluble en agua como la polivinilpirrolidona (P5) (Bashan, 1986; Young et al., 2006; Suvorova et al., 1999; Fernández et al., 2009; Sánchez et al., 2010; Hafeez et al., 1991; Tittabutra et al., 2007).
Después de realizar la selección de los polímeros, se procedió a determinar la viscosidad relativa a distintas concentraciones, con el fin de determinar cuál podría ser la más adecuada. Soluciones con concentraciones diferentes de cada polímero en estudio fueron preparadas por triplicado y se determinó el tiempo de desplazamiento o salida de 8 mL desde una pipeta de vidrio de 10mL de volumen total. Como tratamiento control se calculó el tiempo de desplazamiento del agua durante el mismo procedimiento. Las tres mejores concentraciones para cada polímero en términos de viscosidad, fueron seleccionadas con el fin de realizar las pruebas de compatibilidad con la cepa de levadura.
A partir de las pruebas de viscosidad se seleccionaron tres concentraciones por cada polímero (P1 y P4: 1.0%, 1.5%, y 2.0%; P2 y P3: 0.5%, 1.0%, 1.5% y P5: 1.0%, 5.0% y 10%), con el fin de determinar la compatibilidad inicial con la levadura, para su posterior formulación. La biomasa microbiana obtenida luego de 48 h de crecimiento en caldo Sabouraud dextrosa (CSD), se recuperó por centrifugación haciendo dos lavados con agua destilada estéril (ADE). Luego, se preparó una suspensión, a una concentración de 1x109 células.mL-1 de principio activo, determinada por conteo en cámara de Neubauer, y resuspendiendo la biomasa celular a la concentración mencionada para cada polímero. Cada uno de los polímeros se preparó por triplicado, en tubos de microcentrífuga de 1.5 mL, esta suspensión se incubo por 48 h a 25°C. Pasado este tiempo, se procedió a determinar el recuento de células viables en términos de unidades formadoras de colonia (UFC) por mililitro, mediante la técnica de diluciones seriadas por microgota sembrando cuatro réplicas de 20 µL en agar PDA de cada una de las diluciones realizadas.
Evaluación de mezclas de polímeros. Con el objeto de determinar el efecto de la mezcla de los mejores polímeros seleccionados, sobre la viabilidad de las células de la levadura Lv20, se seleccionaron dos polímeros, (polímero 1 (P1) – 1%- y polímero 5 (P5) -10%-), con el fin de hacer mezclas que permitieran dar una estabilidad a las cepas de levadura durante su formulación. Las mezclas de los polímeros fueron en proporciones de 50:50 y 25:75, en un volumen de 1mL dispuesto en tubos de microcentrífuga de 1.5 mL y por triplicado. Igualmente, se determinó la viabilidad de las cepas con los polímeros individuales. Se procedió a realizar la estimación de la viabilidad de las células, haciendo diluciones seriadas y la posterior siembra de gotas de 20 µL en medio PDA, como se describió anteriormente. Finalmente, se evaluó la viabilidad de las células a los 2, 10, 20, 60 y 90 días de incubación a 25 °C.
Desarrollo de prototipo de formulación sólida
Prueba de disolución del núcleo del prototipo de formulación. Una vez seleccionados los polímeros que aportarían características de estabilidad y miscibilidad al prototipo de formulación granular, se seleccionaron 3 azúcares (sacarosa, dextrosa y manitol) para evaluar su capacidad como núcleo dentro de la formulación. Para lograr este objetivo se determinó la miscibilidad en agua de cada uno de estos azúcares pesando 250 mg, que se agregaron a 25 mL de agua destilada. Se tomó el tiempo en segundos, desde el momento en el que se agregó el azúcar hasta su completa disolución, como control se empleó urea gracias a sus propiedades de rápida disolución. Posteriormente se realizó el mismo procedimiento con los prototipos de formulación con los 3 núcleos distintos.
Desarrollo de la formulación granulada. Después de obtener el crecimiento de biomasa, luego de su incubación en CSD a 29°C por 48 h, se procedió a ajustar la concentración celular a 1x109 células.mL-1, y se preparó una suspensión, con la mezcla 50:50 de los polímeros (P1 y P5) evaluados previamente. Posteriormente se pesaron 10 g de cada uno de los azúcares seleccionados y se agregó el volumen de suspensión necesario para que cada azúcar formara una masa húmeda con consistencia pastosa que permitiera su paso por un tamiz con un tamaño de poro de 1 mm de diámetro, con el fin de formar gránulos. Posterior a esto, se seleccionó el prototipo de formulación con la viabilidad más alta, y se midió el porcentaje de humedad en el tiempo hasta el día 60, empleando la balanza analizadora de humedad OHAUS® MB 45.
La estabilidad de cada prototipo de formulación se evaluó en términos de la viabilidad de las levaduras en función del tiempo, por medio de recuento en gota en medio PDA, descrito antes. Este parámetro se midió en el primer día de elaboración, lo cual equivale a la concentración inicial del prototipo de formulación y posteriormente a los 15, 30, 60 y 90 días de almacenamiento a 4 y 25 °C para la cepa Lv20.
