Services on Demand
Journal
Article
Indicators
-
Cited by SciELO -
Access statistics
Related links
-
Cited by Google -
Similars in
SciELO -
Similars in Google
Share
Psicología desde el Caribe
Print version ISSN 0123-417X
Psicol. caribe vol.29 no.3 Barranquilla Oct./Dec. 2012
Diseño de la Escala Multidimensional de Trastornos Afectivos (emta): análisis psicométrico de confiabilidad y validez*
Design of multidimensional scale emta affective disorders: psychometric analysis of reliability and validity
Daniella Abello Luque, Mg. ** Omar Fernando Cortés Peña, Ph.D.(c)**
* Este artículo es un producto científico y tecnológico derivado del proyecto "Diseño y Validación de la Escala Multidimensional de los Trastornos Afectivos, EMTA", del Grupo CES de la Corporación Universidad de la Costa, registrado oficialmente con el código 140-01-003-1.
** Corporación Universidad de la Costa (Colombia). ocortes3@cuc.edu.co. Correspondencia: Facultad de Psicología, Grupo de Investigación CES, Corporación Universidad de la Costa. Barranquilla (Colombia).
Fecha de recepción: 28 de febrero de 2012
Fecha de aceptación: 25 de octubre de 2012
Resumen
El propósito de esta investigación fue construir y validar una escala que mide trastornos afectivos. La muestra piloto estuvo conformada por 100 sujetos de la Corporación Universidad de la Costa (Barran-quilla, Colombia): 81% mujeres y 19% hombres, con edades entre 18 y 44 años. Inicialmente, la escala contenía en la Subescala de Depresión los ítems 1-57 y en la Subescala de Manía los ítems 5893. La escala final cuenta con la evaluación de síntomas depresivos (ítems 1-47); la segunda de ellas busca evaluar, a su vez, síntomas de corte maniaco (ítems 52-80). Los síntomas contemplados en los ítems 48 al 51 y 81 al 85, respectivamente, buscan evaluar intensidad y cronicidad de una manera más específica. El procesamiento estadístico de los datos se realizó con el software SPSS. Se estimaron los índices Alfa de Cronbach obtenidos en la Subescala de Depresión (a: 0.942) y en la Subescala de Manía (a: 0.834). Adicionalmente se estimaron los niveles de correlación ítem - escala y se desarrolló un análisis factorial para profundizar en la valoración de la validez del constructo. Igualmente se generaron rangos de clasificación de los puntajes obtenidos; para identificar el nivel de Manía o Depresión de los sujetos, cada una de la subescalas evalúa rangos de nivel bajo, medio y alto. En el caso de la Subescala de Depresión, se pudo identificar que los rangos de clasificación están a un nivel bajo para el 81% de los casos y medio para el 19%. En la Subescala de Manía, los rangos de clasificación están a un nivel bajo para el 82% de los casos y medio para el 18%, los cuales son consistentes con la naturaleza de la muestra piloto, que fue de corte no clínica.
Palabras clave: Trastornos afectivos, depresión, manía, prueba psicométrica, escala multidimensional, confiabilidad, validez.
Abstract
The purpose of this research was to construct and validate a scale for measuring affective disorders. The sample was taken with 100 students of the Corporación Universidad de la Costa (Barranquilla, Colombia): 81% women and 19% men between 18 and 44 years of age. Initially, the scale contained items from 1 to 57 in the Depression Subscale and items from 58 to 93 in the Mania Subscale. The final scale has items (from 1 to 47) to valuate depressive symptoms and others (from 52 to 80) for mania symptoms. Items from 48 to 51 and from 81 to 85 were made to valuate intensity and chronicity in a more specific way. Statistical data processing came ahead from expected with the SPSS software. Indicating the Cronbach Alpha index obtained in the Depression Subscale, that was equal to (a: 0.942) and in the Mania Subscale was equal to (a: 0.834). In addition, correlated values were estimated from item-scale and a factorial analysis was developed to reach deep in the grade validity of the construct, in order to identify the subjects' level of Mania or Depression. Each subscale valuates low, medium and high ranges. With the Depression Subscale 81% of the sample showed low level results and 19% showed medium level results. With the Mania Subscale at 82% of the sample, showed low level results and 18% showed medium level results, which are consistent with the nature of the original sample from non-clinical approach.
Keywords: Affective disorders, depression, mania, psychometric test, multidimensional scaling, reliability, validity.
INTRODUCCIÓN
Actualmente, los trastornos del estado de ánimo son uno de los problemas psicológicos más frecuentes, una de las afecciones que más han prevalecido a lo largo de la historia de la humanidad. Un elemento esencial de esta problemática, que la ha hecho permanecer durante tanto tiempo, y que hace que persista, es que aun cuando se han desarrollado diversos métodos para su diagnóstico y tratamiento, estos no responden a cabalidad frente a la demanda de eficacia, efectividad y objetividad que reclama el terreno de evaluación e intervención psicológica.
Existe específicamente un detalle que contribuye a la prevalencia o extinción de cualquier enfermedad: la intervención. Sin embargo, la etapa evaluativa no es efectiva sin un buen diagnóstico. Bien es sabido que un diagnóstico erróneo lleva a un inadecuado tratamiento y, por ende, a la continua presencia de un determinado problema; y en este aspecto los trastornos del estado de ánimo no hacen la tarea fácil, puesto que pueden llegar a ser confusos; esto último por diversas razones, tales como la coexistencia de uno o más trastornos, la poca claridad del profesional hacia el paciente a la hora de ejecutar el proceso de diagnóstico, la poca claridad en los instrumentos que permiten la identificación de los trastornos del ánimo, y muy especialmente, el diagnóstico erróneo en los adultos mayores, a quienes usualmente se les toman los síntomas que denotan trastornos del ánimo como el proceso de deterioro cognitivo normal.
Hasta este punto es claro, porque es necesario crear alternativas de solución y contribución frente a la problemática de los trastornos afectivos, sin embargo, se hace necesario, de alguna forma, tratar sobre el estado actual del diseño y/o validación de instrumentos psicométricos que evalúen adecuadamente los diferentes trastornos, particularmente en Colombia.
A nivel mundial, esta realidad es revelada por las más de 2752 publicaciones que aproximadamente distingue la base de datos PsycINFO, en la búsqueda con palabras clave como: Test Translation, Test Adaption o Test Construction, en el período comprendido entre 2001-2004 (Carretero-Dios & Pérez, 2005), lo que podría situar la importancia de la psicometría en el desarrollo científico, así como los grandes aportes que realiza. Sin embargo, en el caso colombiano no existen cifras oficiales; las únicas aproximaciones en cuanto a este tema son más bien aportadas por los diferentes estudios que se encuentran en bases de datos como Redalyc o Scielo, y que permiten ver qué trabajos de este tipo están mayormente dirigidos a la validación, estandarización o traducción de instrumentos mayormente creados en otros países, cuya lengua materna es generalmente el inglés. Entre los instrumentos desarrollados en Colombia para la valoración de la manía se destaca especialmente la investigación "Desarrollo y validación de una escala para medir síntomas maníacos: Escala para Manía de la Universidad Nacional de Colombia (EMUN)", llevada a cabo por Ricardo Sánchez, Luis Jaramillo y Carlos Gómez-Restrepo en 2008. En consecuencia, el panorama en Colombia amerita la necesidad de desarrollar herramientas o instrumentos que se ajusten las características de la población, debido a que es bien conocido que en muchas ocasiones los instrumentos desarrollados en otros países no se ajustan a las características de nuestro contexto.
