INTRODUCCIÓN
El crecimiento de la industria avícola, en las últimas décadas, presenta un crecimiento sostenido del 13% anual, como resultado de los progresos en mejoramiento genético, nutrición y manejo, que permitió la disminución del tiempo de producción y de los costos; sin embargo, provocó la intensificación de los sistemas avículas (Hamid et al. 2017). Sus efectos ocasionaron desbalances microbianos, a nivel entérico, que repercute sobre la productividad de las aves (Milian, 2008). Por ello, la industria avícola implementa planes profilácticos con antibióticos en las dietas de los animales, para disminuir los problemas sanitarios y favorecer el aprovechamiento de nutrientes (Gunnarsson & Mie, 2018).
El uso indiscriminado de antibióticos incrementó la resistencia de muchas cepas patógenas a estos medicamentos, siendo un problema de salud pública, a nivel mundial. En respuesta a estas evidencias, muchos países prohibieron su utilización, como aditivo en las dietas de animales de granja, lo que impulsó la búsqueda de nuevas alternativas. Investigaciones documentan que los probióticos son una opción sustituta de antibióticos en este campo y el mejoramiento de la salud intestinal de los animales (Al-Khalaifah, 2018).
Dentro de los probióticos, las bacterias ácido lácticas (BAL), se han considerado como alternativa a los antibióticos (Ghasemian et al. 2018). Eckert et al. (2017) mencionan que, para optimizar la viabilidad de las BAL en el tracto digestivo, la cepa debe ser microencapsulada, mejorando su tránsito por el tracto digestivo, además de facilitar los procesos de industrialización, como aumento del tiempo de almacenamiento y su liberación in situ. Esta investigación determinó el efecto del suministro de L. casei microencapsulado sobre la salud intestinal y los parámetros bioquímicos y productivos en pollos ROSS 308 AP.
MATERIALES Y MÉTODOS
El estudio fue realizado en las instalaciones de la Universidad de Nariño, en el laboratorio de investigación FISE-PROBIOTEC, que se encuentra a los 2.560m s.n.m., con temperatura promedio de 15°C y humedad relativa del 75% (IDEAM, 2019).
Se empleó la cepa L. casei ATCC 8014, que se reconstituyó en agar MRS, de acuerdo con la casa comercial; luego de 24h de reconstituida, se confirmó su crecimiento y desarrollo, y se repicó con asa de argolla, en cajas de agar MRS comercial, con azul de anilina y se incubó por 24h, a 37°C. De manera paralela, se hizo repique en tubos con caldo MRS, para lo cual, se tomó una alícuota del reconstituido y se adicionó a tubos de ensayo, con 10mL de caldo MRS, que enseguida fueron llevados a incubación en el tiempo y temperatura de 32ºC, propuestos para el método de siembra en caja. Al terminar la incubación, se tomaron muestras de cada caja y tubo de ensayo y se evaluó la morfología macroscópica y microscópica de la BAL, mediante coloración de Gram (Rodríguez & Arenas, 2018).
Para obtener el inóculo de L. casei, se utilizaron los parámetros de cinética de crecimiento y el procedimiento, descritos en Jurado-Gámez et al. (2014), quienes determinaron la fase exponencial a las 16h, con un crecimiento de 7,3 x 108 UFC/150mL, en medio MRS.
Se determinó el crecimiento de L. casei bajo las temperaturas de 37 y 45°C (Cai et al. 1999) y se evaluaron la producción de gas y la actividad de catalasa de la cepa (Cai et al. 1999; Dahl et al. 1989).
Para microencapsular la bacteria, primero, se obtuvo la biomasa microbiana, mediante incubación, a 37°C en caldo MRS, por 24h (condiciones aerobias) y, al final de la fase exponencial (16h), se centrifugó el incubado, a 5.000rpm (4°C) y se descartó el sobrenadante. Después, la muestra fue lavada con una solución estéril de NaCl al 0,85% p/v y conservada en refrigeración (4 ±2°C), hasta posterior uso.
El proceso de encapsulación, se realizó de acuerdo con la metodología de Rodríguez-Barona et al. (2016). Para ello, se preparó un inóculo con 400mL al 15% p/v de L. casei (60g de maltodextrina y 60g de Inulina en 28mL de inóculo bacteriano, previamente ajustado), en relación 1:1 p/p, que fue agitado hasta homogenizar. Enseguida, la muestra se llevó a un equipo de secado por aspersión (Secador Spray Bilon 6000s®), con una temperatura de entrada de 170°C y una temperatura de salida entre 65 y 67°C, con ciclo completo de 2h y 30min. El material microencapsulado, se empacó en recipientes plásticos oscuros estériles y se almacenó a temperatura ambiente (20 ±2°C).