Evaluación de actividad biocontroladora in vivo en rosas variedad Vendela tipo exportación. Para esta fase se evaluaron en términos de la actividad biocontroladora dos prototipos de formulación almacenados durante 100 días a 4°C+1 y 25°C+1. Para estos prototipos se empleó la cepa Lv20 como principio activo, con los polímeros P1 (1%):P5 (10%), en una proporción de (50:50) respectivamente, y manitol como azúcar para formar el núcleo del granulo de formulación. Como controles de la actividad biocontroladora de la formulación, se empleó una suspensión celular de la cepa Lv20 fresca y otra suspensión recién formulada con únicamente 10 días de almacenamiento a 4 °C. Así mismo, se empleó un control de enfermedad (testigo absoluto), en el cual únicamente se aplicó el hongo B. cinerea, y otro donde únicamente se inoculó ADE (testigo relativo), con el objeto de determinar el nivel de enfermedad provocada por la infestación natural de B. cinerea. Todos los prototipos de formulación se disolvieron en ADE para una concentración de principio activo 1x106 células.mL-1.
De cada una de las suspensiones preparadas, se aplicaron 5 mL por flor por todo el perímetro de la flor, empleando un atomizador de jardinería. Cada tratamiento consistió en tres réplicas de 5 rosas cada una, las cuales fueron puestas en recipientes plásticos con 1L de capacidad, previamente preparados con 900 mL de agua con hipoclorito al 0,1%, los cuales fueron dispuestos en anaqueles cubiertos con una cortina plástica para favorecer las condiciones de humedad. Los anaqueles se encontraban en un cuarto con regulación de fotoperiodo de 12:12 horas luz - oscuridad a temperatura ambiente de 20+2°C.
Una vez aplicados los tratamientos, y pasadas 24 horas, se inoculó por el perímetro de la flor, aplicando 5 mL de una suspensión de conidias del hongo B. cinerea en agua destilada estéril, a una concentración de 1x104 conidias.mL-1. El control de enfermedad consistió en la aplicación de las esporas de B. cinerea únicamente, posteriormente se cubrió cada flor con una bolsa plástica con el fin de generar condiciones de alta humedad y de esta forma favorecer la infección del agente fitopatógeno. Todos los tratamientos se almacenaron bajo las mismas condiciones durante 5 días.
El efecto del prototipo de formulación sobre el desarrollo de la enfermedad de B. cinerea, se evaluó mediante la determinación de la severidad de la enfermedad, a los 5 días de inoculación del agente fitopatógeno. La severidad de los síntomas fue determinada como una medida del estado de desarrollo de la enfermedad en cada flor, aplicando la escala de severidad descrita a continuación. Nivel 0 (flor completamente sana sin infección), Nivel 1 (daño del 0.1 al 25.0% del área de la flor infectada), Nivel 2 (daño del 25.1 al 50.0% del área de la flor infectada), Nivel 3 (daño del 50.1 al 75.0% del área de la flor infectada) y Nivel 4 (daño del 75.1 al 100% del área de la flor infectada) (figura 1).
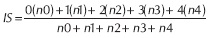
El índice de severidad fue calculado mediante la fórmula desarrollada por Dick et al. (1999):
De donde:
IS = Índice de Severidad
n0 = Número de flores afectadas en el Nivel 0 de severidad
n1 = Número de flores afectadas en el Nivel 1 de severidad
n2 = Número de flores afectadas en el Nivel 2 de severidad
n3 = Número de flores afectadas en el Nivel 3 de severidad
n4 = Número de flores afectadas en el Nivel 4 de severidad.
Trascurridos los 5 días de incubación se realizó un análisis destructivo para determinar el porcentaje de pétalos con lesiones en los 10 pétalos más externos de cada flor, siguiendo la escala de severidad descrita por Medina et al., (2009) y empleando el índice (IS) descrito arriba. Por cada flor de las tres réplicas, se hizo la lectura de 10 pétalos para un total de 150 pétalos por tratamiento.
Análisis estadístico. El análisis estadístico se realizó con el programa SPSS (Statistical Program for the Social Sciences) versión 11.5. Se empleó la tabla de ANOVA para el análisis de homogeneidad de varianzas y se realizó una prueba de comparaciones múltiples de Tukey con un intervalo de confianza del 95% y un (P < 0.05).
Resultados
Viabilidad de la cepa Lv20 con excipientes seleccionados en prototipos de formulación líquida
Los cinco polímeros seleccionados se evaluaron en términos de viscosidad a diferentes concentraciones (0.25%, 0.50%, 1.0%, 1.5%, 2.0%, 5.0% y 10%), descartando aquellas concentraciones cuyo tiempo de desplazamiento de 8 mL de solución, a través de una pipeta de 10 mL superaba los 60 s, por considerar que estos valores representaba viscosidades superiores a las recomendadas para una formulación líquida (Barbosa, 2014 comunicación personal). Con las concentraciones seleccionadas para cada polímero (1.0, 1.5 y 2.0% para P1 y P4; de 0.5, 1.0 y 1.5% para P2; 0.5 y 1.0% para P3; y de 1.0, 5.0 y 10.0% para P5), se procedió a la determinación de la compatibilidad de los polímeros con las levaduras seleccionadas.