Debido a las razones anteriormente expuestas, surge la necesidad de crear la Escala Multidimensional de los Trastornos Afectivos (EMTA), un instrumento claro, preciso y conciso, que servirá al profesional para realizar un diagnóstico más adecuado, que en últimas contribuya a un tratamiento efectivo que permita un avance real en los pacientes; capaz no solo de determinar si un individuo se encuentra afectado por un trastorno del ánimo, sino que también arroja un panorama parcial del tipo de trastorno que padece dicho paciente. Es entonces prioritario realizar esta investigación teniendo en cuenta las falencias de los instrumentos psicométricos que a lo largo de la historia se han empleado y los factores que inciden en la aparición y la prevalencia de las afecciones anímicas, de manera que se construya finalmente un instrumento válido y confiable, que tenga en cuenta las variables esenciales y desarrolle las mismas de una manera simple, llevando, en últimas, al diagnóstico de los trastornos del ánimo, en la atención primaria y posteriormente al adecuado tratamiento de estos.
El valor agregado de la EMTA hace referencia a la integración diagnóstica de los episodios asociados con los cuadros clasificados bajo el marco de los trastornos afectivos, permitiendo la medición y evaluación simultánea de la depresión mayor, distimia, ciclotimia, bipolar I y II. Este aporte particular posibilita el proceso de evaluación, diagnóstico diferencial y se constituye, a su vez, en un insumo de valoración objetiva que enriquece los procesos clínicos y el desarrollo de la investigación aplicada. Partiendo de los antecedentes del desarrollo de los trastornos afectivos se ha realizado con una tendencia de corte unidimensional, siendo este un aspecto que implica que el evaluador recurra a diferentes instrumentos, los cuales, a su vez, están construidos con base en diferentes enfoques en caso de requerir una valoración integral del cuadro clínico.
Por otra parte, el desarrollo de las primeras escalas coincidió con el nacimiento de la psicofarmacología, para poder evaluar los resultados terapéuticos de los primeros medicamentos antidepresivos (Calderón & Narváez, 1995). Entre los estudios que marcaron el siguiente paso de la psicometría en el terreno de las afecciones anímicas podemos resaltar el trabajo realizado por Golberg, Beck, Zung, Hamilton, Yesavage y autores más contemporáneos, quienes han centrado sus esfuerzos en la elaboración de instrumentos de fácil manejo, visión objetiva y resultados confiables.
En cuanto a la depresión, la Organización Mundial de la Salud ([OMS], (2007) ha declarado que esta enfermedad se ha posesionado en los últimos años como el estado mórbido más habitual de la población mundial, especialmente en países desarrollados, con un acelerado ritmo de vida.
Y con el crecimiento de las estadísticas han aumentado las propuestas psicométricas que intentan colaborar al diagnóstico de esta enfermedad en cada una de las etapas del ciclo vital de los individuos. Se describen a continuación algunas de ellas:
■ Escala de valoración psiquiátrica de depresión de Hamilton
Esta escala, elaborada en 1960, consta de 21 ítems que evalúan el estado de ánimo, el sentimiento de culpabilidad, la inhibición, la presencia de ideas suicidas y los cambios comportamentales, así como la ansiedad, el insomnio y los trastornos psicosomáticos asociados. Así mismo, esta escala también evalúa los rasgos neuróticos ajenos a la propia depresión; y da un último apartado abierto, para especificar otros síntomas no enumerados. Finalmente, la sumatoria de los ítems acertados muestra la ausencia del trastorno o indica depresión de moderada a severa o, en su defecto, sugiere depresiones menores o distimía (Duch, Ruiz de Porras, Ruiz de Porras, Allué & Palou, 1999).
■ Beck Depression Inventory (BDI)
Es una escala de autoevaluación que tiene como objetivo valorar la gravedad de los síntomas clínicos propios de la depresión y la presencia de pensamientos irracionales. Es la escala con el mayor porcentaje de síntomas cognitivos, lo cual denota además la ausencia de síntomas motores o de ansiedad. La versión original de 1961 consta de 21 ítems, los cuales deben ser descritos por el paciente y comprenden: ánimo depresivo, pesimismo, sensación de fracaso, culpa, irritabilidad, ideas suicidas, llanto, aislamiento social, indecisión, cambios en el aspecto físico, dificultad en el desarrollo de actividades cotidianas y laborales. Posteriormente se realizaron dos revisiones: la primera en 1979 y la segunda en 1996. En la segunda revisión se reemplazaron los ítems referidos a cambios físicos y dificultades al laborar por agitación, dificultad para concentrarse, pérdida de energía y sentimientos de inutilidad. La versión en castellano fue avalada en 1975 (Grupo de trabajo sobre el Manejo de la Depresión Mayor en el Adulto, 2008).
■ Escala autoadministrada de depresión de Zung
Este instrumento fue diseñado en 1965. Se trata de un cuestionario auto administrado de 20 preguntas, que buscan indicar la existencia de un estado depresivo y la magnitud de este y a las que se responde según los síntomas sean muy raros o muy frecuentes: de 1 a 4 en los negativos (depresivos), o inversamente, de 4 a 1 en los positivos (de ánimo conservado). Valores inferiores a 28 se consideran normales, mientras que los superiores indican depresión: leve, de 28 a 41, moderada, de 42 a 53, y grave por encima de este. Su mayor componente es el somático-conductual. Esta escala fue una de las primeras en validarse en Colombia, y se considera, en cierto modo, un derivado de la escala de Hamilton (Duch et al., 1999).
■ Escala de ansiedad y depresión de Goldberg (EADG)
Esta escala, elaborada en 1972, es una prueba de detección que nos orienta no solo al diagnóstico hacia la ansiedad y la depresión, sino que nos discrimina entre ellos y nos dimensiona sus respectivas intensidades. Esta prueba le pide al paciente una reflexión sobre las dos últimas semanas, y si ha presentado alguno de los síntomas descritos en el instrumento, cuatro para la Subescala de Ansiedad y cuatro para la Subescala de Depresión; al acertar dos de los síntomas de un mismo subgrupo, se redirecciona a otro grupo de pregunta ahora más específicas y referentes o a la ansiedad en particular o a la depresión. Aun cuando las preguntas son muy claras, las respuestas admiten dicotomía, de forma que a veces el enfermo duda por coincidencias de leve intensidad, y es únicamente el juicio subjetivo del profesional el que puede valorar la significación de la respuesta (Organización Mundial de la Salud, 2007).