Se determinó la viabilidad y la sobrevivencia (eficiencia) de la cepa, luego de microencapsulada (Rodríguez-Barona et al. 2016); de igual manera, las características físicas: humedad, actividad de agua, solubilidad y humectabilidad (Rodríguez-Barona et al. 2016). Se estableció la morfología y el tamaño del microencapsulado, mediante microfotografía electrónica.
Se evaluó el crecimiento de la cepa microencapsulada a concentraciones de 0,1 y 0,3%, de bilis y 0,5 y 1%, de sales biliares, en condiciones in vitro (Coppola & Gil-Turnes, 2004).
Una vez establecida la carga microbiana fue adicionarla por aspersión a una concentración de 20% p/v. Finalmente, el alimento se incubó a 37°C, por 24h y se conservó a temperatura ambiente.
La cepa microencapsulada fue evaluada in vivo. Se usaron 240 pollos machos de un día de edad (Ross 308 AP), que se alojaron en jaulas metálicas. Los pollos, se recibieron a una temperatura de 32°C, que disminuyó de forma paulatina a 21°C, durante los primeros 15 días de evaluación. La humedad, se mantuvo entre el 50 y 65%. Durante los primeros 7 días, los pollos tuvieron luz las 24h, para luego ir disminuyendo gradualmente hasta 12h, al tercer día. El experimento, se realizó de los 7 a los 35 días y el agua y el alimento se suministraron ad libitum.
Las aves, se distribuyeron de manera aleatoria en cuatro grupos de 60 aves, cada uno. El primer grupo fue alimentado con una dieta comercial sin aditivos (T0); el segundo, dieta comercial con probiótico comercial (T1); el tercero, dieta comercial con L. casei microencapsulado (T2) y el cuarto, dieta comercial con L. casei sin microencapsular (T3).
Para la evaluación in vivo, se determinó consumo de materia seca (CMS), ganancia de peso (GP) y conversión alimenticia (CA) de las aves. Al igual que las variables de bioquímica sanguínea: triglicéridos, colesterol y proteínas totales.
Al finalizar el estudio, se sacrificaron 6 aves por grupo y se tomaron muestras de duodeno, yeyuno e íleon, las cuales, se colocaron en formol buferado al 10%, para fijación por 24h. Con las muestras, se determinó histopatología, microscopia electrónica y tinciones especiales (Alcian blue, Gram, y hematoxilina y eosina), con el fin de determinar problemas, a nivel morfológico. La tinción de Alcian blue, se ajustó a un pH de 3,0 y se realizó conteo de células caliciformes, observando 10 campos por muestra. Los tejidos, se observaron en objetivo 40x con microscopio Nikon Eclipse 80i, camera infinity y el software ImagePro Plus 5.0 software (Media Cybernetics, Silver Spring, MD, USA).
Las muestras del segmento conservado en alcohol al 90°C fueron enviadas al Centro de Microscopia y Microanálisis de la Universidad Nacional, en Bogotá, Colombia, para realizar el registro fotográfico.
Las variables fueron caracterizadas mediante estadística descriptiva, mientras que los parámetros productivos (GP, CA y CMS), bioquímica sanguínea (triglicéridos, colesterol y proteínas totales) y el crecimiento a diferentes concentraciones de sales biliares y bilis, se evaluaron con un diseño completamente al azar (DCA) y las diferencias fueron determinadas mediante la prueba de Tukey, a un nivel de significancia del 95%.
RESULTADOS Y DISCUSIÓN
El crecimiento de la bacteria fue de 3 x 1012 y 4 x 1012 UFC/mL, a 37 y 45°C, respectivamente. Matos et al. (2017) y Palachum et al. (2018) encontraron crecimientos superiores a 3 x 1010 y 2 x 1012 UFC/mL, a temperaturas de 38 y 42°C, respectivamente, valores menores al obtenido en el presente estudio. Las aves tienen una temperatura interna promedio de 41°C, por lo que los resultados a 45°C indican viabilidad de L. casei a las condiciones internas de las aves (Matos et al. 2017).
Los resultados de la microencapsulación, se observan en la tabla 1. La viabilidad durante un periodo de 20 días fue buena (75,94%), lo que señala que la técnica de microencapsulación fue efectiva y podría ser una alternativa para su uso en campo. El estudio de Wang et al. (2018) encontró una viabilidad de 67% a los 15 días de la microencapsulada, que se administró por aspersión, lo que permite inferir un mayor tiempo de conservación de la cepa.
Tabla 1 Variables de viabilidad, eficiencia y propiedades física del microencapsulado de L. casei mediante la técnica de Spray Drive.