Al término de 48 h de incubación de la suspensión de la levadura en cada una de los polímeros seleccionados, a sus respectivas concentraciones, se determinó el efecto sobre la viabilidad celular. Los resultados indican que el control con ADE se encontraba con un recuento de células viables del orden de 6,0x108 células.mL-1, disminuyendo la población en relación al inoculo inicial (1,0x109 células.mL-1). Por otra parte, los tratamientos con los polímeros mostraron valores superiores estadísticamente significativos (P<0.05) en relación a los resultados con ADE, con un recuento celular entre 2,7x109 y 1.20x1010 células.mL-1, para las diferentes concentraciones evaluadas de los polímeros 1, 2 y 4. El polímero 3, presentó valores aún más altos (P < 0.05) de 2,2x1010 y 5,5x1010 células.mL-1, para la concentración de 0,5% y 1,0% respectivamente, mostrando incrementos en más de 10 veces en el recuento celular en relación al punto de partida del prototipo de formulación (figura 2). Estos resultados indican que los microorganismos incubados en presencia de los polímeros orgánicos a base de polisacáridos, mantuvieron e incluso incrementaron la viabilidad celular durante el periodo de incubación, contrario a la disminución encontrada en el control de agua, lo cual sugiere que dichos polímeros pueden ser empleados como sustrato nutricional por la cepa de R. mucilaginosa Lv20 (figura 1). Por otra parte, el tratamiento con el polímero 5 presentó concentraciones de 2,87x108 células.mL-1, estadísticamente similares al control con ADE.
Viabilidad de cepas de levadura con mezcla de polímeros
Los resultados de la viabilidad a las 48 h, permitieron seleccionar el polímero 1 ya que no afecta la viabilidad celular a las 48 h de incubación y por el contrario incrementa el recuento celular y el polímero 5 ya que si bien disminuye la viabilidad celular, puede aportar una mayor cobertura en la formulación final. Con el objeto de determinar el potencial de estos polímeros solos y en mezcla entre ellos, a una proporción de 50:50 y 25:50 (P1:P5), se decidió evaluar la viabilidad celular contra el tiempo de dichos prototipos de formulación. Los tratamientos a la concentraciones de P1 al 1% y las mezclas de este con P5 (50:50 y 25:75) muestran una gran estabilidad a través del tiempo, terminando con concentraciones estadísticamente similares a la concentración inicial (1,00x109 células.mL-1). Estas concentraciones son superiores al tratamiento control con ADE, que presentó una caída constante en la viabilidad celular desde el segundo día de incubación hasta el día 90 cuando la concentración cae a 1,47x106 células.mL-1. Por otra parte, los tratamientos a base de P5, muestran una caída en la viabilidad celular de alrededor de 10 veces en las tres concentraciones evaluadas. Es importante anotar que el tratamiento con el polímero 5 al 1%, se contaminó después del día 20 de evaluación, por lo que fue descartado del análisis (tabla 1). Sin embargo, las viabilidades en los prototipos de formulación a base de P5 restantes, mostraron un incremento hacia el día 20 y 60 de evaluación, para luego volver a caer, terminando con los valores de viabilidad más bajo con 2,60x108 y 6,60x108 células.mL-1 para las concentraciones de 5% y 10% respectivamente (tabla 1).
Desarrollo de prototipos de formulación sólida
Prueba de disolución del prototipo de formulación con el núcleo de granulación
Con el objeto de desarrollar un prototipo de formulación granulado se seleccionaron tres azúcares (sacarosa, dextrosa y manitol), que permitiera desarrollar un núcleo de formulación. Para este propósito se midió el tiempo (en segundos) de la disolución en agua de los azúcares seleccionados, empleando como control la urea, por su rápida disolución, que en este caso fue de 9,7 segundos. Los tiempos de disolución encontrados fueron de 35,6, 16.1 y 23,4 segundos para la sacarosa, manitol y dextrosa respectivamente. Con estos resultados se llevó a cabo el prototipo de formulación granulada, empleando el principio activo previamente suspendido en los polímeros (mezcla P1:P5 50:50) y se realizó nuevamente la prueba de disolución, encontrando que los tiempos se incrementaron casi al doble, con 60,1, 30,1 y 44,7 para sacarosa, manitol y dextrosa respectivamente. Esta evaluación se tomó con el fin de asociar el tiempo, con la capacidad de disgregación del sólido antes y después de la formulación, determinando así características esenciales de un producto sólido para la aplicación en campo.
Determinación de la viabilidad celular en los prototipos granulados
De acuerdo a los resultados obtenidos en términos de la disolución de los prototipos de formulación, se evaluó la viabilidad celular del principio activo con los tres agentes de nucleación contra el tiempo. La tabla 2 indica que los prototipos a base de dextrosa y sacarosa redujeron considerablemente la viabilidad celular de la cepa. Con el prototipo de formulación a base de dextrosa, la cepa Lv20 tuvo una concentración inicial de 4,1x109 células.g-1, mientras la evaluación hasta el día 60, mostró una concentración de 5,3x104 células.g-1 y de 6,2x103 células.g-1 en el almacenamiento a 4 °C y 25 °C respectivamente. Debido a que estos recuentos no corresponden a valores que puedan tener actividad biocontroladora, se decidió suspender la evaluación de la viabilidad de estos prototipos. En la evaluación con el prototipo de formulación a base de sacarosa, se tuvo una concentración inicial de 6,3x109 células.g-1 y a los 90 días de evaluación esta concentración bajo a 5,40x105 y 3,07x104 células.g-1 para la temperatura de almacenamiento de 4°C y 25°C, respectivamente (tabla 2).