■ Escala de depresión geriátrica de Yesavage
Esta prueba suele usarse en el screening general del enfermo geriátrico y en el diagnóstico diferencial de la pseudodemencia por depresión. Bien aplicada tiene una sensibilidad del 84% y una especificidad del 95%. Cuenta con 39 ítems en su versión completa y con 15 en su versión abreviada. Es un interrogatorio de respuestas dicotómicas, puntuando la coincidencia con el estado depresivo. Los resultados se condensan en tres premisas: valores normales, depresión establecida y depresión leve, en su versión abreviada (Duch et al., 1999).
■ Escala de Young para la medición de manía (YMRS)
Esta escala, elaborada por R. C. Young, J. T. Biggs, V. E. Ziegler y D. A. Meyer, evalúa la aparición y la intensidad de la manía. Es de administración heteroaplicada y está constituida por 11 ítems que evalúan síntomas exclusivamente maniacos, por lo que uso no resulta tan apropiado en los pacientes con trastorno bipolar II. Los ítems han de ser puntuados por el clínico basándose en el relato del paciente y en su propia observación. Para puntuar dispone de una escala de intensidad que oscila unas veces entre 0 y 4 y otras veces entre 0 y 8 (ítems 5, 6, 8 y 9). Estos 4 ítems tienen el doble de valor para compensar la pobre cooperación de los pacientes maníacos graves. La escala proporciona criterios operativos para asignar la puntuación: a mayor puntuación, mayor gravedad del cuadro maníaco, y el tiempo de duración aproximado de la entrevista es de 15-30 minutos. Una vez aplicado el instrumento, los resultados pueden ser compatibles con eutimia, con episodio mixto o con episodio maniaco.
■ Escala de manía aplicada por clínicos (EMAC)
La EMAC es una escala administrada por clínicos que consta de 15 ítems y fue diseñada para valorar la severidad de la sintomatología maníaca y psicótica; la mayoría de los ítems se puntúa desde cero (ausente) a cinco (síntoma presente), en un grado severo basado en incrementos de severidad. Su tiempo de aplicación oscila entre 15 y 30 minutos. La EMAC contiene dos subescalas, a una de las cuales se puntúa separadamente; para obtener la puntuación de la Subescala de Manía se suman los ítems del 1 al 10. Los posibles resultados una vez la escala ha sido aplicada son: No hay o cuestionable manía, manía ligera, manía moderada y sintomatología severa. La segunda subescala, la cual mide los síntomas psicóticos y/o desorganización, se deriva sumando los ítems del 11 al 15. Las puntuaciones de ambas subescalas pueden ser sumadas para dar una medida global de la manía con síntomas psicóticos. Sin embargo, la escala total no debe usarse para medir la severidad de la manía sino más bien solo la subescala 1. Las dos subescalas permiten una evaluación independiente de la manía frente a los síntomas psicóticos, lo cual puede responder de forma diferente al tratamiento.
■ Escala de manía de Bech-Rafaelsen (MAS)
Esta escala fue elaborada por P. Bech, O. J. Rafaelsen, P. Kramp y T. G. Bolwig. Corresponde a una escala de segunda generación, derivada, por una parte, de la escala de Biegel para los estados maníacos y, por otra, como contraposición a la escala de melancolía de los mismos autores. Consta de 11 ítems que evalúan la presencia e intensidad de los síntomas maníacos, según los criterios diagnósticos DSM-IV y CIE-10 (excepto el B8 (comportamientos temerarios o imprudentes de la CIE-10).
Cada ítem se puntúa utilizando una escala Likert de intensidad que oscila entre 0 y 4. La escala proporciona criterios operativos de puntuación. Se trata de una escala heteroaplicada en la que el clínico sigue el método de una entrevista clínica semiestructurada. Existe también una versión autoaplicada (Bech et al., 1993). El marco de referencia temporal son como mínimo los 3 días previos. La escala proporciona una medida objetiva de la gravedad de los síntomas que en la actualidad está experimentando el paciente, que se obtiene sumando las puntuaciones en los 11 ítems. La puntuación oscila entre 0 y 44 puntos. Los posibles resultados una vez la escala es aplicada al paciente son: No hay manía, presencia de hipomanía, manía probable o manía definitiva.
Estudios recientes también apuntan a la detección de estados depresivos en adultos mayores y evidencian que a pesar de existir falencia en el diagnóstico de dicho estado mórbido en todo las etapas de la vida, es en la población geriátrica en la que ocurre mayor omisión del diagnóstico y se presenta menor claridad en el diagnóstico diferencial con respecto a las demencias seniles y las pseudodemencias.
Riquelme Marín, Buendio Vidal y López Navas (2006) realizaron un estudio cuyo objetivo fue el desarrollo y la validación de un instrumento para la evaluación de la depresión en los ancianos; dicho instrumento busca un tiempo mínimo en su aplicación, el requerimiento de pocos conocimientos de psicopatología por parte de los aplicadores y una aguda precisión en la detección de patologías depresivas en la población gerontológica; con lo que se espera sea susceptible a ser empleado en la atención primaria y presente una alta validez convergente con los criterios clínicos universales. Una mirada global al instrumento nos muestra la inclusión de la escala CES-D (Radolff, 1977), una entrevista clínica sujeta a los criterios del DSM IV-TR y un inventario general de síntomas depresivos, de elaboración propia, en la batería de evaluación que propone este trabajo. Dicho inventario comprende un total de 56 síntomas, expresados en 58 ítems, en los que se recogen los criterios del DSM IV-TR y el CIE-10; además de ser el resultado de una intensa revisión de los principales instrumentos psicométrico para la detección de patologías depresivas.
Finalmente, el estudio arrojó la detección de 14 casos de trastornos depresivos [depresión mayor (2 casos), distimia (11 casos) y trastorno depresivo no especificado (1 caso)] en una población de 237 ancianos con edades superiores a 64 años, de los cuales el 47,7% eran hombres y el 52,3% mujeres. Así mismo, a pesar de mostrar importantes resultados, recomiendan la aplicación transcultural del inventario para superar las barreras que imponen la diversificación de la percepción de los ancianos y la valoración de los mismos en las distintas comunidades, elementos que inciden directamente en su condición. Además, concluyen sugiriendo la ampliación del tamaño de la muestra para mejores resultados en trabajos posteriores, así como una mejor identificación de la población para tener correcta discriminación entre la población clínica y la normal.
MÉTODO
Diseño
El estudio es de tipo cuantitativo, bajo el paradigma empírico-analítico, con un diseño no experimental transeccional de corte psicométrico. Según Hernández (2008), el diseño no experimental es aquel que se realiza sin manipular deliberadamente variables. Es decir, se trata de investigación en la que no hacemos variar intencionadamente las variables independientes. Lo que hacemos en la investigación no experimental es observar fenómenos tal y como se presentan en su contexto natural, para después analizarlos. En cuanto a lo transeccional, se refiere a un corte en el tiempo, de un determinado fenómeno en donde se investigan las relaciones entre determinadas variables.