En cuanto a la eficiencia al momento de recuperar la cepa microencapsulada, muestra un valor de 89,36%. Parra-Huertas (2010) menciona que los resultados de la técnica deben estar entre 96 a 100%, lo que muestra un menor porcentaje de eficiencia en el microencapsulado obtenido (Tabla 1); sin embargo, el mismo autor menciona que la estructura de la pared y las condiciones de producción del microencapsulado (temperatura, pH, presión, humedad) tienen un efecto significativo sobre la eficiencia. Por otra parte, Gómez-Mascaraque et al. (2017) mostró una eficiencia del 87%, utilizando la misma técnica, lo que podría indicar que los valores están dentro de lo esperado.
En cuanto a las características físicas (Tabla 1), se encontró una menor humedad de 5,23, a los 35 días de evaluación. Este resultado es importante, dado que el parámetro influye sobre la conservación de la cepa microencapsulada y el tiempo en que es viable, para ser administrada (Champagne et al. 2017). En cuanto a la actividad del agua (Aw), los resultados están dentro de lo establecido por Muhammad et al. (2017), quien menciona que este parámetro debe estar alrededor de 0,3, para evitar el deterioro de la cápsula, por parte de microorganismos del ambiente. La humectabilidad está por encima de 2 minutos, que es el valor que reporta Champagne et al. (2017), para una adecuada humectación y consiguiente liberación de la bacteria, ya que permite mejorar la sobrevivencia. La solubilidad mostró excelentes resultados, dado que este parámetro mide la capacidad de disolverse en el agua, factor importante para una correcta liberación del microorganismo en el tracto gastrointestinal.
La microscopía electrónica mostró tamaños de 3,47 a 17,81µm, para el microencapsulado (Figura 1), valor cercano al observado por Wang et al. (2018), con 7 a 15µm, en L. delbruekii sub. bulgaricus; por otra parte, Muhammad et al. (2017) observó tamaños de 6,33µm. Lo anterior demuestra que el tamaño se encuentra cercano a lo reportado por la literatura.

Figura 1 Microfotografía de barrido de L. casei microencapsulado por la técnica de Spray Drying y tinción Alcian blue para caliciformes. a. tamaño del microencapsulado; b. lamina de inmunohistoquímica y c. tinción de Alcian blue para caliciformes.
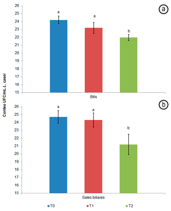
Los resultados de bilis y sales biliares en condiciones in vitro, se observan en la figura 2. Se encontró una disminución en el crecimiento de la cepa por efecto de las concentraciones de bilis y sales biliares, lo que evidencia dificultades para adaptarse a estas condiciones. Overbeck et al. (2017) manifiestan que la resistencia a pH básico permite a la bacteria atravesar el intestino delgado, lugar donde se libera la bacteria microencapsulada.

Figura 2 Evaluación del crecimiento in vitro de L. casei, a concentraciones de: a. 0,5, 1 y 1,5 % de bilis y b. 0,3, 0,5 y 1,0 de sales biliares.
Los parámetros productivos, se pueden observar en la tabla 2. Los resultados indican que los animales con suministro de L. casei microencapsulado mostraron mejores resultados para GP y CMS (p<0,05), aunque no hubo diferencia para la CA (p>0,05). Esto es importante para los sistemas de producción, dado que un mayor consumo trae, como consecuencia, una mejor ganancia de peso y mejora la rentabilidad del sistema (Jones et al. 2019). Al respecto, Stefaniak et al. (2019) encontraron un efecto positivo del suministro de L. plantarum sobre los parámetros productivos de los pollos de engorde, lo que corrobora los resultados obtenidos y permite evidenciar la importancia de las BAL en los sistemas de producción avícola.
Tabla 2 Resultados obtenidos para los parámetros productivos, bioquímicos, microbiológicos e histológicos en pollos de engorde, alimentados con L. casei.

T0: testigo; T1: probiótico comercial; T2: L, casei microencapsulado; T3: L, casei sin microencapsular;
* recuento de linfocitos B en intestino delgado (10 campos);
**recuento de células caliciformes en 10 campos. Media ± desviación estándar.
Letras diferentes en filas muestran diferencias estadísticas (p<0,05).
Los resultados de los parámetros bioquímicos, se pueden ver en la tabla 2 (colesterol, triglicéridos y proteína total). Se observó diferencia estadística en los niveles de colesterol en sangre (p<0,05), con un valor más alto en el tratamiento con L. casei sin microencapsular (T3), mientras que los niveles de triglicéridos y proteína total fueron similares (p>0,05). Al respecto, el estudio de Wang et al. (2019) halló una reducción en los niveles de colesterol en sangre, por efecto del suministro de cepas de lactobacilos en la dieta de ratones. Por otra parte, Abbas et al. (2018) encontraron que la adición de probióticos no tuvo efecto sobre los niveles de colesterol, pero fue positivo sobre el contenido de proteínas totales. Estos resultados demuestran que el efecto de los probióticos sobre la bioquímica sanguínea aún no se comprende del todo y que los resultados son disímiles para estos parámetros; sin embargo, L. casei solo tuvo efecto sobre el colesterol, incrementando su valor sanguíneo.