El prototipo de formulación a base de Manitol, inicio con una concentración celular de 4,2x109 células.g-1 y fue evaluado hasta el día 90, mostrando viabilidades del orden de 1,2x108 células.g-1 y 4,8x107 células.g-1 a 4 oC y 25 °C respectivamente a los 90 días de almacenamiento. Por otra parte los porcentajes de humedad variaron entre prototipos de formulación y temperatura de almacenamiento ya que a 4 °C presentaron humedades cercanas al 14% mientras que a 25 oC la humedad presentó rangos entre 14 y 1,2% (tabla 3).
Evaluación de actividad biocontroladora in vivo en rosas variedad vendela tipo exportación
Los resultados de la evaluación de viabilidad y pureza, permitieron seleccionar los prototipos de formulación basados en las mezclas de P1:P5 (50:50) como agente para resuspender el principio activo, y manitol como agente nucleador almacenados tanto a 4 °C y 25 °C, con el objeto de evaluar el potencial biocontrolador de los prototipos de formulación. Las condiciones del ensayo fueron altamente conducentes de enfermedad, ya que se empleó la infestación natural, más una infestación artificial de B. cinerea (10.000 propágulos por unidad experimental), lo que condujo a que el porcentaje de incidencia del ensayo fuera del 100% para todos los tratamientos. Por tal motivo se decidió estimar el potencial biocontrolador de los prototipos de formulación a través del índice de severidad por flor y por pétalo para los 10 pétalos más externos de cada flor.
Al realizar la lectura del índice de severidad del día 5 en la flor completa, los resultados muestran que el control positivo de enfermedad presentó un promedio en el índice de severidad de 3.1. Este tratamiento no mostró diferencias significativas con el tratamiento de la formulación a 25 °C, que obtuvo un nivel de severidad de 3.0. Por otra parte, la formulación con 100 días de almacenamiento a 4 °C, mostró un promedio en el índice de severidad de 2.0, mientras que la formulación nueva con solo 10 días de almacenamiento obtuvo un nivel de 2.2, estas dos últimas no tuvieron diferencias estadísticas entre sí, ni con la levadura sin formular, que presentó un nivel de 2.5 en la escala de severidad y diferencias significativas (P < 0.05) con los demás tratamientos (figura 3).
En cuanto al porcentaje de pétalos infectados por flor evaluado en los diez pétalos más externos (figura 4), merece mencionar que las rosas inoculadas presentaron en promedio el 86,6% de pétalos infectados, indicando un alto nivel de virulencia de la cepa de B. cinerea empleada, bajo las condiciones analizadas. Por otra parte, el control negativo mostró un porcentaje de pétalos infectados del 14,6%, indicando que ese era el nivel de infestación con el que venían las flores del invernadero comercial. En relación a los tratamientos, llama la atención que la formulación almacenada a 25°C tuvo un porcentaje de infección del 74,6%, el cual es estadísticamente similar al control de enfermedad, indicando ausencia de actividad biocontroladora. La levadura sin formulación presentó un valor de porcentaje de infección del 70%, mientras que la fórmula almacenada por 100 días a 4°C un valor de 47,0% y la formulación nueva con solo 10 días de almacenamiento obtuvo un promedio de 48,7% (figura 4).
Luego de analizar el porcentaje de infección de los 10 pétalos más externos de cada flor, se procedió a analizar la severidad en cada uno de dichos pétalos. El nivel de severidad para el control positivo, estuvo en un promedio de nivel 1.8, el control negativo de 0,26, mostrando diferencias estadísticas (p < 0.05) con los demás tratamientos. La levadura sin formular tuvo un nivel de 1.36, la fórmula de 100 días de almacenamiento a 4°C un nivel de 1, la formulación nueva obtuvo un nivel de 1.12 sin diferencias entre si y la formulación almacenada a 25°C, obtuvo un nivel de severidad de 1.43, sin presentar diferencias con el control del patógeno (figura 5).
Discusión
En este trabajo se partió de un aislamiento de levadura filosférica previamente aislada y evaluada por su potencial biocontrolador (Medina et al., 2009), para el desarrollo de un prototipo de formulación granulado. Otros trabajos han desarrollado formulados granulados a base de levaduras filosféricas, empleando vehículos como talco o kaolin para el control de agentes fitopatógenos de postcosecha (Kinai & Yildiz, 2008). Sin embargo, el uso de polímeros en formulados sólidos han sido empleados en combinación con bacterias (Bashan et al., 2002), pero su uso en levaduras como principio activo ha sido muy limitado (Patiño-Vera et al., 2005).