Participantes
El estudio piloto de la EMTA se desarrolló con una muestra intencional de 100 participantes seleccionados con el método no probabilístico de tipo experto, dado que se requería garantizar que los participantes cumplieran con una serie de criterios de inclusión y exclusión, tales como pertenecer al nivel de educación superior en curso, ser mayores de edad, y como criterio de exclusión, cabe anotar que se realizó una valoración preliminar de factores personales asociados con los trastornos afectivos para garantizar que los participantes constituyeran una muestra no clínica.
Instrumento
El objetivo de la escala es cuantificar y diagnosticar la sintomatologia que compete a los trastornos del estado del ánimo, teniendo en cuenta los distintos factores que inciden en la morfología de dichos síntomas y que comprometen la asertividad de la intervención clínica en los pacientes. La EMTA está constituida por dos subescalas, que evalúan la aparición, intensidad y cronicidad de síntomas objetivos involucrados en los trastornos del estado de ánimo; la conceptualización teórica de la escala se sustenta en DSM-IV y el modelo de la terapia de Beck. En cuanto a las subescalas, la primera de ellas apunta a la evaluación de síntomas depresivos (ítems 1-47) y la segunda busca evaluar, a su vez, síntomas de corte maniaco (ítems 52-80). Los síntomas contemplados en los ítems 48 al 51 y 81 al 85, respectivamente, buscan evaluar intensidad y cronicidad de una manera más específica.
Procedimiento
Luego de la construcción de la escala se procedió a la revisión por tres jueces expertos, y luego se realizaron las modificaciones sugeridas y se llevó a cabo la prueba piloto con 100 sujetos. Para llevar a cabo este objetivo se realizó la investigación psicométrica en las siguientes fases:
Fase 1. Formulación del propósito de la prueba.
Fase 2. Revisión del estado de arte y elección del Modelo Teórico de Evaluación.
Fase 3. Definición conceptual y operacional del constructo a medir.
Fase 4. Formulación de especificaciones psicométricas de la prueba.
Fase 5. Diseño de ítems y del formato de la prueba.
Fase 6. Revisión de la prueba por jueces expertos.
Fase 7. Aplicación de la prueba piloto.
Fase 8. Análisis de los datos, confiabilidad y validez.
Fase 9. Ajustes finales de al instrumento y elaboración del manual.
RESULTADOS
En esta investigación, el objetivo general es diseñar la EMTA desde del marco psicométrico de desarrollo de pruebas objetivas, con su correspondiente valoración de confiabilidad y validez, brindando un aporte en los procesos de evaluación psicológica.
A continuación se presentan los principales hallazgos de confiabilidad y validez de la EMTA, en su aplicación versión piloto (n = 100); en primera instancia se presenta la caracterización de la muestra; posteriormente se analiza la confiabilidad y validez de cada una de las subescalas y finalmente se hace el análisis descriptivo y comparativo general derivado del comportamiento psicométrico de la escala. Los participantes presentan un promedio de edad de 23 años, con una tendencia central entre 20 y 25 años, con una edad mínima de 18 años y máxima de 45 (ver gráfico 1).
En el gráfico 2 se puede observar que el 81% de la muestra son mujeres y el 19% restante corresponde a los hombres.
El gráfico 3 presenta un análisis conjunto de la distribución de la edad por género; cabe anotar que en el caso de las mujeres, las mayores concentraciones de edad se observan entre 19 y 24 años, mientras las edades de los hombres son más dispersas y se encuentran en el rango de 18 a 44 años.
Análisis de confiabilidad y consistencia interna de las subescalas
En los estudios de validación con prueba piloto se ha considerado de gran pertinencia el cálculo de la confiabilidad y el análisis de validez a partir de la consistencia interna de los ítems frente de a cada una de sus correspondientes subescalas. Para esta investigación se seleccionó el Alfa de Cronbach, dado que los ítems de la escala asumieron un sistema de calificación politómico (con cuatro grados de respuesta).
El índice de confiabilidad oscila entre 0 y 1. En la medida que se acerca a 1 el nivel de confiabilidad es mayor. Por otra parte, el análisis de consistencia interna se orienta a las relaciones que se establecen entre el patrón de respuesta al ítem y su correspondiente asociación directamente proporcional con los puntajes de la escala; es decir que se esperaría obtener ítems pruebas positivas, entre más alta sea la correlación mayor es nivel de consistencia interna que guarda el ítem de la escala. A continuación se presentan los hallazgos derivados del análisis de confiabilidad y consistencia interna para las escalas de Depresión y Manía.
Subescala de Depresión
El índice Alfa de Cronbach obtenido en la Subescala de Depresión fue igual a (a: 0.942), el cual se considera superior y denota la calidad de psicométrica asociada al diseño de la escala. En la tabla 1 se presentan los índices de correlación ítem-escala que hacen parte del análisis de consistencia interna de la escala de depresión.
En la tercera columna de la tabla 1, tal como se puede apreciar, los índices de correlación son positivos, lo cual es un indicador ajustado al criterio de la consistencia interna de la prueba. Cabe resaltar que los ítems p1, p2, p4, p5, p7, p21, p22, p23, p25, p26, p27, p28, p29, p30, p31,p32,p33,p34,p35,p36,p37,p38,p40, p41,p42, p43, p44, p45 y p47 presentan correlaciones positivas superiores a (r.50); en otras palabras, estos son los ítems más representativos de la consistencia interna de la escala.
Aunque ninguno de los ítems presenta una correlación inversamente proporcional con la escala, se sugiere revisar los ítems p10, p14, p16 y p20, cuyas relaciones fueron inferiores a (r.30), con la finalidad de precisarlos de manera semántica o conceptual.
Adicionalmente, en la última columna de la tabla 1 podemos ver que el índice Alfa de Cronbach no sufre modificaciones sustanciales al ser eliminados potencialmente algunos de los ítems y se mantiene en el nivel de 0,940 a 0,943. Esto indica que si se mantienen los ítems de la escala en su versión piloto no se está afectando la sensibilidad interna del instrumento y que, en particular, todas las preguntas asumen un comportamiento adecuado en relación con la consistencia de la escala.
Subescala de Manía
El índice Alfa de Cronbach obtenido en la Subescala de Manía fue igual a (a: 0.834), el cual se considera un buen resultado, ya que es mayor de 0.80, y en este caso, a diferencia de la Escala de Depresión, cuenta con 29 ítems.