Los resultados microbiológicos, se observan en la tabla 2 (L. casei, coliformes totales y E. coli). Se evidenció mayor presencia de Lactobacillus en los tratamientos suplementados con probióticos en comparación con el testigo (p<0,05). Los coliformes totales muestran una población representativa mayor para el T1 (p<0,05), mientras que no hubo presencia de E. coli en las muestras. Según Sobczak et al. (2018), las poblaciones innatas de BAL decrecen desde la semana 1 (6,5 x 106) hasta la semana 6 (2,3 x 104) y, en este estudio, se encontró que L. casei se instaló con poblaciones de 1,37 x 107 (alimento con microencapsulado) y 2,36 x 107 (alimento con L casei sin microencapsulado), por lo que se verifica su colonización. Lo anterior muestra un impacto únicamente en el incremento de BAL en el tracto gastrointestinal de las aves.
Los títulos de New Castle a los 35 días de evaluación fueron mayores para el tratamiento T3, seguido del tratamiento T1 (p<0,05), mientras que Gumboro tuvo niveles altos para los tratamientos T0 y T3, siendo inferiores los tratamientos T1 y T2 (a 35 días, p<0,05). Para los títulos de bronquitis, se observaron mayores valores para los tratamientos T2 y T3 (a 35 días, p<0,05) (Figura 3). Se ha encontrado que L. casei mejora la respuesta inmunitaria, reduce el riesgo de infección en el tracto respiratorio, estimula las células NK del huésped y compite con microorganismos patógenos, lo que corrobora los resultados observados (Zhang et al. 2016). Además, los resultados fueron tomados al final de la evaluación, por lo que los efectos se mantienen durante toda la evaluación.

Figura 3 Determinación de títulos para las vacunas de: a. New castle; b. Gumboro y c. Bronquitis evaluados a los 35 días de vida. Letras distintas muestran diferencias estadísticas significativas (p<0,05).
Los resultados de la histopatología, se observan en la figura 4. Se encontraron mayores alteraciones celulares en los tratamientos con suministro de L. casei, como hiperplasia de epitelio, que estuvo presente en el 100% de las muestras del yeyuno, de los tratamientos T2 y T3; hiperplasia de glándulas, que se presentó en los tratamientos T2 y T3, en un 50% e hiperplasia de caliciformes, con 50% de las muestras, en los mismos tratamientos; al parecer, la administración del probiótico tuvo un efecto sobre la presentación de estas lesiones. Según Castro-González et al. (2019), la bacteria láctica influye no directamente sobre la aparición de las lesiones, sino que estas bacterias, en casos poco frecuentes, incrementan estas lesiones, como consecuencia de un elevado crecimiento poblacional, lo que demuestra un exceso de bacteria en el inóculo, por lo que se debe evaluar este parámetro.

Figura 4 Resultados de las lesiones encontradas en el intestino delgado de las aves evaluadas. I: ileón, D: duodeno, Y: yeyuno.
En los recuentos de linfocitos B (inmunohistoquímica), que están expresando proteínas para IgA, se encontró que el tratamiento T0 (testigo) tiene mayor cantidad de estas células (Figura 1 y Tabla 2), mientras que, por el contrario, el tratamiento que recibió el microencapsulado (T3), expresó la menor cantidad. Este hallazgo es muy importante, ya que demuestra que L casei realiza inmunomodulación en el tejido intestinal de aves, contrario a lo reportado por la mayoría de autores (Castro-González et al. 2019), quienes atribuyen a los BAL un aumento de la inmunidad humoral local en intestino delgado.
La marcación de células caliciformes con Alcian Blue fue efectiva en los pollos (Figura 1), lo que demuestra que la técnica también puede ser utilizada en este tipo de tejido. En la tabla 2, se observa que hay un menor conteo en el T1. Al respecto, Bingle et al. (2010) mencionan que las células caliciformes se encargan de secretar moco y se encuentran, tanto en las vellosidades como en las criptas. Su importancia radica en que presentan variaciones, de acuerdo con factores ambientales y clínicos, lo que permite identificar determinadas patologías. El conteo de caliciformes no mostró diferencias estadísticas (p>0,05), lo que evidencia un comportamiento similar de los tratamientos en este parámetro.
Finalmente, la microencapsulación de L. casei incrementa la ganancia de peso y mejora la respuesta inmunológica; sin embargo, se encontraron lesiones con el suministro de la bacteria, lo que indicó que se debe ajustar la dosis, la frecuencia y la vía de suministro, para evitar este tipo de alteraciones.