La primera fase de este estudio consistió en identificar la compatibilidad de 5 polímeros diferentes con la cepa de R. mucilaginosa Lv20. Los cuatro polímeros orgánicos a base de polisacáridos evaluados, no únicamente son compatibles con dicho aislamiento, sino que en la cepa se presentó un incremento en biomasa celular, con diferencias estadísticamente significativas (P<0.05), al menos cuando son incubadas durante 48 horas a 25°C. El incremento en biomasa mencionado si bien es aparentemente atractivo para efectos de mantener la viabilidad celular de los microorganismos, también puede ser contraproducente para la formulación. En este sentido Patiño-Vera et al. (2005), reportaron la caída dramática en viabilidad (4-5 órdenes de magnitud en un mes), cuando la concentración inicial de un formulado, a base de la cepa BMH129 de Rhodotorula minuta, se preparó en el orden de 1010 células.mL-1, en comparación a 109 células.mL-1, donde pierde alrededor de 2 órdenes de magnitud en seis meses de almacenamiento. Situación similar ha sido reportada en formulaciones con Pichia anolama (Melin et al., 2007), donde los autores sugieren que el efecto negativo sobre la viabilidad celular, reside en la acumulación de metabolitos tóxicos producidos por la biomasa celular.
Estos resultados preliminares nos llevaron a la siguiente fase del estudio, la cual consistió en la evaluación de mezclas de polímeros, de tal forma que pudiésemos obtener los beneficios de poblaciones altas en el formulado a base de polímeros orgánicos, pero controladas al mezclarlo con el polímero sintético 5 (PVP). Este último polímero mantiene la viabilidad celular estable, pero además le confiere otro tipo de propiedades al prototipo de formulación, como un mejor recubrimiento, gracias a la formación de una película sobre la superficie del pétalo, con lo cual se busca mejorar la actividad de las levaduras (Paau, 1998; Lloyd, 1983).
Los resultados obtenidos en términos de viabilidad en las formulaciones líquidas empleando únicamente los polímeros 1 y 5 con sus mezclas, mostraron que los tratamientos que lograron una mayor estabilidad hasta 90 días de almacenamiento a 25°C con la cepa Lv20, fueron el polímero 1 al 1% y las mezclas 50-50 y 25-75 entre los polímeros 1 (1%) y 5 (10%) respectivamente (P < 0.05). Algunos estudios han reportado el uso de biopolímeros para la formulación de inoculantes bacterianos esporulados (Bacillus sp.) y no esporulados (Azospirillium y Azotobacter), con resultados de viabilidad superiores a 3.5x107 células.mL-1 luego de más de un año de almacenamiento a 30 °C (Amalraj et al., 2013). Incluso se han reportado polímeros para el desarrollo de bioinoculantes a base de bacterias, donde mezclas entre distintos polímeros sintéticos han permitido obtener niveles de supervivencia prolongados en microorganismos como Bradyrhizobium elkanii (Denardin & Freire, 2000). En el caso de las levaduras se ha evaluado el uso de azúcares (e.i trehalosa) (Li et al., 2008), polialcoles (e.i glicerol), incluso algunos polisacáridos como goma de xantana y alginato de sodio (Patiño-Vera et al., 2005; Kinay & Yildiz, 2008), o se ha manipulado la actividad de agua para conferirle mayor estabilidad a las cepas durante el almacenamiento (Schilder et al., 2011; Teixido et al., 1998), entre otras estrategias para la estabilización de las formulaciones.
Una vez identificadas las mezclas más adecuadas para conferir estabilidad al prototipo de formulación, se buscó determinar el azúcar que sirviera tanto como agente preservativo para evitar contaminación microbiana, así como dispersante al momento de disolver la formulación en agua (Burges & Jones, 1998). De los tres azúcares evaluados, se escogió el manitol como base del prototipo, debido a que la viabilidad encontrada fue más alta que la encontrada con los otros dos núcleos (sacarosa y glucosa). Es bien sabido que algunos azúcares (e.i trehalosa, lactosa), utilizados para formulaciones, pueden generar un efecto protector, evitando la desnaturalización de proteínas, durante procesos de secado o deshidratación (Li et al., 2008), o incluso cuando son empleadas en formulaciones líquidas (Abadias et al., 2003; Melin et al., 2011). El efecto de dichos azúcares sobre la tolerancia a las distintas condiciones de almacenamiento, puede variar dependiendo del tipo de microorganismo (Melin et al., 2011). En este sentido, Melin et al. (2007), reportan que el empleo de sacarosa o trehalosa como crioprotector en un proceso de liofilización, no mostraron diferencias estadísticamente significativas en la viabilidad celular después de 6 meses de almacenamiento en varias formulaciones de P. anomala. Sin embargo, en este estudio los prototipos de formulación con sacarosa generaron un detrimento de la viabilidad celular bajo las condiciones evaluadas. Las diferencias del efecto de la sacarosa sobre la viabilidad celular de Rhodotorula o Pichia puede ser debido a diferencias por la fisiología de los microorganismos o en el procedimiento realizado, estudios posteriores deben ser desarrollados para poder sacar conclusiones al respecto.