En la tercera columna de la tabla 2, tal como se puede apreciar, son los índices de correlación son positivos, lo cual es un indicador ajustado al criterio de la consistencia interna de la Subescala de Manía. Es pertinente resaltar que los ítems p65, p70, p71, p72, p73, p74, p76, p77, p78, p79 y p 80 presentan correlaciones positivas superiores a (r.40); en otras palabras, estos son los ítems más representativos de la consistencia interna de la escala. Aunque ninguno de los ítems presenta una correlación inversamente proporcional con la escala, se sugiere revisar los ítems p52, p62, p63 y p64, cuyas relaciones fueron inferiores a (r.20), con la finalidad de precisarlos de manera semántica o conceptual.
Adicionalmente, en la última columna de esta tabla podemos ver que el índice Alfa de Cronbach no sufre modificaciones sustanciales al ser eliminados potencialmente algunos de los ítems y se mantiene en el nivel de 0,817 a 0,841.
Análisis descriptivo del comportamiento de los ítems y de las subescalas
A continuación se presentan las tendencias centrales en el análisis descriptivo de los ítems de la Subescala de la Depresión, tal como se ilustra en la tabla 3 y en el gráfico 4.
Los promedios calculados para cada uno de los ítems están en un continuo entre 1 y 4, correspondientes a los grados de calificación original: "Nunca", "a veces", "casi siempre" o "siempre". Estos resultados permiten clasificar los ítems en dos grupos, dentro de los cuales los que reflejaron mayor prevalencia a la depresión son: Grupo 1: p1, p7, p19, p21, p22, p24 y p39, tal como se ilustra en el gráfico 4.
A continuación se presentan las tendencias centrales en el análisis descriptivo de los ítems de la Subescala de Depresión, tal como se ilustra en la tabla 4 y en el gráfico 5.
Los promedios calculados para cada uno de los ítems están en un continuo entre 1 y 4, correspondientes a los grados de calificación original: "Nunca", "a veces", "casi siempre" o "siempre". Estos resultados permiten clasificar los ítems en dos grupos dentro de los cuales los que reflejaron mayor prevalencia a la manía son: Grupo 1: p52, p56, p63 y p71, tal como se ilustra en el gráfico 5.
Validez de Constructo: Análisis Factorial de las subescalas de Depresión y Manía
Los análisis factoriales brindan la posibilidad de analizar la validez de constructo en la medida en que permiten identificar diferentes alternativas de agrupación entre los ítems de un instrumento a partir del análisis de sus correspondientes intercorrelaciones. Estas agrupaciones de los ítems en componentes o factores comprenden un porcentaje de la variabilidad explicada y permiten identificar si un grupo de preguntas mide una o varias dimensiones de la variable a medir. A continuación se resaltan los principales hallazgos derivados de los análisis factoriales realizados con cada una de las dos subescalas de Depresión y Manía.
Análisis Factorial de la Subescala de Depresión
A continuación se presentan los resultados derivados del análisis factorial realizado con los ítems de la Subescala de Depresión.
La tabla 5 permite identificar que la Subescala de Depresión cumple con el criterio de adecuación muestral de Kaiser-Meyer-Olkin y el criterio de esfericidad de Bartlett, siendo significativo al 99%. El modelo factorial presentó cinco componentes principales, con una varianza explicada del 53%. A continuación se presenta la agrupación factorial de los ítems de la Subescala de Depresión en la tabla 5, después de aplicarle el criterio de rotación varimax.
Tal como se presentó en la tabla anterior, se identificaron cinco componentes principales en la Subescala de Depresión, conformados de la siguiente manera en la tabla 7.
Finalmente se presenta a continuación la gráfica de agrupación de los ítems de la Subescala de Depresión en espacio rotado con tres dimensiones.
Análisis Factorial de la Subescala de Manía
La tabla 8 permite identificar que la Subescala de Manía cumple con el criterio de adecuación muestral de Kaiser-Meyer-Olkin y el criterio de esfericidad de Bartlett, siendo significativo al 99%. El modelo factorial presentó cinco componentes principales, con una varianza explicada del 52%. A continuación se presenta la agrupación factorial de los ítems de la Subescala de Manía en la tabla 9, después de aplicarle el criterio de rotación varimax.
Tal como se presentó en la tabla anterior, se identificaron cinco componentes principales en la Subescala de Manía, conformados de la siguiente manera:
Finalmente se presenta a continuación la gráfica de agrupación de los ítems de la Subescala de Manía en espacio rotado con tres dimensiones.
Análisis descriptivo y correlacional de los puntajes de las subescalas de Depresión y Manía
En este apartado se presentan los resultados derivados de los puntajes derivados de los puntajes obtenidos de las subescalas de Depresión y Manía. Para cada uno de los dos casos se calcularon cinco tipos de puntajes de referencia.
1. Puntaje directo: corresponde a la sumatoria de los ítems correspondientes a las subescalas.
2. Escala promedio: se obtiene al dividir la sumatoria entre el número de ítems de la escala, lo cual permite tener puntajes en la escala original de calificación de los ítems (1 a 4).
3. Escala z: comprende los puntajes derivados de la normalización estándar en escala Z con promedios 0 y desviación 1. Asumiendo el modelo clásico de curva normal.
4. Escala T: escala estandarizada derivada de la escala z y se calcula para facilitar la interpretación de los puntajes; por ende, asume un promedio de 50 y una desviación de 10 puntos.
5. Rango: para cada uno de los dos casos se establecieron 3 rangos derivados de las puntaciones directas que permitían clasificar a los participantes en nivel bajo, medio y alto tanto de depresión como manía; estos tres rangos han sido derivados de los puntajes mínimos y máximos que teóricamente podrían obtener los participantes en cada una de las dos escalas.
Cabe anotar que para las dos escalas se adjuntan las tablas de baremos que permiten hacer la transformación de puntajes entre los 4 niveles de escala continua (puntaje directo, puntaje promedio, escala Z y escala T).
A continuación se presenta los resultados descriptivos de la Subescala de Depresión:
Tal como se puede apreciar en la tabla 11, los puntajes directos que aparecen en la primera columna permiten identificar que el promedio obtenido es de 76.55, el cual equivale a una puntuación promedio de 1.62 (entre 1 y 4), que a su vez corresponde a un valor Z igual a 0 y un valor T de 50 puntos. Para el caso de los puntajes directos, estos oscilan en una tendencia entre 62 y 84 puntos, los puntajes promedios, entre 1.81 y 1.80, los puntajes Z, entre -0.78 y 0.44, y los puntajes T entre 42 y 54.
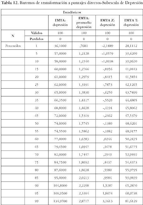
A continuación se presenta en la tabla 12 los baremos correspondientes a la transformación de puntajes directo, promedio, Z y T, con sus correspondientes percentiles, que permiten clasificar el desempeño de los participantes en relación con la intensidad con la que se presentan estos puntajes.
En el gráfico 8 se ilustra la distribución de los puntajes estandarizados en la escala T, con promedios (50) y desviación de (10).
A partir de los resultados de la tabla 13, que se ilustran a continuación con el gráfico 9, se pudo identificar que los rangos de clasificación están a un nivel bajo para el 81% de los casos y medio para el 19%.
Tal como se puede apreciar la tabla 14, los puntajes directos que aparecen en la primera columna permiten identificar que el promedio obtenido es de 49.25, el cual equivale a una puntuación promedio de 1.69 (entre 1 y 4), que a su vez corresponde a un valor Z igual a 0 y un valor T de 50 puntos. Para el caso de los puntajes directos, estos oscilan en una tendencia entre 43 y 53 puntos, los puntajes promedios, entre 1.49 y 1.82, los puntajes Z, entre -0.63 y 0.39 y los puntajes T entre 43 y 53.
A continuación se presenta en la tabla 15 los baremos correspondientes a la transformación de puntajes, directo, promedio, Z y T, con sus correspondientes percentiles, que permiten clasificar el desempeño de los participantes en relación con la intensidad con la que se presentan estos puntajes.
El gráfico 10 ilustra la distribución de los puntajes estandarizados en la escala T, con promedios (50) y desviación de (10).
A partir de los resultados de la tabla 15, que se ilustran a continuación con el gráfico 11, se pudo identificar que los rangos de clasificación están a un nivel bajo para el 81% de los casos y medio para el 19%.
Como se ilustra a continuación con el gráfico 10, se pudo identificar que los rangos de clasificación están a un nivel bajo para el 82% de los casos y medio para el 18%.
Finalmente, se presenta el índice de correlación estimado, entre las sub-escalas de Depresión y Manía, el cual fue equivalente a (r. 616), denotando una asociación directamente proporcional y significativa al 99%. Estos resultados indican que hay una tendencia positiva entre los puntajes de las dos subescalas, tal como se ilustra a continuación con la tabla 16 y el gráfico 11.
DISCUSIÓN
A continuación se establecen las articulaciones derivadas de los estudios relacionados y los resultados presentados, tomando como eje referencial el objetivo general de este estudio, el cual tiene por objeto el diseño y validación piloto de la Escala Multidimensional de los Trastornos Afectivos (EMTA) a partir del marco psicométrico de especificaciones para desarrollo de pruebas objetivas, con su correspondiente valoración de confiabilidad y validez, brindando un aporte en los procesos de evaluación psicológica.
Partiendo del referente de que el estudio de los trastornos del estado de ánimo se ha centrado en la delimitación de los conceptos y la numeración de los síntomas, pero el diagnóstico y la intervención son elementos que aún presentan importantes falencias, pues a pesar de ser los trastornos afectivos una de las principales afecciones actuales, no se cuenta con herramientas que amparen objetivamente todos las dimensiones que componen dichos estados mórbidos.
El diseño de la escala multidimensional EMTA, la cual mide los trastornos afectivos, cuenta con una escala de Depresión y una de Manía. El instrumento fue revisado por tres jueces expertos. Mediante los resultados de esta revisión se realizó el pilotaje con 100 sujetos escogidos mediante un muestreo intencional no probabilístico de sujetos seleccionados por el método de experto, para responder a los criterios de inclusión-exclusión de la aplicación piloto, teniendo en cuenta que en esta muestra las mujeres contaron con un mayor nivel de mayor representación por género en comparación con los hombres.
Por otra parte, se hace indispensable responder a la pregunta problema que nos formulamos para esta investigación de tipo psicométrico: ¿Cuáles son los índices de confiabilidad y validez que reporta la escala multidimensional de trastornos afectivos (EMTA) en una muestra de adultos de 18 a 45 años?
Cabe resaltar el comportamiento psicométrico de la EMTA en relación con los índices de confiabilidad Alfa de Cronbach obtenidos en la Subes-cala de Depresión (a: 0.942), el cual se considera superior y denota la calidad de psicométrica asociada al diseño de la escala. En complemento, el índice Alfa de Cronbach obtenido en la Subescala de Manía fue igual a (a: 0.834), el cual se considera un buen resultado, ya que es mayor de 0.80, y en este caso, a diferencia de la Escala de Depresión, cuenta con 29 ítems.
Con el fin de mejor los índices de confiabilidad, se sugiere revisar en la Subescala de Depresión los ítems p10, p14, p16 y p20, cuyas relaciones fueron inferiores a (r.30), con la finalidad de precisarlos de manera semántica o conceptual. Por otro lado, en la Escala de Manía se sugiere revisar los ítems p52, p62, p63 y p64.
Para identificar el nivel de manía o depresión de los sujetos, cada una de las subescalas puntuaron en rangos de nivel bajo, medio y alto. En el caso de la Subescala de Depresión, se pudo identificar que los rangos de clasificación están a un nivel bajo para el 81% de los casos y medio para el 19%; en la Subescala de Manía, los rangos de clasificación están a un nivel bajo para el 82% de los casos y medio para el 18%.
Es importante resaltar que este pilotaje responde a la primera fase del proceso investigativo en el diseño y validación de la Escala EMTA, la cual se constituye en la base de desarrollo de una segunda fase de estandarización, en la cual se contará con dos muestras de participantes (clínicos y no clínicos). En tal sentido, con la segunda fase se espera incorporar adicionalmente la aplicación de otras escalas clínicas que permitan fortalecer la evidencia relacionada tanto con la validez de criterio concurrente, así como con los criterios de convergencia y discriminancia, siendo de mayor pertinencia, dado que en esta segunda etapa se podrá comparar el comportamiento diferencial de la escala en cada una de las dos muestras de estudio, y en particular, la muestra clínica permitirá valorar con mayor pertinencia los niveles de convergencia y discriminación frente a otros modelos de medición y evaluación de los Trastornos Afectivos.
En conclusión, las herramientas psicométricas actuales, si bien hacen un aporte significativo al espacio operativo de los profesionales de la salud mental, se hacen débiles para la complejidad que ha tomado el diagnóstico de los trastornos afectivos. Las cifras epidemiológicas muestran que los estudios realizados y las propuestas de intervención dejan aún por fuera importantes factores que inciden en la proliferación de los trastornos afectivos.
En este orden de ideas, se hace evidente que una de las mayores dificultades ha sido la integración de dichos factores incidentes en una herramienta completa, cuya objetividad y soporte empírico permita una visión adecuada de las impresiones parciales que hacen parte de la atención primaria, y son esenciales para el mejoramiento de la actividad preventiva e interventora de la psicología actual. Siendo EMTA una escala ajustada a nuestra población, lo cual nos brindaría respuestas a las necesidades planteadas con anterioridad.