No se encontraron diferencias estadísticamente significativas en la viabilidad celular entre temperaturas de almacenamiento a 4 y 25°C, entre el día 1 y el 15 y entre el día 60 y 90 de incubación para el prototipo de formulación con manitol. Sin embargo, los resultados muestran una tendencia en la que a menor temperatura mayor viabilidad. Distintos estudios han demostrado que el almacenamiento a bajas temperaturas puede generar una estabilidad mayor a las células, debido a que estas disminuyen su metabolismo, previniendo así la producción de metabolitos tóxicos (Melin et al., 2006; Kinay & Yildiz, 2008). En un estudio previo, donde se almacenan formulaciones líquidas a base de P. anómala a 10°C, 20°C y 30°C durante 12 meses, se logra evidenciar que el porcentaje de viabilidad en el almacenamiento a 10°C es un 30% superior al encontrado en el almacenamiento a 30°C, confirmando que la viabilidad celular permanece más estable a bajas temperaturas (Melin et al., 2007). Cañamas et al. (2011) reportan un prototipo de formulación a base de Candida sake, para el control de B. cinerea en uvas, donde el prototipo almacenado a 4 °C logra reducir la incidencia de enfermedad en un 50%, confirmando que el almacenamiento a bajas temperaturas proporciona a las células una mayor estabilidad y nivel de control que los que se pueden obtener con un almacenamiento a temperaturas elevadas (Cañamas et. al., 2011).
Los porcentajes de humedad reportados en este trabajo, variaron de acuerdo al tiempo y la temperatura de almacenamiento. Los prototipos de formulación a base de la cepa Lv20 mostraron porcentajes cercanos al 14% en 4°C y cercanos al 1% en la temperatura de 25 °C, los cuales son significativamente diferentes entre sí (P < 0.05). El porcentaje de humedad de una formulación comercial solida es una característica crítica, debido a que altos porcentajes de humedad, pueden generar compactación e inconvenientes en la manipulación, así como también contaminación por otros microorganismos ajenos al sistema (Burges, 1998). Incluso la respuesta fisiológica al contenido de humedad puede variar entre aislamientos microbianos, siendo posiblemente una fuente importante de la variación en viabilidad encontrada bajo diferentes prototipos de formulación (Burges, 1998). Así mismo, porcentajes bajos de humedad, pueden afectar la viabilidad celular a expensas de una reducción en términos de actividad de agua, a niveles por debajo de los necesarios para mantener la viabilidad celular (Grant, 2004). Dadas las diferencias encontradas en términos de los porcentajes de humedad de los prototipos de formulación almacenados a 4°C y 25°C, muy posiblemente las diferencias encontradas en la viabilidad celular, estén determinadas no únicamente por efecto de la temperatura, como se explicó arriba, sino debido al bajo contenido de agua disponible en la formulación, lo cual pudo afectar la viabilidad celular. Estudios posteriores se deben llevar a cabo para determinar el peso de cada una de estas variables en el deterioro de la viabilidad celular de las levaduras bajo estudio.
La eficacia en el control a base de levaduras varía de acuerdo al patosistema estudiado y los diferentes tratamientos empleados para el diseño de los prototipos de formulación. La aplicación de C. guillermondii y P. anómala para el control de una infestación natural (mayoritariamente a base de B. cinerea), causante de la enfermedad de pudrición del tomate, mostraron una disminución cercana al 50% en términos de incidencia y severidad en comparación al control sin aplicar (Zong et al., 2010). De forma similar, prototipos de C. sake formulados con diferentes concentraciones de trehalosa y almacenada por 4 meses a 4°C, mostraron una reducción en incidencia en manzanas inoculadas con una población de 104 conidias.mL-1 de P. expansum, entre 56% y 70%, similar a las células frescas sin formular (Abadias et al., 2003). En otro estudio, el efecto combinado de C. laurentii y R. glutinis también resultó en el más alto nivel de eficacia de control biológico contra P. expansum, reduciendo los índices de la enfermedad a 45 y 56%, respectivamente, en comparación con 94 y 81% en el control no tratado (Li et al., 2008). En este trabajo se logró la disminución de los síntomas de la enfermedad en un 39% en Rosas sp. cv Vendela, en relación al control de enfermedad que mostro un porcentaje de pétalos infectados de 86%, con un prototipo de formulación a base de la cepa Lv20 almacenada a 4°C durante 100 días, logrando niveles de control similares a la cepa recién formulada.
Conclusión
El prototipo de formulación a base de R. mucilaginosa Lv20, resuspendida en una mezcla de P1:P5 (50:50) y empleando manitol como agente nucleador en una formulación granulada, mantuvo una viabilidad suficiente a los 100 días de almacenamiento a 4oC para mostrar actividad biocontroladora contra B. cinerea en rosas de corte. Es necesario realizar estudios de almacenamiento más prolongados, sin embargo el prototipo de formulación aquí diseñado es promisorio para el manejo de la enfermedad del moho gris en rosas de corte tipo exportación, especialmente si se emplea dentro del ciclo de cultivo, como una estrategia de rotación de productos de síntesis química.
Agradecimientos
Los autores agradecen al Departamento Administrativo de Ciencia Tecnología e Innovación Colciencias por su apoyo financiero a través del Contrato RC: #387 – 2011, para el desarrollo de la presente investigación.