REFERENCIAS
Araya, S. (2007). Prevalencia de la depresión mayor unipolar no diagnosticada en la población entre los 15 y los 35 años. Revista médica de Costa Rica y Centroamérica, 16 (578), 27-32. Recuperado de http://www.pdf-search-engine.com/depresion-mayor-pdf.html [ Links ]
Ayuso, J. (1990). Comorbilidad depresión-ansiedad: aspectos clínicos. Revista electrónica de psiquiatría, 1(1). Recuperado de http://www.psiquiatria.com/ psiquiatria/vol1num1/artic_2.htm [ Links ]
Bandura, A. (1987). Pensamiento y acción: fundamentos sociales. Barcelona: Martínez Roca. [ Links ]
Barlow, D. (2002). Anxiety and its disorders. Estados Unidos: The Guilford Press. [ Links ]
Beck, A., Freeman, A. & otros. (1995). Terapia Cognitiva de los trastornos de personalidad. Barcelona: Paidós. [ Links ]
Bech, P., Bolwig, T., Dein, E., Jacobsen, O. & Gram, L. (1993). Quantitative Rating of Manic States. Correlation between clinical assessment and Beigel's objective Rating Scale. Acta psychiatry Scand, 52(1), 1-6. [ Links ]
Beck, A. (1997). Terapia cognitiva de la depresión. España: Desclée de Brower. [ Links ]
Brennan, J. (1999). Historia y sistemas de la Psicología. México: Prentice Hall. [ Links ]
Caballo, V. (1997). Manual para el tratamiento cognitivo conductual de los trastornos psicológicos. Madrid: Siglo Veintiuno Editores. [ Links ]
Cadavid, N. Delgado, A. & Prieto, G. (2007). Construcción de una escala de depresión con el modelo de Rasch. Psicothema, 19 (3). Recuperado de http://redalyc.uaemex.mx/redalyc/src/inicio/ArtPdfRed.jsp?iCve=72719323 [ Links ]
Calderón Narváez, G. (1995). Un cuestionario para simplificar el diagnóstico del síndrome depresivo. Revista de Neuro - Psiquiatría del Perú. Recuperado de: http://sisbib.unmsm.edu.pe/bvrevistas/neuro_psiquiatria/v60_n2/cuestionario%20.htm. [ Links ]
Campos, M. & Martínez-Larrea, J. (2002). Trastornos afectivos: análisis de su comorbilidad en los trastornos psiquiátricos más frecuentes. ANALES Sis San Navarra, 25 (3), 117-136. Recuperado de http://www.cfnavarra.es [ Links ]
Caro, I. (1997). Manual de psicoterapia cognitivas. España: Paidós. [ Links ]
Cardona, D. (2007). Manejo de la depresión. Recuperado de http://www.utp.edu.co/facies/educacioncontinua/psiquiatria/DEPRESION.pdf. [ Links ]
Carretero-Dios, H. & Pérez, C. (2005). Normas para el desarrollo y revisión de estudios instrumentales. International Journal of Clinical and Health Psychology, 5, 521-551. [ Links ]
Colina, L. & Rodríguez, A. (2008). Terapia cognitiva para los trastornos de personalidad. Venezuela: Los libros de el nacional. [ Links ]
Cormier & Cormier. (1994). Estrategias de entrevista para terapeutas. Habilidades básicas e intervención conductual cognoscitiva. Barcelona: Descleé de Brower. [ Links ]
Davidoff, L. (1982). Introducción a la Psicología. México: McGraw-Hill. [ Links ]
Domènech-Llaberia, E., Araneda, N., Xifró, A. & Dolors Riba, M. (2003). Escala de Depresión Escolar para maestros ESDM 3-6. Psicothema, 15 (4), 575-580. [ Links ]
Domènech-Llaberia, E. & Polaino-Lorente, A. (1990). La escala ESDM como instrumento adicional en el diagnóstico de la depresión infantil. Revista de Psiquiatría de la Facultad de Medicina de Barcelona, 17(3), 105-113. [ Links ]
DSM-IV-TR. (2003). Manual Diagnóstico y estadístico de los trastornos mentales. Texto Revisado. Barcelona: Masson. [ Links ]
Duch, F., Ruiz de Porras, L., Ruiz de Porras, D., Allué, B. & Palou, I. (1999). Psicometría de la ansiedad, la depresión y el alcoholismo en Atención Primaria. SEMERGEN, 3 (99), 209-225. Recuperado de http://www.semergen.es/semergen/cda/documentos/revistas/pdf/numero3-99/209-225.pdf [ Links ]
Durand, M. & Barlow, D. (2001). Psicología anormal. Un enfoque integral. México: Thomson. [ Links ]
Durand, M. & Barlow, D. (2007). Psicopatología. Un enfoque integral de la psicología anormal. México: Thomson. [ Links ]
Ecueburúa, E. (2001). Comorbilidad de las alteraciones de la conducta alimentaria con los trastornos de personalidad. Psicología conductual. Recuperado de http://www.nutrinfo.com [ Links ]
El Colombiano (2010). Cuidado con la depresión. Recuperado de http://www.elcolombiano.com/BancoConocimiento/C/cuidado_con_la_depresion/cuidado_con_la_depresion.asp [ Links ]
Fernández Ballesteros, R. (1994). Evaluación Conductual Hoy. Barcelona: Pirámide. [ Links ]
Ferrer, A. (2002). La preocupación, mal de nuestros días. Revista Psicología desde el Caribe, Universidad del Norte. Recuperado de http://redalyc.uaemex.mx/redalyc/src/inicio/ArtPdfRed.jsp?iCve=21300905 [ Links ]
Franco, C. (2004). Psychological Treatment of bipolar disorder [reseña]. Revista internacional de psicoanálisis. [ Links ]
Garay, V. (2004). Algunos factores en la salud mental de la mujer rural temporera y su abordaje desde la terapia grupal. Revista de psicología (Universidad de Chile), 13, 103-113. Recuperado de http://redalyc.uaemex.mx/redalyc/src/inicio/ArtPdfRed.jsp?iCve=26413108 [ Links ]
Garrett, H. (1958). Las grandes realizaciones de la Psicología experimental. México: Fondo de Cultura Económica. [ Links ]
Grupo de Trabajo sobre el Manejo de la Depresión Mayor en el Adulto. (2008). Instrumentos de evaluación de la Depresión. Guía Práctica sobre el manejo de la Depresión mayor en el adulto. Madrid: Plan Nacional para el SNS del MSC. [ Links ]
González, M., Herrero, M., Viña, C., Ibáñez, I. & Peñate, W. (2004). El modelo tripartito: relaciones conceptuales y empíricas entre ansiedad, depresión y afecto negativo. Revista latinoamericana de psicología, 36(2). Recuperado de http://redalyc.uaemex.mx/redalyc/src/inicio/ArtPdfRed.jsp?iCve=80536208 [ Links ]
Gómez, C. & Roa, L. (2002).Tratamiento de una depresión causada por pérdida afectiva: caso único. Servicio de psicología aplicada. Universidad Nacional de Educación a Distancia (UNED). Recuperado de http://www.redalyc.org/ [ Links ]
Harrison, Beck & Buceta. (1984).Terapia cognitiva de la depresión. Revista de Psicología Aplicada, 39 (4). [ Links ]