Referencias bibliográficas
Abadias, M., Teixido, N., Usall, J. & Viñas, I. (2003). Optimization of growth conditions of the postharvest biocontrol agent Candida sake CPA-1 in lab-scale fermenter. Journal Applied Microbiology, 95(2), 301-309. [ Links ]
Agricultura de las Américas. (2009). Colombian flowers. Especial report, 393, 1-60. [ Links ]
Amalraj, L. D., Venkateswarlu, B., Suseelendra, D., Praveen-Kumar, G, Hassan-Ahmed, S.K. & Narasu, L. M. (2013). Effect of polymeric additives, adjuvants, surfactants on survival, stability and plant growth promoting ability of liquid bioinoculants. Journal of Plant Physiology and Pathology, 1(2). doi:10.4172/jppp.1000105. [ Links ]
Asocolflores. (2009). http://www.proflora.com.co/asocolflores/index.jsp?page=57&site=1&idFile=643&adminMode=false&fromPage=57. [ Links ]
Asocolflores. En línea. (2008). Disponible en http://www.cecodes.org.co/descargas/casos_sostenibilidad/casosind/Asocolflores.pdf Consultado el: 29 oct 2011. [ Links ]
Bashan, Y., Hernandez, J-P., Leyva, LA., & Bacilio, M. (2002). Alginate microbeads as inoculant carrier for plant growth-promoting bacteria. Biology and Fertility of Soils, 35, 359-368 [ Links ]
Bashan, Y. (1986). Alginate and cellulose beads as synthetic inoculant carriers for slow release of bacteria that affect plant growth. Environmental Microbiology, 51, 1089-1098. [ Links ]
Burges, H.D. (1998). Formulation of mycoinisecticides. In Burgues, H.D. Formulation of microbial pesticides: beneficial microorganisms, nematodes and seed treatments. Kluwer academic publishers. Norwell. MA. USA. pp131-185. [ Links ]
Burges, H.D. & Jones. (1998). Formulations of bacteria, viruses and protozoa to control insects. In Burgues, H.D. Formulation of microbial pesticides: beneficial microorganisms, nematodes and seed treatments. Kluwer academic publishers. Norwell. MA. USA. pp33-127. [ Links ]
Cañamas, T. P., Viñas, I., Torres, R., Usall, J., Solsona, C., & Teixidó, N. (2011). Field applications of improved formulations of Candida sake CPA-1 for control of Botrytis cinerea in grapes. Biological Control, 56, 150-158. [ Links ]
Chanchaichaovivat, A., Ruenwonsgsa, P., & Bhinyo, B. (2007). Screening and identification of yeast strains for fruits and vegetables: potential for biological control of postharvest chilli anthracnose. Biological Control,42(3), 326-335. [ Links ]
Denardin, N.D., & Freire, J.R.J. (2000). Assesment of polymers for the formulation of legume inoculants. World Journal of Microbiology and Biotechnology,16(3), 215-217. [ Links ]
Dik, A. J., & Wubben, J. P. (2007). Epidemiology of Botrytis cinerea diseases in greenhouses. In Ed. Elad Y.; Williamson B.; Tudzynski P.; Delen, N. Botrytis: biology, pathology and control. Springer Netherlands. pp. 319-333. [ Links ]
Droby, S., Wisniewsky, M., Macarisin, D., & Wilson, C. (2009). Twenty years of postharvest biocontrol research: Is it time for a new paradigm? Postharvest Biology and Technology, 52(2), 137-145. [ Links ]
Drobby, S., & Lichter, A. (2007). Post-harvest Botrytis infections: etiology, development and management. In Ed. Elad, Y.; Williamson, B.; Tudzynski, P.; Delen, N. Botrytis: biology, pathology and control. Springer Netherlands. pp. 349-367. [ Links ]
Elad, Y., Williamson, B., Tudzynski, P., & Delen, N. (2007). Botrytis spp. and diseases they cause in agricultural systems an introduction. In Ed. Elad, Y.; Williamson, B.; Tudzynski, P.; Delen, N. Botrytis: biology, pathology and control. Springer Netherlands. pp. 1-8. [ Links ]
Elad, Y., & Stewart, A. (2007). Microbial control of Botrytis spp. In Ed. Elad, Y.; Williamson, B.; Tudzynski, P.; Delen, N. Botrytis: biology, pathology and control. Springer Netherlands. pp. 223-241. [ Links ]
Fernández, P. I., RohrII, T. G., de OliveiraII, P. J., XavierIII, G. R. N., & Gouvêa Rumjanek I. (2009). Polymers as carriers for rhizobial inoculant formulations. Pesquisa Agropecuária Brasileira, 44 (9),1184-1190. [ Links ]
Florverde. Florverde®. En línea. (2009). Disponible en: http://www.florverde.org/. Consultado: 2 enero de 2012. [ Links ]
GLOBALGAP. GLOBALG.A.P - Principal - Globalgap. En línea. (2011). Disponible en: http://www.globalgap.org/cms/front_content.php?client=1&changelang=3&parent=&subid=&idcat=9. Consultado: 2 enero de 2012. [ Links ]
Grant, W.D. (2004). Life at low water activity. Philosophical Transactions of The Royal Society B Biological Sciences, 359, 1249-1267. [ Links ]
Hafeez, F.Y., Assad, S., & Malik, K.A. (1991). The effect of high temperature on Vigna radiata nodulation and growth with different bradyrhizobial strains. Environmental and Experimental Botany, 31(3), 285-294. [ Links ]
Janisiewicz, W.J., & Korsten, L. (2002). Biological control of postharvest disease of fruits. Annual Review of Phytopathology, 40, 411-441. [ Links ]