Hernández, R., Fernández, C. & Baptista, P. (2008). Metodología de la Investigación (4a ed.). México: McGraw-Hill. [ Links ]
Hyde, J. (1991). Psicología de la mujer, la otra mitad de la experiencia humana. Barcelona: Morata. [ Links ]
Labrador, F. & Cruzado, J. (1996). Manual de técnicas de modificación y terapia de la conducta. Madrid: Pirámide. [ Links ]
Leahey, T. (1999). Historia de la psicología: principales corrientes en el pensamiento psicológico. Madrid: Prentice Hall. [ Links ]
Linn, S. & Darse, J. (1988). Psicoterapias contemporáneas: modelos y métodos. Bilbao: Desclée de Brouwer. [ Links ]
Luna, I. Trastornos de personalidad y género. Recuperado de http://www.psiquiatriabiologica.org.co [ Links ]
Luyten, P., Lowyck & Corveleyn, J. (2003). Teoría y tratamiento de la depresión: ¿Hacia su integración? Universidad de Lovaina (Bélgica). Recuperado de http://www.fresno.ulima.edu.pe [ Links ]
Mahoney, M. & Freeman, A. (1985). Cognición y psicoterapia. Cognición y desarrollo Humano. Barcelona: Paidós. [ Links ]
Millon, T & Davis, R. (1998). Trastornos de personalidad: más allá del DSM-IV. Barcelona: Ediciones Masson. [ Links ]
Millon, T. & Davis, R. (2000). Trastornos de personalidad en la vida moderna. Barcelona: Ediciones Masson. [ Links ]
Ministerio de Salud de Colombia. (1998). Segundo Estudio Nacional de Salud Mental y Consumo de Sustancias Psicoactivas. Versión Preliminar. Santa Fe de Bogotá, Oficina de Comunicaciones. [ Links ]
Moreno, P. (2002). Superar la ansiedad y el miedo. España: Desclée de Brouwer. [ Links ]
Moreno, P. & Martin, J. (2004). Dominar la crisis de ansiedad. España: Desclée de Brouwer. [ Links ]
Obst, J. (2004). Introducción a la Terapia Cognitiva. Teoría, aplicaciones y nuevos desarrollos. Buenos Aires: C.A.T.R.E.C. [ Links ]
Ortiz, M. (2007). Experiencias en la intervención psicológica con familias de personas dependientes. Intervención Psicosocial, 16 (1). Madrid. Recuperado de http://www.scielo.isciii.es [ Links ]
Pear, M. (1999). Modificación de la conducta. Qué es y cómo aplicarla. Madrid: Prentice Hall. [ Links ]
Posada-Villa, J., Aguilar-Gaxiola, S., Magaña, C. & Gómez, L. (2004). Prevalencia de trastornos mentales y uso de servicios: resultados preliminares del Estudio Nacional de Salud Mental. Colombia, 2003. Revista Colombiana de Psiquiatría, 33 (3). Recuperado de http://www.psquiatria.or.com [ Links ]
Prados, J. (2002). La preocupación: teoría e intervención. Tesis doctoral, Universidad Complutense de Madrid. Recuperado de http://www.cienciared.com.ar/ra/usr/35/430/racp_xvi_n1pp61_67.pdf [ Links ]
Quiroga, E. & Errasti, J. (2001).Tratamientos psicológicos eficaces para los trastornos de personalidad. Psicothema, 13 (3). Recuperado de http://www.psicothema.com [ Links ]
Radolff, J. S. (1977). The CES-D scale: a self-report depression scale for research in the general in the general population. Applied Psychological Measurement I (pp. 385-401). [ Links ]
Riquelme Marín, A., Buendio Vidal, J. & López Navas, A. (2006). Desarrollo y validación de un instrumento para la evaluación de la depresión en ancianos. Psicothema, 18(1), 288-292. [ Links ]
Riso, W. (1992). Depresión. Avances recientes de la cognición y el procesamiento de la información. Medellín: Centro de Estudios Avanzados en Psicología. [ Links ]
Rodríguez, A. (2009). Psicoterapia Cognitiva. Principios básicos y generales depresión trastornos de ansiedad. VI Jornada de Psicoterapia Avanzada, 28 y 29 de agosto, Universidad del Norte, Maestría en Psicología, profundización clínica y especialización clínica. [ Links ]
Roca, E. Tratamiento cognitivo-conductual de los trastornos de la personalidad. Recuperado de http://www.cop.es [ Links ]
Romero, A. & Sánchez, R. (2009). Análisis factorial confirmatorio de síntomas en el síndrome maníaco a partir de la aplicación de la escala EMUN. Revista Colombiana de Psiquiatría, 38(2), 304-315. [ Links ]
Ruiz, J. & Cano, J. Manual de Psicoterapia Cognitiva. Recuperado de http://www.psicologiaonline.com. [ Links ]
Salinas, J. (1998). La Aplicación de Técnicas Cognitivo y Conductuales para el Tratamiento de la Depresión: Un caso. Revista electrónica de psicología Iztaca-la, 1 (1). Recuperado de http://www.iztacala.unam.mx/carreras/psicologia/psiclin/jorgluis.html [ Links ]
San Narciso, G.I., Gutiérrez, E., Sáiz, P.A., González, Ma P., Bascarán, Ma T. & Bobes, J. (2000). Evaluación de trastornos de la personalidad en pacientes heroinómanos mediante el International Personality Disorders Examination (IPDE). Adicciones, 12 (1). Recuperado de http://www.unioviedo.es [ Links ]
Sarason, I. & Sarason, B. (1996). Psicología Anormal el problema de la conducta inadaptada. México: Prentice Hall. [ Links ]
Sue, D., Sue, D. & Sue, S. (1994). Comportamiento Anormal. México: Mc Graw-Hill. [ Links ]
Wolpe, J. (1977). Práctica de la terapia de la conducta. México: Trillas. [ Links ]
Tominica, A. & Martínez, C. (2009). La Variable Personalidad en el Estudio de la Psicoterapia: ¿Medida de Resultado o Proceso? Terapia psicológica, 27(1). Recuperado de http://redalyc.uaemex.mx/redalyc/src/inicio/ArtPdfRed.jsp?iCve=78511885005 [ Links ]
Zayfert, C. & Black, C. (2007). Terapia cognitiva-conductual para el tratamiento del estrés postraumático. México: Manual Moderno. [ Links ]
ANEXO
Escala multidimensional para la Medicion de Trastornos Afectivos, EMTA Abello, D. & Cortés, O. (2011)
Versión piloto Ajustada Subescala de Depresión
A continuación se muestra una lista de síntomas; por favor, indique la frecuencia con que se ha visto afectado por cada uno.

A continuación se presenta una serie de enunciados relacionados con la intensidad con que se presentan los síntomas que en la lista anterior usted identificó que lo afectaban casi siempre o siempre. Marque con una "x" la respuesta que más se aproxime a su situación.









