Kinay, P., & Yildiz, M. (2008). The shelf life and effectiveness of granular formulations of Metschnikowia pulcherrina and Pichia guillermondii yeast isolates that control postharvest decay of citrus fruit. Biological Control,45, 433-440. [ Links ]
Leroux, P. (2007). Chemical control of Botrytis and its resistance to chemical fungicides. In Ed. Elad, Y.; Williamson, B.; Tudzynski, P.; Delen, N. Botrytis: Biology, pathology and control. Springer Netherlands. pp. 195-222. [ Links ]
Li, B.Q., Zhou, Z.W., & Tian, S.P. (2008). Combined effects of endo- and exogenous trehalose on stress tolerance and biocontrol efficacy of two antagonistic yeast. Biological Control, 46, 187-193. [ Links ]
Lloyd, J. M. (1983). Use of microorganisms in conjunction with seeds. Patente Neozelandeza N°. NZ194466. [ Links ]
Medina, C., Cristancho, D., & Uribe-Vélez, D. (2009). Respuesta fisiológica y capacidad antagonista de aislamientos filosféricos de levaduras obtenidos en cultivos de mora (Rubus glaucus). Acta Biológica Colombiana, 14 (3), 181-196. [ Links ]
Melin, P., Schnürer, J., & Håkansson, S. (2011). Formulation and stabilisation of the biocontrol yeast Pichia anomala. Antonie van Leeuwenhoek, 99(1), 107-112. [ Links ]
Melin, P., Håkansson, T.H., & Schnürer, J. (2007). Optimizagtion and comparison of liquid and dry formulations of the biocontrol yeast Pichia anomala J121. Journal of Applied Microbiology and Biotechnology, 73, 1008-1016. [ Links ]
Melin, P., Håkansson, S., Eberhard, T.H., & Schnürer, J. (2006). Survival of the biocontrol yeast Pichia anomala after long term storage in liquid formulations at different temperatures, assessed by flow cytometry. Journal of Applied Microbiology,100, 264-271. [ Links ]
Patiño-Vera, M., Jimenez, B., Balderas, K., Allende, R., Carrillo, A., & Galindo, E. (2005). Pilot-scale production and liquid formulation of Rhodotorula minuta, a potential biocontrol of mango anthracnose. Journal of Applied Microbiology,99, 540-550. [ Links ]
Paau, A.S. (1998). Formulation of beneficial organisms applied to soil. In Formulation of microbial pesticides: beneficial microorganisms, nematodes and seed treatments. Springer Netherlands. pp. 235-254. [ Links ]
Sánchez, R., Damas, R., Domínguez, P., Cerezo, P., Salcedo, I., Aguzzi, C., & Viseras, C. (2010). Uso de la Hidroxi Propil Metil Celulosa (HPMC) en liberación modificada de fármacos. Farmaespaña Ind. Pp 48-51. [ Links ]
Schilder, D.A., Janisiewicz, W.J., & Kurtzman, C.P. (2011). Agriculturally important yeast: biological control of field and postharvest diseases using yeast antagonists and yeast as pathogens of plants. In Ed Kurtzman, C.P. & Fell, J.W. The yeast a taxonomic study. Elsevier. Pp. 45-52. [ Links ]
Shtienberg, D. (2007). Rational management of Botrytis-incited diseases: Integration of control measures and use of warning systems. In Ed. Elad, Y.; Williamson, B.; Tudzynski, P.; Delen, N. Botrytis: Biology, pathology and control. Springer Netherlands. pp. 335-347. [ Links ]
Suvorova, A. I., Tjukova, I. S., & Trufanova, E. I. (1999). Thermodynamic and Diffusion Properties of Biodegradable Systems Based on Starch and Cellulose Derivatives. Journal of Environmental Polymer Degradation, 7(1), 35-40. [ Links ]
Teixido, N., Viñas, I., Usall, J., & Magan, N. (1998). Improving ecological fitness and environmental stress tolerance of the biocontrol yeast Candida sake by manipulation of intracellular sugar alcohol and sugar content. Mycological Research, 102, 1409-1417. [ Links ]
Tittabutra, P. W., Payakaponga, N., Teaumroonga, P. W, Singletonb, & Boonkerda, N. (2007). Growth, survival and field performance of bradyrhizobial liquid inoculant formulations with polymeric additives. Science Asia, 33, 69-77. [ Links ]
Wang, Y., Xu, Z., Zhu, P., Liu, Y., Zhang, Z., Mastuda, Y., Toyoda, H., & Xu, L. (2010). Postharvest biological control of melon pathogens using Bacillus subtilis exwb1. Journal of Plant Pathology, 92(3), 645-652. [ Links ]
Wisniewsky, M., Wilson, Ch., Droby, S., Chalutz, E., El Ghaouth, A., & Stevens, C. (2007). Postharvest biocontrol: new concepts and applications. In Biological Control a global perspective. Eds Vincent, C., Goettel, M.S., & Lazarovits, G. CAB International. Pp 262-273. [ Links ]
Young, C., Rekha, P.D., Lai, W.A., & Arun, A.B. (2006). Encapsulation of plant growth-promoting bacteria in alginate beads enriched with humic acid. Biotechnology and Bioengineering, 95, 76-83. [ Links ]
Zong, Y., Liu, J., Li, B., Qin, G., & Tian, S. (2010). Effects of yeast antagonists in combination with hot water treatment on postharvest diseases of tomato fruit. Biological Control, 54, 316-321. [ Links ]






















